Texture and Stress Evolution in HfN Films Sputter-Deposited at Oblique Angles
Abstract
1. Introduction
2. Materials and Methods
2.1. Thin Film Preparation at OAD Conditions
2.2. Characterization Methods
3. Results
3.1. Growth Morphology
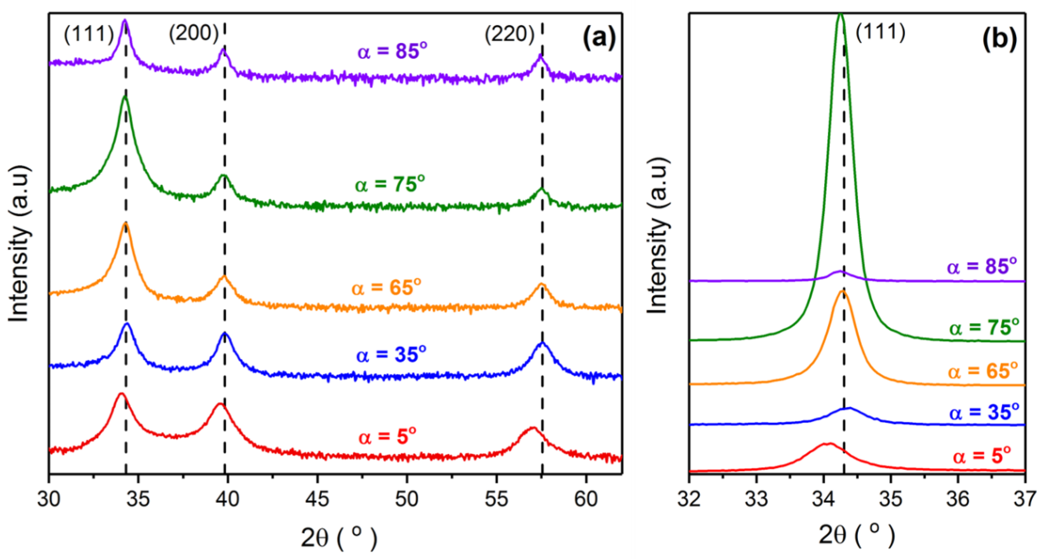
3.2. XRD Structural Investigations
3.3. XRD Stress Analysis
4. Discussion
4.1. Tilted Columnar Growth
4.2. Development of In-Plane and Out-of-Plane Crystallographic Orientations
4.3. Stress Evolution
5. Conclusions
Author Contributions
Funding
Acknowledgments
Conflicts of Interest
References
- Xi, J.Q.; Schubert, M.F.; Kim, J.K.; Schubert, E.F.; Chen, M.; Lin, S.Y.; Liu, W.; Smart, J.A. Optical thin-film materials with low refractive index for broadband elimination of Fresnel reflection. Nat. Photonics 2007, 1, 176–179. [Google Scholar] [CrossRef]
- Robbie, K.; Brett, M.J. Sculptured thin films and glancing angle deposition: Growth mechanics and applications. J. Vac. Sci. Technol. A Vac. Surf. Films 1997, 15, 1460–1465. [Google Scholar] [CrossRef]
- Hawkeye, M.M.; Brett, M.J. Glancing angle deposition: Fabrication, properties, and applications of micro- and nanostructured thin films. J. Vac. Sci. Technol. A Vac. Surf. Films 2007, 25, 1317–1335. [Google Scholar] [CrossRef]
- Barranco, A.; Borras, A.; Gonzalez-Elipe, A.R.; Palmero, A. Perspectives on oblique angle deposition of thin films: From fundamentals to devices. Prog. Mater. Sci. 2016, 76, 59–153. [Google Scholar] [CrossRef]
- Patzig, C.; Karabacak, T.; Fuhrmann, B.; Rauschenbach, B. Glancing angle sputter deposited nanostructures on rotating substrates: Experiments and simulations. J. Appl. Phys. 2008, 104, 094318. [Google Scholar] [CrossRef]
- Mukherjee, S.; Gall, D. Structure zone model for extreme shadowing conditions. Thin Solid Films 2013, 527, 158–163. [Google Scholar] [CrossRef]
- Alvarez, R.; Garcia-Martin, J.M.; Garcia-Valenzuela, A.; Macias-Montero, M.; Ferrer, F.J.; Santiso, J.; Rico, V.; Cotrino, J.; Gonzalez-Elipe, A.R.; Palmero, A. Nanostructured Ti thin films by magnetron sputtering at oblique angles. J. Phys. D Appl. Phys. 2016, 49, 045303. [Google Scholar] [CrossRef]
- Siad, A.; Besnard, A.; Nouveau, C.; Jacquet, P. Critical angles in DC magnetron glad thin films. Vacuum 2016, 131, 305–311. [Google Scholar] [CrossRef]
- Dervaux, J.; Cormier, P.A.; Moskovkin, P.; Douheret, O.; Konstantinidis, S.; Lazzaroni, R.; Lucas, S.; Snyders, R. Synthesis of nanostructured Ti thin films by combining glancing angle deposition and magnetron sputtering: A joint experimental and modeling study. Thin Solid Films 2017, 636, 644–657. [Google Scholar] [CrossRef]
- Pedrosa, P.; Ferreira, A.; Cote, J.M.; Martin, N.; Yazdi, M.A.P.; Billard, A.; Lanceros-Mendez, S.; Vaz, F. Influence of the sputtering pressure on the morphological features and electrical resistivity anisotropy of nanostructured titanium films. Appl. Surf. Sci. 2017, 420, 681–690. [Google Scholar] [CrossRef]
- Alvarez, R.; Garcia-Valenzuela, A.; Rico, V.; Garcia-Martin, J.M.; Cotrino, J.; Gonzalez-Elipe, A.R.; Palmero, A. Kinetic energy-induced growth regimes of nanocolumnar Ti thin films deposited by evaporation and magnetron sputtering. Nanotechnology 2019, 30, 475603. [Google Scholar] [CrossRef] [PubMed]
- Zhou, C.M.; Li, H.F.; Gall, D. Multi-component nanostructure design by atomic shadowing. Thin Solid Films 2008, 517, 1214–1218. [Google Scholar] [CrossRef]
- Lamas, J.S.; Leroy, W.P.; Lu, Y.G.; Verbeeck, J.; Van Tendeloo, G.; Depla, D. Using the macroscopic scale to predict the nano-scale behavior of YSZ thin films. Surf. Coat. Technol. 2014, 238, 45–50. [Google Scholar] [CrossRef]
- Saraiva, M.; Depla, D. Texture and microstructure in co-sputtered Mg-M-O (M = Mg, Al, Cr, Ti, Zr, and Y) films. J. Appl. Phys. 2012, 111, 104903. [Google Scholar] [CrossRef]
- El Beainou, R.; Martin, N.; Potin, V.; Pedrosa, P.; Yazdi, M.A.P.; Billard, A. W-Cu sputtered thin films grown at oblique angles from two sources: Pressure and shielding effects. Surf. Coat. Technol. 2018, 343, 153–159. [Google Scholar] [CrossRef]
- Mahieu, S.; Ghekiere, P.; De Winter, G.; De Gryse, R.; Depla, D.; Van Tendeloo, G.; Lebedev, O.I. Biaxially aligned titanium nitride thin films deposited by reactive unbalanced magnetron sputtering. Surf. Coat. Technol. 2006, 200, 2764–2768. [Google Scholar] [CrossRef]
- Kumar, K.K.; Raole, P.M.; Rayjada, P.A.; Chauhan, N.L.; Mukherjee, S. Study of structure development of titanium nitride on inclined substrates. Surf. Coat. Technol. 2011, 205, S187–S191. [Google Scholar] [CrossRef]
- Xie, Z.; Liu, X.; Wang, W.; Liu, C.; Li, Z.; Zhang, Z. Fabrication of TiN nanostructure as a hydrogen peroxide sensor by oblique angle deposition. Nanoscale Res. Lett. 2014, 9, 105. [Google Scholar] [CrossRef]
- Qi, Z.; Wei, B.; Wang, J.; Yang, Y.; Wang, Z. Nanostructured porous CrN thin films by oblique angle magnetron sputtering for symmetric supercapacitors. J. Alloys Compd. 2019, 806, 953–959. [Google Scholar] [CrossRef]
- Phae-ngam, W.; Horprathum, M.; Chananonnawathorn, C.; Lertvanithphol, T.; Samransuksamer, B.; Songsiriritthigul, P.; Nakajima, H.; Chaiyakun, S. Oblique angle deposition of nanocolumnar TiZrN films via reactive magnetron co-sputtering technique: The influence of the Zr target powers. Curr. Appl. Phys. 2019, 19, 894–901. [Google Scholar] [CrossRef]
- Bouaouina, B.; Mastail, C.; Besnard, A.; Mareus, R.; Nita, F.; Michel, A.; Abadias, G. Nanocolumnar TiN thin film growth by oblique angle sputter-deposition: Experiments vs. simulations. Mater. Des. 2018, 160, 338–349. [Google Scholar] [CrossRef]
- Patsalas, P.; Kalfagiannis, N.; Kassavetis, S.; Abadias, G.; Bellas, D.V.; Lekka, C.; Lidorikis, E. Conductive nitrides: Growth principles, optical and electronic properties, and their perspectives in photonics and plasmonics. Mater. Sci. Eng. R Rep. 2018, 123, 1–55. [Google Scholar] [CrossRef]
- Lalisse, A.; Tessier, G.; Plain, J.; Baffou, G. Plasmonic efficiencies of nanoparticles made of metal nitrides (TiN, ZrN) compared with gold. Sci. Rep. 2016, 6, 38647. [Google Scholar] [CrossRef] [PubMed]
- Popov, A.A.; Tselikov, G.; Dumas, N.; Berard, C.; Metwally, K.; Jones, N.; Al-Kattan, A.; Larrat, B.; Braguer, D.; Mensah, S.; et al. Laser- synthesized TiN nanoparticles as promising plasmonic alternative for biomedical applications. Sci. Rep. 2019, 9, 1–11. [Google Scholar] [CrossRef] [PubMed]
- Hentschel, M.; Schäferling, M.; Duan, X.; Giessen, H.; Liu, N. Chiral plasmonics. Sci. Adv. 2017, 3, e1602735. [Google Scholar] [CrossRef]
- Mahieu, S.; Ghekiere, P.; Depla, D.; De Gryse, R. Biaxial alignment in sputter deposited thin films. Thin Solid Films 2006, 515, 1229–1249. [Google Scholar] [CrossRef]
- Laforge, J.M.; Ingram, G.L.; Taschuk, M.T.; Brett, M.J. Flux engineering to control in-plane crystal and morphological orientation. Cryst. Growth Des. 2012, 12, 3661–3667. [Google Scholar] [CrossRef]
- Farrell, I.L.; Reeves, R.J.; Preston, A.R.H.; Ludbrook, B.M.; Downes, J.E.; Ruck, B.J.; Durbin, S.M. Tunable electrical and optical properties of hafnium nitride thin films. Appl. Phys. Lett. 2010, 96, 071914. [Google Scholar] [CrossRef]
- Kumar, M.; Umezawa, N.; Ishii, S.; Nagao, T. Examining the Performance of Refractory Conductive Ceramics as Plasmonic Materials: A Theoretical Approach. ACS Photonics 2016, 3, 43–50. [Google Scholar] [CrossRef]
- Noyan, I.C.; Cohen, J.B. Residual Stress Measurement by Diffraction and Interpretation; Springer: New York, NY, USA, 1987. [Google Scholar]
- Abadias, G. Stress and preferred orientation in nitride-based PVD coatings. Surf. Coat. Technol. 2008, 202, 2223–2235. [Google Scholar] [CrossRef]
- Abadias, G.; Chason, E.; Keckes, J.; Sebastiani, M.; Thompson, G.B.; Barthel, E.; Doll, G.L.; Murray, C.E.; Stoessel, C.H.; Martinu, L. Review Article: Stress in thin films and coatings: Current status, challenges, and prospects. J. Vac. Sci. Technol. A 2018, 36, 020801. [Google Scholar] [CrossRef]
- Bierwagen, O.; Pomraenke, R.; Eilers, S.; Masselink, W.T. Mobility and carrier density in materials with anisotropic conductivity revealed by van der Pauw measurements. Phys. Rev. B 2004, 70, 165307. [Google Scholar] [CrossRef]
- Van Aeken, K.; Mahieu, S.; Depla, D. The metal flux from a rotating cylindrical magnetron: A Monte Carlo simulation. J. Phys. D Appl. Phys. 2008, 41, 205307. [Google Scholar] [CrossRef]
- Ziegler, J.F.; Biersack, J.P.; Littmark, U. The Stopping and Range of Ions in Matter; Pergamon Press: New York, NY, USA, 1985. [Google Scholar]
- Konobeyev, A.Y.; Fischer, U.; Korovin, Y.A.; Simakov, S.P. Evaluation of effective threshold displacement energies and other data required for the calculation of advanced atomic displacement cross-sections. Nucl. Energy Technol. 2017, 3, 169–175. [Google Scholar] [CrossRef]
- Besnard, A.; Martin, N.; Carpentier, L.; Gallas, B. A theoretical model for the electrical properties of chromium thin films sputter deposited at oblique incidence. J. Phys. D Appl. Phys. 2011, 44, 215301. [Google Scholar] [CrossRef]
- Shinkai, S.; Sasaki, K. Influence of sputtering parameters on the formation process of high-quality and low-resistivity HfN thin film. Jpn. J. Appl. Phys. 1999, 38, 2097–2102. [Google Scholar] [CrossRef]
- Villamayor, M.M.S.; Keraudy, J.; Shimizu, T.; Viloan, R.P.B.; Boyd, R.; Lundin, D.; Greene, J.E.; Petrov, I.; Helmersson, U. Low temperature (Ts/Tm < 0.1) epitaxial growth of HfN/MgO(001) via reactive HiPIMS with metal-ion synchronized substrate bias. J. Vac. Sci. Technol. A 2018, 36, 061511. [Google Scholar]
- Seo, H.S.; Lee, T.Y.; Wen, J.G.; Petrov, I.; Greene, J.E.; Gall, D. Growth and physical properties of epitaxial HfN layers on MgO(001). J. Appl. Phys. 2004, 96, 878–884. [Google Scholar] [CrossRef]
- International Center for Diffraction Data: Card No. 45-0946; ICDD: Newtown Square, PA, USA.
- Oliveira, J.C.; Ferreira, F.; Anders, A.; Cavaleiro, A. Reduced atomic shadowing in HiPIMS: Role of the thermalized metal ions. Appl. Surf. Sci. 2018, 433, 934–944. [Google Scholar] [CrossRef]
- Nieuwenhuizen, J.M.; Haanstra, H.B. Microfractography of thin films. Philips Tech. Rev. 1966, 27, 87–91. [Google Scholar]
- Tait, R.; Smy, T.; Brett, M. Modeling and Characterization of Columnar Growth in Evaporated-Films. Thin Solid Films 1993, 226, 196–201. [Google Scholar] [CrossRef]
- Zhu, H.; Cao, W.; Larsen, G.K.; Toole, R.; Zhao, Y. Tilting angle of nanocolumnar films fabricated by oblique angle deposition. J. Vac. Sci. Technol. B 2012, 30, 030606. [Google Scholar] [CrossRef]
- Alvarez, R.; Lopez-Santos, C.; Parra-Barranco, J.; Rico, V.; Barranco, A.; Cotrino, J.; Gonzalez-Elipe, A.R.; Palmero, A. Nanocolumnar growth of thin films deposited at oblique angles: Beyond the tangent rule. J. Vac. Sci. Technol. B Nanotechnol. Microelectron. Mater. Process. Meas. Phenom. 2014, 32, 041802. [Google Scholar] [CrossRef]
- Shetty, A.R.; Karimi, A. Texture mechanisms and microstructure of biaxial thin films grown by oblique angle deposition. Phys. Status Solidi Basic Res. 2012, 249, 1531–1540. [Google Scholar] [CrossRef]
- Van der Drift, A. Evolutionary Selection, a principle governing growth orientation. Philips Res. Rep. 1967, 22, 267–288. [Google Scholar]
- Elofsson, V.; Saraiva, M.; Boyd, R.D.; Sarakinos, K. Double in-plane alignment in biaxially textured thin films. Appl. Phys. Lett. 2014, 105, 233113. [Google Scholar] [CrossRef]
- Holec, D.; Friák, M.; Neugebauer, J.; Mayrhofer, P.H. Trends in the elastic response of binary early transition metal nitrides. Phys. Rev. B 2012, 85, 064101. [Google Scholar] [CrossRef]
- Chen, X.J.; Struzhkin, V.V.; Wu, Z.; Somayazulu, M.; Qian, J.; Kung, S.; Christensen, A.N.; Zhao, Y.; Cohen, R.E.; Mao, H.K.; et al. Hard superconducting nitrides. Proc. Natl. Acad. Sci. USA 2005, 102, 3198–3201. [Google Scholar] [CrossRef]
- Windischmann, H. Intrinsic stress in sputter-deposited thin films. Crit. Rev. Solid State Mater. Sci. 1992, 17, 547–596. [Google Scholar] [CrossRef]
- Janssen, G.C.A.M. Stress and strain in polycrystalline thin films. Thin Solid Films 2007, 515, 6654–6664. [Google Scholar] [CrossRef]
- Magnfält, D.; Abadias, G.; Sarakinos, K. Atom insertion into grain boundaries and stress generation in physically vapor deposited films. Appl. Phys. Lett. 2013, 103, 051910. [Google Scholar] [CrossRef]
- Chason, E.; Karlson, M.; Colin, J.J.J.; Magnfält, D.; Sarakinos, K.; Abadias, G. A kinetic model for stress generation in thin films grown from energetic vapor fluxes. J. Appl. Phys. 2016, 119, 145307. [Google Scholar] [CrossRef]
- Abadias, G.; Guerin, P. In situ stress evolution during magnetron sputtering of transition metal nitride thin films. Appl. Phys. Lett. 2008, 93, 111908. [Google Scholar] [CrossRef]
- Abadias, G.; Leroy, W.P.; Mahieu, S.; Depla, D. Influence of particle and energy flux on stress and texture development in magnetron sputtered TiN films. J. Phys. D Appl. Phys. 2013, 46, 055301. [Google Scholar] [CrossRef]
- Abadias, G.; Koutsokeras, L.E.; Siozios, A.; Patsalas, P. Stress, phase stability and oxidation resistance of ternary Ti-Me-N (Me = Zr, Ta) hard coatings. Thin Solid Films 2013, 538, 56–70. [Google Scholar] [CrossRef]
- Jaing, C.; Liu, M.; Lee, C.; Cho, W.; Shen, W.; Tang, C.; Liao, B. Residual stress in obliquely deposited MgF2 thin films. Appl. Opt. 2008, 47, 266–270. [Google Scholar] [CrossRef]
- Yu, H.Z.; Thompson, C.V. Effects of oblique-angle deposition on intrinsic stress evolution during polycrystalline film growth. Acta Mater. 2014, 77, 284–293. [Google Scholar] [CrossRef]









| Substrate Angle α (°) | 5 | 25 | 35 | 65 | 75 | 85 |
|---|---|---|---|---|---|---|
| Average Energy E (eV) | 22.4 | 22.4 | 22.3 | 21.7 | 20.8 | 17.7 |
| Number of Collisions | 7 | 7 | 8 | 10 | 12 | 20 |
| RT Resistivity ρ (µΩ.cm) | 8.1 × 101 | 1.2 × 102 | 1.8 × 102 | 1.1 × 103 | 3.6 × 103 | 1.3 × 104 |
© 2019 by the authors. Licensee MDPI, Basel, Switzerland. This article is an open access article distributed under the terms and conditions of the Creative Commons Attribution (CC BY) license (http://creativecommons.org/licenses/by/4.0/).
Share and Cite
Abadias, G.; Anğay, F.; Mareus, R.; Mastail, C. Texture and Stress Evolution in HfN Films Sputter-Deposited at Oblique Angles. Coatings 2019, 9, 712. https://doi.org/10.3390/coatings9110712
Abadias G, Anğay F, Mareus R, Mastail C. Texture and Stress Evolution in HfN Films Sputter-Deposited at Oblique Angles. Coatings. 2019; 9(11):712. https://doi.org/10.3390/coatings9110712
Chicago/Turabian StyleAbadias, Grégory, Fırat Anğay, Rubenson Mareus, and Cédric Mastail. 2019. "Texture and Stress Evolution in HfN Films Sputter-Deposited at Oblique Angles" Coatings 9, no. 11: 712. https://doi.org/10.3390/coatings9110712
APA StyleAbadias, G., Anğay, F., Mareus, R., & Mastail, C. (2019). Texture and Stress Evolution in HfN Films Sputter-Deposited at Oblique Angles. Coatings, 9(11), 712. https://doi.org/10.3390/coatings9110712
