Development of a Thulium Fiber Laser for an Atomic Spectroscopy Experiment
Abstract
1. Introduction
2. Materials and Methods
2.1. Laser Design
2.2. Atomic Helium Beam
3. Results
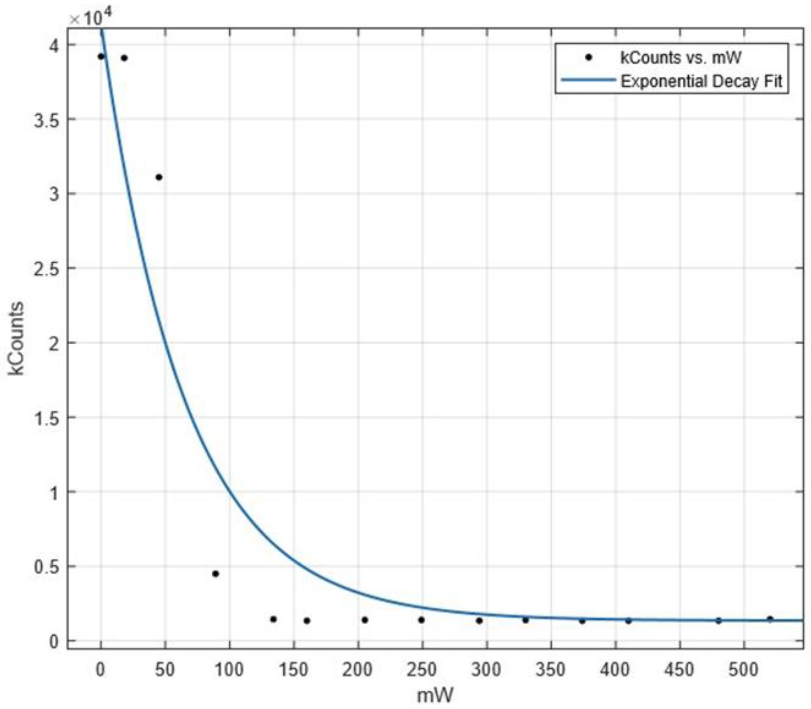
3.1. Laser Characterization
3.2. Atomic Spectroscopy
4. Discussion
Author Contributions
Funding
Conflicts of Interest
References
- Richardson, D.J.; Nilsson, J.; Clarkson, W.A. High power fiber lasers: Current status and future perspectives. J. Opt. Soc. Am. B 2010, 27, B63–B92. [Google Scholar] [CrossRef]
- Zervas, M.N.; Codemard, C.A. High power fiber lasers: A review. IEEE J. Sel. Top. Quantum Electron. 2014, 20, 219–241. [Google Scholar] [CrossRef]
- Moulton, P.F.; Rines, G.A.; Slobodtchikov, E.V.; Wall, K.F.; Frith, G.; Samson, B.; Carter, A.L.G. Tm-doped fiber lasers: Fundamentals and power scaling. IEEE J. Sel. Top. Quantum Electron. 2009, 15, 85–92. [Google Scholar] [CrossRef]
- Jackson, S.D.; King, T.A. Theoretical modeling of tm-doped silica fiber lasers. J. Light. Technol. 1999, 17, 948–956. [Google Scholar] [CrossRef]
- Hanna, D.; Percival, R.M.; Smart, R.G.; Tropper, A.C. Efficient and tunable operation of a tm-doped fibre laser. Opt. Commun. 1990, 75, 283–286. [Google Scholar] [CrossRef]
- Huang, Y.; Jivraj, J.; Zhou, J.; Ramjist, J.; Wong, R.; Gu, X.; Yang, V.X.D. Pulsed and cw adjustable 1942 nm single-mode all-fiber tm-doped fiber laser system for surgical laser soft tissue ablation applications. Opt. Express 2016, 24, 16674–16686. [Google Scholar] [CrossRef] [PubMed]
- Jackson, S.D.; King, T.A. High-power diode-cladding-pumped tm-doped silica fiber laser. Opics Lett. 1998, 23, 1462–1464. [Google Scholar] [CrossRef] [PubMed]
- Walbaum, T.; Heinzig, M.; Schreiber, T.; Eberhardt, R.; Tunnermann, A. Monolithic thulium fiber laser with 567 w output power at 1970 nm. Opt. Lett. 2016, 41, 2632–2635. [Google Scholar] [CrossRef] [PubMed]
- Frith, G.; Carter, A.; Farroni, J.; Farley, K.; Tankala, K. Efficient and reliable 790nm-pumped Tm lasers from 1.91 to 2.13 µm. In Proceedings of the SSDLTR, Albuquerque, NM, USA, 4 June 2008. [Google Scholar]
- Jackson, S. Cross relaxation and energy transfer up-conversion processes relevant to the functioning of 2 µm tm3+-doped silica fibre lasers. Opt. Commun. 2004, 14, 197–203. [Google Scholar] [CrossRef]
- Christensen, G.F.S.; Samson, B. Developments in thulium-doped fiber lasers offer higher powers. In Proceedings of the 21st Annual Meeting LEOS, IEEE Lasers Electro-Optics Society, Newport Beach, CA, USA, 9–13 November 2008. [Google Scholar]
- Siegman, A. Lasers; Chapter 12; University Science Books: Mill Valley, CA, USA, 1986. [Google Scholar]
- Walsh, B.; Barnes, N. Comparison of tm: Zblan and tm: Silica fiber lasers; spectroscopy and tunable pulsed laser operation around 1.9 µm. Appl. Phys. B 2004, 78, 325–333. [Google Scholar] [CrossRef]
- Agger, S.D.; Povlsen, J.H. Emission and absorption cross section of thulium doped silica fibers. Opt. Express 2006, 14, 50–57. [Google Scholar] [CrossRef] [PubMed]
- Romano, C.; Tench, R.; Jaouen, Y.; Williams, G. Simulation and design of a multistage 10w thulium-doped double clad silica fiber amplifier at 2050 nm. In Fiber Lasers XIV: Technology and Systems; International Society for Optics and Photonics: San Francisco, CA, USA, 2017; p. 10083. [Google Scholar]
- Peterka, P.; Kasik, I.; Dhar, A.; Dussardier, B.; Blanc, W. Theoretical modeling of fiber laser at 810 nm based on thulium-doped silica fibers with enhanced 3h4 level lifetime. Opt. Express 2011, 19, 2773–2781. [Google Scholar] [CrossRef] [PubMed]
- Cajzl, J.; Paterka, P.; Kowalczyk, M.; Tarka, J.; Sobon, G.; Sotor, J.; Aubrecht, J.; Honzatko, P.; Kasik, I. Thuliumdoped silica fibers with enhanced fluorescence lifetime and their application in ultrafast fiber lasers. Fibers 2018, 6, 66. [Google Scholar] [CrossRef]
- Smiciklas, M.; Shiner, D. Determination of the fine structure constant using helium fine structure. Phys. Rev. Lett. 2010, 105, 123001. [Google Scholar] [CrossRef] [PubMed]
- Rezaeian, N.H. A Precise Few-Nucleon Size Difference by Isotope Shift Measurements of Helium; University of North Texas: Denton, TX, USA, 2015. [Google Scholar]





© 2020 by the authors. Licensee MDPI, Basel, Switzerland. This article is an open access article distributed under the terms and conditions of the Creative Commons Attribution (CC BY) license (http://creativecommons.org/licenses/by/4.0/).
Share and Cite
Currey, R.; Khademian, A.; Shiner, D. Development of a Thulium Fiber Laser for an Atomic Spectroscopy Experiment. Fibers 2020, 8, 12. https://doi.org/10.3390/fib8020012
Currey R, Khademian A, Shiner D. Development of a Thulium Fiber Laser for an Atomic Spectroscopy Experiment. Fibers. 2020; 8(2):12. https://doi.org/10.3390/fib8020012
Chicago/Turabian StyleCurrey, Ronnie, Ali Khademian, and David Shiner. 2020. "Development of a Thulium Fiber Laser for an Atomic Spectroscopy Experiment" Fibers 8, no. 2: 12. https://doi.org/10.3390/fib8020012
APA StyleCurrey, R., Khademian, A., & Shiner, D. (2020). Development of a Thulium Fiber Laser for an Atomic Spectroscopy Experiment. Fibers, 8(2), 12. https://doi.org/10.3390/fib8020012
