PEI-Functionalized Surface Coating on Carbonized ZIF-8 for Enhanced Adsorption of Methyl Orange
Abstract
1. Introduction
2. Experimental Procedure
2.1. Materials
2.2. Instruments
2.3. Synthesis
2.4. Analytical Methods
3. Results and Discussion
3.1. Optimization of Preparation Conditions
3.2. Characterization
3.2.1. Morphological Characterization of CZ@PEI/CC-x Composites
3.2.2. XPS Analysis of Elemental Composition and Zn–N Coordination Changes in CZ@PEI/CC-7
3.2.3. Functional Group Analysis and Structural Alterations in CZ@PEI/CC Composites
3.2.4. Structural Transformation and Crystallinity Analysis of CZ-550 and CZ@PEI/CC Composites
3.2.5. Effect of PEI Crosslinking on Structure and Adsorption Performance
3.2.6. Thermal Stability and Decomposition Behavior of CZ@PEI/CC-7
3.2.7. Zeta Potential Analysis of CZ@PEI/CC-7 and Its pH-Dependent Behavior
3.3. Adsorption Characteristics of MO on CZ@PEI/CC-7
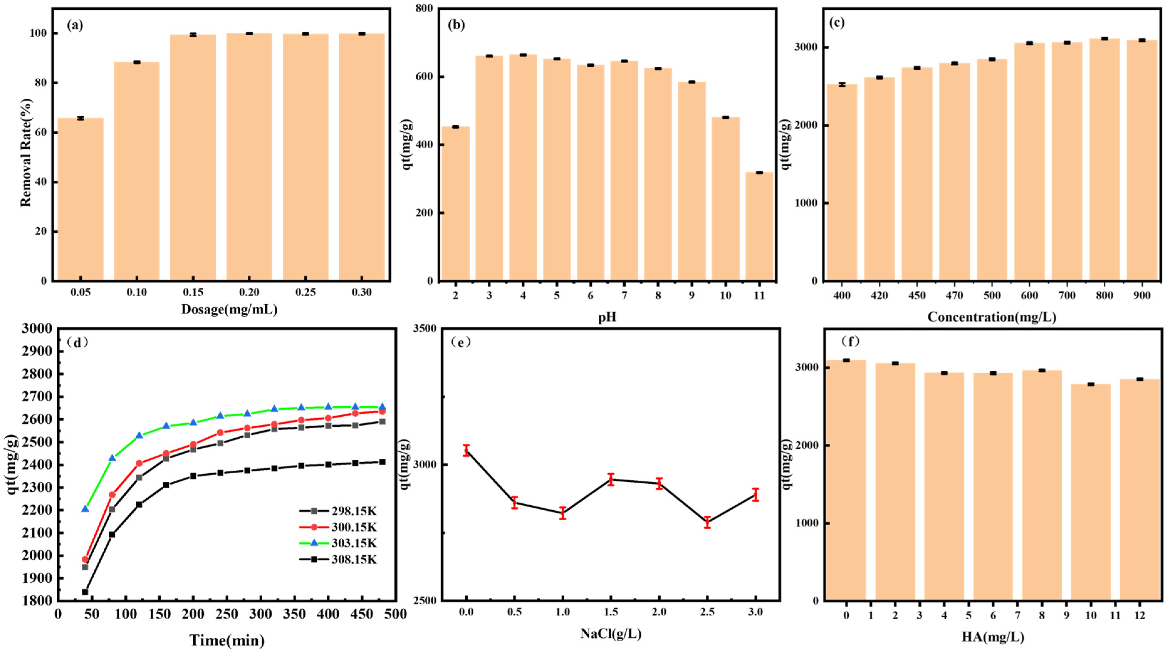
3.3.1. Optimization of Adsorbent Dosage for MO Adsorption
3.3.2. pH-Dependent MO Adsorption on CZ@PEI/CC-7
3.3.3. Effect of Initial MO Concentration on CZ@PEI/CC-7 Adsorption Performance
3.3.4. Effect of Time and Temperature on MO Adsorption by CZ@PEI/CC-7
3.3.5. Effect of Ionic Strength on MO Adsorption Performance of CZ@PEI/CC-7
3.3.6. Effect of Natural Organic Matter on MO Adsorption Performance of CZ@PEI/CC-7
3.4. Stability Analysis
3.4.1. Evaluation of Water Stability of CZ@PEI/CC-7
3.4.2. Enhanced Acid and Alkali Stability of CZ@PEI/CC-7
3.5. Kinetic and Isothermal Adsorption Models
3.5.1. Kinetic Modeling of MO Adsorption
3.5.2. Adsorption Isotherm Modeling of MO on CZ@PEI/CC-7
3.5.3. Thermodynamic Analysis of MO Adsorption on CZ@PEI/CC-7
3.6. Selective and Binary System Competitive Adsorption
3.6.1. Selective Adsorption Behavior
3.6.2. Reusability and Cyclic Adsorption Performance of CZ@PEI/CC-7
4. Conclusions
Supplementary Materials
Author Contributions
Funding
Institutional Review Board Statement
Informed Consent Statement
Data Availability Statement
Acknowledgments
Conflicts of Interest
References
- Ewuzie, U.; Saliu, O.D.; Dulta, K.; Ogunniyi, S.; Bajeh, A.O.; Iwuozor, K.O.; Ighalo, J.O. A review on treatment technologies for printing and dyeing wastewater (PDW). J. Water Process Eng. 2022, 50, 103273. [Google Scholar] [CrossRef]
- Lu, H.; Zhang, L.; Wang, B.; Long, Y.; Zhang, M.; Ma, J.; Khan, A.; Chowdhury, S.P.; Zhou, X.; Ni, Y. Cellulose-supported magnetic Fe3O4–MOF composites for enhanced dye removal application. Cellulose 2019, 26, 4909–4920. [Google Scholar] [CrossRef]
- Zhang, W.; Huang, T.; Ren, Y.; Wang, Y.; Yu, R.; Wang, J.; Tu, Q. Preparation of chitosan crosslinked with metal-organic framework (MOF-199) @aminated graphene oxide aerogel for the adsorption of formaldehyde gas and methyl orange. Int. J. Biol. Macromol. 2021, 193, 2243–2251. [Google Scholar] [CrossRef] [PubMed]
- Darwish, A.; Rashad, M.; Al-Aoh, H.A. Methyl orange adsorption comparison on nanoparticles: Isotherm, kinetics, and thermodynamic studies. Dye. Pigment. 2019, 160, 563–571. [Google Scholar] [CrossRef]
- Haque, E.; Jun, J.W.; Jhung, S.H. Adsorptive removal of methyl orange and methylene blue from aqueous solution with a metal-organic framework material, iron terephthalate (MOF-235). J. Hazard. Mater. 2011, 185, 507–511. [Google Scholar] [CrossRef]
- Yang, W.; Kong, Y.; Yin, H.; Cao, M. Study on the adsorption performance of ZIF-8 on heavy metal ions in water and the recycling of waste ZIF-8 in cement. J. Solid State Chem. 2023, 326, 124217. [Google Scholar] [CrossRef]
- Zhang, J.; Yan, X.; Hu, X.; Feng, R.; Zhou, M. Direct carbonization of Zn/Co zeolitic imidazolate frameworks for efficient adsorption of Rhodamine B. Chem. Eng. J. 2018, 347, 640–647. [Google Scholar] [CrossRef]
- Xu, Y.-Y.; Zhou, M.; Geng, H.-J.; Hao, J.-J.; Ou, Q.-Q.; Qi, S.-D.; Chen, H.-L.; Chen, X.-G. A simplified method for synthesis of Fe3O4@PAA nanoparticles and its application for the removal of basic dyes. Appl. Surf. Sci. 2012, 258, 3897–3902. [Google Scholar] [CrossRef]
- Lin, K.-Y.A.; Chang, H.-A. Ultra-high adsorption capacity of zeolitic imidazole framework-67 (ZIF-67) for removal of malachite green from water. Chemosphere 2015, 139, 624–631. [Google Scholar] [CrossRef]
- Ahmad, A.; Khan, S.; Tariq, S.; Luque, R.; Verpoort, F. Self-sacrifice MOFs for heterogeneous catalysis: Synthesis mechanisms and future perspectives. Mater. Today 2022, 55, 137–169. [Google Scholar] [CrossRef]
- Zhu, C.; Gerald, R.E.; Huang, J. Metal-Organic Framework Materials Coupled to Optical Fibers for Chemical Sensing: A Review. IEEE Sens. J. 2021, 21, 19647–19661. [Google Scholar] [CrossRef] [PubMed]
- Shah, S.S.A.; Peng, L.; Najam, T.; Cheng, C.; Wu, G.; Nie, Y.; Ding, W.; Qi, X.; Chen, S.; Wei, Z. Monodispersed Co in Mesoporous Polyhedrons: Fine-tuning of ZIF-8 Structure with Enhanced Oxygen Reduction Activity. Electrochim. Acta 2017, 251, 498–504. [Google Scholar] [CrossRef]
- Wei, T.; Wang, Z.; Zhang, Q.; Zhou, Y.; Sun, C.; Wang, M.; Liu, Y.; Wang, S.; Yu, Z.; Qiu, X.; et al. Metal–organic framework-based solid-state electrolytes for all solid-state lithium metal batteries: A review. CrystEngComm 2022, 24, 5014–5030. [Google Scholar] [CrossRef]
- Safaei, M.; Foroughi, M.M.; Ebrahimpoor, N.; Jahani, S.; Omidi, A.; Khatami, M. A review on metal-organic frameworks: Synthesis and applications. TrAC Trends Anal. Chem. 2019, 118, 401–425. [Google Scholar] [CrossRef]
- Ding, Y.; Xu, Y.; Ding, B.; Li, Z.; Xie, F.; Zhang, F.; Wang, H.; Liu, J.; Wang, X. Structure induced selective adsorption performance of ZIF-8 nanocrystals in water. Colloids Surf. Physicochem. Eng. Asp. 2017, 520, 661–667. [Google Scholar] [CrossRef]
- Mohamud, M.A.; Yurtcan, A.B. Zeolotic imidazolate frameworks (ZIFs) derived porous carbon: A review from crystal growth & green synthesis to oxygen reduction reaction activity. Int. J. Hydrogen Energy 2021, 46, 33782–33800. [Google Scholar] [CrossRef]
- Ahmad, K.; Shah, H.-U.; Ashfaq, M.; Shah, S.S.A.; Hussain, E.; Naseem, H.A.; Parveen, S.; Ayub, A. Effect of metal atom in zeolitic imidazolate frameworks (ZIF-8 & 67) for removal of Pb2+ & Hg2+ from water. Food Chem. Toxicol. 2021, 149, 112008. [Google Scholar]
- Lee, Y.-R.; Jang, M.-S.; Cho, H.-Y.; Kwon, H.-J.; Kim, S.; Ahn, W.-S. ZIF-8: A comparison of synthesis methods. Chem. Eng. J. 2015, 271, 276–280. [Google Scholar] [CrossRef]
- Li, Y.; Xiang, P.; Chen, H.; Zhou, Y. Adsorption performance of one- and two-component anionic dyes using core-shell ZIF-8@ZIF-67. J. Solid State Chem. 2022, 315, 123538. [Google Scholar] [CrossRef]
- Mirzaei, K.; Mohammadi, A.; Jafarpour, E.; Shojaei, A.; Moghaddam, A.L. Improved adsorption performance of ZIF-8 towards methylene blue dye by hybridization with nanodiamond. J. Water Process Eng. 2022, 50, 103254. [Google Scholar] [CrossRef]
- Dai, H.; Yuan, X.; Jiang, L.; Wang, H.; Zhang, J.; Zhang, J.; Xiong, T. Recent advances on ZIF-8 composites for adsorption and photocatalytic wastewater pollutant removal: Fabrication, applications and perspective. Coord. Chem. Rev. 2021, 441, 213985. [Google Scholar] [CrossRef]
- Qiu, H.; Yang, L.; Liu, F.; Zhao, Y.; Liu, L.; Zhu, J.; Song, M. Highly selective capture of phosphate ions from water by a water stable metal-organic framework modified with polyethyleneimine. Environ. Sci. Pollut. Res. 2017, 24, 23694–23703. [Google Scholar] [CrossRef] [PubMed]
- Yang, L.; Wang, Z.; Zhang, J. Zeolite imidazolate framework hybrid nanofiltration (NF) membranes with enhanced permselectivity for dye removal. J. Membr. Sci. 2017, 532, 76–86. [Google Scholar] [CrossRef]
- Qiang, T.; Luo, M.; Bu, Q.; Wang, X. Adsorption of an acid dye on hyperbranched aminated collagen fibers. Chem. Eng. J. 2012, 197, 343–349. [Google Scholar] [CrossRef]
- Wang, J.; Wang, Y.; Liang, Y.; Zhou, J.; Liu, L.; Huang, S.; Cai, J. Nitrogen-doped carbons from in-situ glucose-coated ZIF-8 as efficient adsorbents for Rhodamine B removal from wastewater. Microporous Mesoporous Mater. 2021, 310, 110662. [Google Scholar] [CrossRef]
- Yan, Y.; An, Q.; Xiao, Z.; Zheng, W.; Zhai, S. Flexible core-shell/bead-like alginate@PEI with exceptional adsorption capacity, recycling performance toward batch and column sorption of Cr(VI). Chem. Eng. J. 2017, 313, 475–486. [Google Scholar] [CrossRef]
- Sun, W.; Zhai, X.; Zhao, L. Synthesis of ZIF-8 and ZIF-67 nanocrystals with well-controllable size distribution through reverse microemulsions. Chem. Eng. J. 2016, 289, 59–64. [Google Scholar] [CrossRef]
- Xiong, Y.; He, J.; Zhao, Q. Study of low-temperature carbonization modification of ZIF-8 and its adsorption performance. Chem. Res. Appl. 2023, 35, 2449–2458. [Google Scholar] [CrossRef]
- Madduri, S.B.; Kommalapati, R.R. Harnessing Novel Reduced Graphene Oxide-Based Aerogel for Efficient Organic Contaminant and Heavy Metal Removal in Aqueous Environments. Nanomaterials 2024, 14, 1708. [Google Scholar] [CrossRef]
- Al-Hazeef, M.S.F.; Aidi, A.; Hecini, L.; Ahmed, I.O.; Gamil, G.H.; Mohammed, A.; Sabrina, Z.; Tarik, O.; David, W.R. Valorizing date palm spikelets into activated carbon-derived composite for methyl orange adsorption: Advancing circular bioeconomy in wastewater treatment—A comprehensive study on its equilibrium, kinetics, thermodynamics, and mechanisms. Environ. Sci. Pollut. Res. 2024, 31, 50493–50512. [Google Scholar] [CrossRef]
- Serban, G.V.; Iancu, V.I.; Dinu, C.; Tenea, A.; Vasilache, N.; Cristea, I.; Niculescu, M.; Ionescu, I.; Chiriac, F.L. Removal Efficiency and Adsorption Kinetics of Methyl Orange from Wastewater by Commercial Activated Carbon. Sustainability 2023, 15, 12939. [Google Scholar] [CrossRef]
- Zhang, S.; Wang, Z.; Chen, H.; Kai, C.; Jiang, M.; Wang, Q.; Zhou, Z. Polyethylenimine functionalized Fe3O4/steam-exploded rice straw composite as an efficient adsorbent for Cr(VI) removal. Appl. Surf. Sci. 2018, 440, 1277–1285. [Google Scholar] [CrossRef]
- Zargarkazemi, A.; Sadeghi-Kiakhani, M.; Arami, M.; Bahrami, H. Modification of wool fabric using prepared chitosan-cyanuric chloride hybrid. J. Text. Inst. 2015, 106, 80–89. [Google Scholar] [CrossRef]
- Xie, X.; Wang, Y.; Xiong, Z.; Li, H.; Yao, C. Highly efficient removal of uranium(VI) from aqueous solution using Poly(cyclotriphosphazene-co-polyethyleneimine) microspheres. J. Radioanal. Nucl. Chem. 2020, 326, 1867–1877. [Google Scholar] [CrossRef]
- Javadian, H.; Ghorbani, F.; Tayebi, H.-A.; Asl, S.H. Study of the adsorption of Cd (II) from aqueous solution using zeolite-based geopolymer, synthesized from coal fly ash; kinetic, isotherm and thermodynamic studies. Arab. J. Chem. 2015, 8, 837–849. [Google Scholar] [CrossRef]
- Nordin, N.A.H.M.; Ismail, A.F.; Mustafa, A.; Goh, P.S.; Rana, D.; Matsuura, T. Aqueous room temperature synthesis of zeolitic imidazole framework 8 (ZIF-8) with various concentrations of triethylamine. RSC Adv. 2014, 4, 33292–33300. [Google Scholar] [CrossRef]
- Yin, C.Y.; Aroua, M.K.; Daud, W.M.A.W. Impregnation of palm shell activated carbon with polyethyleneimine and its effects on Cd2+ adsorption. Colloids Surf. Physicochem. Eng. Asp. 2007, 307, 128–136. [Google Scholar] [CrossRef]
- Fu, J.; Zhu, J.; Wang, Z.; Wang, Y.; Wang, S.; Yan, R.; Xu, Q. Highly-efficient and selective adsorption of anionic dyes onto hollow polymer microcapsules having a high surface-density of amino groups: Isotherms, kinetics, thermodynamics and mechanism. J. Colloid Interface Sci. 2019, 542, 123–135. [Google Scholar] [CrossRef]
- Lei, Y.; Liu, X.; Zhang, J.; Dai, Z.; Zhao, X.; Liu, G. A novel composite (ZIF-8@PEI-CC) with enhanced adsorption capacity and kinetics of methyl orange. J. Solid State Chem. 2023, 318, 123758. [Google Scholar] [CrossRef]
- Hernández-Morales, V.; Nava, R.; Acosta-Silva, Y.; Macías-Sánchez, S.; Pérez-Bueno, J.; Pawelec, B. Adsorption of lead (II) on SBA-15 mesoporous molecular sieve functionalized with –NH2 groups. Microporous Mesoporous Mater. 2012, 160, 133–142. [Google Scholar] [CrossRef]
- Liu, L.; Gao, Z.Y.; Su, X.P.; Chen, X.; Jiang, L.; Yao, J.M. Adsorption Removal of Dyes from Single and Binary Solutions Using a Cellulose-based Bioadsorbent. ACS Sustain. Chem. Eng. 2015, 3, 432–442. [Google Scholar] [CrossRef]
- Saleh, H.A.; Mantasha, I.; Qasem, K.M.; Shahid, M.; Akhtar, M.N.; AlDamen, M.A.; Ahmad, M. A two dimensional Co(II) metal–organic framework with bey topology for excellent dye adsorption and separation: Exploring kinetics and mechanism of adsorption. Inorganica Chim. Acta 2020, 512, 119900. [Google Scholar] [CrossRef]
- Choudhury, A.R. Synthesis of a novel gellan-pullulan nanogel and its application in adsorption of cationic dye from aqueous medium. Carbohydr. Polym. 2020, 227, 115291. [Google Scholar] [CrossRef]
- Xie, X.; Gao, H.; Luo, X.; Su, T.; Zhang, Y.; Qin, Z. Polyethyleneimine modified activated carbon for adsorption of Cd(II) in aqueous solution. J. Environ. Chem. Eng. 2019, 7, 103183. [Google Scholar] [CrossRef]
- Zong, P.; Wang, S.; Liang, G.; Shao, M.; Yan, N.; Xu, X.; Xu, M.; Li, W.; Yang, Y.; Chen, J.; et al. Eco-friendly approach for effective removal for Congo red dye from wastewater using reusable Zn-Al layered double hydroxide anchored on multiwalled carbon nanotubes supported sodium dodecyl sulfonate composites. J. Mol. Liq. 2022, 349, 118468. [Google Scholar] [CrossRef]
- Nazir, M.A.; Bashir, M.A.; Najam, T.; Javed, M.S.; Suleman, S.; Hussain, S.; Kumar, O.P.; Shah, S.S.A.; Rehman, A.U. Combining structurally ordered intermetallic nodes: Kinetic and isothermal studies for removal of malachite green and methyl orange with mechanistic aspects. Microchem. J. 2021, 164, 105973. [Google Scholar] [CrossRef]
- Ren, Z.; Kong, D.; Wang, K.; Zhang, W. Preparation and adsorption characteristics of an imprinted polymer for selective removal of Cr(VI) ions from aqueous solutions. J. Mater. Chem. A 2014, 2, 17952–17961. [Google Scholar] [CrossRef]
- Kara, A.; Demirbel, E.; Tekin, N.; Osman, B.; Beşirli, N. Magnetic vinylphenyl boronic acid microparticles for Cr(VI) adsorption: Kinetic, isotherm and thermodynamic studies. J. Hazard. Mater. 2015, 286, 612–623. [Google Scholar] [CrossRef] [PubMed]
- Kara, A.; Demirbel, E. Kinetic, Isotherm and Thermodynamic Analysis on Adsorption of Cr(VI) Ions from Aqueous Solutions by Synthesis and Characterization of Magnetic-Poly(divinylbenzene-vinylimidazole) Microbeads. Water Air Soil Pollut. 2012, 223, 2387–2403. [Google Scholar] [CrossRef]
- Gimbert, F.; Morin-Crini, N.; Renault, F.; Badot, P.-M.; Crini, G. Adsorption isotherm models for dye removal by cationized starch-based material in a single component system: Error analysis. J. Hazard. Mater. 2008, 157, 34–46. [Google Scholar] [CrossRef] [PubMed]








| Adsorbent | Specific Surface Area (m2/g) | Pore Volume (cm3/g) | Average Pore Diameter (nm) |
|---|---|---|---|
| ZIF-8 | 1635.29 | 0.94 | 1.91 |
| CZ-550 | 1231.65 | 1.03 | 2.03 |
| CZ@PEI/CC-7 | 144.65 | 0.12 | 8.46 |
| Initial Concentration of MO (mg/L) | ΔH⊖ (kJ/mol) | ΔS⊖ (J/(mol·K)) | ΔG⊖ (kJ/mol) (298.15 K) | ΔG⊖ (kJ/mol) (300.15 K) | ΔG⊖ (kJ/mol) (303.15 K) |
|---|---|---|---|---|---|
| 420 | 230.5 | 812.1 | −11.7 | −13.3 | −15.7 |
| 450 | 148.6 | 534.3 | −10.7 | −11.8 | −13.4 |
| 500 | 77.3 | 290.7 | −9.34 | −9.9 | −10.8 |
Disclaimer/Publisher’s Note: The statements, opinions and data contained in all publications are solely those of the individual author(s) and contributor(s) and not of MDPI and/or the editor(s). MDPI and/or the editor(s) disclaim responsibility for any injury to people or property resulting from any ideas, methods, instructions or products referred to in the content. |
© 2026 by the authors. Licensee MDPI, Basel, Switzerland. This article is an open access article distributed under the terms and conditions of the Creative Commons Attribution (CC BY) license.
Share and Cite
Ma, Z.; Xiong, Y.; Deng, Y.; Li, P.; Yang, X.; Ye, Z.; Zhao, Q. PEI-Functionalized Surface Coating on Carbonized ZIF-8 for Enhanced Adsorption of Methyl Orange. Coatings 2026, 16, 242. https://doi.org/10.3390/coatings16020242
Ma Z, Xiong Y, Deng Y, Li P, Yang X, Ye Z, Zhao Q. PEI-Functionalized Surface Coating on Carbonized ZIF-8 for Enhanced Adsorption of Methyl Orange. Coatings. 2026; 16(2):242. https://doi.org/10.3390/coatings16020242
Chicago/Turabian StyleMa, Zhenqiao, Yuanyuan Xiong, Yiqing Deng, Peini Li, Xiandi Yang, Zhi Ye, and Qiang Zhao. 2026. "PEI-Functionalized Surface Coating on Carbonized ZIF-8 for Enhanced Adsorption of Methyl Orange" Coatings 16, no. 2: 242. https://doi.org/10.3390/coatings16020242
APA StyleMa, Z., Xiong, Y., Deng, Y., Li, P., Yang, X., Ye, Z., & Zhao, Q. (2026). PEI-Functionalized Surface Coating on Carbonized ZIF-8 for Enhanced Adsorption of Methyl Orange. Coatings, 16(2), 242. https://doi.org/10.3390/coatings16020242

