New, Amino Acid Based Zwitterionic Polymers as Promising Corrosion Inhibitors of Mild Steel in 1 M HCl
Abstract
1. Introduction
2. Materials and Methods
2.1. Materials
2.2. Physical Methods
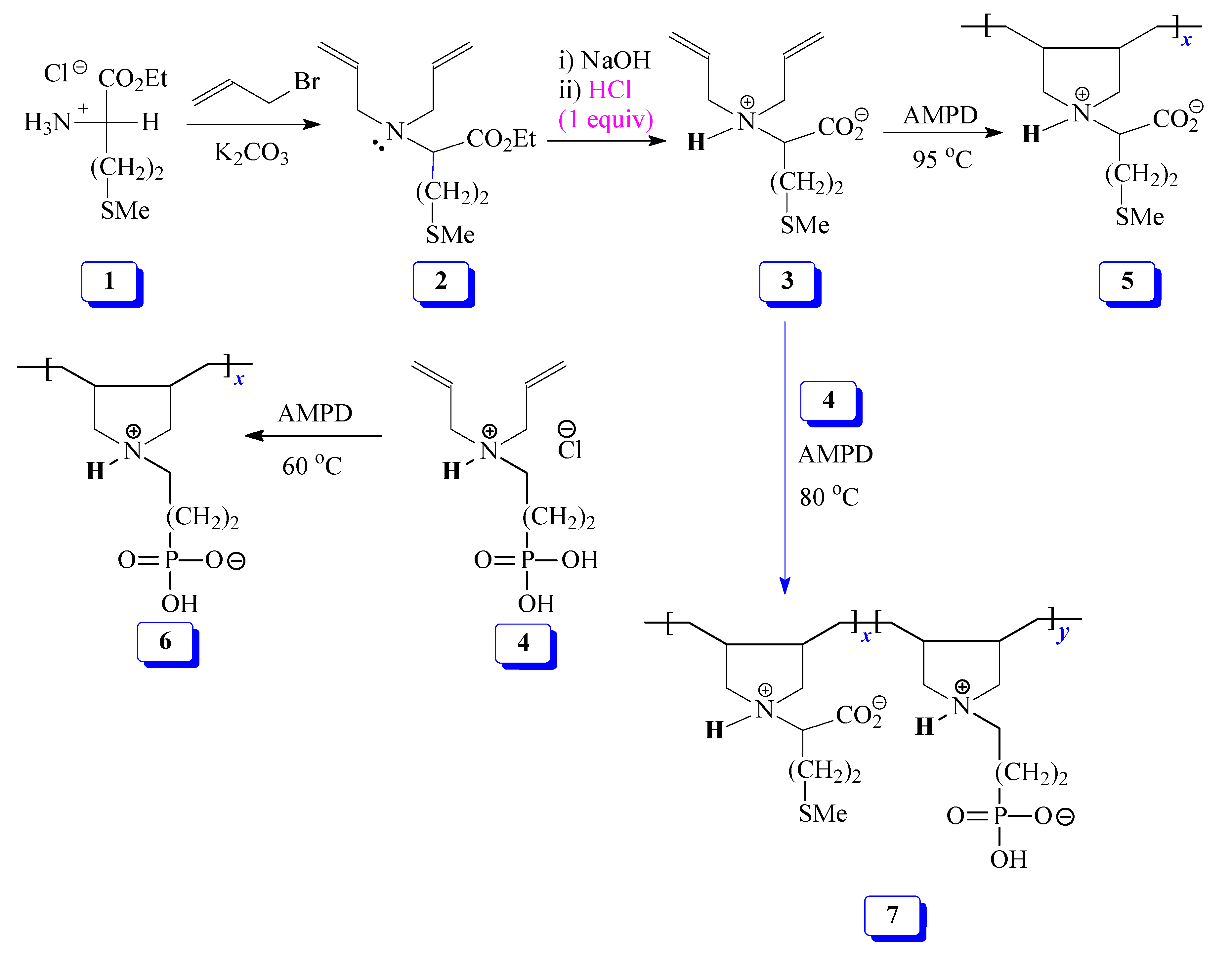
2.3. Synthesis
2.3.1. Synthesis of Hydrolyzed Methionine Homopolymer (5)
2.3.2. Synthesis of Zwitterionic Copolymers of 3-(N,N′ diallylamino) Propanephosphonic Acid and N,N′-diallyl-1-methionine Ethanoate (7)
2.4. Mild Steel Coupon
2.5. Corrosion Tests
2.5.1. Gravimetric Weight Loss Experiments
2.5.2. Electrochemical Experiments
2.6. Surface Tension Experiments
2.7. Surface Analysis
2.7.1. AFM
2.7.2. SEM and EDX
2.7.3. XPS
3. Results and Discussion
3.1. Polymers’ Syntheses and Characterizations
3.2. Corrosion Tests
3.2.1. Gravimetric Weight Loss Measurements
3.2.2. Adsorption Isotherms
3.2.3. Electrochemical Studies
Potentiodynamic Polarization Study
EIS Study
3.3. Surface Tension
3.4. Surface Analysis
3.5. Mechanism of Inhibition
4. Conclusions
- The synthesized zwitterionic co-cyclopolymers showed very good performance for inhibiting/reducing the corrosion of mild steel in 1 M HCl.
- The inhibition efficiencies obtained from gravimetric weight loss, potentiodynamic polarization, and electrochemical impedance spectroscopy measurements are in good agreement.
- The zwitterionic corrosion inhibitors were found to be mixed-type inhibitors, but were mainly influenced by anodic sites.
- The corrosion inhibitors were adsorbed on the metal surface by chemisorption and physisorption processes, and obeyed Langmuir adsorption isotherms.
- Increasing the concentration of corrosion inhibitors increased the R′p and decreased the CPE values.
- The AFM, SEM-EDX, and XPS analyses showed that the corrosion inhibitors protect the mild steel from corrosion attack.
Funding
Acknowledgments
Conflicts of Interest
References
- Mosa, J.; Rosero-Navarro, N.C.; Aparicio, M. Active corrosion inhibitor of mild steel by environmentally friendly Ce-doped organic-inorganic sol-gel coatings. RSC Adv. 2016, 6, 39577–39586. [Google Scholar] [CrossRef]
- Fernandes, C.M.; Fagundes, T.S.F.; Santos, N.E.; Rocha, T.S.M.; Garrett, R.; Borges, R.M.; Muricy, G.; Valverde, A.L.; Ponzi, E.A. Ircinia strobilinacrude extract as corrosion inhibitor for mild steel in acid medium. Electrochim. Acta 2019, 312, 137–148. [Google Scholar] [CrossRef]
- Goyal, M.; Kumar, S.; Bahadur, I.; Verma, C.; Ebenso, E.E. Organic corrosion inhibitors for industrial cleaning of ferrous and non-ferrous metals in acidic solutions: A review. J. Mol. Liq. 2018, 256, 565–573. [Google Scholar] [CrossRef]
- Mourya, P.; Banerjee, S.; Rastogi, R.B.; Singh, M.M. Inhibition of mild steel corrosion in hydrochloric acid and sulfuric acid media using thiosemicarbazone derivative. Ind. Eng. Chem. Res. 2013, 52, 12733–12747. [Google Scholar] [CrossRef]
- James, A.O.; Oforka, N.; Olusegun, K.A. Inhibition of acid corrosion of mild steel by pyridoxal and pyridoxol hydrochlorides. Int. J. Electrochem. Sci. 2007, 2, 278–284. [Google Scholar]
- Odoemelam, S.A.; Eddy, N.O. Effect of pyridoxal hydro-chloride-2,4-dinitophenyl hydrazone on the corrosion of mild steel in hydrochloric acid. Surf. Sci. Technol. 2008, 24, 65–78. [Google Scholar]
- Lgaz, H.; Bhat, K.S.; Salghi, R.; Jodeh, S.; Algarra, M.; Hammouti, B.; Ali, I.H.; Essamri, A. Insights into corrosion inhibition behavior of three chalcone derivatives for mild steel in hydrochloric acid solution. J. Mol. Liq. 2017, 238, 71–83. [Google Scholar] [CrossRef]
- Pandey, A.; Singh, B.; Verma, C.; Ebenso, E.E. Synthesis, characterization and corrosion inhibition potential of two novel Schiff bases on mild steel in acidic medium. RSC Adv. 2017, 7, 47148–47163. [Google Scholar] [CrossRef]
- Trabanelli, G.; Caraaiti, V. Corrosion Science and Technology; Fontana, M.G., Staehle, R.W., Eds.; Plenum Press: New York, NY, USA, 1970; Volume 1, p. 147. [Google Scholar]
- Kiani, M.A.; Mousavi, M.F.; Ghasemi, S.; Shamsipur, M.; Kazemi, S.H. Inhibitory effect of some amino acids on corrosion of Pb–Ca–Sn alloy in sulfuric acid solution. Corros. Sci. 2008, 50, 1035–1045. [Google Scholar] [CrossRef]
- Rajeev, P.; Surendranathan, O.; Murthy, C.S.N. Corrosion mitigation of the oil well steels using organic inhibitors—A review. J. Mater. Environ. Sci. 2012, 3, 856–869. [Google Scholar]
- Kumar, S.; Vashisht, H.; Olasunkanmi, L.O.; Bahadur, I.; Verma, H.; Goyal, M.; Singh, G.; Ebenso, E.E. Polyurethane based triblock copolymers as corrosion inhibitors for mild steel in 0.5 M H2SO4. Ind. Eng. Chem. Res. 2017, 56, 441–456. [Google Scholar] [CrossRef]
- Baskar, R.; Gopiraman, M.; Kesavan, D.; Subramanian, K.; Gopalakrishnan, S. Utilization of photo-cross-linkable polymer for mild steel corrosion inhibition in 1.0 M HCl medium. J. Mater. Eng. Perform. 2015, 24, 2847–2856. [Google Scholar] [CrossRef]
- Bacskai, R.; Schroeder, A.H.; Young, D.C. Hydrocarbon-soluble alkyl aniline /formaldehyde oligomers as corrosion inhibitors. J. Appl. Polym. Sci. 1991, 42, 2435–2441. [Google Scholar] [CrossRef]
- Kralji, M.; Mandi, Z.; Dui, L.J. Inhibition of steel corrosion by polyaniline coatings. Corros. Sci. 2003, 45, 181–198. [Google Scholar] [CrossRef]
- Yan, R.; He, W.; Zhai, T.; Ma, H. Anticorrosion organic inorganic hybrid films constructed on iron substrates using self-assembled polyacrylic acid as a functional bottom layer. Electrochim. Acta 2019, 295, 942–955. [Google Scholar] [CrossRef]
- Sheldon, R.A. Green and sustainable manufacture of chemicals from biomass: State of the art. Green Chem. 2014, 16, 950–963. [Google Scholar] [CrossRef]
- El-Hafez, G.M.A.; Badawy, W.A. The use of cysteine, N-acetyl cysteine and methionine as environmentally friendly corrosion inhibitors for Cu–10Al–5Ni alloy in neutral chloride solutions. Electrochim. Acta 2013, 108, 860–866. [Google Scholar] [CrossRef]
- Zhao, H.; Zhang, X.; Ji, L.; Hud, H.; Li, Q. Quantitative structure—Activity relationship model for amino acids as corrosion inhibitors based on the support vector machine and molecular design. Corros. Sci. 2014, 83, 261–271. [Google Scholar] [CrossRef]
- Zhang, D.-Q.; Cai, Q.-R.; He, X.-M.; Gao, L.-X.; Kim, G.S. Corrosion inhibition and adsorption behavior of methionine on copper in HCl and synergistic effect of zinc ions. Mater. Chem. Phys. 2009, 114, 612–617. [Google Scholar] [CrossRef]
- Zor, S.; Kandemirli, F.; Bingul, M. Inhibition effects of methionine and tyrosine on corrosion of iron in HCl solution: Electrochemical, FTIR, and Quantum-Chemical Study. Prot. Met. Phys. Chem. Surf. 2009, 45, 46–53. [Google Scholar] [CrossRef]
- Shanmugasundaram, P.; Sumathi, T.; Chandramohan, G.; Ramesh-Bapu, G.N.K. Corrosion inhibition study of Is: 1062 grade A-low carbon steel in 1 M HCl by L–Methionine-weight loss, ICP-OES and SEM-EDX studies. Int. J. Curr. Res. 2013, 5, 2183–2189. [Google Scholar]
- Oguzie, E.E.; Li, Y.; Wang, F.H. Corrosion inhibition and adsorption behavior of methionine on mild steel in sulfuric acid and synergistic effect of iodide ion. J. Colloid Interface Sci. 2007, 310, 90–98. [Google Scholar] [CrossRef] [PubMed]
- Hammouti, B.; Aouniti, A.; Taleb, M.; Brighli, M.; Kertit, S. L-Methionine methyl ester hydrochloride as a corrosion inhibitor of iron in acid chloride solution. Corrosion 1995, 51, 411–416. [Google Scholar] [CrossRef]
- Khaled, K.F. Corrosion control of copper in nitric acid solutions using some amino acids—A combined experimental and theoretical study. Corros. Sci. 2010, 52, 3225–3234. [Google Scholar] [CrossRef]
- Verma, C.; Quraishi, M.; Kluza, K.; Makowska-Janusik, M.; Olasunkanmi, L.O.; Ebenso, E.E. Corrosion inhibition of mild steel in 1M HCl by D-glucose derivatives of dihydropyrido [2,3-d:6,5-d’] dipyrimidine-2, 4, 6, 8(1H,3H, 5H,7H)-tetraone. Sci. Rep. 2017, 7, 44432. [Google Scholar] [CrossRef] [PubMed]
- Haque, J.; Srivastava, V.; Verma, C.; Lgaz, H.; Salghi, R.; Quraishi, M. N-Methyl-N,N,N-trioctylammonium chloride as a novel and green corrosion inhibitor for mild steel in an acid chloride medium: Electrochemical, DFT and MD studies. New J. Chem. 2017, 41, 13647–13662. [Google Scholar] [CrossRef]
- Gupta, N.K.; Verma, C.; Salghi, R.; Lgaz, H.; Mukherjee, A.; Quraishi, M. New phosphonate based corrosion inhibitors for mild steel in hydrochloric acid useful for industrial pickling processes: Experimental and theoretical approach. New J. Chem. 2017, 41, 13114–13129. [Google Scholar] [CrossRef]
- Hackerman, N.; Hurd, R.M. Proceedings of the first International Congress of Metallic Corrosion; Butterworths: London, UK, 1962. [Google Scholar]
- Revie, W.; Uhlig, H.H. Corrosion and Corrosion Control: An Introduction to Corrosion Science and Engineering; Wiley-Inter Science: New York, NY, USA, 2008. [Google Scholar]
- Butler, G.B. Cyclopolymerization. J. Polym. Sci. Part A Polym. Chem. 2000, 38, 3451–3461. [Google Scholar] [CrossRef]
- Butler, G.B. Cyclopolymerization and Cyclocopolymerization; Marcel Dekker: New York, NY, USA, 1992. [Google Scholar]
- Singh, P.K.; Singh, V.K.; Singh, M. Zwitterionic polyelectrolytes: A review. E-Polymers 2007, 7, 1–34. [Google Scholar] [CrossRef]
- Jaeger, W.; Bohrisch, J.; Laschewsky, A. Synthetic polymers with quaternary nitrogen atoms- synthesis and structure of the most used type of cationic polyelectrolytes. Prog. Polym. Sci. 2010, 35, 511–577. [Google Scholar] [CrossRef]
- Al-Muallem, H.A.; Mazumder, M.A.J.; Estaitie, M.K.; Ali, S.A. A novel cyclopolymer containing residues of essential amino acid methionine: Synthesis and application. Iran. Polym. J. 2015, 24, 541–547. [Google Scholar] [CrossRef]
- Ali, S.A.; Goni, L.K.M.O.; Mazumder, M.A.J. Butler’s cyclopolymerizaton protocol in the synthesis of diallylamine salts/sulfur dioxide alternate polymers containing amino acid residues. J. Polym. Res. 2017, 24, 184–195. [Google Scholar] [CrossRef]
- Abu-Thabit, N.Y.; Kazi, I.W.; Al-Muallem, H.A.; Ali, S.A. Phosphonobetaine/sulfur dioxide copolymer by Butler’s cyclopolymerization process. Eur. Polym. J. 2011, 47, 1113–1123. [Google Scholar] [CrossRef]
- Kazi, I.W.; Rahman, F.; Ali, S.A. Synthesis of a polyphosphonate and its evaluation as an antiscalant in desalination Plant. Polym. Eng. Sci. 2014, 54, 166–174. [Google Scholar] [CrossRef]
- Mazumder, M.A.J.; Al-Muallem, H.A.; Ali, S.A. The effects of N-pendants and electron-rich amidine motifs in 2(p-alkoxyphenyl)-2-imidazolines on mild steel corrosion in CO2-saturated 0.5 M NaCl. Corros. Sci. 2015, 90, 54–68. [Google Scholar] [CrossRef]
- Mazumder, M.A.J. Synthesis, characterization and electrochemical analysis of cysteine modified polymers for corrosion inhibition of mild steel in aqueous 1 M HCl. RSC Adv. 2019, 9, 4277–4294. [Google Scholar] [CrossRef]
- Hegazy, M.A.; Badwai, A.M.; Abd El Rehim, S.S.; Kamel, W.M. Corrosion inhibition of carbon steel using novel N-(2-(2-mercaptoacetoxy) ethyl)-N,N-dimethyl dodecan-1-aminium bromide during acid pickling. Corros. Sci. 2013, 69, 110–122. [Google Scholar] [CrossRef]
- Fragoza-Mar, L.; Olivares-Xometl, O.; Domínguez-Aguilar, M.A.; Flores, E.A.; Arellanes- Lozada, P.; Jimenez-Cruz, F. Corrosion inhibitor activity of 1,3-diketone malonates for mild steel in aqueous hydrochloric acid solution. Corros. Sci. 2012, 61, 171–184. [Google Scholar] [CrossRef]
- Aljourani, J.; Raeissi, K.; Golozar, M.A. Benzimidazole and its derivatives as corrosion inhibitors for mild steel in 1M HCl solution. Corros. Sci. 2009, 51, 1836–1843. [Google Scholar] [CrossRef]
- Vraçar, L.M.; Drazic, D.M. Adsorption and corrosion inhibitive properties of some organic molecules on iron electrode in sulfuric acid. Corros. Sci. 2002, 44, 1669–1680. [Google Scholar] [CrossRef]
- Ansari, K.R.; Quraishi, M.A.; Singh, A. Isatin derivatives as a non-toxic corrosion inhibitor for mild steel in 20% H2SO4. Corros. Sci. 2015, 95, 62–70. [Google Scholar] [CrossRef]
- Wang, X.; Yang, H.; Wang, F. An investigation of benzimidazole derivative as corrosion inhibitor for mild steel in different concentration HCl solutions. Corros. Sci. 2011, 53, 113–121. [Google Scholar] [CrossRef]
- Okafor, P.C.; Liu, X.; Zheng, Y.G. Corrosion inhibition of mild steel by ethyl amino imidazoline derivative in CO2-saturated solution. Corros. Sci. 2009, 51, 761–768. [Google Scholar] [CrossRef]
- Khamis, A.; Saleh, M.M.; Awad, M.I.; El-Anadouli, B.E. Enhancing the inhibition action of cationic surfactant with sodium halides for mild steel in 0.5 M H2SO4. Corros. Sci. 2013, 74, 83–91. [Google Scholar] [CrossRef]
- Tourabi, M.; Nohair, K.; Traisnel, M.; Jama, C.; Bentiss, F. Electrochemical and XPS studies of the corrosion inhibition of carbon steel in hydrochloric acid pickling solutions by 3,5-bis(2-thienylmethyl)-4-amino-1,2,4-triazole. Corros. Sci. 2013, 75, 123–133. [Google Scholar] [CrossRef]
- Morad, M.S.; El-Dean, A.M.K. 2,2′-Dithiobis(3-cyano-4,6-dimethylpyridine): A new class of acid corrosion inhibitors for mild steel. Corros. Sci. 2006, 48, 3398–3412. [Google Scholar] [CrossRef]
- Mu, G.N.; Li, X.H.; Qu, Q.; Zhou, J. Molybdate and tungstate as corrosion inhibitors for cold rolling steel in hydrochloric acid solution. Corros. Sci. 2006, 48, 445–459. [Google Scholar] [CrossRef]
- Zhang, F.; Tang, Y.; Cao, Z.; Jing, W.; Wu, Z.; Chen, Y. Performance and theoretical study on corrosion inhibition of 2-(4-pyridyl)-benzimidazole for mild steel in hydrochloric acid. Corros. Sci. 2012, 61, 1–9. [Google Scholar] [CrossRef]
- Motamedi, M.; Tehrani-Bagha, A.R.; Mahdavian, M. Effect of aging time on corrosion inhibition of cationic surfactant on mild steel in sulfamic acid cleaning solution. Corros. Sci. 2013, 70, 46–54. [Google Scholar] [CrossRef]
- Qu, Q.; Jiang, S.A.; Bai, W.; Li, L. Effect of ethylenediamine tetraacetic acid disodium on the corrosion of cold rolled steel in the presence of benzotriazole in hydrochloric acid. Electrochim. Acta 2007, 52, 6811–6820. [Google Scholar] [CrossRef]
- Negma, N.A.; Kandile, N.G.; Badr, E.A.; Mohammed, M.A. Gravimetric and electrochemical evaluation of environmentally friendly nonionic corrosion inhibitors for carbon steel in 1 M HCl. Corros. Sci. 2012, 65, 94–103. [Google Scholar] [CrossRef]
- Sahayaraja, A.S.; Rajendran, S. Inhibition of corrosion of carbon steel in well water by arginine- Zn2+ system. J. Electrochem. Sci. Eng. 2012, 2, 91–104. [Google Scholar]
- Ptasinska, S.; Stypczynska, A.; Nixon, T.; Mason, N.J.; Klyachko, D.V.; Sanche, L. X-ray induced damage in DNA monitored by X-ray photoelectron spectroscopy. J. Chem. Phys. 2008, 129, 08B604. [Google Scholar] [CrossRef] [PubMed]
- Zarrok, H.; Zarrouk, A.; Hammouti, B.; Salghi, R.; Jama, C.; Bentiss, F. Corrosion control of carbon steel in phosphoric acid by purpald—Weight loss, electrochemical and XPS studies. Corros. Sci. 2012, 64, 243–252. [Google Scholar] [CrossRef]
- Behpour, M.; Ghoreishi, S.M.; Salavati-Niasari, M.; Ebrahimi, B. Evaluating two new synthesized S–N Schiff bases on the corrosion of copper in 15% hydrochloric acid. Mater. Chem. Phys. 2008, 107, 153–157. [Google Scholar] [CrossRef]
- Bentiss, F.; Mernari, B.; Traisnel, M.; Vezin, H.; Lagrenee, M. On the relationship between corrosion inhibiting effect and molecular structure of2,5-bis(n-pyridyl)-1,3,4-thiadiazole derivatives in acidic media: Ac impedance and DFT studies. Corros. Sci. 2011, 53, 487–495. [Google Scholar] [CrossRef]
- Ansari, K.R.; Quraishi, M.A. Bis-Schiff bases of isatin as new and environmentally benign corrosion inhibitor for mild steel. J. Ind. Eng. Chem. 2014, 20, 2819–2829. [Google Scholar] [CrossRef]
- Ahamad, I.; Khan, S.; Ansari, K.R.; Quraishi, M.A. Primaquine: A pharmaceutically active compound as corrosion inhibitor for mild steel in hydrochloric acid solution. J. Chem. Pharm. Res. 2011, 3, 703–717. [Google Scholar]
- Ituen, E.; Akaranta, O.; James, A. Evaluation of performance of corrosion inhibitors using adsorption isotherm models: An overview. Chem. Sci. Int. J. 2016, 18, 1–34. [Google Scholar] [CrossRef]
- Saxena, A.; Prasad, D.; Haldhar, R.; Singh, G.; Kumar, A. Use of sida cordifolia extract as green corrosion inhibitor for mild steel in 0.5 M H2SO4. J. Environ. Chem. Eng. 2018, 6, 694–700. [Google Scholar] [CrossRef]













| Elements | C | Mn | Cr | Ni | Mo | Cu | V | P | Fe |
|---|---|---|---|---|---|---|---|---|---|
| wt.% | 0.089 | 0.34 | 0.037 | 0.022 | 0.007 | 0.005 | 0.005 | 0.010 | 99.47 |
| S. Id | Conc. (ppm) | Conc. (mol L−1) | Temp. (313 K) | Temp. (323 K) | Temp. (333 K) | ||||||
|---|---|---|---|---|---|---|---|---|---|---|---|
| CR (mm y−1) | θ1 | η1% a | CR (mm y−1) | θ1 | η1% a | CR (mm y−1) | θ1 | η1% a | |||
| 5 | 0 | 0 | 18.6 | − | − | 33.6 | − | − | 61.2 | − | − |
| 0.86 | 3.75 × 10−6 | 11.3 | 0.390 | 39.0 | 23.7 | 0.294 | 29.4 | 48.1 | 0.215 | 21.5 | |
| 4.31 | 1.88 × 10−5 | 9.13 | 0.509 | 50.9 | 17.9 | 0.466 | 46.6 | 41.4 | 0.323 | 32.3 | |
| 8.60 | 3.75 × 10−5 | 6.94 | 0.627 | 62.7 | 15.7 | 0.531 | 53.1 | 34.7 | 0.433 | 43.3 | |
| 12.9 | 5.63 × 10−5 | 6.25 | 0.664 | 66.4 | 13.5 | 0.578 | 57.8 | 31.8 | 0.481 | 48.1 | |
| 25.9 | 1.13 × 10−4 | 5.63 | 0.697 | 69.7 | 11.2 | 0.656 | 65.6 | 27.1 | 0.558 | 55.8 | |
| 43.1 | 1.88 × 10−4 | 4.46 | 0.760 | 76.0 | 9.52 | 0.716 | 71.6 | 21.2 | 0.654 | 65.4 | |
| 86.0 | 3.75 × 10−4 | 3.31 | 0.822 | 82.2 | 7.30 | 0.782 | 78.2 | 14.4 | 0.765 | 76.5 | |
| 103.2 | 4.50 × 10−4 | 2.75 | 0.852 | 85.2 | 6.11 | 0.818 | 81.8 | 12.7 | 0.793 | 79.3 | |
| 6 | 0.82 | 3.75 × 10−6 | 10.5 | 0.435 | 43.5 | 22.5 | 0.328 | 32.8 | 47.2 | 0.229 | 22.9 |
| 4.10 | 1.88 × 10−5 | 8.23 | 0.558 | 55.8 | 17.3 | 0.483 | 48.3 | 36.1 | 0.411 | 41.1 | |
| 8.19 | 3.75 × 10−5 | 7.46 | 0.599 | 59.9 | 16.2 | 0.517 | 51.7 | 31.6 | 0.483 | 48.3 | |
| 12.3 | 5.63 × 10−5 | 6.94 | 0.627 | 62.7 | 14.7 | 0.562 | 56.2 | 29.9 | 0.511 | 51.1 | |
| 24.7 | 1.13 × 10−4 | 5.88 | 0.684 | 68.4 | 12.7 | 0.622 | 62.2 | 26.7 | 0.564 | 56.4 | |
| 41.1 | 1.88 × 10−4 | 4.99 | 0.732 | 73.2 | 10.9 | 0.673 | 67.3 | 23.2 | 0.621 | 62.1 | |
| 81.9 | 3.75 × 10−4 | 3.65 | 0.804 | 80.4 | 8.42 | 0.749 | 74.9 | 18.8 | 0.693 | 69.3 | |
| 98.2 | 4.50 × 10−4 | 3.11 | 0.833 | 83.3 | 7.61 | 0.773 | 77.3 | 16.7 | 0.727 | 72.7 | |
| 7 | 0.84 | 3.75 × 10−6 | 6.40 | 0.599 | 59.9 | 13.9 | 0.585 | 58.5 | 26.1 | 0.574 | 57.4 |
| 4.21 | 1.88 × 10−5 | 4.30 | 0.694 | 69.4 | 9.66 | 0.712 | 71.2 | 20.5 | 0.665 | 66.5 | |
| 8.19 | 3.75 × 10−5 | 2.72 | 0.800 | 80.0 | 7.07 | 0.789 | 78.9 | 16.6 | 0.729 | 72.9 | |
| 12.6 | 5.63 × 10−5 | 1.90 | 0.844 | 84.4 | 5.60 | 0.833 | 83.3 | 13.3 | 0.782 | 78.2 | |
| 25.3 | 1.13 × 10−4 | 0.82 | 0.902 | 90.2 | 3.65 | 0.891 | 89.1 | 9.49 | 0.845 | 84.5 | |
| 42.1 | 1.88 × 10−4 | 0.39 | 0.941 | 94.1 | 2.54 | 0.924 | 92.4 | 6.31 | 0.897 | 89.7 | |
| 83.9 | 3.75 × 10−4 | 0.17 | 0.964 | 96.4 | 1.62 | 0.951 | 95.1 | 4.12 | 0.933 | 93.3 | |
| 100.7 | 4.50 × 10−4 | 0.10 | 0.995 | 99.5 | 0.45 | 0.985 | 98.5 | 1.82 | 0.978 | 97.8 | |
| Sample | Conc. (ppm) | Conc. (mol L−1) | Ea (kJ mol−1) | ΔH° (kJ mol−1) | ΔS° (kJ mol−1 K−1) |
|---|---|---|---|---|---|
| 5 | 0 | 0 | 51.6 | 48.9 | −64.8 |
| 0.86 | 3.75 × 10−6 | 62.6 | 59.9 | −33.8 | |
| 4.31 | 1.88 × 10−5 | 63.8 | 62.8 | −26.7 | |
| 8.60 | 3.75 × 10−5 | 65.5 | 67.1 | −14.9 | |
| 12.9 | 5.63 × 10−5 | 67.5 | 67.8 | −13.8 | |
| 25.9 | 1.13 × 10−4 | 68.0 | 65.3 | −22.8 | |
| 43.1 | 1.88 × 10−4 | 69.8 | 64.8 | −25.9 | |
| 86.0 | 3.75 × 10−4 | 70.5 | 61.1 | −40.1 | |
| 103.2 | 4.50 × 10−4 | 66.4 | 63.7 | −33.5 | |
| 6 | 0.82 | 3.75 × 10−6 | 62.7 | 62.4 | −26.4 |
| 4.10 | 1.88 × 10−5 | 63.4 | 61.4 | −31.8 | |
| 8.19 | 3.75 × 10−5 | 64.1 | 60.0 | −36.9 | |
| 12.3 | 5.63 × 10−5 | 65.1 | 60.7 | −35.4 | |
| 24.7 | 1.13 × 10−4 | 65.6 | 62.9 | −29.7 | |
| 41.1 | 1.88 × 10−4 | 66.7 | 64.0 | −27.6 | |
| 81.9 | 3.75 × 10−4 | 71.1 | 68.4 | −16.1 | |
| 98.2 | 4.50 × 10−4 | 73.1 | 70.4 | −11.0 | |
| 7 | 0.84 | 3.75 × 10−6 | 54.3 | 51.6 | −63.9 |
| 4.21 | 1.88 × 10−5 | 55.4 | 52.7 | −62.8 | |
| 8.19 | 3.75 × 10−5 | 64.7 | 62.0 | −36.7 | |
| 12.6 | 5.63 × 10−5 | 66.1 | 63.4 | −34.2 | |
| 25.3 | 1.13 × 10−4 | 71.5 | 68.8 | −21.0 | |
| 42.1 | 1.88 × 10−4 | 76.1 | 73.4 | −10.5 | |
| 83.9 | 3.75 × 10−4 | 78.9 | 76.2 | −5.36 | |
| 100.7 | 4.50 × 10−4 | 87.9 | 86.1 | −0.17 |
| Langmuir | Temkin | Frumkin | Freundlich | |||
|---|---|---|---|---|---|---|
| Temp. (K) | Kads (L mol−1) | ΔG° (kJ mol−1) | R2 | (R2, f) | (R2, a) | (R2, n) |
| 313 | 8.00 × 104 | −39.8 | 0.9963 | 0.9727, 9.52 | 0.9279, −0.79 | 0.9808, 0.1 |
| 323 | 5.71 × 104 | −38.9 | 0.9982 | 0.9863, 11.9 | 0.9819, −1.8 | 0.9917, 0.1 |
| 333 | 3.93 × 104 | −37.9 | 0.9975 | 0.9879, 10.8 | 0.9667, −1.8 | 0.9910, 0.1 |
| Conc. (ppm) | Conc. (mol L−1) | Tafel | LPR b | ||||
|---|---|---|---|---|---|---|---|
| Ecorr vs. SCE (mV) | βa (mV dec−1) | βc (mV dec−1) | Icorrc (μA cm−2) | η2 (%) a | θ2 (%)a | ||
| 0 | 0 | −495 | 73.8 | −169 | 2465 | − | − |
| 0.84 | 3.75 × 10-6 | −490 | 129 | −124 | 1129 | 54.2 | 55.7 |
| 4.21 | 1.88 × 10−5 | −486 | 121 | −183 | 939 | 61.9 | 62.3 |
| 8.19 | 3.75 × 10−5 | −481 | 108 | −137 | 781 | 68.3 | 69.4 |
| 12.6 | 5.63 × 10−5 | −475 | 80.3 | −125 | 680 | 72.4 | 71.9 |
| 25.3 | 1.13 × 10−4 | −470 | 79.1 | −115 | 468 | 81.0 | 81.8 |
| 42.1 | 1.88 × 10−4 | −463 | 58.6 | −113 | 355 | 85.6 | 87.1 |
| 83.9 | 3.75 × 10−4 | −461 | 62.2 | −110 | 244 | 90.1 | 92.3 |
| 100.7 | 4.50 × 10−4 | −459 | 47.9 | −119 | 96.1 | 94.7 | 96.1 |
| Conc. (ppm) | Conc. (mol L−1) | Rs (Ω cm2) | Rp (Ω cm2) | CPE a (µF cm−2) | n | R′p (Ω cm2) | η3(%) |
|---|---|---|---|---|---|---|---|
| 0 | 0 | 0.373 | 1.963 | 922 | 0.989 | 1.590 | − |
| 0.84 | 3.75 × 10−6 | 0.372 | 3.994 | 520 | 0.956 | 3.622 | 56.1 |
| 4.21 | 1.88 × 10−5 | 0.325 | 4.729 | 485 | 0.912 | 4.404 | 63.9 |
| 8.19 | 3.75 × 10−5 | 0.268 | 5.732 | 479 | 0.905 | 5.464 | 70.9 |
| 12.6 | 5.63 × 10−5 | 0.181 | 7.223 | 468 | 0.881 | 7.042 | 77.4 |
| 25.3 | 1.13 × 10−4 | 0.145 | 9.553 | 457 | 0.857 | 9.408 | 83.1 |
| 42.1 | 1.88 × 10−4 | 0.138 | 12.86 | 476 | 0.812 | 12.72 | 87.5 |
| 83.9 | 3.75 × 10−4 | 0.362 | 22.76 | 416 | 0.805 | 22.39 | 92.9 |
| 100.7 | 4.50 × 10−4 | 0.238 | 36.38 | 409 | 0.783 | 36.14 | 95.6 |
| Peak | Approx. Binding Energy (eV) | Composition (Atom %) |
|---|---|---|
| C1s | 285.3 | 20.7 |
| C1s | 286.5 | 35.8 |
| O 1s | 530.3 | 4.15 |
| O 1s | 532.7 | 23.9 |
| N 1s | 401.1 | 3.12 |
| Fe 2p | 707.1 | 0.59 |
| Fe 2p | 712.2 | 2.01 |
| S 2p | 162.3 | 4.58 |
| P 2p | 133.7 | 5.12 |
© 2019 by the author. Licensee MDPI, Basel, Switzerland. This article is an open access article distributed under the terms and conditions of the Creative Commons Attribution (CC BY) license (http://creativecommons.org/licenses/by/4.0/).
Share and Cite
Jafar Mazumder, M.A. New, Amino Acid Based Zwitterionic Polymers as Promising Corrosion Inhibitors of Mild Steel in 1 M HCl. Coatings 2019, 9, 675. https://doi.org/10.3390/coatings9100675
Jafar Mazumder MA. New, Amino Acid Based Zwitterionic Polymers as Promising Corrosion Inhibitors of Mild Steel in 1 M HCl. Coatings. 2019; 9(10):675. https://doi.org/10.3390/coatings9100675
Chicago/Turabian StyleJafar Mazumder, Mohammad A. 2019. "New, Amino Acid Based Zwitterionic Polymers as Promising Corrosion Inhibitors of Mild Steel in 1 M HCl" Coatings 9, no. 10: 675. https://doi.org/10.3390/coatings9100675
APA StyleJafar Mazumder, M. A. (2019). New, Amino Acid Based Zwitterionic Polymers as Promising Corrosion Inhibitors of Mild Steel in 1 M HCl. Coatings, 9(10), 675. https://doi.org/10.3390/coatings9100675

