Packaging-Grade Paper Humidity Sensors Made by Flexography Only: From Sustainable Manufacturing to Transient Applications
Abstract
1. Introduction
2. Materials and Methods
2.1. Materials
2.2. Printing Procedure
2.3. Functional Testing
2.4. Sensor Response Evaluation
3. Results and Discussion
3.1. Investigation of the Influence of Sensors’ Construction and Topology on Sensor Properties
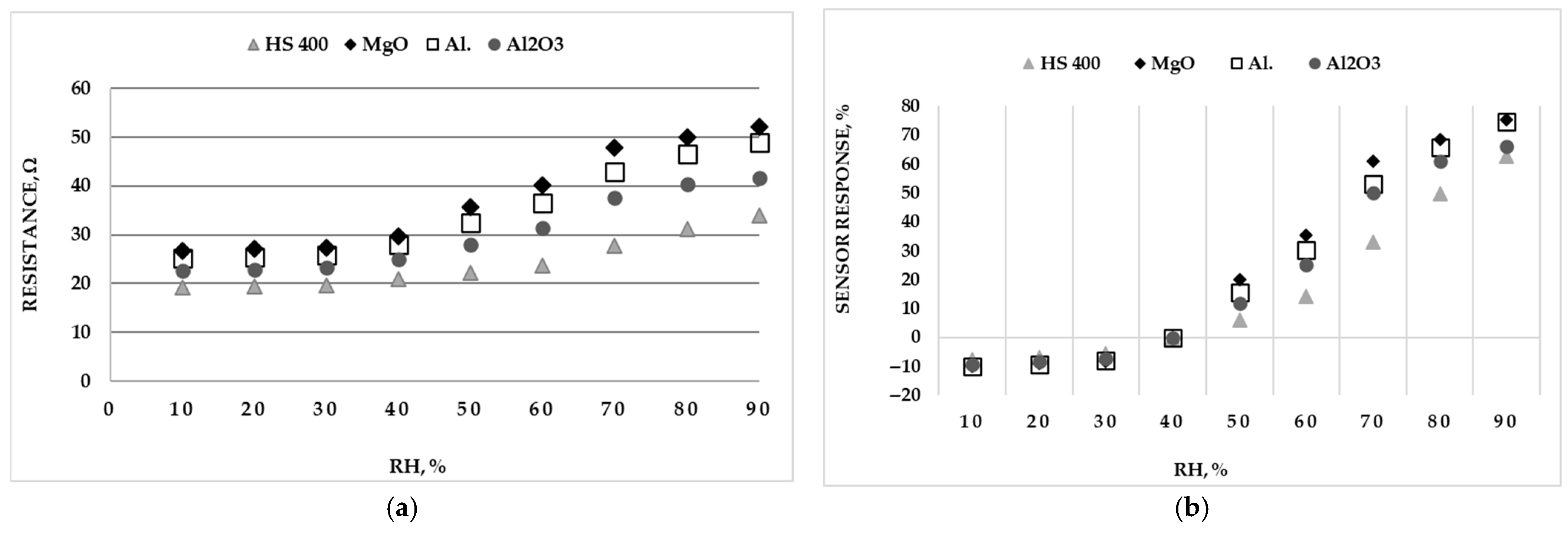
3.2. Study of the Influence of Adsorptive Additives on Sensor Response
3.3. Study of the Substrate’s Impact on Sensor Functionality
3.4. Other Potential Applications of the Developed Flexographic Functional Inks in Printing-Related Uses
4. Conclusions
5. Patents
Author Contributions
Funding
Institutional Review Board Statement
Informed Consent Statement
Data Availability Statement
Conflicts of Interest
Abbreviations
| CEZAMAT | Centre for Advanced Materials and Technologies |
| IDE | Interdigitated Electrodes |
| IoT | Internet of Things |
| PE | Printed Electronics |
| PCBs | Printed Circuit Boards |
| MOFs | Metal–organic frameworks |
| EHS | Environment, Health, and Safety |
| PFET | P-channel Field-Effect Transistor |
| RFID | Radio Frequency Identification |
| PI | Polyimide |
| PET | Polyethylene terephthalate |
| RH | Relative Humidity |
| TCR | Temperature Coefficient of Resistance |
| RTDs | Resistive Temperature Detectors |
| UHF | Ultra High Frequency |
| HF | High Frequency |
| NFC | Near Field Communication |
References
- Suganuma, K. Introduction to Printed Electronics; Springer Science & Business Media: Berlin/Heidelberg, Germany, 2014; pp. 1–22. ISBN 978-1-4614-9625-0. [Google Scholar]
- Luo, Y.; Abidian, M.R.; Ahn, J.-H.; Akinwande, D.; Andrews, A.M.; Antonietti, M.; Bao, Z.; Berggren, M.; Berkey, C.A.; Bettinger, C.J.; et al. Technology Roadmap for Flexible Sensors. ACS Nano 2023, 17, 5211–5295. [Google Scholar] [CrossRef]
- Iñiguez, B. Flexible and Printed Electronics. In More-than-Moore Devices and Integration for Semiconductors; Iacopi, F., Balestra, F., Eds.; Springer International Publishing: Cham, Switzerland, 2023; pp. 105–125. ISBN 978-3-031-21610-7. [Google Scholar]
- Sudheshwar, A.; Malinverno, N.; Hischier, R.; Nowack, B.; Som, C. The Need for Design-for-Recycling of Paper-Based Printed Electronics—A Prospective Comparison with Printed Circuit Boards. Resour. Conserv. Recycl. 2023, 189, 106757. [Google Scholar] [CrossRef]
- 9th OE-A Roadmap—Mapping the Future of Flexible and Printed Electronics—OE-A. 2023. Available online: https://oe-a.org/topics/oe-a-working-groups/roadmap (accessed on 4 February 2026).
- Sudheshwar, A.; Beni, V.; Malinverno, N.; Hischier, R.; Nevo, Y.; Dhuiège, B.; Borras, M.; Chbani, A.; Aucher, C.; Martinez-Crespiera, S.; et al. Assessing Sustainability Hotspots in the Production of Paper-Based Printed Electronics. Flex. Print. Electron. 2023, 8, 015002. [Google Scholar] [CrossRef]
- Scandurra, G.; Arena, A.; Ciofi, C. A Brief Review on Flexible Electronics for IoT: Solutions for Sustainability and New Perspectives for Designers. Sensors 2023, 23, 5264. [Google Scholar] [CrossRef]
- Martins, P.; Pereira, N.; Lima, A.C.; Garcia, A.; Mendes-Filipe, C.; Policia, R.; Correia, V.; Lanceros-Mendez, S. Advances in Printing and Electronics: From Engagement to Commitment. Adv. Funct. Mater. 2023, 33, 2213744. [Google Scholar] [CrossRef]
- Batet, D.; Vilaseca, F.; Ramon, E.; Esquivel, J.P.; Gabriel, G. Experimental Overview for Green Printed Electronics: Inks, Substrates, and Printing Techniques. Flex. Print. Electron. 2023, 8, 024001. [Google Scholar] [CrossRef]
- Brooke, R.; Edberg, J.; Petsagkourakis, I.; Freitag, K.; Mulla, M.Y.; Nilsson, M.; Isacsson, P.; Ersman, P.A. Paper Electronics Utilizing Screen Printing and Vapor Phase Polymerization. Adv. Sustain. Syst. 2024, 7, 2300058. [Google Scholar] [CrossRef]
- Lepak-Kuc, S.; Wójkowska, K.; Biernacka, D.; Kądziela, A.; Murawski, T.T.; Janczak, D.; Jakubowska, M. Biodegradable Conductive Layers Based on a Biopolymer Polyhydroxybutyrate/Polyhydroxyvalerate and Graphene Nanoplatelets Deposited by Spray-Coating Technique. Coatings 2023, 13, 1791. [Google Scholar] [CrossRef]
- Szałapak, J.; Zdanikowski, B.; Kądziela, A.; Lepak-Kuc, S.; Dybowska-Sarapuk, Ł.; Janczak, D.; Raczyński, T.; Jakubowska, M. Carbon-Based Composites with Biodegradable Matrix for Flexible Paper Electronics. Polymers 2024, 16, 686. [Google Scholar] [CrossRef] [PubMed]
- Lepak-Kuc, S.; Kądziela, A.; Staniszewska, M.; Janczak, D.; Jakubowska, M.; Bednarczyk, E.; Murawski, T.; Piłczyńska, K.; Żołek-Tryznowska, Z. Sustainable, Cytocompatible and Flexible Electronics on Potato Starch-Based Films. Sci. Rep. 2024, 14, 18838. [Google Scholar] [CrossRef]
- Sanandiya, N.D.; Pai, A.R.; Seyedin, S.; Tang, F.; Thomas, S.; Xie, F. Chitosan-Based Electroconductive Inks without Chemical Reaction for Cost-Effective and Versatile 3D Printing for Electromagnetic Interference (EMI) Shielding and Strain-Sensing Applications. Carbohydr. Polym. 2024, 337, 122161. [Google Scholar] [CrossRef] [PubMed]
- Zea, M.; Moya, A.; Villa, R.; Gabriel, G. Reliable Paper Surface Treatments for the Development of Inkjet-Printed Electrochemical Sensors. Adv. Mater. Interfaces 2022, 9, 2200371. [Google Scholar] [CrossRef]
- Ji, Y.; Tang, G.; Zhao, C.; Zhao, X.; Mei, D.; Pan, Y.; Wang, Y. High-Performance Paper-Based Humidity Sensors with Nafion/AgNWs Hybrid Electrodes. RSC Adv. 2023, 13, 28613–28622. [Google Scholar] [CrossRef]
- Kumar, A.; Maiti, P. Paper-Based Sustainable Biosensors. Mater. Adv. 2024, 5, 3563–3586. [Google Scholar] [CrossRef]
- Barmpakos, D.; Apostolakis, A.; Jaber, F.; Aidinis, K.; Kaltsas, G. Recent Advances in Paper-Based Electronics: Emphasis on Field-Effect Transistors and Sensors. Biosensors 2025, 15, 324. [Google Scholar] [CrossRef]
- Rauter, L.; Neumaier, L.; Bedük, T.; Lenzhofer, M.; Horn, A.; Malik, M.H.; Zikulnig, J.; Oltean, R.; Seiler, A.; Kosel, J. Printed Single-Chip RFID Tags on Uncoated Paper for Environmental Monitoring Applications. IEEE Sens. Lett. 2025, 9, 6005604. [Google Scholar] [CrossRef]
- Say, M.G.; Brett, C.J.; Edberg, J.; Roth, S.V.; Söderberg, L.D.; Engquist, I.; Berggren, M. Scalable Paper Supercapacitors for Printed Wearable Electronics. ACS Appl. Mater. Interfaces 2022, 14, 55850–55863. [Google Scholar] [CrossRef]
- Benjamin, S.R.; de Lima, F.; Nascimento, V.A.d.; de Andrade, G.M.; Oriá, R.B. Advancement in Paper-Based Electrochemical Biosensing and Emerging Diagnostic Methods. Biosensors 2023, 13, 689. [Google Scholar] [CrossRef]
- Lai, Q.-T.; Liang, H.-Q.; Tang, X.-G.; Zhang, D.; Roy, V.A.L.; Sun, Q.-J. Printing Paper-Derived Ultralight and Highly Sensitive E-Skin for Health Monitoring and Information Encryption. J. Alloys Compd. 2024, 976, 173411. [Google Scholar] [CrossRef]
- Borghetti, M.; Cantù, E.; Ponzoni, A.; Sardini, E.; Serpelloni, M. Aerosol Jet Printed and Photonic Cured Paper-Based Ammonia Sensor for Food Smart Packaging. IEEE Trans. Instrum. Meas. 2022, 71, 9504810. [Google Scholar] [CrossRef]
- Strand, E.J.; Gopalakrishnan, A.; Crichton, C.A.; Palizzi, M.J.; Lee, O.; Borsa, T.; Bihar, E.; Goodrich, P.; Arias, A.C.; Shaheen, S.E.; et al. Ultrathin Screen-Printed Plant Wearable Capacitive Sensors for Environmental Monitoring. Adv. Sens. Res. 2025, 4, 2400177. [Google Scholar] [CrossRef]
- Al-Amri, A.M. Printed Sensors for Environmental Monitoring: Advancements, Challenges, and Future Directions. Chemosensors 2025, 13, 285. [Google Scholar] [CrossRef]
- Korotcenkov, G. Paper-Based Humidity Sensors as Promising Flexible Devices: State of the Art: Part 1. General Consideration. Nanomaterials 2023, 13, 1110. [Google Scholar] [CrossRef]
- Korotcenkov, G.; Simonenko, N.; Simonenko, E.; Sysoev, V.; Brinzari, V. Paper-Based Humidity Sensors as Promising Flexible Devices, State of the Art, Part 2: Humidity-Sensor Performances. Nanomaterials 2023, 13, 1381. [Google Scholar] [CrossRef] [PubMed]
- Tai, H.; Duan, Z.; Wang, Y.; Wang, S.; Jiang, Y. Paper-Based Sensors for Gas, Humidity, and Strain Detections: A Review. ACS Appl. Mater. Interfaces 2020, 12, 31037–31053. [Google Scholar] [CrossRef]
- Duan, Z.; Jiang, Y.; Tai, H. Recent Advances in Humidity Sensors for Human Body Related Humidity Detection. J. Mater. Chem. C 2021, 9, 14963–14980. [Google Scholar] [CrossRef]
- Su, Y.; Liu, Y.; Li, W.; Xiao, X.; Chen, C.; Lu, H.; Yuan, Z.; Tai, H.; Jiang, Y.; Zou, J.; et al. Sensing–Transducing Coupled Piezoelectric Textiles for Self-Powered Humidity Detection and Wearable Biomonitoring. Mater. Horiz. 2023, 10, 842–851. [Google Scholar] [CrossRef]
- Tai, H.; Wang, S.; Duan, Z.; Jiang, Y. Evolution of Breath Analysis Based on Humidity and Gas Sensors: Potential and Challenges. Sens. Actuators B Chem. 2020, 318, 128104. [Google Scholar] [CrossRef]
- Su, Y.; Chen, G.; Chen, C.; Gong, Q.; Xie, G.; Yao, M.; Tai, H.; Jiang, Y.; Chen, J. Self-Powered Respiration Monitoring Enabled By a Triboelectric Nanogenerator. Adv. Mater. 2021, 33, 2101262. [Google Scholar] [CrossRef]
- Falco, A.; Marín-Sánchez, A.; Loghin, F.C.; Castillo, E.; Salinas-Castillo, A.; Salmerón, J.F.; Rivadeneyra, A. Paper and Salt: Biodegradable NaCl-Based Humidity Sensors for Sustainable Electronics. Front. Electron. 2022, 3, 838472. [Google Scholar] [CrossRef]
- Liang, A.; Chen, X. A Non-Contact Porous Composite Fiber Paper-Based Humidity Sensor for Wearable Breathing and Skin Humidity Monitoring. J. Mater. Chem. A 2024, 12, 29081–29091. [Google Scholar] [CrossRef]
- Chen, Z.; Lu, C. Humidity Sensors: A Review of Materials and Mechanisms. Sens. Lett. 2005, 3, 274–295. [Google Scholar] [CrossRef]
- Lin, Y.; Gritsenko, D.; Liu, Q.; Lu, X.; Xu, J. Recent Advancements in Functionalized Paper-Based Electronics. ACS Appl. Mater. Interfaces 2016, 8, 20501–20515. [Google Scholar] [CrossRef] [PubMed]
- Arman Kuzubasoglu, B. Recent Studies on the Humidity Sensor: A Mini Review. ACS Appl. Electron. Mater. 2022, 4, 4797–4807. [Google Scholar] [CrossRef]
- Printed and Flexible Sensors 2022–2032: Technologies, Players, Markets. 2021. Available online: https://www.idtechex.com/en/research-report/printed-and-flexible-sensors-2022-2032-technologies-players-markets/838 (accessed on 4 February 2026).
- Delipinar, T.; Shafique, A.; Gohar, M.S.; Yapici, M.K. Fabrication and Materials Integration of Flexible Humidity Sensors for Emerging Applications. ACS Omega 2021, 6, 8744–8753. [Google Scholar] [CrossRef]
- Zhang, X.; Maddipatla, D.; Bose, A.K.; Hajian, S.; Narakathu, B.B.; Williams, J.D.; Mitchell, M.F.; Atashbar, M.Z. Printed Carbon Nanotubes-Based Flexible Resistive Humidity Sensor. IEEE Sens. J. 2020, 20, 12592–12601. [Google Scholar] [CrossRef]
- Jeong, H.; Noh, Y.; Lee, D. Highly Stable and Sensitive Resistive Flexible Humidity Sensors by Means of Roll-to-Roll Printed Electrodes and Flower-like TiO2 Nanostructures. Ceram. Int. 2019, 45, 985–992. [Google Scholar] [CrossRef]
- Romero, F.J.; Rivadeneyra, A.; Salinas-Castillo, A.; Ohata, A.; Morales, D.P.; Becherer, M.; Rodriguez, N. Design, Fabrication and Characterization of Capacitive Humidity Sensors Based on Emerging Flexible Technologies. Sens. Actuators B Chem. 2019, 287, 459–467. [Google Scholar] [CrossRef]
- Zhang, Z.; Chen, M.; Alem, S.; Tao, Y.; Chu, T.-Y.; Xiao, G.; Ramful, C.; Griffin, R. Printed Flexible Capacitive Humidity Sensors for Field Application. Sens. Actuators B Chem. 2022, 359, 131620. [Google Scholar] [CrossRef]
- Turkani, V.S.; Narakathu, B.B.; Maddipatla, D.; Bazuin, B.J.; Atashbar, M.Z. P1FW.5—A Fully Printed CNT Based Humidity Sensor on Flexible PET Substrate. In Proceedings of the IMCS 2018; AMA Service GmbH: Wunstorf, Germany; Vienna, Austria, 2018; pp. 519–520. [Google Scholar] [CrossRef]
- Khan, M.U.; Hassan, G.; Awais, M.; Bae, J. All Printed Full Range Humidity Sensor Based on Fe2O3. Sens. Actuators Phys. 2020, 311, 112072. [Google Scholar] [CrossRef]
- Hassan, G.; Bae, J.; Lee, C.H.; Hassan, A. Wide Range and Stable Ink-Jet Printed Humidity Sensor Based on Graphene and Zinc Oxide Nanocomposite. J. Mater. Sci. Mater. Electron. 2018, 29, 5806–5813. [Google Scholar] [CrossRef]
- Ali, S.; Hassan, A.; Hassan, G.; Bae, J.; Lee, C.H. All-Printed Humidity Sensor Based on Graphene/Methyl-Red Composite with High Sensitivity. Carbon 2016, 105, 23–32. [Google Scholar] [CrossRef]
- Fernandez, F.D.M.; Bissannagari, M.; Kim, J. Fully Inkjet-Printed BaTiO3 Capacitive Humidity Sensor: Microstructural Engineering of the Humidity Sensing Layer Using Bimodal Ink. Ceram. Int. 2021, 47, 24693–24698. [Google Scholar] [CrossRef]
- Barmpakos, D.; Tsamis, C.; Kaltsas, G. Multi-Parameter Paper Sensor Fabricated by Inkjet-Printed Silver Nanoparticle Ink and PEDOT:PSS. Microelectron. Eng. 2020, 225, 111266. [Google Scholar] [CrossRef]
- Gaspar, C.; Olkkonen, J.; Passoja, S.; Smolander, M. Paper as Active Layer in Inkjet-Printed Capacitive Humidity Sensors. Sensors 2017, 17, 1464. [Google Scholar] [CrossRef]
- Quddious, A.; Yang, S.; Khan, M.M.; Tahir, F.A.; Shamim, A.; Salama, K.N.; Cheema, H.M. Disposable, Paper-Based, Inkjet-Printed Humidity and H2S Gas Sensor for Passive Sensing Applications. Sensors 2016, 16, 2073. [Google Scholar] [CrossRef]
- Guan, X.; Hou, Z.; Wu, K.; Zhao, H.; Liu, S.; Fei, T.; Zhang, T. Flexible Humidity Sensor Based on Modified Cellulose Paper. Sens. Actuators B Chem. 2021, 339, 129879. [Google Scholar] [CrossRef]
- Reddy, A.S.G.; Narakathu, B.B.; Atashbar, M.Z.; Rebros, M.; Rebrosova, E.; Bazuin, B.J.; Joyce, M.K.; Fleming, P.D.; Pekarovicova, A. Printed Capacitive Based Humidity Sensors on Flexible Substrates. Sens. Lett. 2011, 9, 869–871. [Google Scholar] [CrossRef]
- Polyimide-Based Capacitive Humidity Sensor—PMC. Available online: https://www.ncbi.nlm.nih.gov/pmc/articles/PMC5982669/ (accessed on 20 April 2024).
- McGhee, J.R.; Sagu, J.S.; Southee, D.J.; Evans, P.S.A.; Wijayantha, K.G.U. Printed, Fully Metal Oxide, Capacitive Humidity Sensors Using Conductive Indium Tin Oxide Inks. ACS Appl. Electron. Mater. 2020, 2, 3593–3600. [Google Scholar] [CrossRef]
- Kim, D.-U.; Gong, M.-S. Thick Films of Copper-Titanate Resistive Humidity Sensor. Sens. Actuators B Chem. 2005, 110, 321–326. [Google Scholar] [CrossRef]
- Yawale, S.P.; Yawale, S.S.; Lamdhade, G.T. Tin Oxide and Zinc Oxide Based Doped Humidity Sensors. Sens. Actuators Phys. 2007, 135, 388–393. [Google Scholar] [CrossRef]
- Lepak-Kuc, S.; Nowicka, T.; Wasilewska, K.; Janczak, D.; Walter, P.; Jakubowska, M. Low-Temperature Silver-Based Ink for Highly Conductive Paths through Industrial Printing Processes Suitable for Thermally Sensitive Substrates and Beyond. J. Mater. Res. 2024, 39, 297–310. [Google Scholar] [CrossRef]
- Lepak-Kuc, S.; Janczak, D.; Szałapak, J.; Jakubowska, M.; Nowicka, T.; Wasilewska, K. Heterophasic Conductive Polymer Composition for Printing on Heat-Shrinkable Substrates and Method of Its Preparation. 2023. Available online: https://patents.google.com/patent/PL243416B1/en?oq=PL243416B1 (accessed on 4 February 2026).
- Tulliani, J.-M.; Inserra, B.; Ziegler, D. Carbon-Based Materials for Humidity Sensing: A Short Review. Micromachines 2019, 10, 232. [Google Scholar] [CrossRef]
- Duan, Z.; Jiang, Y.; Zhao, Q.; Huang, Q.; Wang, S.; Zhang, Y.; Wu, Y.; Liu, B.; Zhen, Y.; Tai, H. Daily Writing Carbon Ink: Novel Application on Humidity Sensor with Wide Detection Range, Low Detection Limit and High Detection Resolution. Sens. Actuators B Chem. 2021, 339, 129884. [Google Scholar] [CrossRef]
- Kok, S.P.; Go, Y.I.; Wong, M.L.D. Effect of Hygroscopic and Electronic Materials, Challenges, and Sensing Requirements in Humidity-Controlled Industry. J. Electron. Mater. 2025, 54, 6960–6981. [Google Scholar] [CrossRef]
- Zou, Y.; Maillet, B.; Coussot, P.; Brochard, L. Sorption Hysteresis in Nanoporous Swelling Adsorbents. Phys. Rev. Res. 2025, 7, 013205. [Google Scholar] [CrossRef]
- Aeby, X.; Bourely, J.; Poulin, A.; Siqueira, G.; Nyström, G.; Briand, D. Printed Humidity Sensors from Renewable and Biodegradable Materials. Adv. Mater. Technol. 2023, 8, 2201302. [Google Scholar] [CrossRef]
- Wang, L.; Yao, X.; Yuan, S.; Gao, Y.; Zhang, R.; Yu, X.; Tu, S.-T.; Chen, S. Ultra-High Performance Humidity Sensor Enabled by a Self-Assembled CuO/Ti3C2TXMXene. RSC Adv. 2023, 13, 6264–6273. [Google Scholar] [CrossRef] [PubMed]
- Liu, M.-Q.; Wang, C.; Kim, N.-Y. High-Sensitivity and Low-Hysteresis Porous MIMType Capacitive Humidity Sensor Using Functional Polymer Mixed with TiO2 Microparticles. Sensors 2017, 17, 284. [Google Scholar] [CrossRef] [PubMed]
- Duan, Z.; Li, X.; Deng, B. Recent Development in the Environmental Application of Nano-Sized MgO. Bull. Mater. Sci. 2022, 45, 204. [Google Scholar] [CrossRef]
- Shanawad, S.S.; Chethan, B.; Prasad, V.; Sunilkumar, A.; Veena, V.S. Humidity Sensing Performance of the Magnesium Oxide Nanoparticles. J. Mater. Sci. Mater. Electron. 2023, 34, 244. [Google Scholar] [CrossRef]
- Sajid, M.; Khattak, Z.J.; Rahman, K.; Hassan, G.; Choi, K.H. Progress and Future of Relative Humidity Sensors: A Review from Materials Perspective. Bull. Mater. Sci. 2022, 45, 238. [Google Scholar] [CrossRef]
- Nalcaci, B.; Polat Gonullu, M. Insight of Mechanical and Morphological Properties of ALD-Al2O3 Films in Point of Structural Properties. Appl. Phys. A 2021, 127, 460. [Google Scholar] [CrossRef]
- Congreve, R.C.; Quezada, C.P.; Kokkarachedu, V. Aluminum Oxide Nanoparticles: Properties and Applications Overview. In Nanoparticles in Modern Antimicrobial and Antiviral Applications; Kokkarachedu, V., Sadiku, R., Eds.; Springer International Publishing: Cham, Switzerland, 2024; pp. 265–288. ISBN 978-3-031-50093-0. [Google Scholar]
- Xie, T.; Abdul Rahman, A.F.; Abu Bakar, A.; Arsad, A. Design and Optimization of Metal Oxide-Based Humidity Sensors: A Review on Mechanisms and Material Engineering. J. Clust. Sci. 2025, 36, 148. [Google Scholar] [CrossRef]
- Korotcenkov, G. Humidity-Sensitive Materials. In Handbook of Gas Sensor Materials; Springer: New York, NY, USA, 2013; Available online: https://link.springer.com/chapter/10.1007/978-1-4614-7165-3_18 (accessed on 14 October 2025).
- Ding, Y.; Chen, Y.; Wang, M. Effects of Al Incorporation on Structural and Humidity-Sensing Properties of SnO2 Sensor. J. Mater. Sci. Mater. Electron. 2024, 35, 172. [Google Scholar] [CrossRef]
- Sharma, A.; Sharma, A.; Kar, D.; Puhan, S.S.; Shirage, P.M. A Non-Trivial Approach for Estimation of Error in Resistive Humidity Sensors and Its Correlation with Sensitivity. J. Mater. Sci. Mater. Electron. 2025, 36, 110. [Google Scholar] [CrossRef]
- Shakir, M.; Rubina; Islam, T. A Capacitive Inkjet Printed Humidity Sensor on a Paper Substrate. In Proceedings of the Emerging Electronics and Automation; Stroe, D.-I., Nasimuddin, Laskar, S.H., Pandey, S.K., Eds.; Springer Nature: Singapore, 2025; pp. 97–106. [Google Scholar]
- Chang, E.; Ameli, A.; Alian, A.R.; Mark, L.H.; Yu, K.; Wang, S.; Park, C.B. Percolation Mechanism and Effective Conductivity of Mechanically Deformed 3-Dimensional Composite Networks: Computational Modeling and Experimental Verification. Compos. Part B Eng. 2021, 207, 108552. [Google Scholar] [CrossRef]
- Balberg, I. A Comprehensive Picture of the Electrical Phenomena in Carbon Black–Polymer Composites. Carbon 2002, 40, 139–143. [Google Scholar] [CrossRef]
- Wasilewska, K.; Nowicka, T. Method of Obtaining a Label Having a Printed Humidity Sensor. 2024. Available online: https://patents.google.com/patent/PL442413A1/en?oq=PL442413A1 (accessed on 4 February 2026).









| Aspects | Representative Literature | Fully Flexographically Printed Sensors (This Work) |
|---|---|---|
| Primary goal | Performance-first: maximize sensitivity and dynamics; demonstrate novel materials/mechanisms [29,30,31,32] | Manufacturing-first: realize R2R-compatible, low-cost sensors on packaging-grade paper using commercial electronic inks with no post-processing, demonstrate novel materials developed for R2R process |
| Typical substrates | Paper, often specialty papers (filter paper, chromatography paper) or surface-modified papers [26,27]; PET/PI flexible films; often laboratory-prepared/treated surfaces [28,29,32] | Packaging-grade paper designed for high-speed press handling; no special surface treatment |
| Deposition method | Drop-casting, spin-coating, spray-coating, filtration transfer-small-area prototyping [28,29,30,32]; manual coating, screen- or inkjet printing [26,27], often not R2R-validated | Flexographic printing (roll-to-roll capable), inline drying; multi-layer registration at industrial web speeds |
| Sensing mechanism(s) | Resistive, capacitive and electrochemical; ultrahigh sensitivity and fast response achieved by using advanced hybrid materials [26,27,28,29,30,31,32] | Resistive using printed carbon/silver tracks; response modulated by adsorptive additives (MgO, Al2O3, Al) |
| Sensing materials | Specialized nanomaterials (e.g., graphene derivatives, MOFs), hybrid ionic polymers, nanostructured metal oxides or polymer composites, novel functional composites not commercially formulated [26,27,28,29,30,31,32] | Commercial electronic carbon- and silver-based inks; oxide/metal adsorptive additives (MgO, Al2O3, Al) formulated within the flexo rheology window |
| Response | High or extremely high sensitivity; fast response (often <10 s) in controlled lab conditions, often nonlinear, especially above 70%–80% RH on paper [28,29,30,31,32]; wide variability of response on paper (seconds to minutes) due to fiber swelling and moisture trapping [26,27] | Moderate response but application-relevant; response in tens of seconds-minutes, typical for printed thick films on paper; optimized for stability & repeatability under process constraints |
| RH operating range | Full RH range [26,27,28,29,30,31,32] | Broad packaging-relevant window (~20%–90% RH), with tunability via ink laydown and additive loading |
| Linearity/hysteresis | Often non-linearity common due to multilayer adsorption and paper substrates, hysteresis depends on nanostructure morphology, managed via complex material design [26,27,28,29,30,31,32] | Non-linear response, quasi-linear regions achievable; oxide/metal additives chosen to limit drift and hysteresis vs. salt-rich films |
| Stability/durability | High sensitivity devices can face moisture-induced drift; salt-rich papers boost output but risk leaching/hysteresis [27,28,29,33,34] | Prioritizes mechanical/chemical stability of printed layers under humidity cycling; avoids salt leaching by using MgO/Al2O3/Al additives |
| Scalability/yield | Lab-scale, small-batch prototypes; limited discussion of web-speed, registration, and yield [26,28,29,35,36,37] | R2R print-ready inks, process windows, and device-to-device variability evaluated under flexographic constraints |
| Primary applications demonstrated | Wearables (respiration, skin moisture, non-contact switches), environmental monitoring; some paper-based disposable prototypes | Smart packaging and logistics indicators; disposable environmental tags and flood sensors |
| Sustainability | Flexible substrates and low-power/self-powered concepts; advanced nanomaterials can complicate recycling workflows | Paper substrates, minimal material usage, low-temperature, cost-effective manufacturing; inks/additives selected for process and EHS compliance |
| Test Series | Substrate | Printing Process | Printing Speed (m/min) | Electrodes (Ink) | Electrodes (Anilox, cm3/m2/l/cm) | Electrode Layers (nr) | Sensor Layers (ink) | Adsorptive Additive (%) | Sensor Layers (Anilox, cm3/m2/l/cm) | Sensor Layers (nr) | Project |
|---|---|---|---|---|---|---|---|---|---|---|---|
| 1 | 8 | flexo | 10 | LAX0015 | 12/140 | 1 | HS 400 | no | 12/140 | 1 | A |
| 8 | flexo | 10 | LAX0015 | 12/140 | 1 | HS 400 | no | 12/140 | 2 | A | |
| 8 | flexo | 10 | LAX0015 | 12/140 | 1 | HS 400 | no | 20/50 | 1 | A | |
| 8 | flexo | 10 | LAX0015 | 12/140 | 1 | HS 400 | no | 20/50 | 2 | A | |
| 7 | flexo | 10 | LAX0015 | 12/140 | 1 | HS 400 | no | 12/140 | 1 | A | |
| 7 | flexo | 10 | LAX0015 | 12/140 | 1 | HS 400 | no | 12/140 | 2 | A | |
| 7 | flexo | 10 | LAX0015 | 12/140 | 1 | HS 400 | no | 20/50 | 1 | A | |
| 7 | flexo | 10 | LAX0015 | 12/140 | 1 | HS 400 | no | 20/50 | 2 | A | |
| 2 | 8 | flexo | 10 | LAX0015 | 12/140 | 1 | HS 400 | no | 12/140 | 2 | A |
| 8 | flexo | 10 | LAX0015 | 12/140 | 1 | HS 400 | no | 12/140 | 2 | B | |
| 8 | flexo | 10 | LAX0015 | 12/140 | 1 | HS 400 | no | 12/140 | 2 | C | |
| 7 | flexo | 10 | LAX0015 | 12/140 | 1 | HS 400 | no | 12/140 | 2 | A | |
| 7 | flexo | 10 | LAX0015 | 12/140 | 1 | HS 400 | no | 12/140 | 2 | B | |
| 7 | flexo | 10 | LAX0015 | 12/140 | 1 | HS 400 | no | 12/140 | 2 | C | |
| 3 | 7 | flexo | 10 | LAX0015 | 12/140 | 1 | HS 400 | no | 12/140 | 2 | D1 |
| 7 | flexo | 10 | LAX0015 | 12/140 | 1 | HS 400 | no | 12/140 | 2 | D2 | |
| 7 | flexo | 10 | LAX0015 | 12/140 | 1 | HS 400 | no | 12/140 | 2 | E1 | |
| 7 | flexo | 10 | LAX0015 | 12/140 | 1 | HS 400 | no | 12/140 | 2 | E2 | |
| 7 | flexo | 10 | LAX0015 | 12/140 | 1 | HS 400 | no | 12/140 | 2 | F1 | |
| 7 | flexo | 10 | LAX0015 | 12/140 | 1 | HS 400 | no | 12/140 | 2 | F2 | |
| 7 | flexo | 10 | LAX0015 | 12/140 | 1 | HS 400 | no | 12/140 | 2 | G1 | |
| 7 | flexo | 10 | LAX0015 | 12/140 | 1 | HS 400 | no | 12/140 | 2 | G2 | |
| 4 | 7 | flexo | 10 | LAX0015 | 12/140 | 1 | HS 400 | MgO (5%) | 12/140 | 2 | D2 |
| 7 | flexo | 10 | LAX0015 | 12/140 | 1 | HS 400 | Al2O3 (5%) | 12/140 | 2 | D2 | |
| 7 | flexo | 10 | LAX0015 | 12/140 | 1 | HS 400 | Al (5%) | 12/140 | 2 | D2 | |
| 5 | 1 | flexo | 10 | LAX0015 | 12/140 | 1 | HS 400 | MgO (5%) | 12/140 | 2 | D2 |
| 2 | flexo | 10 | LAX0015 | 12/140 | 1 | HS 400 | MgO (5%) | 12/140 | 2 | D2 | |
| 3 | flexo | 10 | LAX0015 | 12/140 | 1 | HS 400 | MgO (5%) | 12/140 | 2 | D2 | |
| 4 | flexo | 10 | LAX0015 | 12/140 | 1 | HS 400 | MgO (5%) | 12/140 | 2 | D2 | |
| 5 | flexo | 10 | LAX0015 | 12/140 | 1 | HS 400 | MgO (5%) | 12/140 | 2 | D2 | |
| 6 | flexo | 10 | LAX0015 | 12/140 | 1 | HS 400 | MgO (5%) | 12/140 | 2 | D2 | |
| 7 | flexo | 10 | LAX0015 | 12/140 | 1 | HS 400 | MgO (5%) | 12/140 | 2 | D2 | |
| 8 | flexo | 10 | LAX0015 | 12/140 | 1 | HS 400 | MgO (5%) | 12/140 | 2 | D2 |
| Nr | Name | Coated Material | Thickness (µm) | Face Material | Adhesive | Liner |
|---|---|---|---|---|---|---|
| 1 | AZ600: LCJ SUPREME FSC S2012HTC-HF55 | no | 140 | white, uncoated, matte paper with good absorption properties | general-purpose, permanent, acrylic adhesive | coated bleached kraft paper |
| 2 | AF957: NATURAL BOIS-S2047N-BG45WH IMP | no | 185 | unbleached uncoated paper | general-purpose, permanent, rubber-based adhesive | calendered glassine paper |
| 3 | BQ903: CANE FIBER PAPER WHITE S2047N-PET23 | no | 145 | white, uncoated, matte, wood-free paper made from sugarcane | general-purpose, permanent, rubber-based adhesive | clear polyester |
| 4 | AM234: MC PRIMECOAT FSC S9500-BG40WH FSC | yes | 125 | white, one-side machine-coated, woodfree printing paper with semi-gloss appearance | acrylic-based, permanent, OK compost INDUSTRIAL-certified adhesive | calendered siliconized glassine paper |
| 5 | AH997: MC PRIMECOAT FSC S2045N-PET23 | yes | 97 | white, one-side machine-coated, woodfree printing paper with semi-gloss appearance | general-purpose, permanent, rubber-based adhesive | clear polyester |
| 6 | BJ995: MC FSC S2045N-BG40BR | yes | 116 | white, one-side machine-coated, woodfree printing paper with semi-gloss appearance | general-purpose, permanent, rubber-based adhesive | calendered glassine paper |
| 7 | Sappi Galerie Art | yes | 130 | white, coated paper with a satin finish | no adhesive | no liner |
Disclaimer/Publisher’s Note: The statements, opinions and data contained in all publications are solely those of the individual author(s) and contributor(s) and not of MDPI and/or the editor(s). MDPI and/or the editor(s) disclaim responsibility for any injury to people or property resulting from any ideas, methods, instructions or products referred to in the content. |
© 2026 by the authors. Licensee MDPI, Basel, Switzerland. This article is an open access article distributed under the terms and conditions of the Creative Commons Attribution (CC BY) license.
Share and Cite
Nowicka, T.; Lepak-Kuc, S.; Szałapak, J.; Janczak, D.; Szusta, J.; Jakubowska, M. Packaging-Grade Paper Humidity Sensors Made by Flexography Only: From Sustainable Manufacturing to Transient Applications. Coatings 2026, 16, 241. https://doi.org/10.3390/coatings16020241
Nowicka T, Lepak-Kuc S, Szałapak J, Janczak D, Szusta J, Jakubowska M. Packaging-Grade Paper Humidity Sensors Made by Flexography Only: From Sustainable Manufacturing to Transient Applications. Coatings. 2026; 16(2):241. https://doi.org/10.3390/coatings16020241
Chicago/Turabian StyleNowicka, Tatiana, Sandra Lepak-Kuc, Jerzy Szałapak, Daniel Janczak, Jarosław Szusta, and Małgorzata Jakubowska. 2026. "Packaging-Grade Paper Humidity Sensors Made by Flexography Only: From Sustainable Manufacturing to Transient Applications" Coatings 16, no. 2: 241. https://doi.org/10.3390/coatings16020241
APA StyleNowicka, T., Lepak-Kuc, S., Szałapak, J., Janczak, D., Szusta, J., & Jakubowska, M. (2026). Packaging-Grade Paper Humidity Sensors Made by Flexography Only: From Sustainable Manufacturing to Transient Applications. Coatings, 16(2), 241. https://doi.org/10.3390/coatings16020241

