Next Article in Journal
Highly Porous Cellulose-Based Scaffolds for Hemostatic Devices and Smart Platform Applications: A Systematic Review
Previous Article in Journal
Evaluation of Drying Times in Natural Fiber-Based Mycelium Composites from Empty Fruit Bunches and Kenaf
 
 
Font Type:
Arial Georgia Verdana
Font Size:
Aa Aa Aa
Line Spacing:
Column Width:
Background:
Article

A New Experimental Framework for Unsupported Drilling of Thin Woven GFRP Laminates

1
Department of Manufacturing Engineering, Transilvania University of Brasov, 29 Eroilor Boulevard, 500036 Brasov, Romania
2
Department of Manufacturing Engineering, Faculty of Industrial Engineering, Robotics and Production Management, Technical University of Cluj-Napoca, Memorandumului 28, 400114 Cluj-Napoca, Romania
3
Department of Materials Engineering, Mechanical Engineering Faculty, Lublin University of Technology, 20-618 Lublin, Poland
4
Department of Production Engineering, Mechanical Engineering Faculty, Lublin University of Technology, 20-618 Lublin, Poland
*
Author to whom correspondence should be addressed.
Fibers 2026, 14(1), 8; https://doi.org/10.3390/fib14010008
Submission received: 16 November 2025 / Revised: 29 December 2025 / Accepted: 30 December 2025 / Published: 5 January 2026

Abstract

High-quality drilled holes are critical in thin fabric-reinforced composites used in many industrial applications; however, the influence of woven architecture on drilling performance without a backup plate remains insufficiently defined. This paper introduces the first comprehensive experimental and statistical framework for evaluating unsupported drilling of thin woven glass fiber-reinforced polymer (GFRP) laminates. The framework integrates the effect of support opening width, fiber weight fraction (wf), feed per tooth, and fabric architecture to quantify their combined effects on delamination, cutting forces, and surface roughness. The samples consisted of vacuum mold-pressed GFRP laminates. Drilling tests were conducted on plain and twill-woven plates, and hole quality was evaluated using thrust force, delamination factor, and surface roughness (Sa). A statistical DOE and multifactorial ANOVA were applied to quantify the effects of the main parameters. For plain-woven GFRP, the best results were obtained with a 65 mm support opening width, 45% fiber wf, and 0.04 mm/tooth feed. Plain-woven laminates exhibited lower average surface roughness (Sa ≈ 5.0–6.5 µm) than twill-woven laminates (Sa ≈ 6.0–7.0 µm). The study demonstrates how fabric architecture and drilling parameters jointly influence hole quality in thin GFRP composites, providing practical guidance for manufacturing applications.

1. Introduction

In the past century, traditional construction relied on materials like wood, steel, and concrete. In contrast, fiber-reinforced polymer (FRP) is a more recent innovation, one that has been used in the design of buildings and bridges for slightly more than 50 years. Its origins, however, go back even further—FRPs have been used since the 1930s in industries such as marine, automotive, and aerospace, and later found applications in rail, sports equipment, and wind turbines [1,2,3]. Today, the construction sector accounts for roughly one-quarter of the global FRP production, and the automotive industry accounts for 30% of the market [4,5]. FRP composites consist of high-strength fibers embedded within a polymer matrix. For structural applications, glass, carbon, and aramid fibers are typically used in combination with polyester, vinyl ester, or epoxy resins. The fibers primarily provide the composite’s strength and stiffness, while the polymer matrix serves to bind the fibers, protect them from environmental damage, and facilitate the transfer of forces between fibers [6]. Moreover, FRPs combine excellent strength with good chemical and dimensional stability, as well as strong resistance to corrosion and heat [7,8].
Composite materials frequently require secondary machining processes, including turning [9], drilling [10], and milling [11,12], to achieve the required dimensional tolerances or to create holes necessary for assembly. The machining of FRP composites presents significant challenges due to their heterogeneous and anisotropic characteristics, making it a subject of extensive research. Due to the hard and abrasive nature of the reinforcing fibers, significant tool wear frequently occurs in machining operations [13,14].
One of the post-processing operations of composite materials used in the aerospace industry is drilling. Drilling is used for producing precise holes required for mechanical fastening. Despite its prevalence, drilling of composite materials frequently induces damage, with delamination being the most common and critical defect. Drilling-induced damage not only compromises the load-bearing capacity and structural integrity of the component but also leads to dimensional inaccuracies and assembly tolerance issues [15,16]. Drilling-induced delamination constitutes about 60% of component rejections in the final assembly of aerospace structures [17,18].
Two distinct macroscopic delamination mechanisms are observed in the drilling of laminated FRPs: peel-up (on the drill entry surface) and push-out (on the drill exit surface). Peel-up delamination is observed when the cutting edge of the drill engages the laminate surface and tend to lift the plies ahead of the cutting edge, producing an opening-mode (Mode I) crack at the outer ply interfaces. Push-out, which is typically more severe, occurs as the drill tip and edge push on the uncut plies at the exit face; the resulting compressive/thrust loading produces interlaminar separation and a mixed-mode fracture near the exit. Both mechanisms have been widely identified and characterized in experimental and analytical studies of composite drilling [18,19,20,21]. Previous research on the drilling of FRP composites has demonstrated that push-out delamination is generally more critical than peel-up delamination [22,23]. The severity of this damage is strongly influenced by the technological parameters of the drilling process, including feed rate, spindle speed, and tool geometry [12,24]. In addition to technological parameters, the main factors that determine the surface quality of drilled holes in laminated composite parts include laminate thickness, fiber wf, the use of drill support, specific regions within the hole, and particular manufacturing characteristics. These factors are the subject of research in the field of drilling FRP composites.
In the drilling of polymer composites, the tool material—typically tungsten carbide or high-speed steel—plays a significant role, but the most influential process parameters are feed rate and cutting speed. The literature indicates that the minimum feed rate commonly used is approximately 0.3 mm/rev, while cutting speeds usually vary between 20 and 60 m/min. The incorporation of hard filler particles in the polymer matrix allows for cutting speeds beyond this typical range without immediate limitation. At cutting speeds below 60 m/min, maximum spindle speed must also be considered to ensure stable operation [25,26,27]. When cutting speeds exceed optimal values, the resulting rise in temperature can soften the matrix, potentially leading to deformation. To address this issue and improve both toughness and ductility, recent studies have explored the use of nanofillers, which can alter the pathways of damage propagation within the composite [28,29].
Various strategies have been proposed to minimize drilling-induced delamination in FRP composites. Among the most effective are the use of reduced feed per revolution and specially designed drill geometries. A lower feed rate helps to maintain thrust forces below the critical threshold for delamination initiation; however, it may also promote other defects, such as uncut fibers and burr formation. In micro-drilling applications, where hole dimensions and tool sizes are significantly smaller, the feed per revolution must be carefully controlled at low values to prevent excessive loading and tool breakage [30]. The delamination of carbon fiber-reinforced polymer (CFRP) composites was more affected by changes in feed rate, while variations in cutting speed produced non-linear effects. Delamination increased with higher feed rates. Contour plot analysis showed that high cutting speeds with low feed rates minimized delamination, emphasizing the importance of high-speed drilling for CFRP materials [31]. Among the various drilling parameters, feed rate plays a particularly significant role in promoting damage within FRP composites. Hence, careful optimization of this parameter is necessary to control and reduce drilling-induced defects.
Two main drilling configurations are commonly employed for thin composite laminates: supported (backup) and unsupported drilling. The supported method involves positioning a backing plate beneath the specimen to stabilize the laminate during drilling, while in the unsupported configuration, the hole is drilled without any underlying support. Previous investigations have shown that the presence or absence of backing support significantly affects delamination, making it a critical consideration in composite drilling operations. Gemi et al. [32] studied the impact of feed rate and backing support on thrust force in drilling of various glass fiber-reinforced polymer (GFRP) composite pipes. The study also included a comparison of drilling performance with and without backing support. The results showed that the presence of backing support led to a notable increase in thrust force, ranging from 3% to 35%. Additionally, higher feed rates were found to produce greater thrust forces, whereas lower thrust values were observed in drilling operations performed without backing support. Tsao et al. [33] analyzed the influence of backup plates on delamination during the drilling of composite materials using saw drills and core drills. The study compared the critical thrust force required to initiate delamination under supported and unsupported drilling conditions. The research showed that the use of a backup plate significantly increased the critical thrust force for both drill types compared to drilling without support. Consequently, the results indicate that, when backup support is applied, drilling operations can be performed at higher feed rates without inducing delamination, which falls in line with industrial observations. Heidary et al. [34] investigated the drilling of composite specimens using a high-speed steel (HSS) twist drill under both supported and unsupported conditions, with feed rates ranging from 0.25 to 1.16 mm/rev. The results showed that the use of backing support reduced the delamination factor by approximately 1.8% to 20.7% compared with specimens drilled without support. Ciecieląg [35] investigated the effect of specimen stiffness on hole quality and delamination during the drilling of GFRP and CFRP composites. The experiments were conducted under constant drilling parameters, while varying the length of the unsupported section of each specimen. The research showed that the feed force increased with the length of the unsupported element for both GFRP and CFRP materials. Additionally, the unsupported length was found to have a significant influence on the dimensional accuracy of the drilled holes. The mechanical characteristics of newly developed composite materials for industrial applications are important [36,37] from the safety point of view.
Very few studies have systematically investigated drilling of laminated composites under unsupported conditions. Most prior work on composite drilling has focused on supported drilling or backing plates, which are known to reduce exit-side delamination and cutting forces but do not represent unsupported machining scenarios encountered in many industrial applications. The drilled-hole surface quality in laminated composites depends of material characteristics and process parameters. The effect of drilling parameters of woven polymer matrix composites should carefully be examined for industrial application implementation.
The main aim of this work is to experimentally and statistically investigate the quality of drilled holes made without a backup plate in very thin woven polymer matrix composite plates at different opening widths. The composite plates were manufactured from plain-woven GFRP laminates by vacuum mold pressing. Also, a comparison is made of the roughness of drilled holes in plain-woven versus twill-woven composites [11].
The novelty of this research lies in the proposed experimental methodology and statistical study of the quality of drilled holes with different support widths and different wf in woven GFRP composites.

2. Materials and Methods

2.1. Materials, Manufacturing Process, and Drilling Process

A new experimental framework for unsupported drilling of thin woven FRP (fiber-reinforced polymer) laminates was proposed, as is shown in Figure 1. This 6-step methodology includes sample manufacturing, mechanical properties’ determination, the design of experiments, quality analysis of drilled holes, statistical analysis, and interpretation of the results (Figure 1).
The composite laminates used in this study were reinforced with woven glass fiber fabrics, in which the warp yarns were oriented in the longitudinal direction and the weft yarns in the transverse direction. Two fabric architectures were investigated: plain weave and twill weave. In the plain weave configuration (Figure 2a), warp and weft yarns interlace at every crossing point, resulting in a higher degree of yarn crimp. In contrast, the twill weave fabric (Figure 2b) is characterized by longer yarn floats and reduced interlacing frequency, leading to a smoother yarn path and lower crimp. These differences in fabric architecture were considered in order to evaluate their influence on the damage mechanisms within the reinforcement layers and on the overall integrity of the GFRP laminates during mechanical processing, particularly drilling.
Two types of GFRP composite laminates were elaborated on in this study: plain-woven GFRP and twill-woven GFRP [11]. The matrix system used for impregnation was an epoxy resin of the type Epikote MGS LR135/LH136 (Lange & Ritter GmbH, Gerlingen, Germany).
The tested GFRP plates (designated B1 through B3) were manufactured in our labs specifically for the purpose of this experimental study (Table 1). The specimens had four layers of reinforcement material consisting of a 2 × 2 plain glass fiber fabric with an areal density of 280 g/m2. The corresponding stacking sequences were [0/90]4.
The fabrication procedure of the sample plates, called vacuum mold pressing, was carried out as described in [38], where the complete technological parameters and processing steps are provided in detail. The main steps are the following:
  • Hand lay-up impregnation of the glass fiber layers on a flat metal mold. Upon completion of the lay-up, the GFRP layers were covered with a 3 µm-thick Mylar (biaxially oriented polyethylene terephthalate) film.
  • Pressing the entire assembly (mold, impregnated layers, and cover film) by passing it through a calender-like apparatus equipped with two cylinders (Figure 3). This step ensured uniform thickness.
  • Preliminary curing of the laminate at 20 °C for 24 h. The Mylar foil was removed after the first stage of epoxy resin solidification.
  • Post-curing of the laminate at 80 °C for 24 h to ensure complete polymerization of the resin matrix. Following the curing process, the resulting GFRP plates (Figure 3b) exhibited a homogeneous internal structure and a flat, uniform surface.
Mechanical properties of the tested glass fiber-reinforced polymer specimens were determined by static tensile and bending tests. The mechanical behavior of the composites was investigated using the Instron 8801 Dual Column servo-hydraulic testing machine (Instron, Norwood, MA, USA). The tensile tests were performed in accordance with the ISO 527-1 standard [39], employing type-A specimen. To determine the flexural strength, three-point bending tests were carried out in accordance with the ISO 14125 standard [40], employing type A specimens. The specimen thickness varied depending on the GFRP type. For each GFRP configuration, five specimens were tested. All experiments were carried out under controlled environmental conditions of 23 ± 3 °C temperature and 50 ± 5% relative humidity. The specimens were loaded at a constant speed of 2 mm/min until failure.
The GFRP samples were clamped in a vice to ensure stability and dimensional accuracy, and water-jet cut using a Waterjet Combo machine (Legnica, Poland) to cut samples with different width a = 45, 55, 65 or 75 mm (Figure 4). The variation in width was introduced to control the effective support area during drilling, which directly influences drilling-induced damage mechanisms such as delamination and fiber breakout. By modifying the specimen width, we were able to evaluate how changes in lateral stiffness and boundary support affect the hole-quality parameters. Then, each specimen with a specific width and fixed length of 250 mm was subsequently drilled with a series of ten holes, positioned 25 mm apart along the drilling axis (Figure 4).
Drilling of holes in samples was carried out using a vertical machining center, specifically the Avia VMC800HS (Avia, Warsaw, Poland), operating without coolant, as described in the authors’ previous work [11]. The drilling process employed a two-edge carbide drill with a diamond coating and a diameter of 12.726 mm (model SD205A-12.726-56-14R1-C2, Seco, Erkrath, Germany). During the tests, holes were produced in the specimens using varying feed per tooth (fz) values of 0.04, 0.08, 0.12, and 0.16 mm/tooth, while maintaining a constant cutting speed of vc = 182 m/min. The cutting forces during the drilling process were determined using a Kistler 9257B dynamometer (Kistler, Winterthur, Switzerland), a signal conditioning unit, a data acquisition (DAQ) module with an integrated A/D converter, and dedicated DynoWare software (DynoJet, Germany) for recording the force curves. The analysis primarily focused on the maximum feed force.

2.2. Quality Analysis of Drilled Holes with Different Support Widths

The quality of the drilled holes was assessed considering delamination and surface roughness. The diameters of peel-up and push-out delamination were measured using the software integrated with the Keyence VHX-5000 optical microscope (Keyence, Osaka, Japan) at a magnification of 20×. For each drilled hole, high-resolution images were captured, and the five largest delamination diameters were measured on both the upper and lower surfaces of the specimen (Figure 5). The maximum delamination diameter was determined as the distance from the hole’s nominal centerline to the outermost point of visible delamination. The mean value of the five measurements was then calculated and used in the subsequent analysis. The delamination was quantified using the delamination factor as the ratio of the maximum delamination diameter to the nominal hole diameter, which is expressed as follows [11]:
F d = D m a x D n o m ,   [ ]
The specimens used for surface roughness analysis were obtained by longitudinal cutting through the center of each drilled hole. This procedure produced two halves of each sample, referred to as halves A and B (Figure 6). For each half of every specimen, three surface roughness measurements were performed, using the Alicona Infinite Focus G5 optical measurement system (Alicona, Raaba, Graz, Austria). The sampling area was set to 2.25 × 1.50 mm2 with a cut-off parameter of 0.8 mm. In this study, the surface roughness parameter Sa was selected for analysis, representing the arithmetic mean deviation of surface height from the mean plane. The average value was calculated for each hole.

2.3. Experimental Design and Statistical Analysis

The design of experiments (DOE) approach with full factorial designs was chosen for data analysis. Control factors affecting the delamination and maximum cutting force in the drilling process for the plain-woven composite, are presented in Table 2. Control factors and their levels for comparing surface roughness (Sa) in drilling different types of woven polymer matrix composites are listed in Table 3. Although GFRP plates manufactured from twill-woven composites with the stacking sequences [0/90]4 were analyzed in our previous study [11], no comparison with other types of woven composite was made. In the present study, fabric type is a control factor that is taken into consideration for comparing the surface roughness (Sa) of plain- and twill-woven composites.
Thus, four full general factorial designs were carried out to systematically evaluate the effects of control factors to targets as follows:
  • Three designs used each of the 48 control factor combinations, and different targets as Fd_peel_up, Fd_push_up and Cutting force, as is shown in Table 2.
  • A design used the 24-factor combination, having surface roughness (Sa) as the target, as is shown in Table 3.
A multi-factor analysis of variance (ANOVA) was performed. The analysis was conducted using the Minitab 19 software (Minitab, Coventry, UK) to determine the significance of each control factor and their interactions [41]. From the ANOVA table, the probability p-value and F-value indicate the significance of the results. The control factor for which a p-value less than or equal to the significance level of 0.05 is determined is statistically significant. Percentage contribution (PC) of factors is determined based on the sequential sums of squares (Seq SS). Graphical analyses, including main effects plots, interaction plots, and interval plots, were used to interpret and visualize the experimental data. Residual analysis was employed to validate the assumption of normality and the homogeneity of variance.

3. Results

3.1. Results of Mechanical Testing

The tensile test results obtained for the GFRP samples show a distinctive response, one that is typical of this type of composite. As can be seen in Figure 7a, the tensile strength rises gradually as the wf of fibers increases. Each reinforcement level was represented by five tested specimens, and the measurements within every group were closely aligned. This uniformity indicates a consistent internal structure and reliable fabrication quality of the composites. Although the results follow the same general trend as those reported in previous research, some differences were noted. In [11], slightly higher tensile strengths (by roughly 11%) were achieved because a twill-type woven fabric was used as reinforcement, unlike the material adopted in the current investigation.
Similar behaviors were observed in the bending strength tests, as illustrated in Figure 7b. The bending resistance also increased with the reinforcement ratio, with the maximum mean value of 364 MPa observed for the specimens containing 60% glass fibers. These results remain in close agreement with those presented in [11], where marginally higher strengths were associated with the alternative fabric configuration. The elastic modulus of composite materials B1, B2, and B3 for tensile and bending tests are presented in Figure 8. Standard deviation and coefficient of variation in mechanical properties of plain-woven GFRP composites are shown in Table 4. A lower coefficient of variation (CV) assures the repeatability of data.
Both the tensile and bending tests show a consistent trend: the Young’s modulus increases with increasing fiber wf in the plain-woven GFRP laminates. The tensile modulus rises indicate that the material becomes progressively stiffer as more fibers are incorporated into the laminate. The relatively small error bars suggest good repeatability of the tensile measurements. A similar trend is observed in bending but the bending modulus values are slightly higher than the tensile ones, which is typical for woven composites because the outer layers in bending carry higher tensile and compressive stresses, effectively increasing the measured stiffness. The results clearly demonstrate that increasing the fiber wf enhances the stiffness of the plain-woven GFRP laminates in both loading modes. The consistent trends across tensile and bending tests confirm that fiber content is a key parameter governing the elastic response of these composites.
The mechanical property trends observed in the present plain-woven GFRP laminates are consistent with the established behavior of woven glass fiber-reinforced composites reported in the literature. An increase in fiber weight fraction results in higher tensile and flexural strength and stiffness due to improved load transfer efficiency and a reduced contribution of the polymer matrix [6,19,21]. In woven GFRP systems, fabric architecture plays an additional role. Plain-woven fabrics exhibit higher yarn interlacement and crimp, which can slightly reduce fiber straightness but enhance structural integrity and fiber–matrix interaction, leading to stable and repeatable mechanical responses [25,26].

3.2. Results Regarding the Quality of Drilled Holes with Different Support Widths

The quality of drilled holes was assessed by analyzing delamination and surface roughness.
Two delamination factors, hole entry (Fd_peel-up) and hole exit (Fd_push-out), were used to quantify the delamination of plain-woven composite samples.
Results of the ANOVA analysis for plain-woven glass fiber-reinforced polymer laminates are shown in Table 5. The most significant factors in the case of Fd_peel-up delamination target were feed per tooth (39.79%), wf (11.48%), and support width (11.16%), within a 95% confidence level. Also, a significant interaction between wf and feed per tooth (13.27%) was established. The significant interaction effect between fiber wf and feed per tooth implies that the influence of feed rate on delamination is amplified in laminates with higher fiber content. In lower-fiber-fraction laminates, the more compliant matrix can partially absorb the loads, reducing the sensitivity of delamination to feed rate.
Feed per tooth (54.91%) and wf (6%) had a greater influence on the Fd_push_out delamination factor as is shown in Table 5. A higher feed per tooth increases the chip load, leading to higher thrust forces and more severe interlaminar stresses at the exit, which promotes push-out delamination.
The results showed that feed per tooth had the most significant impact on cutting force, with the percentage ratio amounting to 79.95% of the total variation, as shown in Table 6.
The following R-squared values were obtained: 90.52% for Fd_peel-up, 87.99% for Fd_push-out, and 95.61% for maximum cutting force. The value of 87.99% could be consistent with the more complex and less stable mechanics associated with exit-side (push-out) delamination. As the drill approaches the laminate’s exit, support conditions deteriorate, and the material experiences rapid changes in local stiffness and stress distribution. Small variations in fiber–matrix bonding, ply orientation misalignment, drill wear, or subtle changes in thrust force become magnified in this region, leading to greater experimental scatter.
Graphical representations of the results, including main effects plots, interaction plots, and interval plots, are shown in Figure 9, Figure 10, Figure 11 and Figure 12.
The minimum Fd peel-up and Fd push-out delamination targets were found at level 3 (65 mm) for the support width factor (Figure 9). The minimum mean cutting force was determined at level 3 (65 mm) for the support width factor, as shown in Figure 9c. The cutting force increased with wf and feed per tooth.
The results demonstrated that the wf at level 1 (wf45%), and the feed_per_tooth at level 1 (0.04 mm/tooth) had the minimum impact on the Fd peel-up delamination factor (Figure 9a). The same trends were observed regarding the impact of feed per tooth on Fd push-out, but the minimum mean value of wf was observed at level 2 (wf50%). A small variation in the support width around a delamination value of 1.5 was observed. Also, the mean values od delamination Fd push-out were greater than those obtained for Fd peel-up.
Figure 10 displays the interaction plot matrix for the mean values of delamination factors and cutting force. The interactions between wf with Feed_per_tooth and Support_width with Feed_per_tooth have a significant influence on the Fd_peel_up delamination factor, as shown in Figure 10a. An interaction was established between Support_width with Feed _per_tooth and Support_width with Weight_fraction for the Fd_push_out delamination factor (Figure 10b).
No interactions between control factors could be observed for cutting force because the lines in the images run parallel, as shown in Figure 10c. The feed per tooth is the dominant contributor to cutting force, overshadowing the influence of other parameters, as shown in Table 6. The absence of statistically significant interactions with the remaining factors indicates that these factors do not meaningfully alter how feed per tooth affects the cutting force.
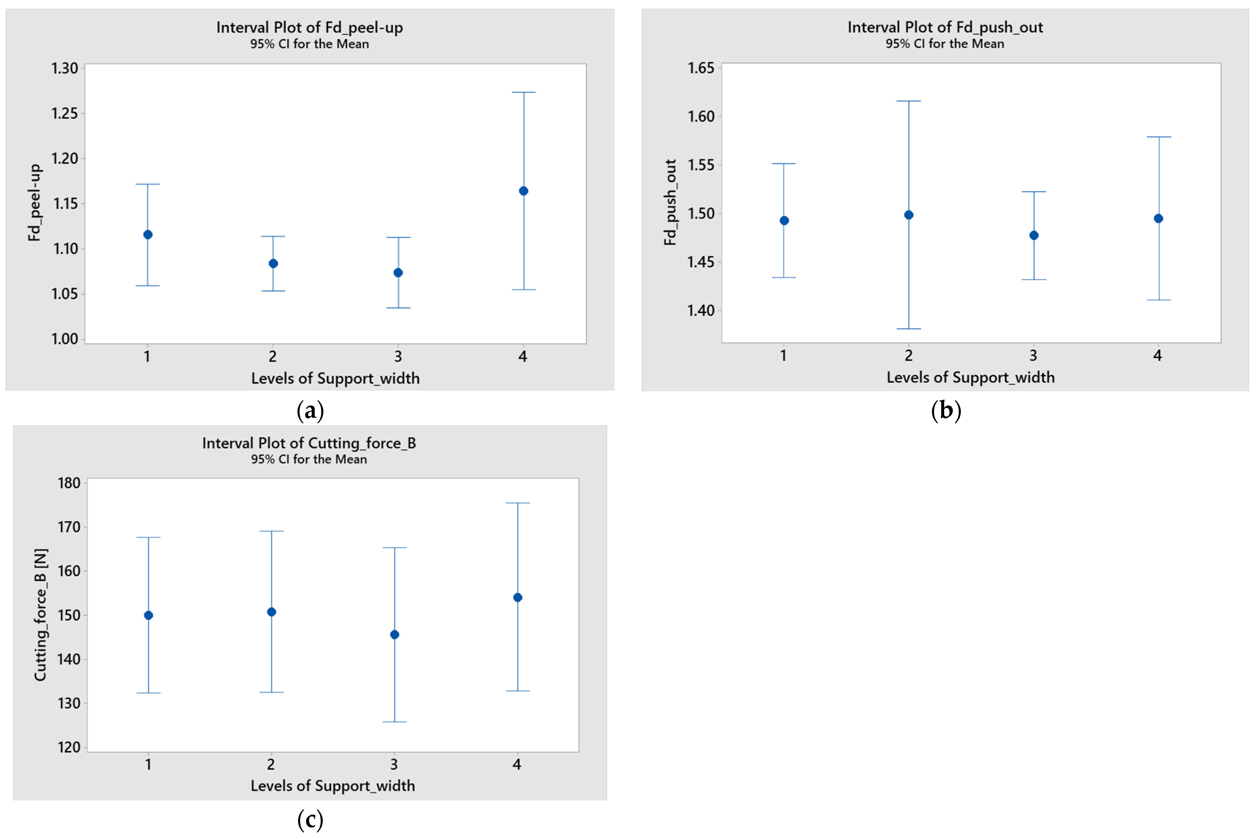
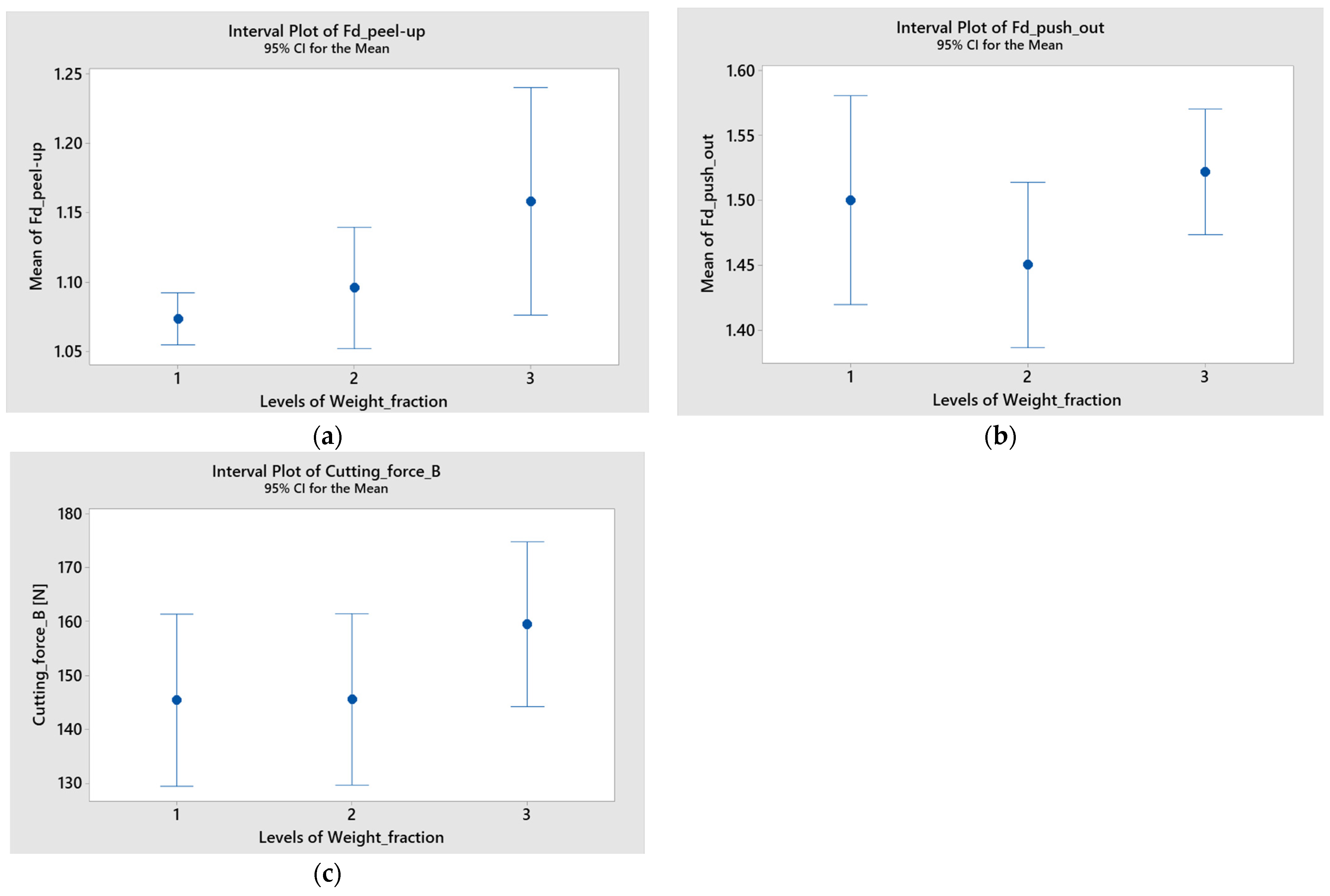
Figure 11 and Figure 12 show the interval plots with standard error bars of wf and support width versus the delamination factors Fd_peel-up and Fd_push-out along with cutting force. The mean values of delamination factors and cutting force were higher for a support width of 75 mm, as shown in Figure 12. Also, the highest mean values of delamination factors and cutting force were obtained for a wf of 60%.
ANOVA is sensitive to systematic shifts in means and can identify statistically significant effects even when the corresponding confidence intervals overlap, especially when sample sizes are adequate and variability is consistent across groups. The interval plots show that some confidence bands around the means were relatively wide, especially in the following cases: wf at level 3 for Fd_peel_up, wf at levels 1 and 2 for Fd_push_out (Figure 11), support width at level 4 for Fd_peel_up, and support width at level 2 for Fd_push_out (Figure 11).
The assumptions of normality and the homogeneity of variance were validated via normal probability plots of residuals [41]. Normal distributions were obtained, as shown in Figure 13.
The mean delamination factors Fd_peel-up and Fd_push-out obtained for different support widths for the plain-woven composite were compared with the delamination factors for twill-woven composites that were reported in our previous study [11], and the results of this comparison are listed in Table 7 and Table 8. It was found that the delamination coefficients of the plain-woven composite were higher than twill-woven composite. Thus, the Fd_peel_up coefficient value is from 0.28% to 5.53% higher for the plain-woven composite than that obtained for the twill-woven composite. The percentage difference in the Fd_peel_up coefficients for the plain- versus twill-woven composites ranges from 11.91% to 15.85% (Table 7).
Plain-woven contain more frequent interlacing points than twill-woven, leading to higher local crimp that weaken the interlaminar resistance and reduce the laminate’s ability to distribute thrust loads as the drill approaches the exit surface. Under high thrust forces, the plain-woven therefore undergoes earlier crack initiation and more unstable interlaminar propagation, resulting in larger push-out delamination.
Figure 14 illustrates the predicted behavior of the delamination factor Fd_peel_up as a function of support width and feed per tooth. In both subplots (Figure 14a,b), the delamination factor Fd_peel_up increases with increasing feed per tooth. For plain-woven GFRP, lower Fd_peel_up values are observed at support widths of 60–65 mm, confirming the trends identified in the main effect plots (Figure 9a). In the case of twill-woven GFRP, lower Fd_peel_up values are observed across all support widths at lower feed per tooth values (Figure 14b).
Figure 15 highlights the influence of support width and feed per tooth on the Fd_push_out factor. The Fd_push_out factor is minimized at a support width of 55 mm. Additionally, the Fd_push_out values are consistently higher for plain-woven GFRP compared to twill-woven GFRP. The contour plots serve as an effective predictive tool and would benefit from explicitly highlighting optimized regions and overlaying experimental data for validation.

3.3. Results of Surface Roughness and Microscopy Analysis

This section presents the results of the surface texture measurements and statistical numerical analysis of the surface roughness of the plain GFRP composite, and a comparative study between plain and twill CFRP laminates.
Surface texture measurements were performed for the drilled holes in plain-woven composites laminates, for all the range of support width and wf. Some representative images regarding the surface texture of the holes are shown in Figure 16, Figure 17 and Figure 18. The images use a color gradient to represent variations in height (μm).
The roughness images use a color scale where warm colors (bright yellow and orange) represent surface peaks or high points, while cool colors (dark purple and black) indicate valleys, pores, or recesses. This consistent color coding effectively visualizes the topographical variations on the drilled surfaces. A relative uniform roughness was ob-served for plain wave composite with a wf of 45% (Figure 16a–c). But small valleys, colored in blue, were observed in the central area. It is observed that the roughness is not uniform for wf of 50% and 60%, as shown in Figure 16d, Figure 17 and Figure 18. Thus, in Figure 16d, the upper section of the image appears to be the most irregular, suggesting a much rougher texture in that region. The central and lower sections of the image appear smoother, dominated by the consistent green color, though they still contain isolated dark spots and smaller variations. A non-uniform texture was detected for the samples analyzed in Figure 17 and Figure 18. Thus, the roughness is not evenly distributed—some regions appear smoother (green/yellow) while others are significantly rougher.
ANOVA analysis results of surface roughness for plain-woven composite versus twill-woven composite are shown in Table 9. The most significant factors that influence the surface roughness Sa were wf (47.35%), support width (23.32%), and fabric type (11.36%), within a 95% confidence level, as is shown in Table 9. The Sa parameter was found to increase with the increasing of values of the control factors (support width and weight fraction) (Figure 19a). No interactions between fabric_type with weight_fraction and support_width with weight_fraction were established, but a slight interaction between fabric_type and support_width was observed, as shown in Figure 19b. The main effect plots (Figure 19a), demonstrate that the mean roughness is lower for the plain-woven composite (level 1), 45 mm support width (level 1), and 45% wf (level 1).
The factor weight fraction exhibited the largest contribution, indicating that changes in wf consistently influenced all levels of the other factors. Support width and fabric type also showed significant but comparatively smaller effects. These findings suggest that the factors operate largely independently within the tested range, and that the primary drivers of variation are the main effects rather than their interactions.
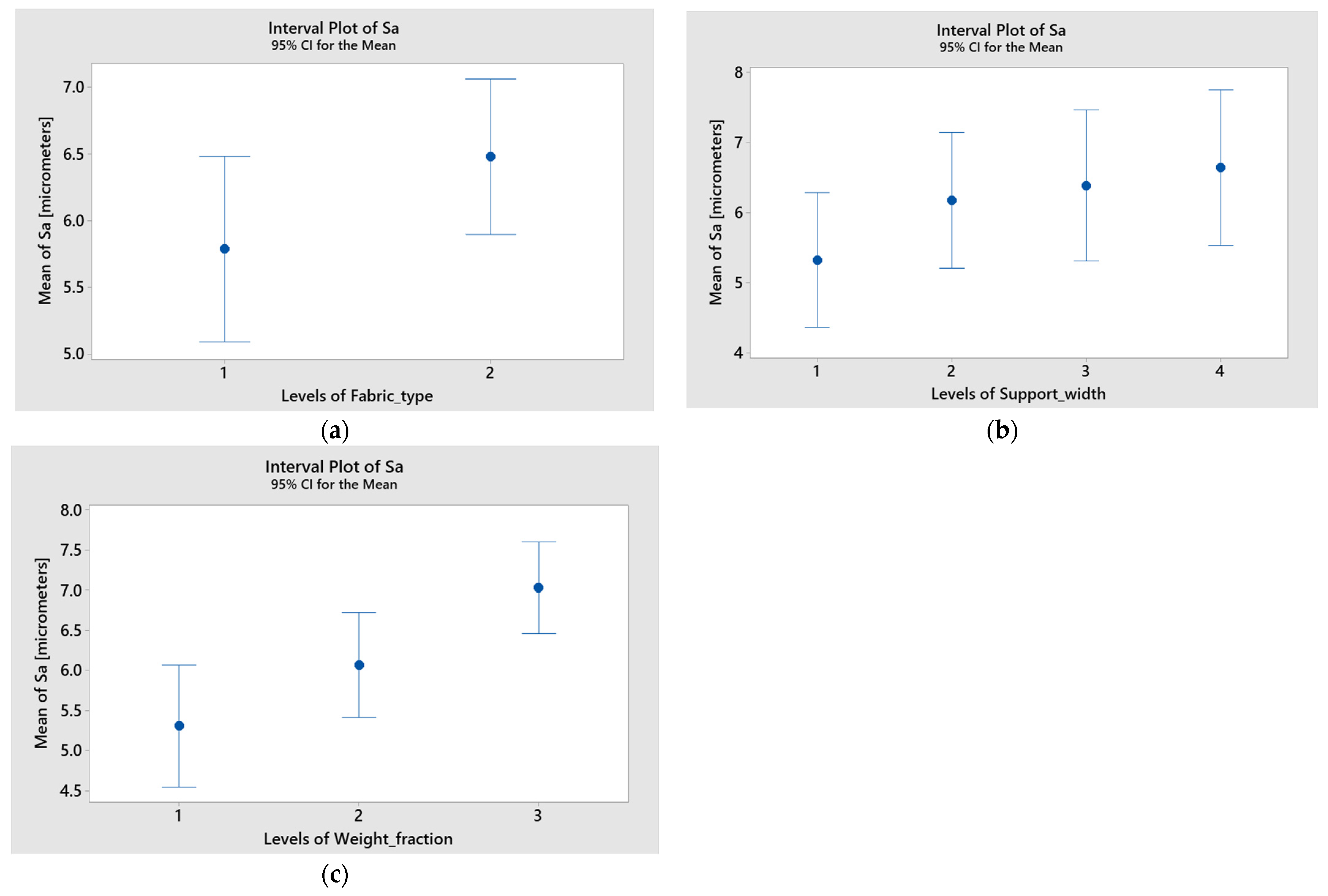
The interval plots show the mean surface roughness (Sa) for the two levels of fabric type (Figure 20a), four levels of support width (Figure 20b), and three levels of wf (Figure 20c) at a 95% confidence interval. It resulted in the mean Sa value in the range of 5 to 6.5 μm for plain-woven composites and in the range 6 to 7 μm for twill-woven composites, as is shown in Figure 20a. The interval plot of Sa for wf shows partial but not complete overlap (Figure 20c). Thus, the interval plot for level 1 overlaps slightly with that of level 2. The intervals for levels 2 and 3 also show partial overlap, though the separation of their means is more pronounced. Also, a partial overlapping of interval plot was detected for fabric type (Figure 20a). A strong overlapping of the interval plot was observed for support width, especially for levels 2, 3, and 4 (Figure 20b).
The results of the mean surface roughness (Sa) of drilled holes in plain-woven composite (samples named B1, B2, and B3) and twill-woven composites (samples named A1, A2, and A3) are shown in Figure 21.
All the samples were laminate made from four woven layers and epoxy resin, and had different wf, as is shown in the notations from Figure 21. The results have shown coefficients of variation lower than 10%, which indicates a good repeatability of the data. It was observed that mean Sa increases with support width increasing for both type of woven composite materials (Figure 21).
Surface roughness of the drilled holes in plain-woven composites laminates resulted lower than hole roughness of the twill-woven composite (Figure 21). This difference can be explained based on the fact that the plain-woven structure has the highest level of interlacement (an over-one, under-one pattern) which makes it more compact and stiffer. This high level of yarn confinement leads to more uniform material removal during drilling and results in a smoother hole surface. Also, the twill-woven composite has longer yarn segments that pass over multiple perpendicular yarns resulting a lack of support for individual fibers during the machining process that contributes to a larger amount of non-uniform material removal and a rougher surface finish in the drilled hole.

4. Conclusions

This study examined unsupported drilling of thin woven GFRP laminates manufactured by a vacuum mold pressing technique, with the aim of identifying the key parameters governing drilling-induced damage and hole quality. The novelties consist in a comprehensive methodology for analyzing unsupported drilling of thin woven GFRP laminates, combining experimental testing and multifactor ANOVA to quantify the coupled effects of support width, fiber wf, feed per tooth, and fabric weave on drilling-induced damage. Based on the experimental results and statistical analysis, the following main conclusions can be drawn:
  • Feed per tooth was identified as the dominant parameter influencing both peel-up and push-out delamination. This confirms that the material removal rate plays a critical role in damage initiation and propagation during unsupported drilling of thin woven composites.
  • The fiber weight fraction and support width exhibited secondary but measurable effects on delamination behavior. Higher fiber content generally improved laminate stiffness and resistance to drilling-induced damage, while support width influenced the stress state at the drill exit, particularly in the absence of a backup plate.
  • Fabric architecture significantly affected delamination performance. Twill-woven GFRP laminates demonstrated higher resistance to delamination compared to plain-woven laminates, highlighting the role of yarn path continuity and reduced crimp in mitigating damage during drilling.
  • Hole surface roughness was primarily influenced by the weave structure. Plain-woven laminates produced smoother hole surfaces than twill-woven laminates, which is attributed to their higher interlacement frequency and structural compactness, leading to improved stability of the material removal process.
Overall, the results demonstrate that controlling the feed per tooth is the most effective strategy for minimizing drilling-induced damage in unsupported woven GFRP laminates, while fiber content, support configuration, and fabric architecture provide additional means for optimizing delamination resistance and hole quality. The proposed experimental–statistical approach offers a practical framework for improving drilling performance in thin composite structures where the use of backup plates is not feasible.
Future studies will focus on analyzing the quality of holes in hybrid woven composite materials, using the proposed methodology and specified control factors.

Author Contributions

Conceptualization, R.U. and P.B.; methodology, K.B.-U., R.U., and P.B.; software, K.B.-U., and R.U.; validation, R.U. and P.B.; formal analysis, R.U.; investigation, K.B.-U.; resources, K.B.-U. and J.J.; data curation, K.B.-U.; writing—original draft preparation, R.U., K.B.-U., and P.B.; writing—review and editing, all authors; visualization, R.U., K.B.-U., J.J., and P.B. All authors have read and agreed to the published version of the manuscript.

Funding

This research received no external funding.

Data Availability Statement

The original contributions presented in this study are included in the article. Further inquiries can be directed to the corresponding author(s).

Conflicts of Interest

The author declares no conflicts of interest.

References

  1. Correia, J.R. Fibre-Reinforced Polymer (FRP) Composites. In Materials for Construction and Civil Engineering; Gonçalves, M.C., Margarido, F., Eds.; Springer International Publishing: Cham, Switzerland, 2015; pp. 501–556. ISBN 978-3-319-08235-6. [Google Scholar]
  2. Moy, S. Advanced Fiber-Reinforced Polymer (FRP) Composites for Civil Engineering Applications. In Developments in Fiber-Reinforced Polymer (FRP) Composites for Civil Engineering; Elsevier: Amsterdam, The Netherlands, 2013; pp. 177–204. ISBN 978-0-85709-234-2. [Google Scholar]
  3. Smits, J. Fiber-Reinforced Polymer Bridge Design in the Netherlands: Architectural Challenges toward Innovative, Sustainable, and Durable Bridges. Engineering 2016, 2, 518–527. [Google Scholar] [CrossRef]
  4. Ali, H.T.; Akrami, R.; Fotouhi, S.; Bodaghi, M.; Saeedifar, M.; Yusuf, M.; Fotouhi, M. Fiber Reinforced Polymer Composites in Bridge Industry. Structures 2021, 30, 774–785. [Google Scholar] [CrossRef]
  5. Qureshi, J. A Review of Fibre Reinforced Polymer Structures. Fibers 2022, 10, 27. [Google Scholar] [CrossRef]
  6. Asyraf, M.; Khan, T.; Syamsir, A.; Supian, A. Synthetic and Natural Fiber-Reinforced Polymer Matrix Composites for Advanced Applications. Materials 2022, 15, 6030. [Google Scholar] [CrossRef] [PubMed]
  7. Ascione, F.; Lamberti, M.; Razaqpur, A.G.; Spadea, S. Strength and Stiffness of Adhesively Bonded GFRP Beam-Column Moment Resisting Connections. Compos. Struct. 2017, 160, 1248–1257. [Google Scholar] [CrossRef]
  8. Pereszlai, C.; Geier, N.; Poór, D.I.; Balázs, B.Z.; Póka, G. Drilling Fibre Reinforced Polymer Composites (CFRP and GFRP): An Analysis of the Cutting Force of the Tilted Helical Milling Process. Compos. Struct. 2021, 262, 113646. [Google Scholar] [CrossRef]
  9. Marimuthu, P.; Raveendran, P. Experimental Study of Parameter for Turning GFRP Using Coated Tool. Appl. Mech. Mater. 2014, 573, 655–658. [Google Scholar] [CrossRef]
  10. Lih, T.C.; Azmi, A.I. Thrust Force Analyses in Drilling FRP Composites. In Machining and Machinability of Fiber Reinforced Polymer Composites; Hameed Sultan, M.T., Azmi, A.I., Majid, M.S.A., Jamir, M.R.M., Saba, N., Eds.; Composites Science and Technology; Springer: Singapore, 2021; pp. 27–62. ISBN 978-981-334-152-4. [Google Scholar]
  11. Biruk-Urban, K.; Bere, P.; Udroiu, R.; Józwik, J.; Beer-Lech, K. Understanding the Effect of Drilling Parameters on Hole Quality of Fiber-Reinforced Polymer Structures. Polymers 2024, 16, 2370. [Google Scholar] [CrossRef]
  12. Zawada-Michałowska, M.; Pieśko, P.; Legutko, S. Effect of the Cutting Tool on the Quality of a Machined Composite Part. Manuf. Technol. 2023, 23, 870–879. [Google Scholar] [CrossRef]
  13. Forintos, N.; Czigany, T. Multifunctional Application of Carbon Fiber Reinforced Polymer Composites: Electrical Properties of the Reinforcing Carbon Fibers—A Short Review. Compos. Part B Eng. 2019, 162, 331–343. [Google Scholar] [CrossRef]
  14. Davim, J.P.; Reis, P. Study of Delamination in Drilling Carbon Fiber Reinforced Plastics (CFRP) Using Design Experiments. Compos. Struct. 2003, 59, 481–487. [Google Scholar] [CrossRef]
  15. Singaravel, B.; Radhika, M.; Mohammed Asif, M.; Reddy, K.P. Analysis of Hole Quality Errors in Drilling of GFRP Composite. IOP Conf. Ser. Mater. Sci. Eng. 2021, 1057, 012069. [Google Scholar] [CrossRef]
  16. Krzyzak, A.; Racinowski, D.; Szczepaniak, R.; Kosicka, E. An Assessment of the Reliability of CFRP Composites Used in Nodes of Friction after Impact of UV-A Impacts and Thermal Shocks. Eksploat. Niezawodn. Maint. Reliab. 2023, 25, 174221. [Google Scholar] [CrossRef]
  17. Stone, R.; Krishnamurthy, K. A Neural Network Thrust Force Controller to Minimize Delamination during Drilling of Graphite-Epoxy Laminates. Int. J. Mach. Tools Manuf. 1996, 36, 985–1003. [Google Scholar] [CrossRef]
  18. Altin Karataş, M.; Motorcu, A.R.; Gökkaya, H. Study on Delamination Factor and Surface Roughness in Abrasive Water Jet Drilling of Carbon Fiber-Reinforced Polymer Composites with Different Fiber Orientation Angles. J. Braz. Soc. Mech. Sci. Eng. 2021, 43, 22. [Google Scholar] [CrossRef]
  19. Jagadeesh, P.; Mavinkere Rangappa, S.; Suyambulingam, I.; Siengchin, S.; Puttegowda, M.; Binoj, J.S.; Gorbatyuk, S.; Khan, A.; Doddamani, M.; Fiore, V.; et al. Drilling Characteristics and Properties Analysis of Fiber Reinforced Polymer Composites: A Comprehensive Review. Heliyon 2023, 9, e14428. [Google Scholar] [CrossRef]
  20. Chen, W.-C. Some Experimental Investigations in the Drilling of Carbon Fiber-Reinforced Plastic (CFRP) Composite Laminates. Int. J. Mach. Tools Manuf. 1997, 37, 1097–1108. [Google Scholar] [CrossRef]
  21. Palanikumar, K. Modeling and Analysis of Delamination Factor and Surface Roughness in Drilling GFRP Composites. Mater. Manuf. Process. 2010, 25, 1059–1067. [Google Scholar] [CrossRef]
  22. Xu, J.; Yin, Y.; Paulo Davim, J.; Li, L.; Ji, M.; Geier, N.; Chen, M. A Critical Review Addressing Drilling-Induced Damage of CFRP Composites. Compos. Struct. 2022, 294, 115594. [Google Scholar] [CrossRef]
  23. Sonkar, V.; Abhishek, K.; Datta, S.; Mahapatra, S.S. Multi-Objective Optimization in Drilling of GFRP Composites: A Degree of Similarity Approach. Procedia Mater. Sci. 2014, 6, 538–543. [Google Scholar] [CrossRef]
  24. Pathak, S.R.; Malik, A.; Mali, H.S. Optimization of Input Parameters during Drilling of Glass Fiber Reinforced Polymer Composite Using Grey Relational Analysis. Int. J. Interact. Des. Manuf. 2024, 18, 4075–4091. [Google Scholar] [CrossRef]
  25. Potluri, P.; Atkinson, J. Automated Manufacture of Composites: Handling, Measurement of Properties and Lay-up Simulations. Compos. Part A Appl. Sci. Manuf. 2003, 34, 493–501. [Google Scholar] [CrossRef]
  26. Quinn, J.P.; McIlhagger, A.T.; McIlhagger, R. Examination of the Failure of 3D Woven Composites. Compos. Part A Appl. Sci. Manuf. 2008, 39, 273–283. [Google Scholar] [CrossRef]
  27. Tang, W.; Chen, Y.; Yang, H.; Wang, H.; Yao, Q. Numerical Investigation of Delamination in Drilling of Carbon Fiber Reinforced Polymer Composites. Appl. Compos. Mater. 2018, 25, 1419–1439. [Google Scholar] [CrossRef]
  28. Mohan, N.S.; Kulkarni, S.M.; Ramachandra, A. Delamination Analysis in Drilling Process of Glass Fiber Reinforced Plastic (GFRP) Composite Materials. J. Mater. Process. Technol. 2007, 186, 265–271. [Google Scholar] [CrossRef]
  29. Persson, E.; Eriksson, I.; Hammersberg, P. Propagation of Hole Machining Defects in Pin-Loaded Composite Laminates. J. Compos. Mater. 1997, 31, 383–408. [Google Scholar] [CrossRef]
  30. Basso, I.; Batista, M.F.; Jasinevicius, R.G.; Rubio, J.C.C.; Rodrigues, A.R. Micro Drilling of Carbon Fiber Reinforced Polymer. Compos. Struct. 2019, 228, 111312. [Google Scholar] [CrossRef]
  31. Gaitonde, V.N.; Karnik, S.R.; Rubio, J.C.; Correia, A.E.; Abrão, A.M.; Davim, J.P. Analysis of Parametric Influence on Delamination in High-Speed Drilling of Carbon Fiber Reinforced Plastic Composites. J. Mater. Process. Technol. 2008, 203, 431–438. [Google Scholar] [CrossRef]
  32. Gemi, L.; Köklü, U.; Yazman, Ş.; Morkavuk, S. The Effects of Stacking Sequence on Drilling Machinability of Filament Wound Hybrid Composite Pipes: Part-1 Mechanical Characterization and Drilling Tests. Compos. Part B Eng. 2020, 186, 107787. [Google Scholar] [CrossRef]
  33. Tsao, C.C.; Hocheng, H. Effects of Exit Back-up on Delamination in Drilling Composite Materials Using a Saw Drill and a Core Drill. Int. J. Mach. Tools Manuf. 2005, 45, 1261–1270. [Google Scholar] [CrossRef]
  34. Heidary, H.; Mehrpouya, M.A. Effect of Backup Plate in Drilling of Composite Laminates, Analytical and Experimental Approaches. Thin-Walled Struct. 2019, 136, 323–332. [Google Scholar] [CrossRef]
  35. Ciecieląg, K. Effect of Composite Material Fixing on Hole Accuracy and Defects During Drilling. Adv. Sci. Technol. Res. J. 2021, 15, 54–65. [Google Scholar] [CrossRef]
  36. Bhat, R.; Mohan, N.; Sharma, S.; Pai, D.; Kulkarni, S. Multiple Response Optimisation of Process Parameters during Drilling of GFRP Composite with a Solid Carbide Twist Drill. Mater. Today Proc. 2020, 28, 2039–2046. [Google Scholar] [CrossRef]
  37. Birleanu, C.; Udroiu, R.; Cioaza, M.; Pustan, M.; Paul, B.; Vilau, C. The Effect of Fiber Weight Fraction on Tribological Behavior for Glass Fiber Reinforced Polymer. Polymers 2025, 17, 720. [Google Scholar] [CrossRef]
  38. Bere, P.; Berce, P.; Nemes, O.; Balc, N. Process and Device for Making Plates of Polymeric Composite Materials Reinforced with Fibers. Patent No. RO128093-A0, RO128093-B1, RO128093-A8, Derwent Primary Accession Number: 2013-C64056. Available online: https://worldwide.espacenet.com (accessed on 29 December 2025).
  39. ISO 527-1; Plastics—Determination of Tensile Properties—Part 1: General Principles. International Organization for Standardization: Geneva, Switzerland, 2019.
  40. ISO 14125; Fibre-Reinforced Plastic Composites—Determination of Flexural Properties. International Organization for Standardization: Geneva, Switzerland, 1998.
  41. Udroiu, R. Quality Analysis of Micro-Holes Made by Polymer Jetting Additive Manufacturing. Polymers 2023, 16, 32. [Google Scholar] [CrossRef]
Figure 1. Flowchart of the proposed methodology.
Figure 1. Flowchart of the proposed methodology.
Fibers 14 00008 g001
Figure 2. (a) Plain fabric; (b) twill fabric.
Figure 2. (a) Plain fabric; (b) twill fabric.
Fibers 14 00008 g002
Figure 3. (a) Mold pressing technology used [37]; (b) laminate samples.
Figure 3. (a) Mold pressing technology used [37]; (b) laminate samples.
Fibers 14 00008 g003
Figure 4. Schematic of samples with different widths (a = 45, 55, 65, or 75 mm).
Figure 4. Schematic of samples with different widths (a = 45, 55, 65, or 75 mm).
Fibers 14 00008 g004
Figure 5. The delamination measurement of Dmax and Dnom in a sample by optical microscopy.
Figure 5. The delamination measurement of Dmax and Dnom in a sample by optical microscopy.
Fibers 14 00008 g005
Figure 6. A schematic illustrating how the roughness measurements were performed.
Figure 6. A schematic illustrating how the roughness measurements were performed.
Fibers 14 00008 g006
Figure 7. Mechanical properties of plain-woven composite samples: (a) tensile strength; (b) bending strength.
Figure 7. Mechanical properties of plain-woven composite samples: (a) tensile strength; (b) bending strength.
Fibers 14 00008 g007
Figure 8. Mechanical properties of plain-woven composite samples: (a) tensile modulus; (b) bending modulus.
Figure 8. Mechanical properties of plain-woven composite samples: (a) tensile modulus; (b) bending modulus.
Fibers 14 00008 g008
Figure 9. Main effects plot of control factors for plain-woven GFRP composites: (a) delamination factor Fd_peel-up; (b) delamination factor Fd_push-out; (c) cutting force.
Figure 9. Main effects plot of control factors for plain-woven GFRP composites: (a) delamination factor Fd_peel-up; (b) delamination factor Fd_push-out; (c) cutting force.
Fibers 14 00008 g009
Figure 10. Interaction effects plot for plain-woven GFRP composites: (a) delamination factor Fd_peel-up; (b) delamination factor Fd_push-out; (c) cutting force.
Figure 10. Interaction effects plot for plain-woven GFRP composites: (a) delamination factor Fd_peel-up; (b) delamination factor Fd_push-out; (c) cutting force.
Fibers 14 00008 g010
Figure 11. Interval plot of wf for plain-woven GFRP composites: (a) delamination factor Fd_peel-up; (b) delamination factor Fd_push-out; (c) cutting force. Individual standard deviations were used to calculate the interval plot. Bars denote the standard errors of the mean.
Figure 11. Interval plot of wf for plain-woven GFRP composites: (a) delamination factor Fd_peel-up; (b) delamination factor Fd_push-out; (c) cutting force. Individual standard deviations were used to calculate the interval plot. Bars denote the standard errors of the mean.
Fibers 14 00008 g011
Figure 12. Interval plot of support width for plain-woven GFRP composites: (a) delamination factor Fd_peel-up; (b) delamination factor Fd_push-out; (c) cutting force. Individual standard deviations were used to calculate the interval plot. Bars denote the standard errors of the mean.
Figure 12. Interval plot of support width for plain-woven GFRP composites: (a) delamination factor Fd_peel-up; (b) delamination factor Fd_push-out; (c) cutting force. Individual standard deviations were used to calculate the interval plot. Bars denote the standard errors of the mean.
Fibers 14 00008 g012
Figure 13. Normal probability plots of delamination factors for plain-woven GFRP composites: (a) Fd_peel-up; (b) Fd_push-out.
Figure 13. Normal probability plots of delamination factors for plain-woven GFRP composites: (a) Fd_peel-up; (b) Fd_push-out.
Fibers 14 00008 g013
Figure 14. Contour plot prediction of coefficient of Fd_peel-up with support width and feed per tooth for: (a) plain-woven GFRP composite; (b) twill-woven GFRP composite.
Figure 14. Contour plot prediction of coefficient of Fd_peel-up with support width and feed per tooth for: (a) plain-woven GFRP composite; (b) twill-woven GFRP composite.
Fibers 14 00008 g014
Figure 15. Contour plot prediction of coefficient of Fd_push-out with support width and feed per tooth for: (a) plain-woven GFRP composite; (b) twill-woven GFRP composite.
Figure 15. Contour plot prediction of coefficient of Fd_push-out with support width and feed per tooth for: (a) plain-woven GFRP composite; (b) twill-woven GFRP composite.
Fibers 14 00008 g015
Figure 16. Three-dimensional surface texture (roughness Sa) for B1 (wf45%), for different support widths: (a) 45 mm; (b) 55 mm; (c) 65 mm; (d) 75 mm.
Figure 16. Three-dimensional surface texture (roughness Sa) for B1 (wf45%), for different support widths: (a) 45 mm; (b) 55 mm; (c) 65 mm; (d) 75 mm.
Fibers 14 00008 g016aFibers 14 00008 g016b
Figure 17. Three-dimensional surface texture (roughness Sa) for B2 (wf50%), for different support widths: (a) 45 mm; (b) 55 mm; (c) 65 mm; (d) 75 mm.
Figure 17. Three-dimensional surface texture (roughness Sa) for B2 (wf50%), for different support widths: (a) 45 mm; (b) 55 mm; (c) 65 mm; (d) 75 mm.
Fibers 14 00008 g017
Figure 18. Three-dimensional surface texture (roughness Sa) for B3 (wf60%), for different support widths: (a) 45 mm; (b) 55 mm; (c) 65 mm; (d) 75 mm.
Figure 18. Three-dimensional surface texture (roughness Sa) for B3 (wf60%), for different support widths: (a) 45 mm; (b) 55 mm; (c) 65 mm; (d) 75 mm.
Fibers 14 00008 g018
Figure 19. (a) Main effects plot of fabric type, support width, and wf for Sa; (b) interaction effects plot for Sa.
Figure 19. (a) Main effects plot of fabric type, support width, and wf for Sa; (b) interaction effects plot for Sa.
Fibers 14 00008 g019
Figure 20. Interval plot of Sa, depending on: (a) fabric type; (b) support width; (c) wf. Individual standard deviations are used to calculate the intervals.
Figure 20. Interval plot of Sa, depending on: (a) fabric type; (b) support width; (c) wf. Individual standard deviations are used to calculate the intervals.
Fibers 14 00008 g020
Figure 21. Support width versus hole roughness (Sa), for different wf%: (a) plain-woven GFRP composite; (b) twill-woven GFRP composite (adapted from [11]).
Figure 21. Support width versus hole roughness (Sa), for different wf%: (a) plain-woven GFRP composite; (b) twill-woven GFRP composite (adapted from [11]).
Fibers 14 00008 g021
Table 1. Sample plate.
Table 1. Sample plate.
SampleB1B2B3
wf. [%]455060
Thickness [mm]1.81.551.3
Density [kg/m3]139314311538
Layers used [0/90]4444
Table 2. Control factors and their levels for delamination and cutting force analysis.
Table 2. Control factors and their levels for delamination and cutting force analysis.
TargetSupport Width, aWeight Fraction, wf Feed Per Tooth, fz
SymbolValue [mm]SymbolValue [%]SymbolValue [mm/Tooth]
Fd_peel-up
Fd_push-out
Cutting_force
14514510.04
25525020.08
36536030.12
475--40.16
Table 3. Control factors and their levels for a comparative analysis of surface roughness in plain-woven composite versus twill-woven composites.
Table 3. Control factors and their levels for a comparative analysis of surface roughness in plain-woven composite versus twill-woven composites.
TargetSupport Width, aWeight Fraction, wf Fabric Type
SymbolValue [mm]SymbolValue [%]SymbolValue
Sa1451451Plain-woven
2552502Twill-woven
365360--
475----
Table 4. Standard deviation and coefficient of variation for mechanical properties of plain-woven GFRP composites.
Table 4. Standard deviation and coefficient of variation for mechanical properties of plain-woven GFRP composites.
Tensile Strength Bending Strength Tensile Modulus Bending Modulus
SD[MPa]CV [%]SD[MPa]CV [%]SD[MPa]CV[%]SD[MPa]CV[%]
B1 (wf_45%)14.526.5614.526.56302.572.08354.652.14
B2 (wf_50%)11.14.2911.14.29457.763.07543.33.43
B3 (wf_60%)10.53.2210.53.22350.132.14237.261.56
Note: SD—standard deviation; CV—coefficient of variation in the results.
Table 5. ANOVA analysis results of delamination factors of plain-woven GFRP composites.
Table 5. ANOVA analysis results of delamination factors of plain-woven GFRP composites.
Fd_peel-up Fd_push-out
SourceSeq SSF-Valuep-ValuePC[%]Seq SSF-Valuep-ValuePC[%]
 Support_width0.059867.060.00211.160.0031980.220.8810.44
 Weight_fraction0.0615510.90.00111.480.043414.50.0266
 Feed _per_tooth0.2133825.18<0.00139.790.3972827.44<0.00154.91
 Support_width*Weight_fraction0.015970.940.492.980.0804412.780.04311.12
 Support_width*Feed _per_tooth0.063452.50.04711.830.0866331.990.10211.97
 Weight_fraction*Feed _per_tooth0.071164.20.00813.270.0256530.890.5253.55
Error0.05084 9.480.086854 12.01
Total0.5362 1000.72347 100
Table 6. ANOVA analysis results of cutting force for plain-woven GFRP composites.
Table 6. ANOVA analysis results of cutting force for plain-woven GFRP composites.
Cutting_force
SourceSeq SSF-Valuep-ValuePC[%]
 Support_width446.31.480.2531.08
 Weight_fraction210010.470.0015.1
 Feed _per_tooth32,898.6109.31<0.00179.95
 Weight_fraction*Support_width1563.82.60.0543.8
 Weight_fraction*Feed _per_tooth3590.60.7290.87
 Support_width*Feed _per_tooth1973.92.190.0754.8
Error1805.8 4.39
Total41,147.4 100
Table 7. The mean delamination factors of plain-woven GFRP and twill-woven GFRP composites.
Table 7. The mean delamination factors of plain-woven GFRP and twill-woven GFRP composites.
Composite Type Support Width [mm] Delamination Factor
45 55 65 75
Plain-woven GFRPFd_peel-up 1.1151.0831.0731.164
Fd_push-out1.4921.4981.4761.494
Twill-woven GFRPFd_peel-up1.091.0741.071.103
Fd_push-out1.3071.2931.311.335
Table 8. The percentage difference between the mean delamination factors of plain-woven GFRP composites versus twill-woven GFRP composites.
Table 8. The percentage difference between the mean delamination factors of plain-woven GFRP composites versus twill-woven GFRP composites.
Difference [%] in Delamination: Plain Versus Twill
Support width [mm]45556575
Fd_peel-up 2.29%0.83%0.28%5.53%
Fd_push-out14.15%15.85%12.67%11.91%
Table 9. ANOVA analysis results of surface roughness Sa for plain-woven composites versus twill-woven composites.
Table 9. ANOVA analysis results of surface roughness Sa for plain-woven composites versus twill-woven composites.
Surface Roughness (Sa)
SourceSeq SSF-Valuep-ValuePC[%]
 Fabric_type2.867310.770.01711.36
 Support_width5.88517.370.01923.32
 Weight_fraction11.950122.450.00247.35
 Fabric_type*Support_width1.46061.830.2425.79
 Fabric_type*Weight_fraction0.81171.520.2913.22
 Support_width*Weight_fraction0.66860.420.8432.65
Error1.5969 6.33
Total25.2403 100
Disclaimer/Publisher’s Note: The statements, opinions and data contained in all publications are solely those of the individual author(s) and contributor(s) and not of MDPI and/or the editor(s). MDPI and/or the editor(s) disclaim responsibility for any injury to people or property resulting from any ideas, methods, instructions or products referred to in the content.

Share and Cite

MDPI and ACS Style

Udroiu, R.; Bere, P.; Biruk-Urban, K.; Józwik, J. A New Experimental Framework for Unsupported Drilling of Thin Woven GFRP Laminates. Fibers 2026, 14, 8. https://doi.org/10.3390/fib14010008

AMA Style

Udroiu R, Bere P, Biruk-Urban K, Józwik J. A New Experimental Framework for Unsupported Drilling of Thin Woven GFRP Laminates. Fibers. 2026; 14(1):8. https://doi.org/10.3390/fib14010008

Chicago/Turabian Style

Udroiu, Razvan, Paul Bere, Katarzyna Biruk-Urban, and Jerzy Józwik. 2026. "A New Experimental Framework for Unsupported Drilling of Thin Woven GFRP Laminates" Fibers 14, no. 1: 8. https://doi.org/10.3390/fib14010008

APA Style

Udroiu, R., Bere, P., Biruk-Urban, K., & Józwik, J. (2026). A New Experimental Framework for Unsupported Drilling of Thin Woven GFRP Laminates. Fibers, 14(1), 8. https://doi.org/10.3390/fib14010008

Note that from the first issue of 2016, this journal uses article numbers instead of page numbers. See further details here.

Article Metrics

Back to TopTop