Optimization of In Situ CO2 Oxidation Temperature for Hydrogen-Resistant ZrO2 Films on Zirconium Hydride
Abstract
1. Introduction
2. Materials and Methods
2.1. Materials
2.2. Film Preparation
2.3. Characterization Methods
2.4. Dehydrogenation Test
3. Results
3.1. SEM Surface Analysis
3.2. EDS Analysis
3.3. XRD Analysis of the Oxide Film
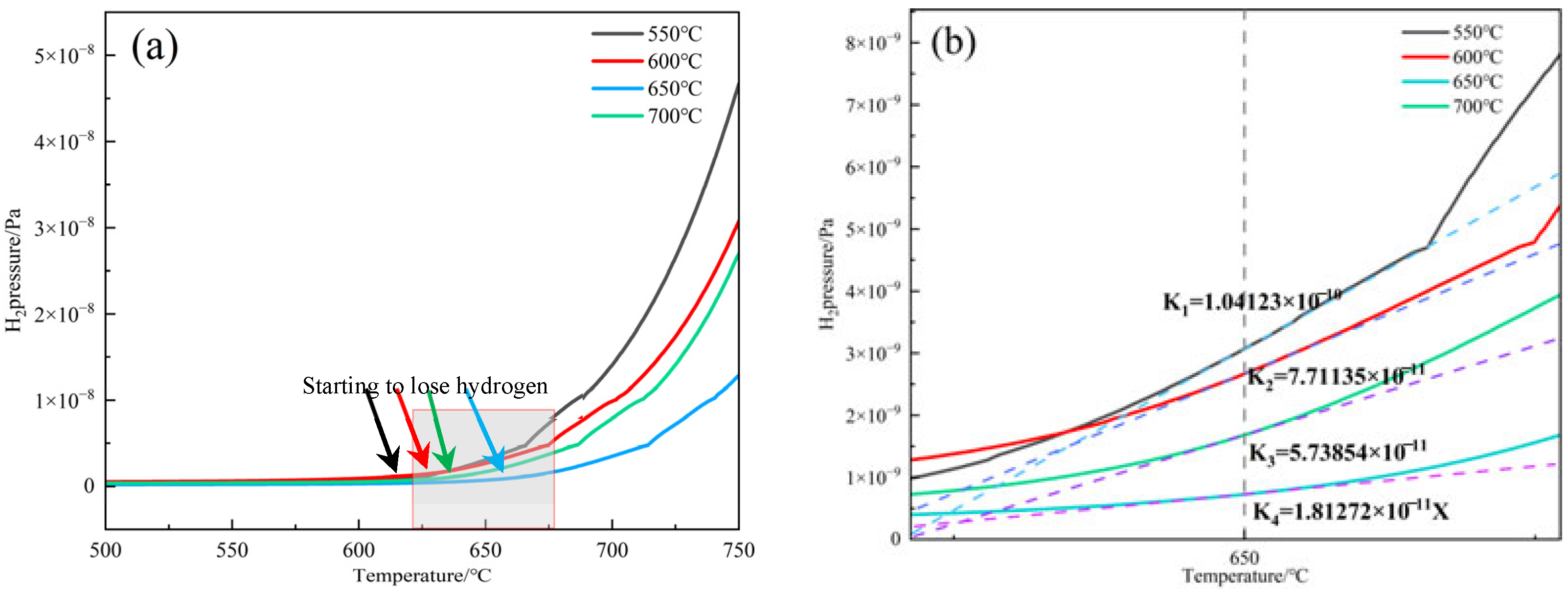
3.4. Hydrogen Resistance Test

3.5. Adhesion and Hardness Tests of the Oxide Film

3.6. Oxidation Film Weight Gain and Thickness Tests

4. Discussion
4.1. Membrane Growth Kinetics
4.2. Generation of Film Defects and Countermeasures
4.3. Hydrogen Resistance Mechanism
5. Conclusions
- Oxidation temperature strongly influences oxide growth kinetics and structural integrity. At 550–600 °C, limited oxygen diffusion and sluggish reaction kinetics result in thin, non-uniform oxide films containing microcracks and pores, which provide preferential diffusion pathways for hydrogen.
- At 650 °C, a favorable balance between oxidation rate and stress evolution is achieved. SEM and EDS analyses confirm the formation of a dense and continuous ZrO2 layer with a well-defined interface. XRD results reveal the coexistence of monoclinic and tetragonal phases, which may contribute to enhanced mechanical stability. This optimized microstructure leads to the highest adhesion strength and the highest dehydrogenation onset temperature (660 °C), and the lowest hydrogen release rate.
- Although further increasing the oxidation temperature to 700 °C significantly increases oxide thickness and mass gain due to accelerated oxidation kinetics, excessive growth stress and thermal mismatch stress induce microcracking and interfacial degradation. As a result, hydrogen resistance deteriorates despite increased film thickness.
- The hydrogen barrier performance of the oxide film does not increase monotonically with thickness. Instead, it is governed by the combined effects of film compactness, defect evolution, phase structure, and interfacial integrity. These findings establish 650 °C as the optimal processing temperature for producing a mechanically stable and hydrogen-resistant ZrO2 film under a CO2 atmosphere.
Author Contributions
Funding
Institutional Review Board Statement
Informed Consent Statement
Data Availability Statement
Conflicts of Interest
References
- Zhang, H.-F.; Yang, Q.-F.; Wang, Z.-D.; Liu, X.-Z. Study on Hydrogen Permeation Barrier of Zirconium Hydride. At. Energy Sci. Technol. 2005, 39, 83. [Google Scholar] [CrossRef]
- Kese, K.; Olsson, P.A.T.; Holston, A.M.A.; Broitman, E. High temperature nanoindentation hardness and Young’s modulus measurement in a neutron-irradiated fuel cladding material. J. Nucl. Mater. 2017, 487, 113–120. [Google Scholar] [CrossRef]
- Wang, Y.; Zhang, Q.; Wang, S.-X.; Yang, Y.; Wu, M.-Y. Application on metal hydride in shield design of small sodium-cooled fast reactor. Yuanzineng Kexue Jishu/At. Energy Sci. Technol. 2016, 50, 1817–1822. [Google Scholar] [CrossRef]
- Wu, M.; Chen, Y.; Peng, J.-Q.; Yan, G.Q.; Sun, Y.P.; Zhang, J.D.; Zhang, S.L.; Wang, L.J. Hydrogen permeation resistance and characterization of Si–Al and Si–Zr composite sol oxide coating on surface of zirconium hydride. Rare Met. 2017, 36, 55–60. [Google Scholar] [CrossRef]
- Bouhattate, J.; Legrand, E.; Feaugas, X. Computational analysis of geometrical factors affecting experimental data extracted from hydrogen permeation tests: I—Consequences of trapping. Int. J. Hydrogen Energy 2011, 36, 12644–12652, Correction in Int. J. Hydrogen Energy 2014, 39, 2430. [Google Scholar] [CrossRef]
- Legrand, E.; Oudriss, A.; Frappart, S.; Creus, J.; Feaugas, X.; Bouhattate, J. Computational analysis of geometrical factors affecting experimental data extracted from hydrogen permeation tests: III—Comparison with experimental results from the literature. Int. J. Hydrogen Energy 2014, 39, 1145–1155. [Google Scholar] [CrossRef]
- Vlasov, N.M.; Fedik, I.I. Structural and impurity traps for hydrogen atoms. Int. J. Hydrogen Energy 2006, 31, 265–267. [Google Scholar] [CrossRef]
- Frappart, S.; Feaugas, X.; Creus, J.; Thebault, F.; Delattre, L.; Marchebois, H. Study of the hydrogen diffusion and segregation into Fe–C–Mo martensitic HSLA steel using electrochemical permeation test. J. Phys. Chem. Solids 2010, 71, 1467–1479. [Google Scholar] [CrossRef]
- Sundell, G.; Thuvander, M.; Yatim, A.K.; Nordin, H.; Andrén, H.-O. Direct observation of hydrogen and deuterium in oxide grain boundaries in corroded Zirconium alloys. Corros. Sci. 2015, 90, 1–4. [Google Scholar] [CrossRef]
- Yuan, S.; Sun, Y.; Yang, C.; Zhang, Y.; Cong, C.; Yuan, Y.; Lin, D.; Pei, L.; Zhu, Y.; Wang, H. A novel dual-functional epoxy-based composite coating with exceptional anti-corrosion and enhanced hydrogen gas barrier properties. Chem. Eng. J. 2022, 449, 137876. [Google Scholar] [CrossRef]
- Wang, Z.G.; Chen, W.D.; Yan, S.F.; Zhong, X.K.; Ma, W.; Song, X.W.; Wang, Y.M.; Ouyang, J.H. Direct Fabrication and Characterization of Zirconia Thick Coatings on Zirconium Hydride as a Hydrogen Permeation Barrier. Coatings 2023, 13, 884. [Google Scholar] [CrossRef]
- Li, Z.L.; Kang, Y.X.; Yan, S.F.; Yang, S.; Chen, W.; Guo, C.; Ma, W. Enhanced hydrogen barrier performance of ZrH1.8 via yttria-zirconia composite film developed through the ECD-MAO technique. Corros. Sci. 2024, 232, 112013. [Google Scholar] [CrossRef]
- Ahmed, E.M.; El-Ghamaz, N.; Waly, A.L. Structure and emission properties of P2O5–Na2O–Pb3O4-MO, (MO = SrO, Y2O3, MoO3, Ag2O, CdO and SnO) glass and glass ceramics. Ceram. Int. 2022, 48, 21438–21450. [Google Scholar] [CrossRef]
- Wu, J.; Xie, J.; He, M.; Zhang, J.; Li, S. Yttria-Stabilized Zirconia Composite Coating as Barrier to Reduce Hydrogen Permeation into Steel. Materials 2024, 17, 3017. [Google Scholar] [CrossRef]
- Selvi, E.; Muhaffel, F.; Yürektürk, Y.; Vanlı, A.S.; Baydoğan, M. Influence of Electrolyte Compositions and Electrical Parameters on Thermal Properties of Micro-Arc Oxidized AZ91 Alloy. J. Mater. Eng. Perform. 2022, 31, 1667–1678. [Google Scholar] [CrossRef]
- Mingo, B.; Arrabal, R.; Mohedano, M.; Llamazares, Y.; Matykina, E.; Yerokhin, A.; Pardo, A. Influence of sealing post-treatments on the corrosion resistance of PEO coated AZ91 magnesium alloy. Appl. Surf. Sci. 2018, 433, 653–667. [Google Scholar] [CrossRef]
- Liu, S.; Li, G.; Qi, Y.; Peng, Z.; Ye, Y.; Liang, J. Corrosion and tribocorrosion resistance of MAO-based composite coating on AZ31 magnesium alloy. J. Magnes. Alloys 2022, 10, 3406–3417. [Google Scholar] [CrossRef]
- Lyon, S.; Barberis, P. Towards a mechanistic understanding of corrosion mechanisms in zirconium alloys. In 16th International Symposium on Zirconium in the Nuclear Industry; ASTM International: West Conshohocken, PA, USA, 2011. [Google Scholar]
- Polatidis, E.; Frankel, P.; Wei, J.; Klaus, M.; Comstock, R.J.; Ambard, A.; Lyon, S.; Cottis, R.A.; Preuss, M. Residual stresses and tetragonal phase fraction characterisation of corrosion tested Zircaloy-4 using energy dispersive synchrotron X-ray diffraction. J. Nucl. Mater. 2013, 432, 102–112. [Google Scholar] [CrossRef]
- Cheng, Y.; Wu, X.Q.; Xue, Z.; Matykina, E.; Skeldon, P.; Thompson, G.E. Microstructure, corrosion and wear performance of plasma electrolytic oxidation coatings formed on Ti–6Al–4V alloy in silicate-hexametaphosphate electrolyte. Surf. Coat. Technol. 2013, 217, 129–139. [Google Scholar] [CrossRef]
- Chen, W.; Wang, L.; Lu, S. Influence of oxide layer on hydrogen desorption from zirconium hydride. J. Alloys Compd. 2009, 469, 142–145. [Google Scholar] [CrossRef]
- Peng, J.; Chen, Y.; Wu, M.; Yan, G.; Wang, L.; Li, J.; Guo, Z. Hydrogen desorption behavior of the hydrides of ZrY alloys under Ar and CO2 atmosphere. J. Alloys Compd. 2017, 693, 103–109. [Google Scholar] [CrossRef]
- Yan, G.Q.; Chen, W.D.; Zhong, X.K.; Yan, S.F. Properties of oxide coating on the surface of ZrH1.8 prepared by microarc oxidation with different positive voltages. Rare Met. 2013, 32, 169–173. [Google Scholar] [CrossRef]
- Couet, A.; Motta, A.T.; Ambard, A. The coupled current charge compensation model for zirconium alloy fuel cladding oxidation: I. Parabolic oxidation of zirconium alloys. Corros. Sci. 2015, 100, 73–84. [Google Scholar] [CrossRef]
- Li, Z.; Zheng, M.; Yang, Z.; Ren, Q.; Cai, Z.; Jiao, Y. Characterization and corrosion behavior of plasma electrolytic oxidation coating on zirconium alloy in superheated steam condition. Surf. Coat. Technol. 2023, 466, 129657. [Google Scholar] [CrossRef]
- Zhao, D.; Wang, Y.; Liu, D.; Luo, W.F.; Wang, B.C.; Yang, Y.B.; Bai, Y.; Liu, M.; Wang, H.D. Effect of voltage and duty cycle on microstructure and corrosion resistance of ZrO2 coating by cathode plasma electrolytic deposition. Ceram. Int. 2024, 50, 7193–7197. [Google Scholar] [CrossRef]
- Wongpromrat, P.; Chawuthai, R.; Promchan, T.; Rojsanga, J.; Chandra-ambhorn, S.; Nilsonthi, T.; Anantpinijwatna, A. Novel method for predicting the cracks of oxide scales during high temperature oxidation of metals and alloys by using machine learning. Res. Sq. 2024. Peer Review. [Google Scholar]
- Yu, M.; Liu, N.; Dou, R.; Huang, L.; Sun, J.; Wen, Z.; Liu, X. Numerical study on effects of interfacial roughness and microcracks on stress distribution in thermal barrier coatings with temperature drop. Heliyon 2024, 10, e40167. [Google Scholar] [CrossRef]
- Qi, S.; Yan, G.Q.; Wang, Z.H.; Yuan, X.M.; Wang, L.J.; Zhang, J.D. Calculation of oxidation weight gain of in-situ oxide film on the surface of zirconium hydride at 600 °C. Rare Met. 2021, 45, 401–409. [Google Scholar] [CrossRef]
- Tamura, M.; Noma, M.; Yamashita, M. Characteristic change of hydrogen permeation in stainless steel plate by BN coating. Surf. Coat. Technol. 2014, 260, 148–154. [Google Scholar] [CrossRef]
- Kato, T.; Takagi, I.; Sakamoto, K.; Aomi, M. Hydrogen diffusivity in oxide layers formed in Zr alloy in air or steam. J. Nucl. Mater. 2017, 494, 79–86. [Google Scholar] [CrossRef]
- Weidong, C.; Lijun, W.; Lin, H.A.; Song, C. Properties of hydrogen permeation barrier on the surface of zirconium hydride. Rare Met. 2008, 27, 473–478. [Google Scholar] [CrossRef]
- Haurat, E.; Crocombette, J.P.; Tupin, M. Interactions of hydrogen with zirconium alloying elements and oxygen vacancies in monoclinic zirconia. Acta Mater. 2022, 225, 117547. [Google Scholar] [CrossRef]







Disclaimer/Publisher’s Note: The statements, opinions and data contained in all publications are solely those of the individual author(s) and contributor(s) and not of MDPI and/or the editor(s). MDPI and/or the editor(s) disclaim responsibility for any injury to people or property resulting from any ideas, methods, instructions or products referred to in the content. |
© 2026 by the authors. Licensee MDPI, Basel, Switzerland. This article is an open access article distributed under the terms and conditions of the Creative Commons Attribution (CC BY) license.
Share and Cite
Cui, X.; Chen, L.; Li, Z. Optimization of In Situ CO2 Oxidation Temperature for Hydrogen-Resistant ZrO2 Films on Zirconium Hydride. Coatings 2026, 16, 348. https://doi.org/10.3390/coatings16030348
Cui X, Chen L, Li Z. Optimization of In Situ CO2 Oxidation Temperature for Hydrogen-Resistant ZrO2 Films on Zirconium Hydride. Coatings. 2026; 16(3):348. https://doi.org/10.3390/coatings16030348
Chicago/Turabian StyleCui, Xiaolong, Liwei Chen, and Zhanlin Li. 2026. "Optimization of In Situ CO2 Oxidation Temperature for Hydrogen-Resistant ZrO2 Films on Zirconium Hydride" Coatings 16, no. 3: 348. https://doi.org/10.3390/coatings16030348
APA StyleCui, X., Chen, L., & Li, Z. (2026). Optimization of In Situ CO2 Oxidation Temperature for Hydrogen-Resistant ZrO2 Films on Zirconium Hydride. Coatings, 16(3), 348. https://doi.org/10.3390/coatings16030348
