Application of an Electrodeposited Sacrificial Nano-Reinforced Zn Coating Incorporating CeO2-Gr for Marine Corrosion Protection
Abstract
1. Introduction
2. Experimental Procedure
2.1. Coatings Preparation
2.2. Coatings Characterization
2.3. Corrosion Experiments
3. Results and Discussion
3.1. Characterization of Nanopowders and Zinc-Based Coatings Samples
3.1.1. Microstructural Study
3.1.2. Surface Morphological Examination
3.2. Mechanical Characterization of Zinc-Based Coatings Samples
3.2.1. Vickers Microhardness
3.2.2. Surface Roughness
3.2.3. Mechanical Resilience
3.3. Electrochemical Characterization of Zinc-Based Coatings Samples
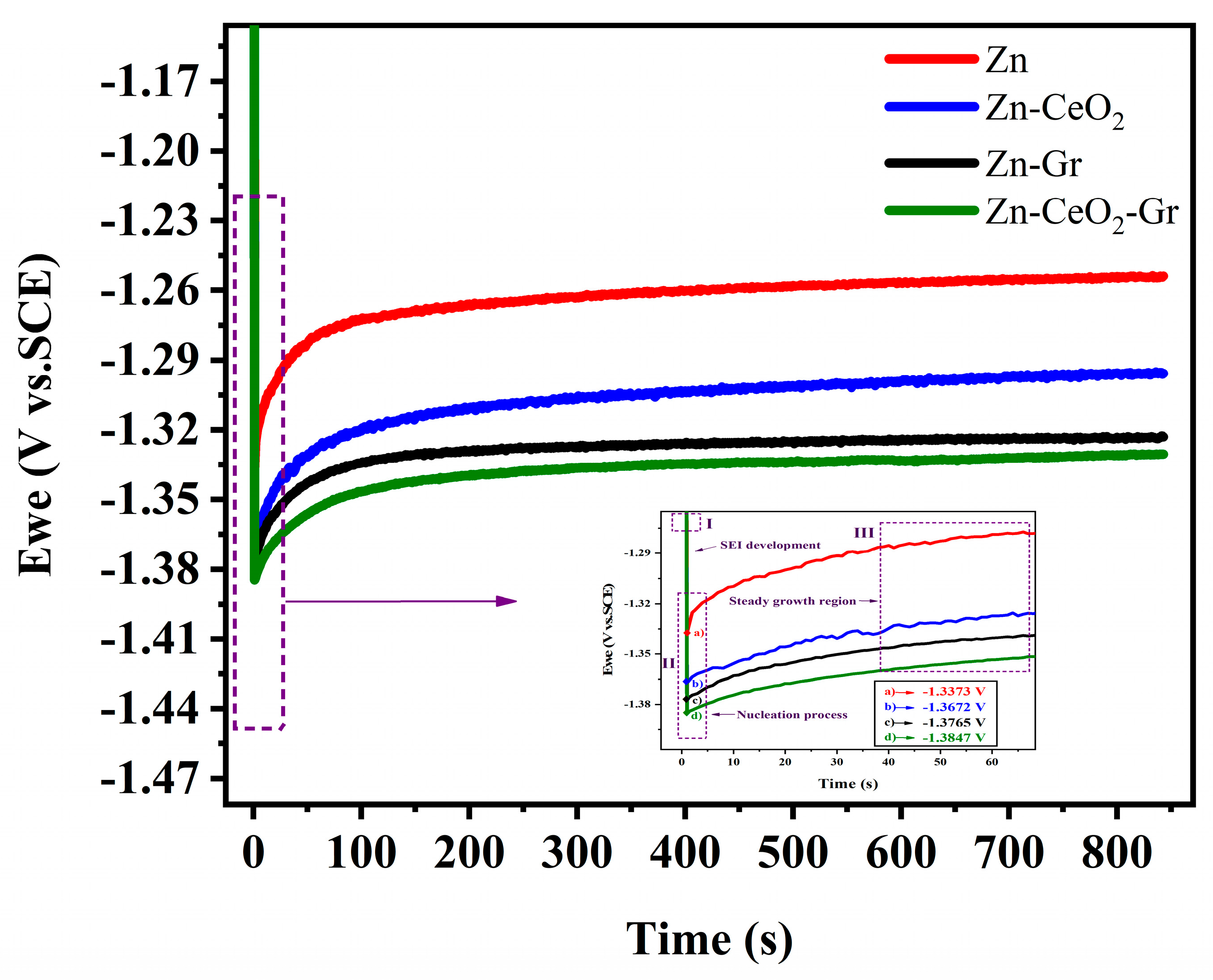
3.3.1. Electrodeposition of Zn-Based Coatings onto S235
3.3.2. Potentiodynamic Polarization Analysis in Saline Solution
3.3.3. Electrochemical Impedance (EIS) Test
4. Conclusions
Author Contributions
Funding
Institutional Review Board Statement
Informed Consent Statement
Data Availability Statement
Acknowledgments
Conflicts of Interest
References
- Wang, D.; Gao, Z.; Wu, Y.; Du, B.; Fan, Z. Selection of Zinc Coatings Based on Corrosion Behavior and Environmental Impact Assessment. Coatings 2025, 15, 199. [Google Scholar] [CrossRef]
- Exbrayat, L.; Rébéré, C.; Milet, R.; Calvié, E.; Steyer, P.; Creus, J. Corrosion Behavior in Saline Solution of Electrodeposited Nanocomposite Zn-CeO2 Coatings Deposited onto Low Alloyed Steel. Coatings 2023, 13, 1688. [Google Scholar] [CrossRef]
- Su, S.; Fontmorin, J.; The, H.; Milner, E.; Mohamed, P.; Scott, K.; Head, I.; Hao, E. Zinc Removal and Recovery from Industrial Wastewater with a Microbial Fuel Cell: Experimental Investigation and Theoretical Prediction. Sci. Total Environ. 2021, 776, 145934. [Google Scholar] [CrossRef]
- Laggoun, Z.; Khalfaoui, A.; Benalia, A.; Ghomrani, A.F.; Bouchareb, R.; Mahfouf, A.; Pizzi, A.; Panico, A.; Derbal, K. Applied Sciences Application of Response Surface Design for Optimization of Direct Red Dye Biosorption onto Cockleshells. Appl. Sci. 2023, 13, 12333. [Google Scholar] [CrossRef]
- Mosavat, S.H.; Shariat, M.H.; Bahrololoom, M.E. Study of Corrosion Performance of Electrodeposited Nanocrystalline Zn-Ni Alloy Coatings. Corros. Sci. 2012, 59, 81–87. [Google Scholar] [CrossRef]
- Sylla, D.; Rebere, C.; Gadouleau, M.; Savall, C.; Creus, J.; Refait, P.H. Electrodeposition of Zn-Mn Alloys in Acidic and Alkaline Baths. Influence of Additives on the Morphological and Structural Properties. J. Appl. Electrochem. 2005, 35, 1133–1139. [Google Scholar] [CrossRef]
- Amirat, S.; Rehamnia, R.; Bordes, M.; Creus, J. Zn-Fe Alloy Electrodeposition from Chloride Bath: Influence of Deposition Parameters on Coatings Morphology and Structure. Mater. Corros. 2013, 64, 328–334. [Google Scholar] [CrossRef]
- Arrighi, C.; Savall, C.; Cohendoz, S.; Grosseau-Poussard, J.L.; Baissac, L.; Olivier, M.G.; Creus, J. Optimization of the Morphology, Structure and Properties of High Iron Content Zn–Fe Coatings by Pulse Electrodeposition. Mater. Chem. Phys. 2021, 263, 124366. [Google Scholar] [CrossRef]
- Exbrayat, L.; Rébéré, C.; Eyame, R.N.; Steyer, P.; Creus, J. Corrosion Behaviour in Saline Solution of Pulsed-Electrodeposited Zinc-Nickel-Ceria Nanocomposite Coatings. Mater. Corros. 2017, 68, 1129–1142. [Google Scholar] [CrossRef]
- Deepa, M.J.; Arunima, S.R.; Riswana, G.; Riyas, A.H.; Sha, M.A.; Suneesh, C.V.; Shibli, S.M.A. Applied Surface Science Exploration of Mo Incorporated TiO2 Composite for Sustained Biocorrosion Control on Zinc Coating. Appl. Surf. Sci. 2019, 494, 361–376. [Google Scholar] [CrossRef]
- Zhang, S.; Liu, L.; Lei, Q.; Zhang, T.; Bing, J.; Dong, J. A Nano-CeO2/Zn-Mn Composite Conversion Coatings on AZ91D Magnesium Alloy Surface of Corrosion Resistance Research. Coatings 2023, 13, 929. [Google Scholar] [CrossRef]
- Kabir, H.; Lin, J.; Munir, K.; Wen, C.; Wright, P.F.A.; Li, Y. Mechanical Properties, Degradation Behavior, and Cytocompatibility of Zn—Mg—Graphene Nanoplatelets Composite for Orthopedic-Implant Applications. Adv. Eng. Mater. 2023, 25, 2301293. [Google Scholar] [CrossRef]
- Liu, Y.; Huang, C.; Yang, H.; Sun, X.; Zhang, H.; Sun, Y.; Zhang, W.; Lan, H.; Yu, S. Enhanced Corrosion Resistance of CuAl/BN Coatings through the Addition of Rare Earth Elements and High-Temperature Oxidation Treatment. Crystals 2024, 14, 808. [Google Scholar] [CrossRef]
- Joshua, O.T.; Fayomi, O.S.I.; Omeje, E.T. Development of an In-Situ Composite Doped Coating for Corrosion Protection and Mechanical Properties Enhancements in Process Engineering. J. Miner. Mater. Charact. Eng. 2019, 7, 171–179. [Google Scholar] [CrossRef]
- Sun, S.; Fu, H.; Ping, X.; Guo, X.; Lin, J.; Lei, Y.; Wu, W.; Zhou, J. Effect of CeO2 Addition on Microstructure and Mechanical Properties of In-Situ (Ti, Nb)C/Ni Coating. Surf. Coat. Technol. 2019, 359, 300–313. [Google Scholar] [CrossRef]
- Li, Q.; Lei, Y.; Fu, H. Laser Cladding In-Situ NbC Particle Reinforced Fe-Based Composite Coatings with Rare Earth Oxide Addition. Surf. Coat. Technol. 2014, 239, 102–107. [Google Scholar] [CrossRef]
- Peera, S.G.; Kim, S.W. Rare Earth Ce/CeO2 Electrocatalysts: Role of High Electronic Spin State of Ce and Ce3+ /Ce4+ Redox Couple on Oxygen Reduction Reaction. Nanomaterials 2025, 15, 600. [Google Scholar] [CrossRef]
- Bai, R.; Zhao, Y.; Lu, C.; Meng, Y.; Gao, W.; Wang, Y.; Dang, R.; Mu, M.; Wang, J.; Jiao, Y. Sonochemical Synthesis and Electrochemical Performance of Reduced Graphene Oxide/Cerium Dioxide Nanocomposites. J. Chem. Res. 2023, 47, 1–8. [Google Scholar] [CrossRef]
- Wang, C.; Qin, Z.; Feng, K.; Zhong, B. CeO2 Modified Graphene Nanoplatelets Composite Powders Enhanced the Cathodic Protection of Waterborne Zinc-Rich Epoxy Coatings. J. Polym. Res. 2020, 27, 367. [Google Scholar] [CrossRef]
- Kim, H.; Abdala, A.A.; Macosko, C.W. Graphene / Polymer Nanocomposites. Macromolecules 2010, 43, 6515–6530. [Google Scholar] [CrossRef]
- Govindaraj, P.; Fox, B.; Aitchison, P.; Hameed, N. A Review on Graphene Polymer Nanocomposites in Harsh Operating Conditions. Ind. Eng. Chem. Res. 2019, 58, 17106–17129. [Google Scholar] [CrossRef]
- He, G.; Liang, T.; Wang, Q.; Xu, M.; Liu, Y. Increased Permeability of Oxygen Atoms through Graphene with Ripples. Soft Matter 2017, 13, 3994–4000. [Google Scholar] [CrossRef] [PubMed]
- Ding, R.; Zheng, Y.; Yu, H.; Li, W.; Wang, X.; Gui, T. Study of Water Permeation Dynamics and Anti-Corrosion Mechanism of Graphene/Zinc Coatings. J. Alloys Compd. 2018, 748, 481–495. [Google Scholar] [CrossRef]
- Chen, C.; He, Y.; Xiao, G.; Xia, Y.; Li, H.; He, Z. Two-Dimensional Hybrid Materials: MoS2-RGO Nanocomposites Enhanced the Barrier Properties of Epoxy Coating. Appl. Surf. Sci. 2018, 444, 511–521. [Google Scholar] [CrossRef]
- Jiang, P.; Blawert, C.; Zheludkevich, M.L. The Corrosion Performance and Mechanical Properties of Mg-Zn Based Alloys—A Review. Corros. Mater. Degrad. 2020, 1, 92–158. [Google Scholar] [CrossRef]
- Kumar, M.K.P.; Singh, M.P.; Srivastava, C. Electrochemical Behavior of Zn—Graphene Composite Coatings. RSC Adv. 2015, 5, 25603–25608. [Google Scholar] [CrossRef]
- Liu, X. Review of Protective Coatings for Corrosion Mitigation in Chemical Machinery: Performance and Mechanical Aspects. J. Adhes. Sci. Technol. 2025, 1–50. [Google Scholar] [CrossRef]
- Sharma, S.K.; Miladinovic, S.; Sharma, L.K.; Gajevic, S.; Sharma, Y.; Sharma, M.; Cukic, S.; Stojanovic, B. Graphene / CNT Nanocomposites: Processing, Properties, and Applications. Nanomaterials 2026, 16, 100. [Google Scholar] [CrossRef]
- Liu, W.W.; Aziz, A. Review on the Effects of Electrochemical Exfoliation Parameters on the Yield of Graphene Oxide. ACS Omega 2022, 7, 33719–33731. [Google Scholar] [CrossRef]
- Messabhia, A.; Boudellioua, H.; Hamlaoui, Y.; Pedraza, F. Electrochemical Deposition of Graphene-Doped Polyaniline Films for Enhanced Zinc Corrosion Resistance. Appl. Surf. Sci. 2025, 701, 163311. [Google Scholar] [CrossRef]
- Gharbi, A.; Hamlaoui, Y.; Djaghout, I.; Pedraza, F. Electrochemical Exfoliation of Graphene Nanosheets and Development of a Novel Efficient Ni-CeO2-Gr Ternary Nanocomposite Coatings for Dual Functional Anti-Corrosion and Wear-Resistance. Surf. Coat. Technol. 2024, 494, 131492. [Google Scholar] [CrossRef]
- Gudic, S.; Coric, M.; Vrsalovic, L.; Nagode, A.; Krolo, J.; Jakic, J. Effect of Natural Seawater Salinity on Stainless Steel Corrosion: Enhanced Resistance in Seawater Bittern. Appl. Sci. 2026, 16, 109. [Google Scholar] [CrossRef]
- Xu, H.Y.; Lu, D.; Han, X. Graphene-Induced Enhanced Anticorrosion Performance of Waterborne Epoxy Resin Coating. Front. Mater. Sci. 2020, 14, 211–220. [Google Scholar] [CrossRef]
- Azar, M.M.K.; Gugtapeh, H.S.; Rezaei, M. Evaluation of Corrosion Protection Performance of Electroplated Zinc and Zinc-Graphene Oxide Nanocomposite Coatings in Air Saturated 3.5 wt. % NaCl Solution. Colloids Surf. A Physicochem. Eng. Asp. 2020, 601, 125051. [Google Scholar] [CrossRef]
- Abd El-Monem, M.; Khairy, M.; Mahmoud, K.; Abdel-Ghany, A.; Ebnalwaled, A.; Ibrahim, E.M.M. Synthesis, Characterization, and Electrochemical Analysis of Graphene Oxide Prepared by Modified Hummer’s Method. Sohag J. Sci. 2024, 9, 140–144. [Google Scholar] [CrossRef]
- Muhsan, A.A.; Lafdi, K. Numerical Study of the Electrochemical Exfoliation of Graphite. SN Appl. Sci. 2019, 1, 276. [Google Scholar] [CrossRef]
- Li, X.; Shen, Q.; Zhang, Y.; Wang, L.; Nie, C. Wear Behavior of Electrodeposited Nickel/Graphene Composite Coating. Diam. Relat. Mater. 2021, 119, 108589. [Google Scholar] [CrossRef]
- Yousef, A.; El-Newehy, M.H.; Al-Deyab, S.S.; Barakat, N.A.M. Facile Synthesis of Ni-Decorated Multi-Layers Graphene Sheets as Effective Anode for Direct Urea Fuel Cells. Arab. J. Chem. 2017, 10, 811–822. [Google Scholar] [CrossRef]
- Nuayi, A.W.; Noor, F.A.; Sustini, E.; Irzaman; Winata, T. Enhancing Growth of Multi-Layer Graphene Synthesis on Glass Substrate Though Ni Catalyst Annealing Using Hot Wire in Plasma Very High-Frequency PECVD Method. J. Phys. Conf. Ser. 2024, 2734, 012039. [Google Scholar] [CrossRef]
- Parra, C.; Aristizabal, J.; Arce, B.; Montero-Silva, F.; Lascano, S.; Henriquez, R.; Lazcano, P.; Giraldo-Gallo, P.; Ramírez, C.; Henrique Rodrigues da Cunha, T.; et al. Graphene Coating as an Effective Barrier to Prevent Bacteria-Mediated Dissolution of Gold. Metals 2021, 11, 147. [Google Scholar] [CrossRef]
- Jayakumar, G.; Irudayaraj, A.A.; Raj, A.D. A Comprehensive Investigation on the Properties of Nanostructured Cerium Oxide. Opt. Quantum Electron. 2019, 51, 312. [Google Scholar] [CrossRef]
- Saitzek, S.; Blach, F.; Villain, S.; Gavarri, R. Nanostructured Ceria: A Comparative Study from X-Ray Diffraction, Raman Spectroscopy and BET Specific Surface Measurements. Phys. Status Solidi 2008, 205, 1534–1539. [Google Scholar] [CrossRef]
- Ding, F.; Zhang, Y.; Zhu, X.; Guo, P.; Yang, L.; Zhang, Q.; Xu, C.; Sun, W.; Song, Z. Strengthening Mechanism of Rotary-Forged Deformable Biodegradable Zn-0.45Li Alloys. Materials 2023, 16, 3003. [Google Scholar] [CrossRef] [PubMed]
- Rosas-Laverde, N.M.; Pruna, A.; Busquets-Mataix, D.; Pullini, D. Graphene Oxide-Assisted Morphology and Structure of Electrodeposited ZnO Nanostructures. Materials 2020, 13, 365. [Google Scholar] [CrossRef]
- Shen, X.; Sheng, J.; Zhang, Q.; Xu, Q.; Cheng, D. The Corrosion Behavior of Zn / Graphene Oxide Composite Coatings Fabricated by Direct Current Electrodeposition. J. Mater. Eng. Perform. 2018, 27, 3750–3761. [Google Scholar] [CrossRef]
- Cao, X.; Huang, F.; Huang, C.; Liu, J.; Cheng, Y.F. Preparation of Graphene Nanoplate Added Zinc-Rich Epoxy Coatings for Enhanced Sacrificial Anode-Based Corrosion Protection. Corros. Sci. 2019, 159, 108120. [Google Scholar] [CrossRef]
- Owhal, A.; Pingale, A.D.; Belgamwar, S.U.; Rathore, J.S. Preparation of Novel Zn/Gr MMC Using a Modified Electro-Co-Deposition Method: Microstructural and Tribo-Mechanical Properties. Mater. Today Proc. 2021, 44, 222–228. [Google Scholar] [CrossRef]
- Vlasa, A.; Varvara, S.; Pop, A.; Bulea, C.; Muresan, L.M. Electrodeposited Zn-TiO2 Nanocomposite Coatings and Their Corrosion Behavior. J. Appl. Electrochem. 2010, 40, 1519–1527. [Google Scholar] [CrossRef]
- Jabbar, A.; Yasin, G.; Khan, W.Q.; Anwar, M.Y.; Korai, R.M.; Nizam, M.N.; Muhyodin, G. Electrochemical Deposition of Nickel Graphene Composite Coatings: Effect of Deposition Temperature on Its Surface Morphology and Corrosion Resistance. RSC Adv. 2017, 7, 31100–31109. [Google Scholar] [CrossRef]
- Monshi, A.; Foroughi, M.R.; Monshi, M.R. Modified Scherrer Equation to Estimate More Accurately Nano-Crystallite Size Using XRD. World J. Nano Sci. Eng. 2012, 2, 154–160. [Google Scholar] [CrossRef]
- Munir, K.; Wen, C.; Li, Y. Graphene Nanoplatelets-Reinforced Magnesium Metal Matrix Nanocomposites with Superior Mechanical and Corrosion Performance for Biomedical Applications. J. Magnes. Alloys 2020, 8, 269–290. [Google Scholar] [CrossRef]
- Kuo, W.; Tai, N.; Chang, T. Composites: Part A Deformation and Fracture in Graphene Nanosheets. Compos. Part A Appl. Sci. Manuf. 2013, 51, 59–61. [Google Scholar] [CrossRef]
- Gul, W.; Riaz, S.; Shah, A.; Khan, A.; Ahmad, N.; Ahmed, S.; Ain, N.; Mehmood, A.; Salah, B.; Ullah, S.S.; et al. Synthesis of Graphene Oxide (GO) and Reduced Graphene Oxide (RGO) and Their Application as Nano-Fi Llers to Improve the Physical and Mechanical Properties of Medium Density Fiberboard. Front. Mater. 2023, 10, 1206918. [Google Scholar] [CrossRef]
- Park, M.H.; Kim, T.H.; Yang, C.W. Thickness Contrast of Few-Layered Graphene in SEM. Surf. Interface Anal. 2012, 44, 1538–1541. [Google Scholar] [CrossRef]
- Farahmandjou, M.; Zarinkama, M. Synthesis of Nano-Sized Ceria (CeO2) Particles via a Cerium Hydroxy Carbonate Precursor and the Effect of Reaction Temperature on Particle Morphology. J. Ultrafine Grained Nanostruct. Mater. 2015, 48, 5–10. [Google Scholar] [CrossRef]
- Tian, X.; Sun, Y.; Li, H.; Duan, X.; Zhao, Q.; Ma, T. Crystallographic Texturing of Electrodeposits for Sustainable Zn Anodes. Adv. Energy Mater. 2025, 15, 2403995. [Google Scholar] [CrossRef]
- Riđošić, M.; Nikolić, N.D.; Salicio-Paz, A.; García-Lecina, E.; Živković, L.S.; Bajat, J.B. Zn-Co-CeO2 vs. Zn-Co Coatings: Effect of CeO2 Sol in the Enhancement of the Corrosion Performance of Electrodeposited Composite Coatings. Metals 2021, 11, 704. [Google Scholar] [CrossRef]
- Ranganatha, S.; Venkatesha, T.V.; Vathsala, K.; Kumar, M.K.P. Electrochemical Studies on Zn/Nano-CeO2 Electrodeposited Composite Coatings. Surf. Coat. Technol. 2012, 208, 64–72. [Google Scholar] [CrossRef]
- Exbrayat, L.; Steyer, P.; Rébéré, C.; Berziou, C.; Savall, C.; Ayrault, P.; Tertre, E.; Joly-Pottuz, G.L.; Creus, J. Electrodeposition of Zinc-Ceria Nanocomposite Coatings in Alkaline Bath. J. Solid State Electrochem. 2014, 18, 223–233. [Google Scholar] [CrossRef]
- Tomić, M.V.; Mitrović, M.G. Electrodeposition of Zn-Mn/CeO2 Composite Coatings: Evaluation of Corrosion Properties. J. Solid State Electrochem. 2023, 27, 1901–1910. [Google Scholar] [CrossRef]
- Punith Kumar, M.K.; Ray, S.; Srivastava, C. Effect of Graphene Addition on Composition, Morphology and Corrosion Behavior of ZnNiFe-Graphene Composite Coatings. Diam. Relat. Mater. 2020, 107, 107904. [Google Scholar] [CrossRef]
- Kondo, K.; Ohgishi, A.; Tanaka, Z. Electrodeposition of Zinc-SiO2 Composite. J. Electrochem. Soc. 2000, 147, 2611. [Google Scholar] [CrossRef]
- Kumar, C.M.P.; Chandrashekarappa, M.P.G.; Kulkarni, R.M.; Pimenov, D.Y.; Giasin, K. The Effect of Zn and Zn–WO3 Composites Nano-Coatings Deposition on Hardness and Corrosion Resistance in Steel Substrate. Materials 2021, 14, 2253. [Google Scholar] [CrossRef] [PubMed]
- Wang, G.; Zhang, Y.; Liu, J.; Chen, W.; Wang, K.; Cui, B.; Zou, B.; Ouyang, Q.; Zhang, Y.; Hu, Z.; et al. Dispersion Hardening Using Amorphous Nanoparticles Deployed via Additive Manufacturing. Nat. Commun. 2025, 16, 3589. [Google Scholar] [CrossRef]
- Xu, W.; Yu, J.; Jia, L.; Gao, C.; Miao, Z.; Wu, G.; Li, G.; Zhang, Z. Grain Refinement Impact on the Mechanical Properties and Wear Behavior of Mg-9Gd-3Y-2Zn-0.5Zr Alloy after Decreasing Temperature Reciprocating Upsetting-Extrusion. J. Magnes. Alloys 2022, 10, 3506–3519. [Google Scholar] [CrossRef]
- Sreelekshmy, B.R.; Vijayan, A.; Basheer, R.; Arunima, S.R.; Ameen Sha, M.; Riyas, A.H.; Bhagya, T.C.; Manu, M.N.; Shibli, S.M.A. Zn Wetted CeO2 Based Composite Galvanization: An Effective Route to Combat Biofouling. ACS Appl. Bio Mater. 2019, 2, 3774–3789. [Google Scholar] [CrossRef]
- Rana, A.R.K.; Islam, M.A.; Farhat, Z. Effect of Graphene Nanoplatelets (GNPs) Addition on Erosion—Corrosion Resistance of Electroless Ni—P Coatings. J. Bio-Tribo-Corros. 2020, 6, 11. [Google Scholar] [CrossRef]
- Lozrt, J.; Votava, J.; Kumbár, V.; Polcar, A. Analysis of Corrosion-Mechanical Properties of Electroplated and Hot-Dip Zinc Coatings on Mechanically Pre-Treated Steel Substrate. Appl. Sci. 2025, 15, 2626. [Google Scholar] [CrossRef]
- Roa, J.J.; Gilioli, E.; Bissoli, F.; Pattini, F.; Rampino, S.; Capdevila, X.G.; Segarra, M. Study of the Mechanical Properties of CeO2 Layers with the Nanoindentation Technique. Thin Solid Films 2009, 518, 227–232. [Google Scholar] [CrossRef]
- Zhu, J.; Liu, X.; Zhou, X.; Yang, Q. Strengthening Effect of Graphene-Edge Dislocation Interaction in Graphene Reinforced Copper Matrix Composites. Comput. Mater. Sci. 2020, 188, 110179. [Google Scholar] [CrossRef]
- Wu, S.; Qureshi, T.; Wang, G. Application of Graphene in Fiber-Reinforced Cementitious Composites: A Review. Energies 2021, 14, 4614. [Google Scholar] [CrossRef]
- Abd-elaziem, W.; Liu, J.; Ghoniem, N.; Li, X. Effect of Nanoparticles on Creep Behaviour of Metals: A Review. J. Mater. Res. Technol. 2023, 26, 3025–3053. [Google Scholar] [CrossRef]
- Saboori, A.; Dadkhah, M.; Fino, P.; Pavese, M. An Overview of Metal Matrix Nanocomposites Reinforced with Graphene Nanoplatelets; Mechanical, Electrical and Thermophysical Properties. Metals 2018, 8, 423. [Google Scholar] [CrossRef]
- Jeon, D.; Sagong, M.; Soo, M.; Jong, K.; Nam, S.; Park, H. Electrospun Carbon Nanofibers for Clean Energy Applications: A Comprehensive Review. EcoMat 2025, 7, e12517. [Google Scholar] [CrossRef]
- Costovici, S.; Pantazi, A.; Balan, D.; Cojocaru, A.; Visan, T.; Enachescu, M.; Anicai, L. Electrodeposition of Tin-Reduced Graphene Oxide Composite from Deep Eutectic Solvents Based on Choline Chloride and Ethylene Glycol. Metals 2023, 13, 203. [Google Scholar] [CrossRef]
- Li, S.; Song, G.; Zhang, Y.; Fu, Q.; Pan, C. Graphene-Reinforced Zn-Ni Alloy Composite Coating on Iron Substrates by Pulsed Reverse Electrodeposition and Its High Corrosion Resistance. ACS Omega 2021, 6, 13728–13741. [Google Scholar] [CrossRef]
- Wu, Q.; McDowell, M.T.; Qi, Y. Effect of the Electric Double Layer (EDL) in Multicomponent Electrolyte Reduction and Solid Electrolyte Interphase (SEI) Formation in Lithium Batteries. J. Am. Chem. Soc. 2023, 145, 2473–2484. [Google Scholar] [CrossRef]
- Larchet, C.; Nouri, S.; Auclair, B.; Dammak, L.; Nikonenko, V. Application of Chronopotentiometry to Determine the Thickness of Diffusion Layer Adjacent to an Ion-Exchange Membrane under Natural Convection. Adv. Colloid Interface Sci. 2008, 139, 45–61. [Google Scholar] [CrossRef]
- Xia, Z.; Yang, S.; Tang, M.T. Nucleation and Growth Orientation of Zinc Electrocrystallization in the Presence of Gelatin in Zn(II)-NH3-NH4Cl-H2O Electrolytes. RSC Adv. 2015, 5, 2663–2668. [Google Scholar] [CrossRef]
- Xu, Z.; Wu, M. Toward Dendrite-Free Deposition in Zinc-Based Flow Batteries: Status and Prospects. Batteries 2022, 8, 117. [Google Scholar] [CrossRef]
- Yuan, Y.; Luo, G.; Li, N. New: In Situ Description of Electrodepositing Multiple Nucleation Processes under Galvanostatic Stimuli. RSC Adv. 2021, 11, 31526–31532. [Google Scholar] [CrossRef] [PubMed]
- Pei, A.; Zheng, G.; Shi, F.; Li, Y.; Cui, Y. Nanoscale Nucleation and Growth of Electrodeposited Lithium Metal. Nano Lett. 2017, 17, 1132–1139. [Google Scholar] [CrossRef] [PubMed]
- Nemeş, P.I.; Zaharescu, M.; Muresan, L.M. Initial Corrosion Behavior of Composite Coatings Obtained by Co- Electrodeposition of Zinc with Nanoparticles of Ti and Ce Oxides. J. Solid State Electrochem. 2013, 17, 511–518. [Google Scholar] [CrossRef]
- Li, Z.; Khimyak, Y.Z.; Taubert, A. Lessons from a “Failed” Experiment: Zinc Silicates with Complex Morphology by Reaction of Zinc Acetate, the Ionic Liquid Precursor (ILP) Tetrabutylammonium Hydroxide (TBAH), and Glass. Materials 2008, 1, 3–24. [Google Scholar] [CrossRef]
- Chakik, M.; Bebe, S.; Prakash, R. Applied Sciences Hydrogenated Graphene Based Organic Thin Film Transistor Sensor for Detection of Chloride Ions as Corrosion Precursors. Appl. Sci. 2022, 12, 863. [Google Scholar] [CrossRef]
- Rouabhia, F.; Hamlaoui, Y.; Meroufel, A.; Pedraza, F. Corrosion Properties of Ceria-Based Coating Electrodeposited from Alkaline Bath on Electrogalvanized Steel. J. Appl. Electrochem. 2021, 51, 567–580. [Google Scholar] [CrossRef]
- Benito-santiago, S.E.; Onofre-bustamante, E.; Lozano-puerto, R.M. Synthesis and Characterisation of CeO2 Coatings on the AZ31 Alloy for Corrosion Protection and In Vitro Biocompatibility of MC3T3-E1 Pre-Osteoblasts. Metals 2023, 13, 653. [Google Scholar] [CrossRef]
- Varadaraj, S.; Shreeprakash, B.; Praveen, B.M.; Davendra, B.K. The Effect of Graphene Content on the Corrosion and Mechanical Properties of an Electrodeposited Ni-Graphene Coating. Appl. Surf. Sci. Adv. 2022, 11, 100310. [Google Scholar] [CrossRef]
- Yang, H.; Dong, Y.; Li, X.; Gao, Y.; He, W.; Liu, Y.; Mu, X.; Zhao, Y.; Fu, W.; Wang, X.; et al. Development of a Mechanically Robust Superhydrophobic Anti-Corrosion Coating Using Micro-HBN/Nano-Al2O3 with Multifunctional Properties. Ceram. Int. 2025, 51, 491–505. [Google Scholar] [CrossRef]
- Nemes, P.I.; Lekka, M.; Fedrizzi, L.; Muresan, L.M. Influence of the Electrodeposition Current Regime on the Corrosion Resistance of Zn-CeO2 Nanocomposite Coatings. Surf. Coat. Technol. 2014, 252, 102–107. [Google Scholar] [CrossRef]
- Dai, Q.; Peng, S.; Zhang, Z.; Liu, Y.; Fan, M.; Zhao, F. Microstructure and Mechanical Properties of Zinc Matrix Biodegradable Composites Reinforced by Graphene. Front. Bioeng. Biotechnol. 2021, 9, 635338. [Google Scholar] [CrossRef]










| Bath Composition | Concentration | Experimental Conditions |
|---|---|---|
| KCl | 240 g/L | Cathode: S235 Mild Steel |
| ZnCl2, 6H2O | 63 g/L | Anode: Zn Plate (99.99% pure) |
| H3BO3 | 25 g/L | Current density: 50 mA/cm2 |
| DTAB (cationic surfactant) | 1 g/L | Plating time: 14 min |
| CeO2 nanoparticles | 15 g/L | Stirring speed: 400 rpm |
| Graphene | 0.25 g/L | pH: 4.9 and Temperature: 40 ± 2 °C |
| Samples ID | Crystallite Size (nm) |
|---|---|
| Pure Zn | 60.2 |
| Zn-Gr | 48.2 |
| Zn-CeO2 | 24.7 |
| Zn-CeO2-Gr | 14.6 |
| CeO2 nanoparticles | 37.8 |
| Graphene | 11.8 |
| Element | Line | at% | wt% |
|---|---|---|---|
| C | K | 84.0 | 79.7 |
| O | K | 16.0 | 20.3 |
| S | K | 0.1 | 0.4 |
| Coatings ID | HV0.1 (Mean + SD) | Roughness (µm) (Ra) | Mechanical Resilience (J/cm2) (Mean + SD) |
|---|---|---|---|
| Pure Zn | 41 ± 1 HV | 2.16 | 11.3 ± 1.20 |
| Zn-CeO2 | 44 ± 1 HV | 1.56 | 11.6 ± 1.6 |
| Zn-Gr | 50 ± 1 HV | 1.45 | 11.8 ± 1.2 |
| Zn-CeO2-Gr | 68 ± 1 HV | 0.40 | 14.8 ± 2.1 |
| Coatings ID | Ecorr (V/SCE) | icorr (µA/cm2) | βA (mV/dec) | RP (Ω·cm2) |
|---|---|---|---|---|
| Pure Zn | −1.050 | 114 | 10 | 38 |
| Zn-CeO2 | −1.045 | 92 | 14 | 66 |
| Zn-Gr | −1.046 | 98 | 11 | 49 |
| Zn-CeO2-Gr | −1.051 | 45 | 19 | 184 |
| CPE1 | CPE2 | |||||||
|---|---|---|---|---|---|---|---|---|
| Coatings ID | Rs (Ω·cm2) | R1 (Ω·cm2) | R2 (Ω·cm2) | Y1 in 10−4 (S·secn) | n1 | Y2 (S·secn) | n2 | * RP (Ω·cm2) |
| Pure Zn | 7.4 | 28.4 | 18.7 | 5.070 | 0.71 | 0.064 | 0.63 | 47.1 |
| Zn-CeO2 | 8.7 | 40.7 | 32.6 | 4.107 | 0.87 | 0.029 | 0.98 | 73.3 |
| Zn-Gr | 9.2 | 45.3 | 38.1 | 2.010 | 0.82 | 0.0310 | 0.87 | 83.4 |
| Zn-CeO2-Gr | 12.5 | 65.6 | 149.2 | 1.374 | 0.88 | 0.00581 | 0.85 | 215 |
| Coatings ID | Micro Hardness (HV) | Hardness Improvement (%) | icorr (µA/cm2) | Protective Efficiency P.E. % | RP (Ω·cm2) | Rct (Ω·cm2) | P.E. % | References |
|---|---|---|---|---|---|---|---|---|
| Zn Zn-CeO2 | 38 45 | 16 | 4.81 6.56 | 26 | [90] | |||
| Zn Zn-0.7wt%GNS | 54 65 | 17 | 277.6 195.8 | 29.47 | [91] | |||
| Zn Zn-Gr MMC | 45 62 | 27 | [47] | |||||
| Zn Zn-CeO2 | 100 90 | 10 | 65 122 | 128 133 | 4 | [2] | ||
| Zn Zn-CeO2 Zn-Gr Zn-CeO2-Gr | 41 44 50 68 | 7 18 40 | 114 92 98 45 | 19 14 61 | 47.1 73.3 83.4 215 | 18.7 32.6 38.1 149.2 | 43 51 87 | This work |
Disclaimer/Publisher’s Note: The statements, opinions and data contained in all publications are solely those of the individual author(s) and contributor(s) and not of MDPI and/or the editor(s). MDPI and/or the editor(s) disclaim responsibility for any injury to people or property resulting from any ideas, methods, instructions or products referred to in the content. |
© 2026 by the authors. Licensee MDPI, Basel, Switzerland. This article is an open access article distributed under the terms and conditions of the Creative Commons Attribution (CC BY) license.
Share and Cite
Ghomrani, A.F.; Derbal, K.; Hamlaoui, Y.; Creus, J.; Conforto, E.; Zitouni, T.A.; Laggoun, Z.; Pizzi, A.; Trancone, G.; Panico, A.; et al. Application of an Electrodeposited Sacrificial Nano-Reinforced Zn Coating Incorporating CeO2-Gr for Marine Corrosion Protection. Coatings 2026, 16, 409. https://doi.org/10.3390/coatings16040409
Ghomrani AF, Derbal K, Hamlaoui Y, Creus J, Conforto E, Zitouni TA, Laggoun Z, Pizzi A, Trancone G, Panico A, et al. Application of an Electrodeposited Sacrificial Nano-Reinforced Zn Coating Incorporating CeO2-Gr for Marine Corrosion Protection. Coatings. 2026; 16(4):409. https://doi.org/10.3390/coatings16040409
Chicago/Turabian StyleGhomrani, Amira Fadia, Kerroum Derbal, Youcef Hamlaoui, Juan Creus, Egle Conforto, Tidjani Ahmed Zitouni, Zakaria Laggoun, Antonio Pizzi, Gennaro Trancone, Antonio Panico, and et al. 2026. "Application of an Electrodeposited Sacrificial Nano-Reinforced Zn Coating Incorporating CeO2-Gr for Marine Corrosion Protection" Coatings 16, no. 4: 409. https://doi.org/10.3390/coatings16040409
APA StyleGhomrani, A. F., Derbal, K., Hamlaoui, Y., Creus, J., Conforto, E., Zitouni, T. A., Laggoun, Z., Pizzi, A., Trancone, G., Panico, A., Benalia, A., & Nasrallah, N. (2026). Application of an Electrodeposited Sacrificial Nano-Reinforced Zn Coating Incorporating CeO2-Gr for Marine Corrosion Protection. Coatings, 16(4), 409. https://doi.org/10.3390/coatings16040409

