The Corrosion Inhibition of AA6082 Aluminium Alloy by Certain Azoles in Chloride Solution: Electrochemistry and Surface Analysis
Abstract
1. Introduction
2. Materials and Methods
2.1. Sample Preparation
2.2. Solution Preparation
2.3. Weight Loss Measurements
2.4. Electrochemical Measurements
2.5. Surface Analysis
3. Results and Discussion
3.1. Electrochemical Measurements
3.1.1. Open Circuit Potential Measurements
3.1.2. EIS Measurements
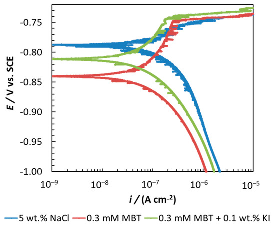
3.1.3. Potentiodynamic Curve Measurements
3.2. Weight Loss Measurements
3.3. Surface Analysis
4. Conclusions
Author Contributions
Funding
Conflicts of Interest
References
- Davis, J.R. Corrosion: Understanding the Basics; ASM International: Novelty, OH, USA, 2000. [Google Scholar]
- Revie, R.W. Uhlig’s Corrosion Handbook, 3rd ed.; John Willey & Sons Inc.: New York, NY, USA, 2011. [Google Scholar]
- Davis, J.R. Corrosion of Aluminium and Aluminium Alloys; ASM International: Novelty, OH, USA, 1999. [Google Scholar]
- Poznak, A.; Freiberg, D.; Sanders, P. Chapter 10—Automotive wrought aluminium alloys. In Fundamentals of Aluminium Metallurgy; Lumley, R.N., Ed.; Woodhead Publishing: Sawston, UK, 2018; pp. 333–386. [Google Scholar]
- Larsen, M.H.; Walmsley, J.C.; Lunder, O.; Mathiesen, R.H.; Nisancioglu, K. Intergranular corrosion of copper-containing AA6xxx AlMgSi aluminum alloys. J. Electrochem. Soc. 2008, 155, C550–C556. [Google Scholar] [CrossRef]
- Zhan, H.; Mol, J.M.C.; Hannour, F.; Zhuang, L.; Terryn, H.; de Wit, J.H.W. The influence of copper content on intergranular corrosion of model AlMgSi(Cu) alloys. Mater. Corros. 2008, 59, 670–675. [Google Scholar] [CrossRef]
- Svenningsen, G.; Lein, J.E.; Bjørgum, A.; Nordlien, J.H.; Yu, Y.; Nisancioglu, K. Effect of low copper content and heat treatment on intergranular corrosion of model AlMgSi alloys. Corros. Sci. 2006, 48, 226–242. [Google Scholar] [CrossRef]
- Zou, Y.; Liu, Q.; Jia, Z.; Xing, Y.; Ding, L.; Wang, X. The intergranular corrosion behavior of 6000-series alloys with different Mg/Si and Cu content. Appl. Surf. Sci. 2017, 405, 489–496. [Google Scholar] [CrossRef]
- Kairy, S.K.; Rometsch, P.A.; Diao, K.; Nie, J.F.; Davies, C.H.J.; Birbilis, N. Exploring the electrochemistry of 6xxx series aluminium alloys as a function of Si to Mg ratio, Cu content, ageing conditions and microstructure. Electrochim. Acta 2016, 190, 92–103. [Google Scholar] [CrossRef]
- Liang, W.J.; Rometsch, P.A.; Cao, L.F.; Birbilis, N. General aspects related to the corrosion of 6xxx series aluminium alloys: Exploring the influence of Mg/Si ratio and Cu. Corros. Sci. 2013, 76, 119–128. [Google Scholar] [CrossRef]
- Deepa, P.; Padmalatha, R. Corrosion behaviour of 6063 aluminium alloy in acidic and in alkaline media. Arab. J. Chem. 2017, 10, S2234–S2244. [Google Scholar] [CrossRef]
- Cicolin, D.; Trueba, M.; Trasatti, S.P. Effect of chloride concentration, pH and dissolved oxygen, on the repassivation of 6082-T6 Al alloy. Electrochim. Acta 2014, 124, 27–35. [Google Scholar] [CrossRef]
- Panagopoulos, C.N.; Georgiou, E.; Giannakopoulos, K.I.; Orfanos, P.G. Effect of pH on stress corrosion cracking of 6082 Al alloy. Metals 2018, 8, 578. [Google Scholar] [CrossRef]
- Trdan, U.; Grum, J. Evaluation of corrosion resistance of AA6082-T651 aluminium alloy after laser shock peening by means of cyclic polarisation and EIS methods. Corros. Sci. 2012, 59, 324–333. [Google Scholar] [CrossRef]
- Xhanari, K.; Finšgar, M. Electrochemical analysis of AA6082 aluminium alloy in chloride media. Int. J. Electrochem. Sci. 2017, 12, 5845–5853. [Google Scholar] [CrossRef]
- Firouzi, A.; Del Gaudio, C.; lamastra, F.R.; Montesperelli, G.; Bianco, A. Electrospun polymeric coatings on aluminum alloy as a straightforward approach for corrosion protection. J. Appl. Polym. Sci. 2015, 132, 41250. [Google Scholar] [CrossRef]
- Mori, S.; Lamastra, F.R.; Kaciulis, S.; Soltani, P.; Montesperelli, G. Low-temperature titania coatings for aluminium corrosion protection. Corros. Eng. Sci. Technol. 2018, 53, 44–53. [Google Scholar] [CrossRef]
- Panagopoulos, C.N.; Georgiou, E.P.; Gavras, A.G. Corrosion and wear of 6082 aluminum alloy. Tribol. Int. 2009, 42, 886–889. [Google Scholar] [CrossRef]
- Xhanari, K.; Finšgar, M. Organic corrosion inhibitors for aluminium and its alloys in acid solutions: A review. RSC Adv. 2016, 6, 62833–62857. [Google Scholar] [CrossRef]
- Xhanari, K.; Finšgar, M. Organic corrosion inhibitors for aluminum and its alloys in chloride and alkaline solutions: A review. Arab. J. Chem. 2016, in press. [Google Scholar] [CrossRef]
- Xhanari, K.; Finsgar, M.; Knez Hrncic, M.; Maver, U.; Knez, Z.; Seiti, B. Green corrosion inhibitors for aluminium and its alloys: A review. RSC Adv. 2017, 7, 27299–27330. [Google Scholar] [CrossRef]
- Xhanari, K.; Finsgar, M. The first electrochemical and surface analysis of 2-aminobenzimidazole as a corrosion inhibitor for copper in chloride solution. New J. Chem. 2017, 41, 7151–7161. [Google Scholar] [CrossRef]
- Finšgar, M. 2-mercaptobenzimidazole as a copper corrosion inhibitor: Part I. Long-term immersion, 3D-profilometry, and electrochemistry. Corros. Sci. 2013, 72, 82–89. [Google Scholar] [CrossRef]
- Finšgar, M. Electrochemical analysis of 4-methyl-2-phenyl-imidazole adsorbed on Cu. Int. J. Electrochem. Sci. 2016, 11, 6775–6790. [Google Scholar] [CrossRef]
- Finšgar, M.; Merl, D.K. 2-Mercaptobenzoxazole as a copper corrosion inhibitor in chloride solution: Electrochemistry, 3D-profilometry, and XPS surface analysis. Corros. Sci. 2014, 80, 82–95. [Google Scholar] [CrossRef]
- Finšgar, M.; Merl, D.K. An electrochemical, long-term immersion, and XPS study of 2-mercaptobenzothiazole as a copper corrosion inhibitor in chloride solution. Corros. Sci. 2014, 83, 164–175. [Google Scholar] [CrossRef]
- Finšgar, M.; Lesar, A.; Kokalj, A.; Milošev, I. A comparative electrochemical and quantum chemical calculation study of BTAH and BTAOH as copper corrosion inhibitors in near neutral chloride solution. Electrochim. Acta 2008, 53, 8287–8297. [Google Scholar] [CrossRef]
- Finšgar, M.; Xhanari, K. Electrochemical and surface analysis of 2-phenylimidazole adsorbed on copper from chloride solution. Coatings 2018, 8, 234. [Google Scholar] [CrossRef]
- Huang, H.; Wang, Z.; Gong, Y.; Gao, F.; Luo, Z.; Zhang, S.; Li, H. Water soluble corrosion inhibitors for copper in 3.5 wt % sodium chloride solution. Corros. Sci. 2017, 123, 339–350. [Google Scholar] [CrossRef]
- Curkovic, H.O.; Stupnisek-Lisac, E.; Takenouti, H. The influence of pH value on the efficiency of imidazole based corrosion inhibitors of copper. Corros. Sci. 2010, 52, 398–405. [Google Scholar] [CrossRef]
- Petrović Mihajlović, M.B.; Radovanović, M.B.; Tasić, Ž.Z.; Antonijević, M.M. Imidazole based compounds as copper corrosion inhibitors in seawater. J. Mol. Liquids 2017, 225, 127–136. [Google Scholar] [CrossRef]
- Mennucci, M.M.; Banczek, E.P.; Rodrigues, P.R.P.; Costa, I. Evaluation of benzotriazole as corrosion inhibitor for carbon steel in simulated pore solution. Cem. Concr. Compos. 2009, 31, 418–424. [Google Scholar] [CrossRef]
- Finšgar, M.; Petovar, B.; Xhanari, K.; Maver, U. The corrosion inhibition of certain azoles on steel in chloride media: Electrochemistry and surface analysis. Corros. Sci. 2016, 111, 370–381. [Google Scholar] [CrossRef]
- Sabet Bokati, K.; Dehghanian, C.; Yari, S. Corrosion inhibition of copper, mild steel and galvanically coupled copper-mild steel in artificial sea water in presence of 1H-benzotriazole, sodium molybdate and sodium phosphate. Corros. Sci. 2017, 126, 272–285. [Google Scholar] [CrossRef]
- Abd El Haleem, S.M.; Abd El Wanees, S.; Bahgat, A. Environmental factors affecting the corrosion behaviour of reinforcing steel. VI. Benzotriazole and its derivatives as corrosion inhibitors of steel. Corros. Sci. 2014, 87, 321–333. [Google Scholar] [CrossRef]
- Sherif, E.-S.M. Electrochemical investigations on the corrosion inhibition of aluminum by 3-amino-1,2,4-triazole-5-thiol in naturally aerated stagnant seawater. J. Ind. Eng. Chem. 2013, 19, 1884–1889. [Google Scholar] [CrossRef]
- Zor, S.; Saǧdinç, S. Experimental and theoretical study of sulfathiazole as environmentally friendly inhibitor on aluminum corrosion in NaCl. Prot. Met. Phys. Chem. Surf. 2014, 50, 244–253. [Google Scholar] [CrossRef]
- Harvey, T.G.; Hardin, S.G.; Hughes, A.E.; Muster, T.H.; White, P.A.; Markley, T.A.; Corrigan, P.A.; Mardel, J.; Garcia, S.J.; Mol, J.M.C.; et al. The effect of inhibitor structure on the corrosion of AA2024 and AA7075. Corros. Sci. 2011, 53, 2184–2190. [Google Scholar] [CrossRef]
- Lamaka, S.V.; Zheludkevich, M.L.; Yasakau, K.A.; Montemor, M.F.; Ferreira, M.G.S. High effective organic corrosion inhibitors for 2024 aluminium alloy. Electrochim. Acta 2007, 52, 7231–7247. [Google Scholar] [CrossRef]
- Coelho, L.B.; Cossement, D.; Olivier, M.-G. Benzotriazole and cerium chloride as corrosion inhibitors for AA2024-T3: An EIS investigation supported by SVET and ToF-SIMS analysis. Corros. Sci. 2018, 130, 177–189. [Google Scholar] [CrossRef]
- ISO 9227:2006(E) Corrosion Tests in Artificial Atmospheres—Salt Spray Tests; ISO: Geneva, Switzerland, 2006.
- Finšgar, M.; Jackson, J. Application of corrosion inhibitors for steels in acidic media for the oil and gas industry: A review. Corros. Sci. 2014, 86, 17–41. [Google Scholar] [CrossRef]
- Massart, D.L.; Vandeginste, B.G.M.; Buydens, L.M.C.; Jong, S.D.; Lewi, P.J.; Smeyers-Verbeke, J. Handbook of Chemometrics and Qualimetrics: Part A; Elsevier Science: Amsterdam, The Netherlands, 1997; p. 112. [Google Scholar]
- Kovač, J.; Finšgar, M. Analysis of the thermal stability of very thin surface layers of corrosion inhibitors by time-of-flight secondary ion mass spectrometry. J. Am. Soc. Mass Spectrom. 2018, 29, 2305–2316. [Google Scholar] [CrossRef]
- Finšgar, M.; Milošev, I. Corrosion behaviour of stainless steels in aqueous solutions of methanesulfonic acid. Corros. Sci. 2010, 52, 2430–2438. [Google Scholar] [CrossRef]
- Gerakines, P.A.; Schutte, W.A.; Greenberg, J.M.; van Dishoeck, E.F. The infrared band atrengths of H2O, CO and CO2 in laboratory simulations of astrophysical ice mixtures. Astron. Astrophys. 1995, 296, 810–818. [Google Scholar]
- Güllüoğlu, M.T.; Erdogdu, Y.; Karpagam, J.; Sundaraganesan, N.; Yurdakul, Ş. DFT, FT-Raman, FT-IR and FT-NMR studies of 4-phenylimidazole. J. Mol. Struct. 2011, 990, 14–20. [Google Scholar] [CrossRef]
- Rai, A.K.; Singh, R.; Singh, K.N.; Singh, V.B. FTIR, Raman spectra and ab initio calculations of 2-mercaptobenzothiazole. Spectrochim. Acta Part A Mol. Biomol. Spectrosc. 2006, 63, 483–490. [Google Scholar] [CrossRef] [PubMed]
- Sudha, S.; Karabacak, M.; Kurt, M.; Cinar, M.; Sundaraganesan, N. Molecular structure, vibrational spectroscopic, first-order hyperpolarizability and HOMO, LUMO studies of 2-aminobenzimidazole. Spectrochim. Acta Part A Mol. Biomol. Spectrosc. 2011, 84, 184–195. [Google Scholar] [CrossRef] [PubMed]
- Erdogdu, Y.; Eskioǧlu, B.; Güllüoǧlu, M.T. Theoretical investigations on the molecular structure and vibrational spectral analysis of 4-methyl 2-phenylimidazole. Opt. Spectrosc. 2012, 113, 596–606. [Google Scholar] [CrossRef]
- Li, X.; Tang, Z.; Zhang, X. Molecular structure, IR spectra of 2-mercaptobenzothiazole and 2-mercaptobenzoxazole by density functional theory and ab initio Hartree–Fock calculations. Spectrochim. Acta Part A Mol. Biomol. Spectrosc. 2009, 74, 168–173. [Google Scholar] [CrossRef] [PubMed]










| Element | Si | Fe | Cu | Mn | Mg | Cr | Zn | Ti | Al |
|---|---|---|---|---|---|---|---|---|---|
| Content (wt.%) | 0.90 | 0.35 | 0.07 | 0.45 | 0.90 | 0.04 | 0.05 | 0.02 | balance |
| Immersion Time [h] | χ2 | RΩ | Q1 | n1 | R1 | C1 | Q2 | n2 | R2 | C2 | Rp |
|---|---|---|---|---|---|---|---|---|---|---|---|
| 5 wt.% NaCl solution | |||||||||||
| 1 | 0.84 | 5.90 | 217.00 | 0.69 | 39.70 | 581.50 | 17.2 | 0.86 | 43.30 | 16.46 | 56.16 |
| 3 | 0.98 | 5.84 | 276.00 | 0.85 | 48.00 | 440.16 | 16.8 | 0.86 | 52.30 | 16.45 | 100.30 |
| 5 | 0.61 | 5.69 | 396.00 | 0.99 | 46.40 | 401.84 | 16.5 | 0.86 | 50.80 | 15.96 | 97.20 |
| 7 | 0.22 | 5.65 | 340.00 | 0.84 | 58.70 | 593.76 | 15.3 | 0.86 | 48.10 | 14.56 | 106.80 |
| 10 | 0.24 | 5.60 | 325.00 | 0.83 | 73.00 | 607.62 | 14.7 | 0.86 | 45.00 | 13.77 | 118.00 |
| 5 wt.% NaCl solution containing 0.3 mM MBT | |||||||||||
| 1 | 1.26 | 5.74 | 16.18 | 0.87 | 28.59 | 14.49 | 5.66 | 0.84 | 138.03 | 5.41 | 166.62 |
| 3 | 1.10 | 5.72 | 14.79 | 0.88 | 22.29 | 12.68 | 5.47 | 0.75 | 233.97 | 5.95 | 256.26 |
| 5 | 1.02 | 5.68 | 14.35 | 0.88 | 23.52 | 12.39 | 5.24 | 0.76 | 297.87 | 6.03 | 321.39 |
| 7 | 0.91 | 5.67 | 13.95 | 0.88 | 21.79 | 11.92 | 5.21 | 0.75 | 344.60 | 6.33 | 366.39 |
| 10 | 0.86 | 5.58 | 13.49 | 0.89 | 17.25 | 11.20 | 5.31 | 0.76 | 348.75 | 6.45 | 366.00 |
| 5 wt.% NaCl solution containing 0.3 mM MBT with the addition of 0.1 wt.% KI | |||||||||||
| 1 | 2.52 | 5.47 | 14.89 | 0.88 | 21.26 | 12.70 | 6.24 | 0.84 | 113.00 | 5.83 | 134.26 |
| 3 | 1.68 | 5.56 | 12.71 | 0.89 | 10.52 | 9.87 | 6.07 | 0.69 | 251.30 | 7.34 | 261.82 |
| 5 | 1.30 | 5.59 | 12.28 | 0.89 | 14.11 | 9.91 | 5.86 | 0.72 | 299.30 | 7.33 | 313.41 |
| 7 | 1.15 | 5.59 | 11.90 | 0.90 | 12.26 | 9.50 | 5.91 | 0.70 | 338.50 | 8.01 | 350.76 |
| 10 | 1.28 | 5.60 | 11.58 | 0.90 | 12.84 | 9.32 | 5.85 | 0.70 | 407.40 | 8.52 | 420.24 |
| 5 wt.% NaCl solution containing 0.3 mM MBT with the addition of 1.0 wt.% KI | |||||||||||
| 1 | 2.93 | 5.05 | 17.9 | 0.87 | 14.86 | 14.80 | 5.50 | 0.87 | 81.80 | 4.86 | 96.66 |
| 3 | 2.45 | 5.03 | 15.6 | 0.88 | 7.65 | 11.79 | 6.23 | 0.76 | 177.20 | 6.43 | 184.85 |
| 5 | 2.50 | 5.02 | 14.5 | 0.89 | 5.94 | 10.65 | 6.48 | 0.74 | 257.20 | 7.74 | 263.14 |
| 7 | 2.49 | 5.03 | 14.0 | 0.89 | 5.84 | 10.33 | 6.74 | 0.74 | 305.20 | 8.72 | 311.04 |
| 10 | 2.48 | 5.04 | 13.3 | 0.90 | 5.35 | 9.80 | 6.89 | 0.73 | 363.50 | 9.69 | 368.85 |
| Medium | Average Contact Angle [°] | Shape of the Drops on the Sample |
|---|---|---|
| 5 wt.% NaCl solution | 102.5 | ![]() |
| 5 wt.% NaCl solution containing 3 mM MBT | 45.9 | ![]() |
| 5 wt.% NaCl solution containing 3 mM MBT + 0.1 wt.% KI | 51.6 | ![]() |
© 2019 by the authors. Licensee MDPI, Basel, Switzerland. This article is an open access article distributed under the terms and conditions of the Creative Commons Attribution (CC BY) license (http://creativecommons.org/licenses/by/4.0/).
Share and Cite
Xhanari, K.; Finšgar, M. The Corrosion Inhibition of AA6082 Aluminium Alloy by Certain Azoles in Chloride Solution: Electrochemistry and Surface Analysis. Coatings 2019, 9, 380. https://doi.org/10.3390/coatings9060380
Xhanari K, Finšgar M. The Corrosion Inhibition of AA6082 Aluminium Alloy by Certain Azoles in Chloride Solution: Electrochemistry and Surface Analysis. Coatings. 2019; 9(6):380. https://doi.org/10.3390/coatings9060380
Chicago/Turabian StyleXhanari, Klodian, and Matjaž Finšgar. 2019. "The Corrosion Inhibition of AA6082 Aluminium Alloy by Certain Azoles in Chloride Solution: Electrochemistry and Surface Analysis" Coatings 9, no. 6: 380. https://doi.org/10.3390/coatings9060380
APA StyleXhanari, K., & Finšgar, M. (2019). The Corrosion Inhibition of AA6082 Aluminium Alloy by Certain Azoles in Chloride Solution: Electrochemistry and Surface Analysis. Coatings, 9(6), 380. https://doi.org/10.3390/coatings9060380




