First-Principles Study of Gas Molecule Adsorption on C-doped Zigzag Phosphorene Nanoribbons
Abstract
1. Introduction
2. Calculation Methods
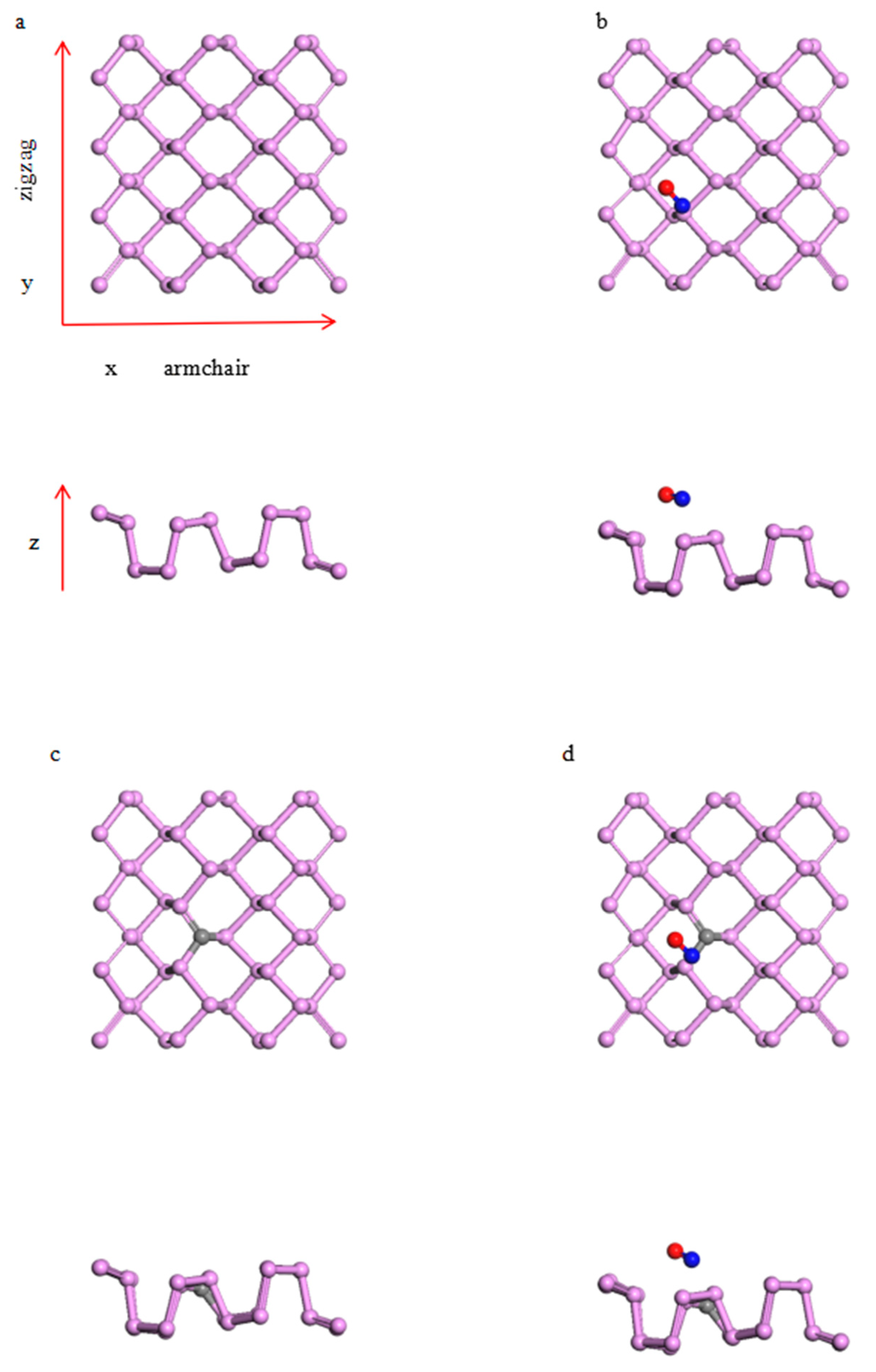
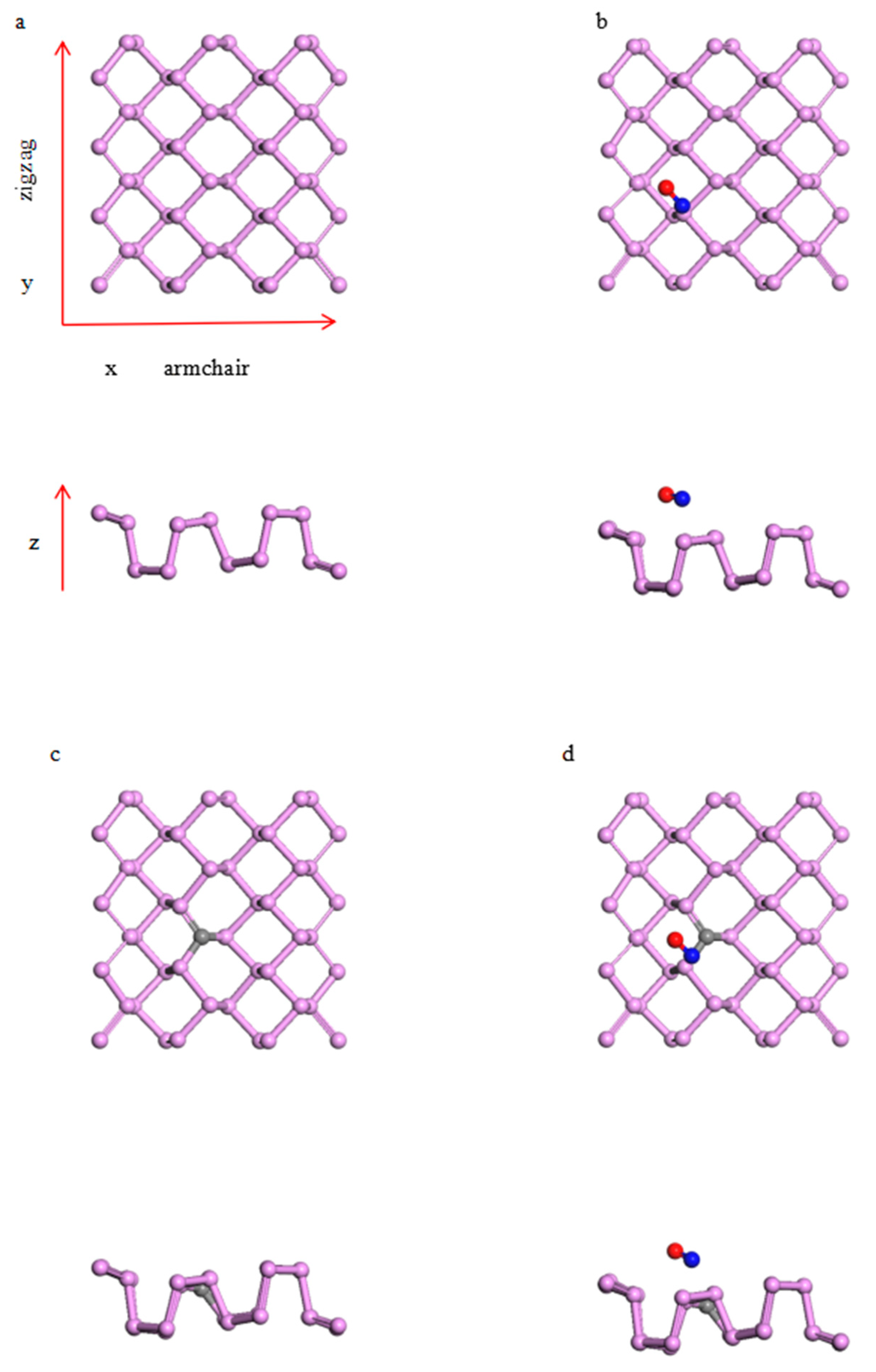
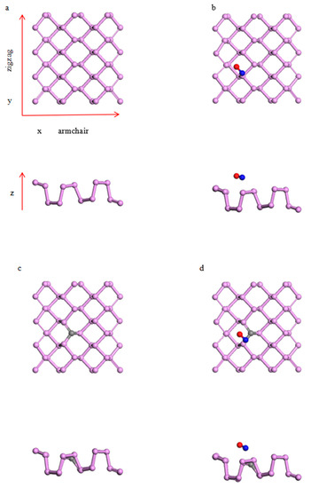
3. Results and Discussion
4. Conclusions
Supplementary Materials
Author Contributions
Funding
Acknowledgments
Conflicts of Interest
References
- Liu, H.; Neal, A.T.; Zhu, Z.; Luo, Z.; Xu, X.; Tománek, D.; Ye, P.D. Phosphorene: An unexplored 2D semiconductor with a high hole mobility. ACS Nano 2014, 8, 4033–4041. [Google Scholar] [CrossRef]
- Li, L.; Yu, Y.; Ye, G.J.; Ge, Q.; Ou, X.; Wu, H.; Feng, D.; Chen, X.H.; Zhang, Y. Black phosphorus field-effect transistors. Nat. Nanotechnol. 2014, 9, 372–377. [Google Scholar] [CrossRef] [PubMed]
- Xie, F.; Fan, Z.Q.; Zhang, X.J.; Liu, J.P.; Wang, H.Y.; Liu, K.; Yu, J.H.; Long, M.Q. Tuning of the electronic and transport properties of phosphorene nanoribbons by edge types and edge defects. Org. Electron. 2017, 42, 21–27. [Google Scholar] [CrossRef]
- Kou, L.; Chen, C.; Smith, S.C. Anisotropic ripple deformation in phosphorene. J. Phys. Chem. Lett. 2015, 6, 2794–2805. [Google Scholar] [CrossRef] [PubMed]
- Liu, Y.; Xu, F.; Zhang, Z.; Penev, E.S.; Yakobson, B.I. Two-dimensional mono-elemental semiconductor with electronically inactive defects: The case of phosphorus. Nano Lett. 2014, 14, 6782–6786. [Google Scholar] [CrossRef]
- Du, Y.; Liu, H.; Deng, Y.; Ye, P.D. Device perspective for black phosphorus field-effect transistors: Contact resistance, ambipolar behavior, and scaling. ACS Nano 2014, 8, 10035–10042. [Google Scholar] [CrossRef]
- Buscema, M.; Groenendijk, D.J.; Blanter, S.I.; Steele, G.A.; van der Zant, H.S.J.; Castellanos-Gomez, A. Fast and broadband photoresponse of few-layer black phosphorus field-effect transistors. Nano Lett. 2014, 14, 3347–3352. [Google Scholar] [CrossRef]
- Xiao, J.; Long, M.; Zhang, X.; Zhang, D.; Xu, H.; Chan, K.S. First-principles prediction of the charge mobility in black phosphorus semiconductor nanoribbons. J. Phys. Chem. Lett. 2015, 6, 4141–4147. [Google Scholar] [CrossRef]
- Xia, F.; Wang, H.; Jia, Y. Rediscovering black phosphorus as an anisotropic layered material for optoelectronics and electronics. Nat. Commun. 2014, 5, 4458. [Google Scholar] [CrossRef]
- Qiao, J.; Kong, X.; Hu, Z.X.; Yang, F.; Ji, W. High-mobility transport anisotropy and linear dichroism in few-layer black phosphorus. Nat. Commun. 2014, 5, 4475. [Google Scholar] [CrossRef]
- Kim, J.; Baik, S.S.; Ryu, S.H.; Sohn, Y.; Park, S.; Park, B.G.; Denlinger, J.; Yi, Y.; Choi, H.J.; Kim, K.S. Observation of tunable band gap and anisotropic dirac semimetalstate in black phosphorus. Science 2015, 349, 723–726. [Google Scholar] [CrossRef] [PubMed]
- Guan, J.; Zhu, Z.; Tománek, D. Phase coexistence and metal-insulator transition in few-layer phosphorene: Acomputational study. Phys. Rev. Lett. 2014, 113, 046804. [Google Scholar] [CrossRef] [PubMed]
- Li, P.; Appelbaum, I. Electrons and holes in phosphorene. Phys. Rev. B 2014, 90, 115439. [Google Scholar] [CrossRef]
- Çakır, D.; Sahin, H.; Peeters, F.M. Tuning of the electronic and optical properties of single-layer black phosphorus by strain. Phys. Rev. B 2014, 90, 205421. [Google Scholar] [CrossRef]
- Peng, X.; Wei, Q.; Copple, A. Strain-engineered direct-indirect band gap transition and its mechanism in two-dimensional phosphorene. Phys. Rev. B 2014, 90, 085402. [Google Scholar] [CrossRef]
- Tran, V.; Soklaski, R.; Liang, Y.; Yang, L. Layer-controlled band gap and anisotropic excitons in few-layer black phosphorus. Phys. Rev. B 2014, 89, 235319. [Google Scholar] [CrossRef]
- Buscema, M.; Groenendijk, D.J.; Steele, G.A.; van der Zant, H.S.; Castellanos-Gomez, A. Photovoltaic effect in few-layer black phosphorus PN junctions defined by local electrostatic gating. Nat. Commun. 2014, 5, 4651. [Google Scholar] [CrossRef]
- Zhang, X.; Xie, H.; Liu, Z.; Tan, C.; Luo, Z.; Li, H.; Lin, J.; Sun, L.; Chen, W.; Xu, Z.; et al. Black phosphorus quantum dots. Angew. Chem. Int. Ed. 2015, 54, 3653–3657. [Google Scholar] [CrossRef]
- Huang, B.; Li, Z.; Liu, Z.; Zhou, G.; Hao, S.; Wu, J.; Gu, B.L.; Duan, W. Adsorption of gas molecules on graphene nanoribbons and its implication for nanoscale molecule sensor. J. Phys. Chem. C 2008, 112, 13442–13446. [Google Scholar] [CrossRef]
- Liu, C.; Liu, C.S.; Yan, X. Arsenene as a promising candidate for NO and NO2 sensor: A first-principles study. Phys. Lett. A 2017, 381, 1092–1096. [Google Scholar] [CrossRef]
- Dong, Y.; Zeng, B.; Xiao, J.; Zhang, X.; Li, D.; Li, M.; He, J.; Long, M. Effect of sulphur vacancy and interlayer interaction on the electronic structure and spin splitting of bilayer MoS2. J. Phys. Condens. Matter 2018, 30, 125302. [Google Scholar] [CrossRef] [PubMed]
- Jappor, H.R.; Khudair, S.A.M. Electronic properties of adsorption of CO, CO2, NH3, NO, NO2 and SO2 on nitrogen doped graphene for gas sensor applications. Sens. Lett. 2017, 15, 432–439. [Google Scholar] [CrossRef]
- Sun, S.; Hussain, T.; Zhang, W.; Karton, A. Blue phosphorene monolayers as potential nano sensors for volatile organic compounds under point defects. Appl. Surf. Sci. 2019, 486, 52–57. [Google Scholar] [CrossRef]
- Wei, J.; Hu, Y.; Liang, Y.; Kong, B.; Zhang, J.; Song, J.; Bao, Q.; Simon, G.P.; Jiang, S.P.; Wang, H. Nitrogen-doped nanoporous carbon/graphenenano-sandwiches: Synthesis and application for efficient oxygenreduction. Adv. Funct. Mater. 2015, 25, 5768–5777. [Google Scholar] [CrossRef]
- Jiang, Q.G.; Ao, Z.M.; Li, S.; Wen, Z. Density functional theory calculations on the CO catalytic oxidation on Al-embedded grapheme. RSC Adv. 2014, 4, 20290–20296. [Google Scholar] [CrossRef]
- Zhang, T.; Xue, Q.; Shan, M.; Jiao, Z.; Zhou, X.; Ling, C.; Yan, Z. Adsorption and catalytic activation of O2 molecule on the surface of Au-doped graphene under an external electric field. J. Phys. Chem. C 2012, 116, 19918–19924. [Google Scholar] [CrossRef]
- Kou, L.; Frauenheim, T.; Chen, C. Phosphorene as a superior gas sensor: Selective adsorption and distinct I-V response. J. Phys. Chem. Lett. 2014, 5, 2675–2681. [Google Scholar] [CrossRef]
- Cai, Y.; Ke, Q.; Zhang, G.; Zhang, Y.W. Energetics, charge transfer, and magnetism of small molecules physisorbed on phosphorene. J. Phys. Chem. C 2015, 119, 3102–3110. [Google Scholar] [CrossRef]
- Yang, A.J.; Wang, D.W.; Wang, X.H.; Chu, J.F.; Lv, P.L.; Liu, Y.; Rong, M.Z. Phosphorene: A promising candidate for highly sensitive and selective SF6 decomposition gas sensors. IEEE Electron Device Lett. 2017, 38, 963–966. [Google Scholar] [CrossRef]
- Srivastava, A.; Khan, M.S.; Gupta, S.K.; Pandey, R. Unique electron transport in ultrathin black phosphorene: Ab-initio study. Appl. Surf. Sci. 2015, 356, 881–887. [Google Scholar] [CrossRef]
- Yang, Q.; Meng, R.S.; Jiang, J.K.; Liang, Q.H.; Tan, C.J.; Cai, M.; Sun, X.; Yang, D.G.; Ren, T.L.; Chen, X.P. First-principles study of sulfur dioxide sensor based on phosphorenes. IEEE Electron Device Lett. 2016, 37, 660–662. [Google Scholar] [CrossRef]
- Guo, S.; Yuan, L.; Liu, X.; Zhou, W.; Song, X.; Zhang, S. First-principles study of SO2 sensors based on phosphorene and its isoelectronic counterparts: GeS, GeSe, SnS, SnSe. Chem. Phys. Lett. 2017, 686, 83–87. [Google Scholar] [CrossRef]
- Nagarajan, V.; Chandiramouli, R. Adsorption of NO2 molecules on armchair phosphorene nanosheet for nano sensor applications–A first-principles study. J. Mol. Graph. Model. 2017, 75, 365–374. [Google Scholar] [CrossRef] [PubMed]
- Lalitha, M.; Nataraj, Y.; Lakshmipathi, S. Calcium decorated and doped phosphorene for gas adsorption. Appl. Surf. Sci. 2016, 377, 311–323. [Google Scholar] [CrossRef]
- Suvansinpan, N.; Hussain, F.; Zhang, G.; Chiu, C.H.; Cai, Y.; Zhang, Y.W. Substitutionally doped phosphorene: Electronic properties and gas sensing. Nanotechnology 2016, 27, 065708. [Google Scholar] [CrossRef] [PubMed]
- Yang, Q.; Huang, Y.; Meng, R.; Chen, X. Adsorption of CO2 and CO gas on impurity-decorated phosphorenes: A first-principles study. In Proceedings of the 17th IEEE International Conference on Electronic Packaging Technology (ICEPT), Wuhan, China, 16–19 August 2016. [Google Scholar]
- Zhang, H.P.; Du, A.; Shi, Q.B.; Zhou, Y.; Zhang, Y.; Tang, Y. Adsorption behavior of CO2 on pristine and doped phosphorenes: A dispersion corrected DFT study. J. CO2 Util. 2018, 24, 463–470. [Google Scholar] [CrossRef]
- Yang, N.; Li, L.; Li, J.; Wei, Z. Modifying the sensibility of nonmetal-doped phosphorene by local or global properties. Phys. Chem. Chem. Phys. 2019, 21, 4899–4906. [Google Scholar] [CrossRef]
- Kaewmaraya, T.; Ngamwongwan, L.; Moontragoon, P.; Karton, A.; Hussain, T. Drastic improvement in gas-sensing characteristics of phosphorene nanosheets under vacancy defects and elemental functionalization. J. Phys. Chem. C 2018, 122, 20186–20193. [Google Scholar] [CrossRef]
- Guo, C.; Wang, T.; Xia, C.; Liu, Y. Modulation of electronic transport properties in armchair phosphorene nanoribbons by doping and edge passivation. Sci. Rep. 2017, 7, 12799. [Google Scholar] [CrossRef]
- Soler, J.M.; Artacho, E.; Gale, J.D.; García, A.; Junquera, J.; Ordejón, P.; Sánchez-Portal, D. The SIESTA method for ab initio order-N materials simulation. J. Phys. Condens. Matter 2002, 14, 2745–2779. [Google Scholar] [CrossRef]
- Kresse, G.; Furthmüller, J. Efcient iterative schemes for ab initio total-energy calculations using a plane-wave basis set. Phys. Rev. B 1996, 54, 11169–11186. [Google Scholar] [CrossRef] [PubMed]
- Perdew, J.P.; Burke, K.; Ernzerhof, M. Generalized gradient approximation made simple. Phys. Rev. Lett. 1996, 77, 3865–3868. [Google Scholar] [CrossRef] [PubMed]
- Goerigk, L.; Hansen, A.; Bauer, C.; Ehrlich, S.; Najibi, A.; Grimme, S. A look at the density functional theory zoo with the advanced GMTKN55 database for general main group thermochemistry, kinetics and noncovalent interactions. Phys. Chem. Chem. Phys. 2017, 19, 32184–32215. [Google Scholar] [CrossRef] [PubMed]
- Kulish, V.V.; Malyi, O.I.; Persson, C.; Wu, P. Adsorption of metal adatoms onsingle-layer phosphorene. Phys. Chem. Chem. Phys. 2015, 17, 992–1000. [Google Scholar] [CrossRef] [PubMed]
- Zhai, C.; Dai, X.; Li, W.; Ma, Y.; Wang, T.; Tang, Y. Strain tuning of magnetism in transition-metal atom doped phosphorene. Superlattices Microstruct. 2017, 101, 49–56. [Google Scholar] [CrossRef]
- Guo, H.; Lu, N.; Dai, J.; Wu, X.; Zeng, X.C. Phosphorene nanoribbons, phosphorus nanotubes, and van der Waals multilayers. J. Phys. Chem. C 2014, 118, 14051–14059. [Google Scholar] [CrossRef]
- Ding, F.; Yakobson, B.I. Challenges in hydrogen adsorptions: From physisorption to chemisorptions. Front. Phys. 2011, 6, 142–150. [Google Scholar] [CrossRef]




| Gas Molecule | ZPNRs | C-Doped ZPNRs | ||||
|---|---|---|---|---|---|---|
| Ea (eV) | Q (e) | M (μB) | Eb/Ea (eV) | Q (e) | M (μB) | |
| None | - | - | 0 | −8.266 | 0.136 | 0 |
| CO | −0.465 | 0.042 | 0 | −0.272 | 0.018 | 0 |
| CO2 | −0.864 | 0.034 | 0 | −0.557 | 0.024 | 0 |
| H2 | −0.464 | −0.042 | 0 | −0.229 | −0.052 | 0 |
| NH3 | −0.513 | 0.078 | 0 | −0.459 | 0.066 | 0 |
| NO | −0.110 | 0.073 | 0.705 | −0.204 | 0.093 | 1.161 |
| NO2 | −0.223 | −0.028 | 0 | −0.256 | 0.002 | 0 |
| O2 | −0.963 | 0.006 | 1.215 | −0.734 | 0.027 | 2.008 |
© 2019 by the authors. Licensee MDPI, Basel, Switzerland. This article is an open access article distributed under the terms and conditions of the Creative Commons Attribution (CC BY) license (http://creativecommons.org/licenses/by/4.0/).
Share and Cite
Yang, S.; Wang, Z.; Dai, X.; Xiao, J.; Long, M.; Chen, T. First-Principles Study of Gas Molecule Adsorption on C-doped Zigzag Phosphorene Nanoribbons. Coatings 2019, 9, 763. https://doi.org/10.3390/coatings9110763
Yang S, Wang Z, Dai X, Xiao J, Long M, Chen T. First-Principles Study of Gas Molecule Adsorption on C-doped Zigzag Phosphorene Nanoribbons. Coatings. 2019; 9(11):763. https://doi.org/10.3390/coatings9110763
Chicago/Turabian StyleYang, Shuai, Zhiyong Wang, Xueqiong Dai, Jianrong Xiao, Mengqiu Long, and Tong Chen. 2019. "First-Principles Study of Gas Molecule Adsorption on C-doped Zigzag Phosphorene Nanoribbons" Coatings 9, no. 11: 763. https://doi.org/10.3390/coatings9110763
APA StyleYang, S., Wang, Z., Dai, X., Xiao, J., Long, M., & Chen, T. (2019). First-Principles Study of Gas Molecule Adsorption on C-doped Zigzag Phosphorene Nanoribbons. Coatings, 9(11), 763. https://doi.org/10.3390/coatings9110763

