Investigation of the Effect of Chemical Treatment on the Properties of Colombian Banana and Coir Fibers and Their Adhesion Behavior on Polylactic Acid and Unsaturated Polyester Matrices
Abstract
1. Introduction
2. Materials and Methods
2.1. Materials
2.2. Alkali Treatment of Fibers
2.3. Characterization of Fibers
2.3.1. Measurements of Mechanical Properties
2.3.2. Fourier Transform Infrared Spectroscopy
2.3.3. Scanning Electron Microscopy
2.3.4. Thermogravimetric Analysis
2.4. Fiber–Matrix Adhesion Analysis
2.4.1. Preparation of Specimen Pull-Out Test
2.4.2. Pull-Out Test
3. Results and Discussions
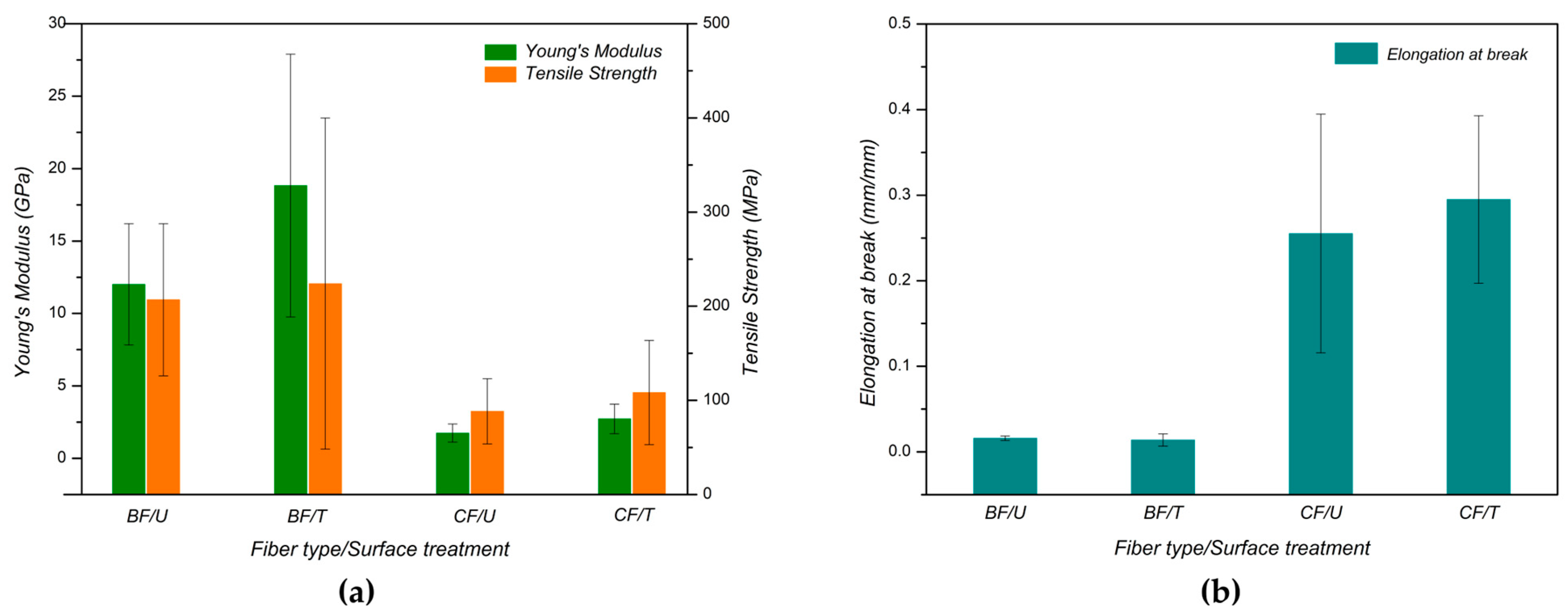
3.1. Analysis of Mechanical Properties
3.2. Fourier Transform Infrared Spectroscopy Analysis
3.3. Scanning Electron Microscopy
3.4. Thermogravimetric Results Analysis
3.5. Fiber–Matrix Adhesion Behavior
4. Conclusions
Author Contributions
Funding
Institutional Review Board Statement
Data Availability Statement
Acknowledgments
Conflicts of Interest
References
- Gurunathan, T.; Mohanty, S.; Nayak, S.K. A Review of the Recent Developments in Biocomposites Based on Natural Fibres and Their Application Perspectives. Compos. Part. A Appl. Sci. Manuf. 2015, 77, 1–25. [Google Scholar] [CrossRef]
- Saindane, U.V.; Soni, S.; Menghani, J.V. Recent Research Status on Synthesis and Characterization of Natural Fibers Reinforced Polymer Composites and Modern Friction Materials—An Overview. Proc. Mater. Today Proc. 2019, 26, 1616–1620. [Google Scholar] [CrossRef]
- Zarna, C.; Opedal, M.T.; Echtermeyer, A.T.; Chinga-Carrasco, G. Reinforcement Ability of Lignocellulosic Components in Biocomposites and Their 3D Printed Applications—A Review. Compos. Part C Open Access 2021, 6, 100171. [Google Scholar] [CrossRef]
- Patel, B.Y.; Patel, H.K. Retting of Banana Pseudostem Fibre Using Bacillus Strains to Get Excellent Mechanical Properties as Biomaterial in Textile & Fiber Industry. Heliyon 2022, 8, e10652. [Google Scholar] [CrossRef] [PubMed]
- Yang, J.; Li, N.; Wang, C.; Chang, T.; Jiang, H. Ultrasound-Homogenization-Assisted Extraction of Polyphenols from Coconut Mesocarp: Optimization Study. Ultrason. Sonochem. 2021, 78, 105739. [Google Scholar] [CrossRef] [PubMed]
- Yaashikaa, P.R.; Senthil Kumar, P.; Varjani, S. Valorization of Agro-Industrial Wastes for Biorefinery Process and Circular Bioeconomy: A Critical Review. Bioresour. Technol. 2022, 343, 126126. [Google Scholar] [CrossRef] [PubMed]
- Oushabi, A. The Pull-out Behavior of Chemically Treated Lignocellulosic Fibers/Polymeric Matrix Interface (LF/PM): A Review. Compos. B Eng. 2019, 174, 107059. [Google Scholar] [CrossRef]
- Lee, C.H.; Khalina, A.; Lee, S.H. Importance of Interfacial Adhesion Condition on Characterization of Plant-Fiber-Reinforced Polymer Composites: A Review. Polymers 2021, 13, 438. [Google Scholar] [CrossRef]
- Akintayo, C.O.; Azeez, M.A.; Beuerman, S.; Akintayo, E.T. Spectroscopic, Mechanical, and Thermal Characterization of Native and Modified Nigerian Coir Fibers. J. Nat. Fibers 2016, 13, 520–531. [Google Scholar] [CrossRef]
- Sathish, S.; Karthi, N.; Prabhu, L.; Gokulkumar, S.; Balaji, D.; Vigneshkumar, N.; Ajeem Farhan, T.S.; Akilkumar, A.; Dinesh, V.P. A Review of Natural Fiber Composites: Extraction Methods, Chemical Treatments and Applications. Mater. Today Proc. 2021, 45, 8017–8023. [Google Scholar] [CrossRef]
- Žiganova, M.; Ābele, A.; Iesalniece, Z.; Meri, R.M. Mercerization of Agricultural Waste: Sweet Clover, Buckwheat, and Rapeseed Straws. Fibers 2022, 10, 83. [Google Scholar] [CrossRef]
- Jaramillo-Quiceno, N.; Vélez R, J.M.; Cadena Ch, E.M.; Restrepo-Osorio, A.; Santa, J.F. Improvement of Mechanical Properties of Pineapple Leaf Fibers by Mercerization Process. Fibers Polym. 2018, 19, 2604–2611. [Google Scholar] [CrossRef]
- Ernest, E.M.; Peter, A.C. Application of Selected Chemical Modification Agents on Banana Fibre for Enhanced Composite Production. Clean. Mater. 2022, 5, 100131. [Google Scholar] [CrossRef]
- Sawpan, M.A.; Pickering, K.L.; Fernyhough, A. Effect of Various Chemical Treatments on the Fibre Structure and Tensile Properties of Industrial Hemp Fibres. Compos. Part A Appl. Sci. Manuf. 2011, 42, 888–895. [Google Scholar] [CrossRef]
- Da Luz, F.S.; Ramos, F.J.H.T.V.; Nascimento, L.F.C.; Figueiredo, A.B.H.D.S.; Monteiro, S.N. Critical Length and Interfacial Strength of PALF and Coir Fiber Incorporated in Epoxy Resin Matrix. J. Mater. Res. Technol. 2018, 7, 528–534. [Google Scholar] [CrossRef]
- Mokaloba, N.; Batane, R. The Effects of Mercerization and Acetylation Treatments on the Properties of Sisal Fiber and Its Interfacial Adhesion Characteristics on Polypropylene. Int. J. Eng. Sci. Technol. 2014, 6, 83. [Google Scholar] [CrossRef]
- Gayathri, N.; Shanmuganathan, V.K.; Joyson, A.; Aakash, M.; Godwin Joseph, A. Mechanical Properties Investigation on Natural Fiber Reinforced Epoxy Polymer Composite. Mater. Today Proc. 2023, 72, 2574–2580. [Google Scholar] [CrossRef]
- Pitchayya Pillai, G.; Manimaran, P.; Vignesh, V. Physico-Chemical and Mechanical Properties of Alkali-Treated Red Banana Peduncle Fiber. J. Nat. Fibers 2021, 18, 2102–2111. [Google Scholar] [CrossRef]
- Javanshour, F.; Prapavesis, A.; Pournoori, N.; Soares, G.C.; Orell, O.; Pärnänen, T.; Kanerva, M.; Van Vuure, A.W.; Sarlin, E. Impact and Fatigue Tolerant Natural Fibre Reinforced Thermoplastic Composites by Using Non-Dry Fibres. Compos. Part A Appl. Sci. Manuf. 2022, 161, 107110. [Google Scholar] [CrossRef]
- Jänicke, G.; Vintache, A.; Smaniotto, B.; Fau, A.; Farina, I.; Fraternali, F.; Hild, F. Debonding Analysis via Digital Volume Correlation during In-Situ Pull-out Tests on Fractal Fibers. Compos. Part C Open Access 2022, 9, 100302. [Google Scholar] [CrossRef]
- Garcia-Diaz, Y.; Torres-Ortega, R.; Tovar, C.T.; Quiñones-Bolaños, E.; Saba, M. Characterization of Pull-out Behavior in the Fiber–Mortar Interface with Superficial Treatments. Constr. Build. Mater. 2021, 303, 124474. [Google Scholar] [CrossRef]
- Huang, S.; Fu, Q.; Yan, L.; Kasal, B. Characterization of Interfacial Properties between Fibre and Polymer Matrix in Composite Materials—A Critical Review. J. Mater. Res. Technol. 2021, 13, 1441–1484. [Google Scholar] [CrossRef]
- Zhang, Z.; Li, Y.; Fu, K.; Li, Q. Determination of Interfacial Properties of Cellulose Nanocrystal-Modified Sisal Fibre in Epoxy by Cyclic Single-Fibre Pull-Out. Compos. Sci. Technol. 2020, 193, 108142. [Google Scholar] [CrossRef]
- Merlini, C.; Soldi, V.; Barra, G.M.O. Influence of Fiber Surface Treatment and Length on Physico-Chemical Properties of Short Random Banana Fiber-Reinforced Castor Oil Polyurethane Composites. Polym. Test. 2011, 30, 833–840. [Google Scholar] [CrossRef]
- Nam, T.H.; Ogihara, S.; Tung, N.H.; Kobayashi, S. Effect of Alkali Treatment on Interfacial and Mechanical Properties of Coir Fiber Reinforced Poly(Butylene Succinate) Biodegradable Composites. Compos. B Eng. 2011, 42, 1648–1656. [Google Scholar] [CrossRef]
- Madyira, D.M.; Kaymakci, A. Mechanical Characterization of Coir Epoxy Composites and Effect of Processing Methods on Mechanical Properties. In Proceedings of the International Conference on Competitive Manufacturing COMA 16, Stellenbosch, South Africa, 27–29 January 2016; Available online: https://hdl.handle.net/10210/123894 (accessed on 21 March 2023).
- Rivero-Romero, O.; Barrera-Fajardo, I.; Unfried-Silgado, J. Effects of Printing Parameters on Fiber Eccentricity and Porosity Level in a Thermoplastic Matrix Composite Reinforced with Continuous Banana Fiber Fabricated by FFF with in Situ Impregnation. Int. J. Adv. Manuf. Technol. 2023, 125, 1893–1901. [Google Scholar] [CrossRef]
- Buelvas, Y.; Díaz, L. Caracterización de Fibras del Mesocarpio del coco como Potencial Refuerzo para la Elaboración de Materiales Compuestos. Undergraduate Thesis, Universidad de Córdoba, Córdoba, Colombia, 2023. Available online: https://repositorio.unicordoba.edu.co/handle/ucordoba/7177 (accessed on 4 April 2023).
- Montoya, J.; Negrete, J. Caracterización de la Fibra del Pseudotallo del Plátano como Potencial Refuerzo para la Elaboración de Materiales Compuestos. Undergraduate Thesis, Universidad de Córdoba, Córdoba, Colombia, 2023. Available online: https://repositorio.unicordoba.edu.co/handle/ucordoba/7173 (accessed on 3 April 2023).
- Hall, M.B.; Mertens, D.R. Comparison of Alternative Neutral Detergent Fiber Methods to the AOAC Definitive Method. J. Dairy Sci. 2023, 106, 5364–5378. [Google Scholar] [CrossRef]
- Ossa Henao, D.M.; Chica Arrieta, E.L.; Colorado Granda, A.F.; Amell Arrieta, A.A.; Unfried-Silgado, J. Characterization of Bovine Ruminal Content Focusing on Energetic Potential Use and Valorization Opportunities. Heliyon 2023, 9, e13408. [Google Scholar] [CrossRef]
- ASTM C1557-20; Standard Test Method for Tensile Strength and Young’s Modulus of Fibers, Book of Standards Volume: 15.01, Developed by Subcommittee: C28.07. ASTM International: West Conshohocken, PA, USA, 2020; p. 11.
- Mathura, N.; Cree, D. Characterization and Mechanical Property of Trinidad Coir Fibers. J. Appl. Polym. Sci. 2016, 133, 1–9. [Google Scholar] [CrossRef]
- Valášek, P.; Müller, M.; Šleger, V.; Kolář, V.; Hromasová, M.; D’amato, R.; Ruggiero, A. Influence of Alkali Treatment on the Microstructure and Mechanical Properties of Coir and Abaca Fibers. Materials 2021, 14, 2636. [Google Scholar] [CrossRef]
- Amiandamhen, S.O.; Meincken, M.; Tyhoda, L. Natural Fibre Modification and Its Influence on Fibre-Matrix Interfacial Properties in Biocomposite Materials. Fibers Polym. 2020, 21, 677–689. [Google Scholar] [CrossRef]
- Gleadall, A. FullControl GCode Designer: Open-Source Software for Unconstrained Design in Additive Manufacturing. Addit. Manuf. 2021, 46, 102109. [Google Scholar] [CrossRef]
- Hestiawan, H.; Jamasri; Kusmono. Effect of Chemical Treatments on Tensile Properties and Interfacial Shear Strength of Unsaturated Polyester/Fan Palm Fibers. J. Nat. Fibers 2018, 15, 762–775. [Google Scholar] [CrossRef]
- Oushabi, A.; Sair, S.; Oudrhiri, H.F.; Abboud, Y.; Tanane, O.; El Bouari, A. The effect of alkali treatment on mechanical, morphological and thermal properties of date palm fibers (DPFs): Study of the interface of DPF–Polyurethane composite. S. Afr. J. Chem. Eng. 2017, 23, 116–123. [Google Scholar] [CrossRef]
- Chokshi, S.; Parmar, V.; Gohil, P.; Chaudhary, V. Chemical Composition and Mechanical Properties of Natural Fibers. J. Nat. Fibers 2022, 19, 3942–3953. [Google Scholar] [CrossRef]
- Rajeshkumar, G.; Arvindh Seshadri, S.; Devnani, G.L.; Sanjay, M.R.; Siengchin, S.; Prakash Maran, J.; Al-Dhabi, N.A.; Karuppiah, P.; Mariadhas, V.A.; Sivarajasekar, N.; et al. Environment Friendly, Renewable and Sustainable Poly Lactic Acid (PLA) Based Natural Fiber Reinforced Composites—A Comprehensive Review. J. Clean. Prod. 2021, 310, 127483. [Google Scholar] [CrossRef]
- Valášek, P.; D’Amato, R.; Müller, M.; Ruggiero, A. Mechanical Properties and Abrasive Wear of White/Brown Coir Epoxy Composites. Compos. B Eng. 2018, 146, 88–97. [Google Scholar] [CrossRef]
- Hernandez-Estrada, A.; Gusovius, H.J.; Müssig, J.; Hughes, M. Assessing the Susceptibility of Hemp Fibre to the Formation of Dislocations during Processing. Ind. Crops Prod. 2016, 85, 382–388. [Google Scholar] [CrossRef]
- Sawpan, M.A.; Pickering, K.L.; Fernyhough, A. Effect of Fibre Treatments on Interfacial Shear Strength of Hemp Fibre Reinforced Polylactide and Unsaturated Polyester Composites. Compos. Part A Appl. Sci. Manuf. 2011, 42, 1189–1196. [Google Scholar] [CrossRef]
- Twebaze, C.; Zhang, M.; Zhuang, X.; Kimani, M.; Zheng, G.; Wang, Z. Banana Fiber Degumming by Alkali Treatment and Ultrasonic Methods. J. Nat. Fibers 2022, 19, 12911–12923. [Google Scholar] [CrossRef]
- Kannan, G.; Thangaraju, R. Evaluation of Tensile, Flexural and Thermal Characteristics on Agro-Waste Based Polymer Composites Reinforced with Banana Fiber/Coconut Shell Filler. J. Nat. Fibers 2023, 20, 2154630. [Google Scholar] [CrossRef]
- Oyewo, A.T.; Oluwole, O.O.; Ajide, O.O.; Omoniyi, T.E.; Akhter, P.; Hamayun, M.H.; Kang, B.S.; Park, Y.K.; Hussain, M. Physico-Chemical, Thermal and Micro-Structural Characterization of Four Common Banana Pseudo-Stem Fiber Cultivars in Nigeria. J. Nat. Fibers 2023, 20, 2167031. [Google Scholar] [CrossRef]
- Badanayak, P.; Jose, S.; Bose, G. Banana Pseudostem Fiber: A Critical Review on Fiber Extraction, Characterization, and Surface Modification. J. Nat. Fibers 2023, 20, 2168821. [Google Scholar] [CrossRef]
- Gupta, U.S.; Dhamarikar, M.; Dharkar, A.; Chaturvedi, S.; Tiwari, S.; Namdeo, R. Surface Modification of Banana Fiber: A Review. Proc. Mater. Today Proc. 2020, 43, 904–915. [Google Scholar] [CrossRef]
- Mittal, M.; Chaudhary, R. Experimental Study on the Water Absorption and Surface Characteristics of Alkali Treated Pineapple Leaf Fibre and Coconut Husk fibre. Int. J. Appl. Eng. Res. 2018, 13, 12237–12243. [Google Scholar]
- Soraisham, L.D.; Gogoi, N.; Mishra, L.; Basu, G. Extraction and Evaluation of Properties of Indian Banana Fibre (Musa domestica Var. Balbisiana, BB Group) and Its Processing with Ramie. J. Nat. Fibers 2022, 19, 5839–5850. [Google Scholar] [CrossRef]
- Oladele, I.O.; Michael, O.S.; Adediran, A.A.; Balogun, O.P.; Ajagbe, F.O. Acetylation Treatment for the Batch Processing of Natural Fibers: Effects on Constituents, Tensile Properties and Surface Morphology of Selected Plant Stem Fibers. Fibers 2020, 8, 73. [Google Scholar] [CrossRef]
- dos Santos, J.C.; Siqueira, R.L.; Vieira, L.M.G.; Freire, R.T.S.; Mano, V.; Panzera, T.H. Effects of Sodium Carbonate on the Performance of Epoxy and Polyester Coir-Reinforced Composites. Polym. Test. 2018, 67, 533–544. [Google Scholar] [CrossRef]
- Senthamaraikannan, P.; Kathiresan, M. Characterization of Raw and Alkali Treated New Natural Cellulosic Fiber from Coccinia grandis.L. Carbohydr. Polym. 2018, 186, 332–343. [Google Scholar] [CrossRef]
- Setswalo, K.; Molaletsa, N.; Oladijo, O.P.; Akinlabi, E.T.; Rangappa, S.M.; Siengchin, S. The Influence of Fiber Processing and Alkaline Treatment on the Properties of Natural Fiber-Reinforced Composites: A Review. Appl. Sci. Eng. Prog. 2021, 14, 632–650. [Google Scholar] [CrossRef]
- Cadena Ch, E.M.; Vélez R, J.M.; Santa, J.F.; Otálvaro, G.V. Natural Fibers from Plantain Pseudostem (Musa paradisiaca) for Use in Fiber-Reinforced Composites. J. Nat. Fibers 2017, 14, 678–690. [Google Scholar] [CrossRef]
- Ntimugura, F.; Wilson, K.; Vinai, R.; Walker, P. Effect of Alkali-Silica Treatments of Miscanthus Fibres on Chemical and Micro-Morphological Modifications. Clean. Mater. 2023, 8, 100182. [Google Scholar] [CrossRef]
- Cai, M.; Takagi, H.; Nakagaito, A.N.; Katoh, M.; Ueki, T.; Waterhouse, G.I.N.; Li, Y. Influence of Alkali Treatment on Internal Microstructure and Tensile Properties of Abaca Fibers. Ind. Crops Prod. 2015, 65, 27–35. [Google Scholar] [CrossRef]
- de Farias, J.G.G.; Cavalcante, R.C.; Canabarro, B.R.; Viana, H.M.; Scholz, S.; Simão, R.A. Surface Lignin Removal on Coir Fibers by Plasma Treatment for Improved Adhesion in Thermoplastic Starch Composites. Carbohydr. Polym. 2017, 165, 429–436. [Google Scholar] [CrossRef] [PubMed]
- Ru, S.; Zhao, C.; Yang, S. Multi-Objective Optimization and Analysis of Mechanical Properties of Coir Fiber from Coconut Forest Waste. Forests 2022, 13, 33. [Google Scholar] [CrossRef]
- Lai, T.S.M.; Jayamani, E.; Soon, K.H. Comparative Study on Thermogravimetric Analysis of Banana Fibers Treated with Chemicals. Mater. Today Proc. 2022, 78, 458–461. [Google Scholar] [CrossRef]
- Komal, U.K.; Verma, V.; Aswani, T.; Verma, N.; Singh, I. Effect of Chemical Treatment on Mechanical Behavior of Banana Fiber Reinforced Polymer Composites. Mater. Today Proc. 2018, 5, 16983–16989. [Google Scholar] [CrossRef]
- Hossain, M.K.; Karim, M.R.; Chowdhury, M.R.; Imam, M.A.; Hosur, M.; Jeelani, S.; Farag, R. Comparative Mechanical and Thermal Study of Chemically Treated and Untreated Single Sugarcane Fiber Bundle. Ind. Crops Prod. 2014, 58, 78–90. [Google Scholar] [CrossRef]
- Maharana, S.M.; Pandit, M.K.; Pradhan, A.K. Effect of Chemical Treatment and Fumed Silica Coating on Tensile and Thermogravimetric Properties of Jute Yarn. Proc. Mater. Today Proc. 2019, 27, 2693–2698. [Google Scholar] [CrossRef]
- Boshoff, W.P.; Mechtcherine, V.; van Zijl, G.P.A.G. Characterising the Time-Dependant Behaviour on the Single Fibre Level of SHCC: Part 2: The Rate Effects on Fibre Pull-out Tests. Cem. Concr. Res. 2009, 39, 787–797. [Google Scholar] [CrossRef]
- Oliveira, M.S.; Pereira, A.C.; da Costa Garcia Filho, F.; da Cruz Demosthenes, L.C.; Monteiro, S.N. Performance of Epoxy Matrix Reinforced with Fique Fibers in Pullout Tests. In Characterization of Minerals, Metals, and Materials 2019; Li, B., Li, J., Ikhmayies, S., Zhang, M., Kalay, Y.E., Carpenter, J.S., Hwang, J.Y., Monteiro, S.N., Bai, C., Escobedo-Diaz, J.P., et al., Eds.; Minerals, Metals and Materials Series; Springer International Publishing: Berlin/Heidelberg, Germany, 2019; pp. 729–734. [Google Scholar]
- Richely, E.; Bourmaud, A.; Placet, V.; Guessasma, S.; Beaugrand, J. A Critical Review of the Ultrastructure, Mechanics and Modelling of Flax Fibres and Their Defects. Prog. Mater. Sci. 2022, 124, 100851. [Google Scholar] [CrossRef]
- Naik, D.L.; Sharma, A.; Chada, R.R.; Kiran, R.; Sirotiak, T. Modified Pullout Test for Indirect Characterization of Natural Fiber and Cementitious Matrix Interface Properties. Constr. Build. Mater. 2019, 208, 381–393. [Google Scholar] [CrossRef]
- Ferrara, G.; Pepe, M.; Martinelli, E.; Filho, R.D.T. Influence of an Impregnation Treatment on the Morphology and Mechanical Behaviour of Flax Yarns Embedded in Hydraulic Lime Mortar. Fibers 2019, 7, 30. [Google Scholar] [CrossRef]
- Nirmal, U.; Singh, N.; Hashim, J.; Lau, S.T.W.; Jamil, N. On the Effect of Different Polymer Matrix and Fibre Treatment on Single Fibre Pullout Test Using Betelnut Fibres. Mater. Des. 2011, 32, 2717–2726. [Google Scholar] [CrossRef]
- Huerta-Cardoso, O.; Durazo-Cardenas, I.; Marchante-Rodriguez, V.; Longhurst, P.; Coulon, F.; Encinas-Oropesa, A. Up-Cycling of Agave Tequilana Bagasse-Fibres: A Study on the Effect of Fibre-Surface Treatments on Interfacial Bonding and Mechanical Properties. Results Mater. 2020, 8, 100158. [Google Scholar] [CrossRef]
- Wang, B.; Yan, L.; Kasal, B. A Review of Coir Fibre and Coir Fibre Reinforced Cement-Based Composite Materials (2000–2021). J. Clean. Prod. 2022, 338, 130676. [Google Scholar] [CrossRef]
- Orue, A.; Jauregi, A.; Peña-Rodriguez, C.; Labidi, J.; Eceiza, A.; Arbelaiz, A. The Effect of Surface Modifications on Sisal Fiber Properties and Sisal/Poly (Lactic Acid) Interface Adhesion. Compos. B Eng. 2015, 73, 132–138. [Google Scholar] [CrossRef]
- Viel, Q.; Esposito, A.; Saiter, J.M.; Santulli, C.; Turner, J.A. Interfacial Characterization by Pull-out Test of Bamboo Fibers Embedded in Poly(Lactic Acid). Fibers 2018, 6, 7. [Google Scholar] [CrossRef]









| Material | Cellulose (%) | Hemicellulose (%) | Lignin (%) | Other Substances (%) |
|---|---|---|---|---|
| Banana fiber | 41.17 | 11.51 | 13.61 | 33.71 |
| Coir fiber | 34.75 | 5.27 | 34.01 | 25.97 |
| Fiber Type | Surface Treatment | Matrix Type | Nomenclature |
|---|---|---|---|
| Banana | Treated | UPR | BF/UPR/T |
| PLA | BF/PLA/T | ||
| Untreated | UPR | BF/UPR/U | |
| PLA | BF/PLA/U | ||
| Coir | Treated | UPR | CF/UPR/T |
| PLA | CF/PLA/T | ||
| Untreated | UPR | CF/UPR/U | |
| PLA | CF/PLA/U |
| Mechanical Properties | Factor Variable | DF | Adj SS | Adj Ms | F-Value | p-Value |
|---|---|---|---|---|---|---|
| Tensile Strength | Fiber type | 1 | 165,460 | 165,460 | 14.57 | 0.0004 * |
| Surface treatment | 1 | 21,414.1 | 21,414.1 | 1.89 | 0.1761 | |
| Young’s modulus | Fiber type | 1 | 2062.62 | 2062.62 | 82.48 | 0.0000 * |
| Surface treatment | 1 | 269.132 | 269.132 | 10.76 | 0.0019 * | |
| Elongation at break | Fiber type | 1 | 0.8736 | 0.8736 | 110.89 | 0.0000 * |
| Surface treatment | 1 | 0.0037 | 0.0037 | 0.47 | 0.4951 |
| Specimen | IFSS (MPa) | %, Broke of Fiber | Specimen |
|---|---|---|---|
| BF/UPR/T | -- | 100 | BF/UPR/T |
| BF/PLA/T | -- | 100 | BF/PLA/T |
| BF/UPR/U | 0.64 | 50 | BF/UPR/U |
| BF/PLA/U | 1.26 (±0.155) | 0 | BF/PLA/U |
| CF/UPR/T | 1.01 (±0.356) | 20 | CF/UPR/T |
| CF/PLA/T | 0.75 (±0.281) | 50 | CF/PLA/T |
| CF/UPR/U | 0.92 (±0.261) | 11 | CF/UPR/U |
| CF/PLA/U | 0.92 (±0.236) | 0 | CF/PLA/U |
Disclaimer/Publisher’s Note: The statements, opinions and data contained in all publications are solely those of the individual author(s) and contributor(s) and not of MDPI and/or the editor(s). MDPI and/or the editor(s) disclaim responsibility for any injury to people or property resulting from any ideas, methods, instructions or products referred to in the content. |
© 2024 by the authors. Licensee MDPI, Basel, Switzerland. This article is an open access article distributed under the terms and conditions of the Creative Commons Attribution (CC BY) license (https://creativecommons.org/licenses/by/4.0/).
Share and Cite
Barrera-Fajardo, I.; Rivero-Romero, O.; Unfried-Silgado, J. Investigation of the Effect of Chemical Treatment on the Properties of Colombian Banana and Coir Fibers and Their Adhesion Behavior on Polylactic Acid and Unsaturated Polyester Matrices. Fibers 2024, 12, 6. https://doi.org/10.3390/fib12010006
Barrera-Fajardo I, Rivero-Romero O, Unfried-Silgado J. Investigation of the Effect of Chemical Treatment on the Properties of Colombian Banana and Coir Fibers and Their Adhesion Behavior on Polylactic Acid and Unsaturated Polyester Matrices. Fibers. 2024; 12(1):6. https://doi.org/10.3390/fib12010006
Chicago/Turabian StyleBarrera-Fajardo, Ismael, Oswaldo Rivero-Romero, and Jimy Unfried-Silgado. 2024. "Investigation of the Effect of Chemical Treatment on the Properties of Colombian Banana and Coir Fibers and Their Adhesion Behavior on Polylactic Acid and Unsaturated Polyester Matrices" Fibers 12, no. 1: 6. https://doi.org/10.3390/fib12010006
APA StyleBarrera-Fajardo, I., Rivero-Romero, O., & Unfried-Silgado, J. (2024). Investigation of the Effect of Chemical Treatment on the Properties of Colombian Banana and Coir Fibers and Their Adhesion Behavior on Polylactic Acid and Unsaturated Polyester Matrices. Fibers, 12(1), 6. https://doi.org/10.3390/fib12010006

