Study on Unsaturated Transport of Cement-Based Silane Sol Coating Materials
Abstract
1. Introduction
1.1. Model Construction
1.2. Force Field and Molecular Dynamics Procedure
2. Results and Discussion
2.1. Four Different Concentration Models
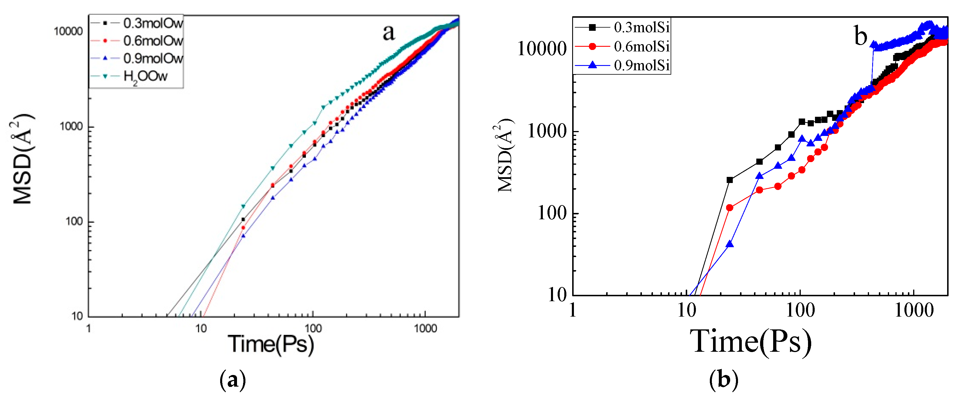
2.1.1. Water and Ion Transport in the Nanometer Pores
2.1.2. Structure of Surface Water
2.1.3. Dynamic Properties of Water
2.2. Different Kinds of Models
3. Conclusions
Author Contributions
Funding
Acknowledgments
Conflicts of Interest
References
- Dong, B.; Qiu, Q.; Gu, Z.; Xiang, J.; Huang, C.; Fang, Y.; Xing, F.; Liu, W. Characterization of carbonation behavior of fly ash blended cement materials by the electrochemical impedance spectroscopy method. Cem. Concr. Compos. 2016, 65, 118–127. [Google Scholar] [CrossRef]
- Hou, D.; Zhao, T.; Ma, H.; Li, Z. Reactive molecular simulation on water confined in the nanopores of the calcium silicate hydrate gel: Structure, reactivity, and mechanical properties. J. Phys. Chem. C 2015, 119, 1346–1358. [Google Scholar] [CrossRef]
- Šavija, B.; Luković, M. Carbonation of cement paste: Understanding, challenges, and opportunities. Constr. Build. Mater. 2016, 117, 285–301. [Google Scholar] [CrossRef]
- Zhang, J.; Liu, C.; Sun, M.; Li, Z. An innovative corrosion evaluation technique for reinforced concrete structures using magnetic sensors. Constr. Build. Mater. 2017, 135, 68–75. [Google Scholar] [CrossRef]
- Papadakis, V.G.; Vayenas, C.G.; Fardis, M.N. Physical and chemical characteristics affecting the durability of concrete. Mater. J. 1991, 88, 186–196. [Google Scholar]
- Grattan-Bellew, P. Microstructural investigation of deteriorated Portland cement concretes. Constr. Build. Mater. 1996, 10, 3–16. [Google Scholar] [CrossRef]
- Hou, D.; Li, Z. Molecular dynamics study of water and ions transported during the nanopore calcium silicate phase: Case study of jennite. J. Mater. Civ. Eng. 2013, 26, 930–940. [Google Scholar] [CrossRef]
- Cailleux, E.; Pollet, V. Investigations on the Development of Self-healing Properties in Protective Coatings for Concrete and Repair Mortars; Belgian Building Research Institute: Limelette, Belgium, 2009. [Google Scholar]
- Ibrahim, M.; Al-Gahtani, A.S.; Maslehuddin, M.; Dakhil, F.H. Use of surface treatment materials to improve concrete durability. J. Mater. Civ. Eng. 1999, 11, 36–40. [Google Scholar] [CrossRef]
- Bertolini, L.; Elsener, B.; Pedeferri, P.; Redaelli, E.; Polder, R. Corrosion of Steel in Concrete; Wiley Online Library: Hoboken, NJ, USA, 2013. [Google Scholar]
- Almusallam, A.A.; Khan, F.M.; Dulaijan, S.U.; Al-Amoudi, O.S.B. Effectiveness of surface coatings in improving concrete durability. Cem. Concr. Compos. 2003, 25, 473–481. [Google Scholar] [CrossRef]
- Christodoulou, C.; Goodier, C.I.; Austin, S.A.; Webb, J.; Glass, G.K. Long-term performance of surface impregnation of reinforced concrete structures with silane. Constr. Build. Mater. 2013, 48, 708–716. [Google Scholar] [CrossRef]
- Hou, D.; Li, Z. Molecular dynamics study of water and ions transport in nano-pore of layered structure: A case study of tobermorite. Microporous Mesoporous Mater. 2014, 195, 9–20. [Google Scholar] [CrossRef]
- Hou, D.; Tao, L.; Pan, W. molecular dynamics study on the structure and dynamics of NaCl solution transport in the nanometer channel of CASH gel. ACS Sustain. Chem. Eng. 2018, 6, 9498–9509. [Google Scholar] [CrossRef]
- Gjørv, O.; Vennesland, Ø. Diffusion of chloride ions from seawater into concrete. Cem. Concr. Res. 1979, 9, 229–238. [Google Scholar] [CrossRef]
- Zhu, Y.G.; Kou, S.C.; Poon, C.S.; Dai, J.G.; Li, Q.Y. Influence of silane-based water repellent on the durability properties of recycled aggregate concrete. Cem. Concr. Compos. 2013, 35, 32–38. [Google Scholar] [CrossRef]
- Hou, D.; Li, D.; Yu, J.; Zhang, P. Insights on capillary adsorption of aqueous sodium chloride solution in the nanometer calcium silicate channel: A molecular dynamics study. J. Phys. Chem. C 2017, 121, 13786–13797. [Google Scholar] [CrossRef]
- Kalinichev, A.G.; Wang, J.; Kirkpatrick, R.J. Molecular dynamics modeling of the structure, dynamics and energetics of mineral–water interfaces: Application to cement materials. Cem. Concr. Res. 2007, 37, 337–347. [Google Scholar] [CrossRef]
- Hou, D.; Ma, H.; Zhu, Y.; Li, Z. Calcium silicate hydrate from dry to saturated state: Structure, dynamics and mechanical properties. Acta Mater. 2014, 67, 81–94. [Google Scholar] [CrossRef]
- McGettigan, E. Silicon-based weatherproofing materials. Concr. Int. 1992, 14, 52–56. [Google Scholar]
- Bonaccorsi, E.; Merlino, S.; Kampf, A.R. The crystal structure of tobermorite 14 Å (plombierite), a C–S–H phase. J. Am. Ceram. Soc. 2005, 88, 505–512. [Google Scholar] [CrossRef]
- Murray, S.J.; Subramani, V.J.; Selvam, R.P.; Hall, K.D. Molecular dynamics to understand the mechanical behavior of cement paste. Transp. Res. Rec. 2010, 2142, 75–82. [Google Scholar] [CrossRef]
- Ma, H.; Hou, D.; Liu, J.; Li, Z. Estimate the relative electrical conductivity of C–S–H gel from experimental results. Constr. Build. Mater. 2014, 71, 392–396. [Google Scholar] [CrossRef]
- Ma, H.; Li, Z. Realistic pore structure of Portland cement paste: Experimental study and numerical simulation. Comput. Concr. 2013, 11, 317–336. [Google Scholar] [CrossRef]
- Yang, J.; Jia, Y.; Hou, D.; Wang, P.; Jin, Z.; Shang, H.; Li, S.; Zhao, T. Na and Cl immobilization by size controlled calcium silicate hydrate nanometer pores. Constr. Build. Mater. 2019, 202, 622–635. [Google Scholar] [CrossRef]
- Yu, J.; Zheng, Q.; Hou, D.; Zhang, J.; Li, S.; Jin, Z.; Wang, P.; Yin, B.; Wang, X. Insights on the capillary transport mechanism in the sustainable cement hydrate impregnated with graphene oxide and epoxy composite. Compos. Part B Eng. 2019, 173, 106907. [Google Scholar] [CrossRef]
- Cygan, R.T.; Greathouse, J.A.; Heinz, H.; Kalinichev, A.G. Molecular models and simulations of layered materials. J. Mater. Chem. 2009, 19, 2470–2481. [Google Scholar] [CrossRef]
- Cygan, R.T.; Liang, J.-J.; Kalinichev, A.G. Molecular models of hydroxide, oxyhydroxide, and clay phases and the development of a general force field. J. Phys. Chem. B 2004, 108, 1255–1266. [Google Scholar] [CrossRef]
- Berendsen, H.J.; Postma, J.P.; van Gunsteren, W.F.; Hermans, J. Interaction models for water in relation to protein hydration. In Intermolecular Forces; Springer: Dordrecht, The Netherlands, 1981; pp. 331–342. [Google Scholar]
- Dauber-Osguthorpe, P.; Roberts, V.A.; Osguthorpe, D.J.; Wolff, J.; Genest, M.; Hagler, A.T. Structure and energetics of ligand binding to proteins: Escherichia coli dihydrofolate reductase-trimethoprim, a drug-receptor system. Proteins 1988, 4, 31–47. [Google Scholar] [CrossRef]
- Asensio, J.L.; Martin-Pastor, M.; Jimenez-Barbero, J. The use of CVFF and CFF91 force fields in conformational analysis of carbohydrate molecules. Comparison with AMBER molecular mechanics and dynamics calculations for methyl α-lactoside. Int. J. Biol. Macromol. 1995, 17, 137–148. [Google Scholar] [CrossRef]
- Plimpton, S.; Crozier, P.; Thompson, A. LAMMPS-large-scale atomic/molecular massively parallel simulator. Sandia Natl. Lab. 2007, 18, 43. [Google Scholar]
- Yan, L.M.; Zhu, S.H. Theory and Practice of Molecular Dynamics Simulation; Science Press: Beijing, China, 2013. [Google Scholar]
- Hou, D.; Li, Z.; Zhao, T.; Zhang, P. Water transport in the nano-pore of the calcium silicate phase: Reactivity, structure and dynamics. Phys. Chem. Chem. Phys. 2015, 17, 1411–1423. [Google Scholar] [CrossRef]
- Zhao, T.J. Translucent Coating Surface Treatment and Concrete Durability; Science Press: Beijing, China, 2009. [Google Scholar]
- Zhang, C. Preparation of Silane Emulsion/Silica Sol Waterproof Material and Its Effect on Concrete Durability. Master’s Thesis, Qingdao University of Technology, Qingdao, China, June 2015. [Google Scholar]
- Zhang, X.Y. Preparation of Silane Protective Materials for Concrete and Its Effect on Concrete Durability. Master’s Thesis, Qingdao University of Technology, Qingdao, China, June 2014. [Google Scholar]
















| Model | H2O | Si |
|---|---|---|
| H2O | 1.30 | – |
| 0.3 mol/L | 1.17 | 1.15 |
| 0.6 mol/L | 1.20 | 1.34 |
| 0.9 mol/L | 1.19 | 1.49 |
| Model | Number |
|---|---|
| Water | 0 |
| MTES | 0.0216 |
| VTEO | 0.6169 |
| Octyltriethoxysilane | 2.3826 |
© 2019 by the authors. Licensee MDPI, Basel, Switzerland. This article is an open access article distributed under the terms and conditions of the Creative Commons Attribution (CC BY) license (http://creativecommons.org/licenses/by/4.0/).
Share and Cite
Zhang, W.; Li, S.; Hou, D.; Geng, Y.; Zhang, S.; Yin, B.; Li, X. Study on Unsaturated Transport of Cement-Based Silane Sol Coating Materials. Coatings 2019, 9, 427. https://doi.org/10.3390/coatings9070427
Zhang W, Li S, Hou D, Geng Y, Zhang S, Yin B, Li X. Study on Unsaturated Transport of Cement-Based Silane Sol Coating Materials. Coatings. 2019; 9(7):427. https://doi.org/10.3390/coatings9070427
Chicago/Turabian StyleZhang, Wenjuan, Shaochun Li, Dongshuai Hou, Yongjuan Geng, Shuliu Zhang, Bing Yin, and Xiangguo Li. 2019. "Study on Unsaturated Transport of Cement-Based Silane Sol Coating Materials" Coatings 9, no. 7: 427. https://doi.org/10.3390/coatings9070427
APA StyleZhang, W., Li, S., Hou, D., Geng, Y., Zhang, S., Yin, B., & Li, X. (2019). Study on Unsaturated Transport of Cement-Based Silane Sol Coating Materials. Coatings, 9(7), 427. https://doi.org/10.3390/coatings9070427
