A Hybrid Integration Approach for Milling Stability Prediction of Regenerative Chatter Using Simpson and Hermite Methods
Abstract
1. Introduction
2. Mathematical Model and Algorithm
3. Convergence Rate
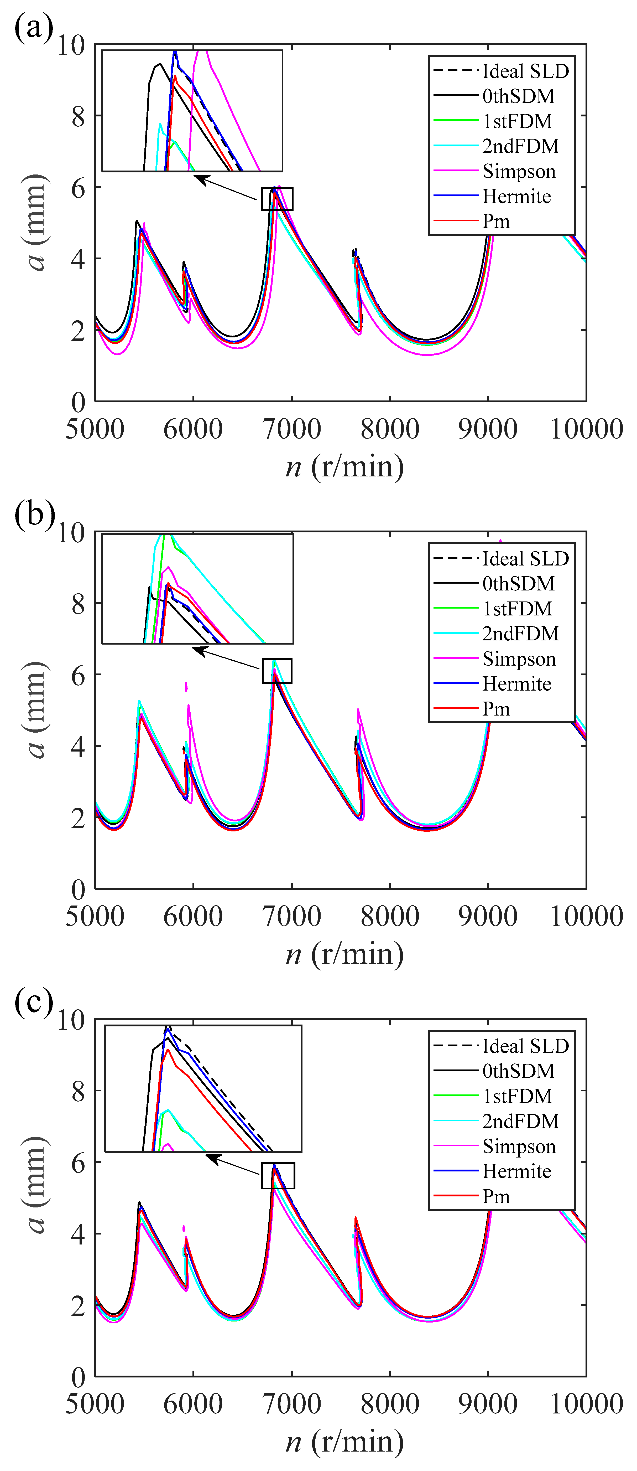
4. Stability Lobe Diagrams Analysis
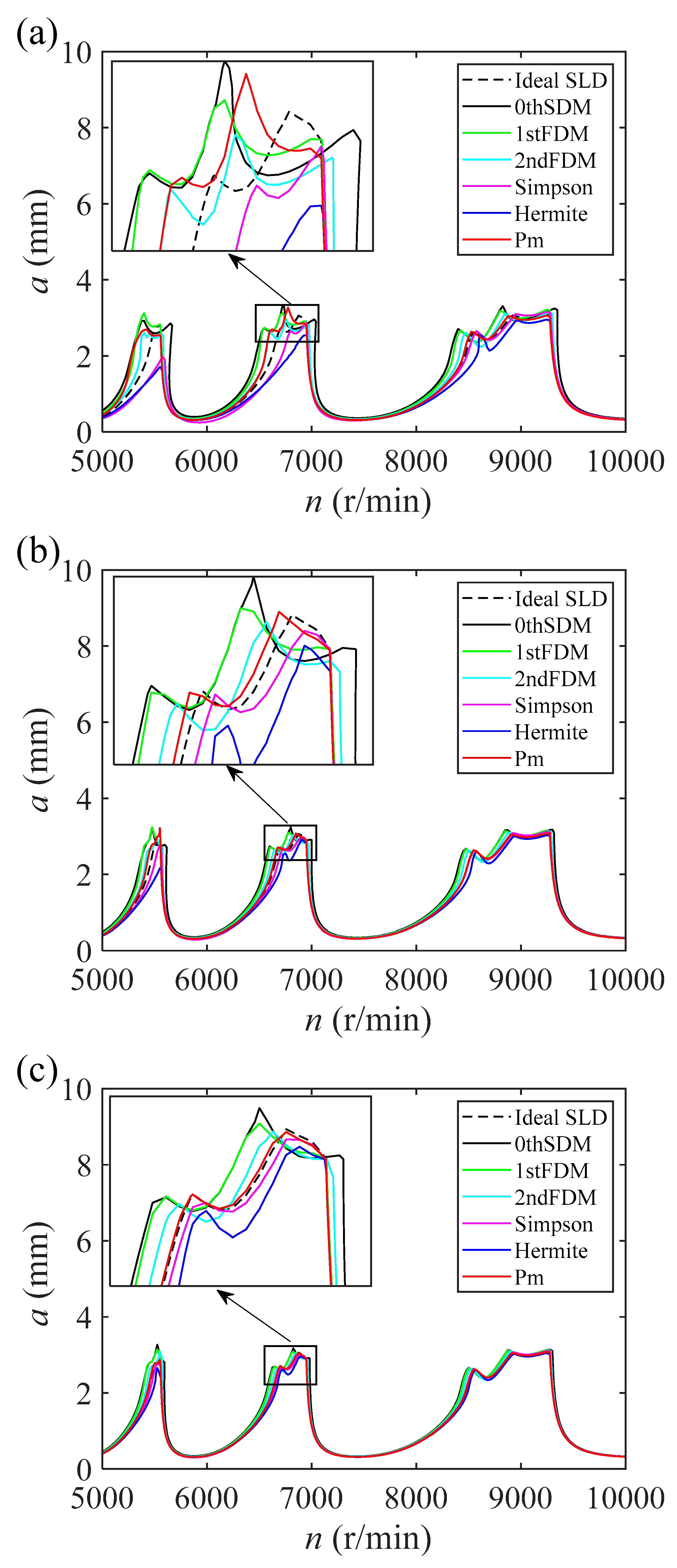
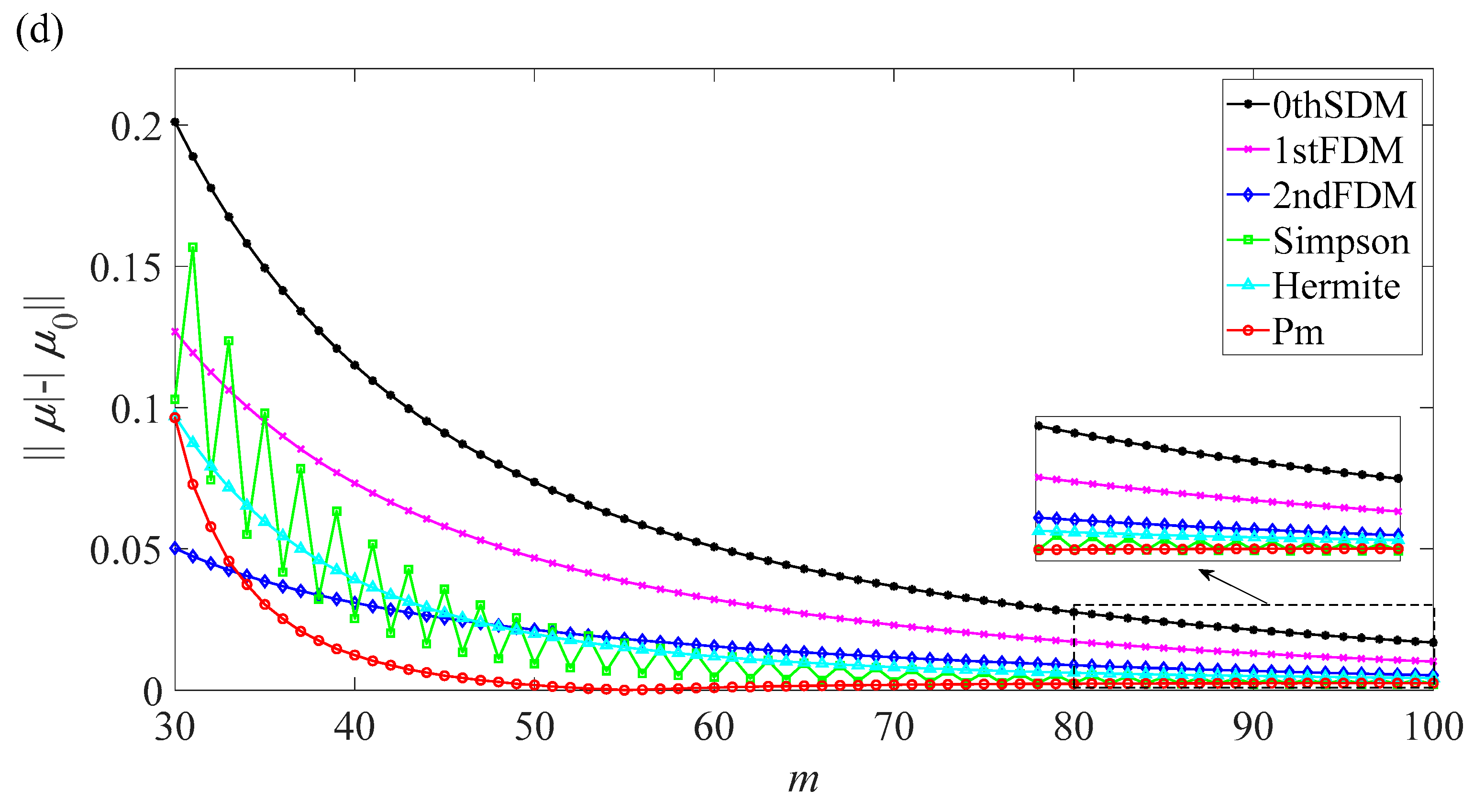
4.1. One-DOF Model Example
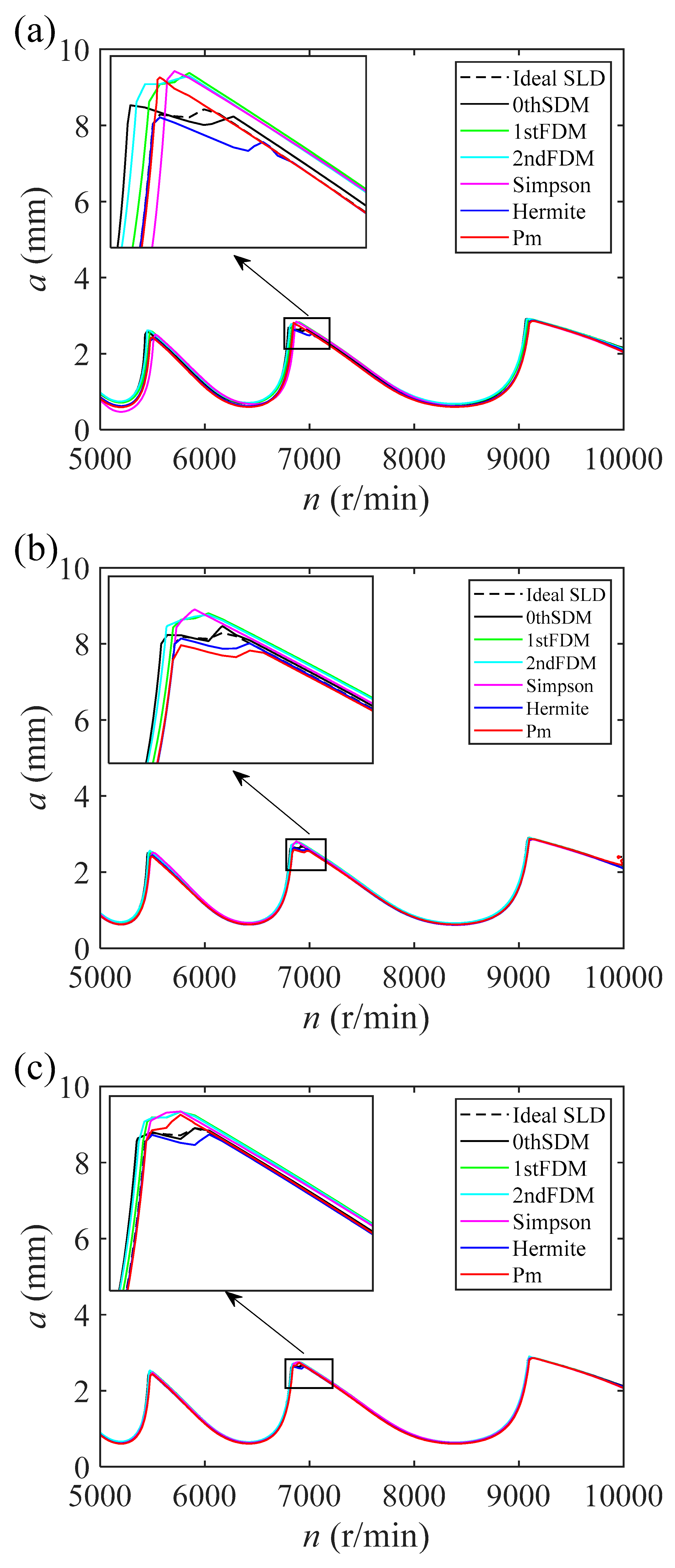
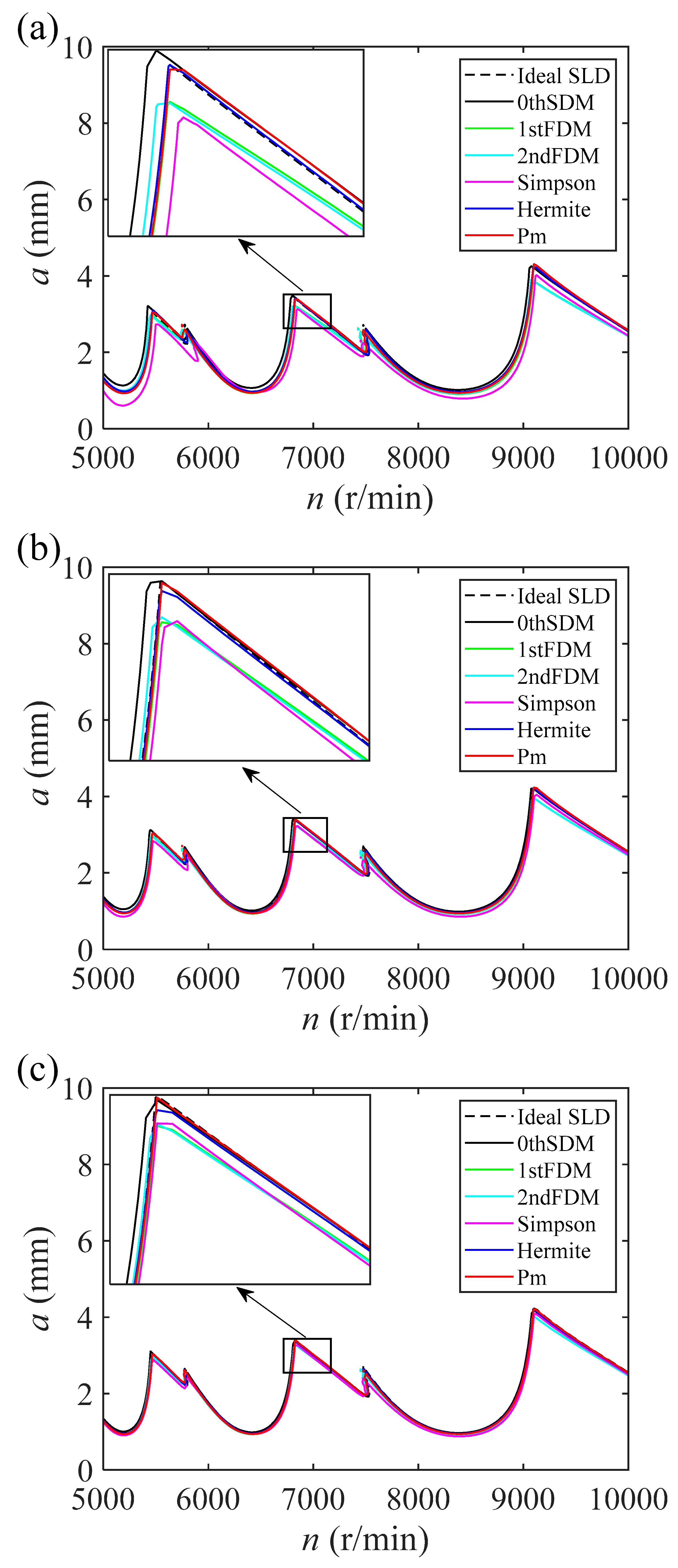
4.2. Two-DOF Model Example
5. Experimental Validation
5.1. Experimental Modal Analysis
5.2. Milling Force Coefficient Determination Experiments
5.3. Experimental Results and Discussion
6. Conclusions
- (1)
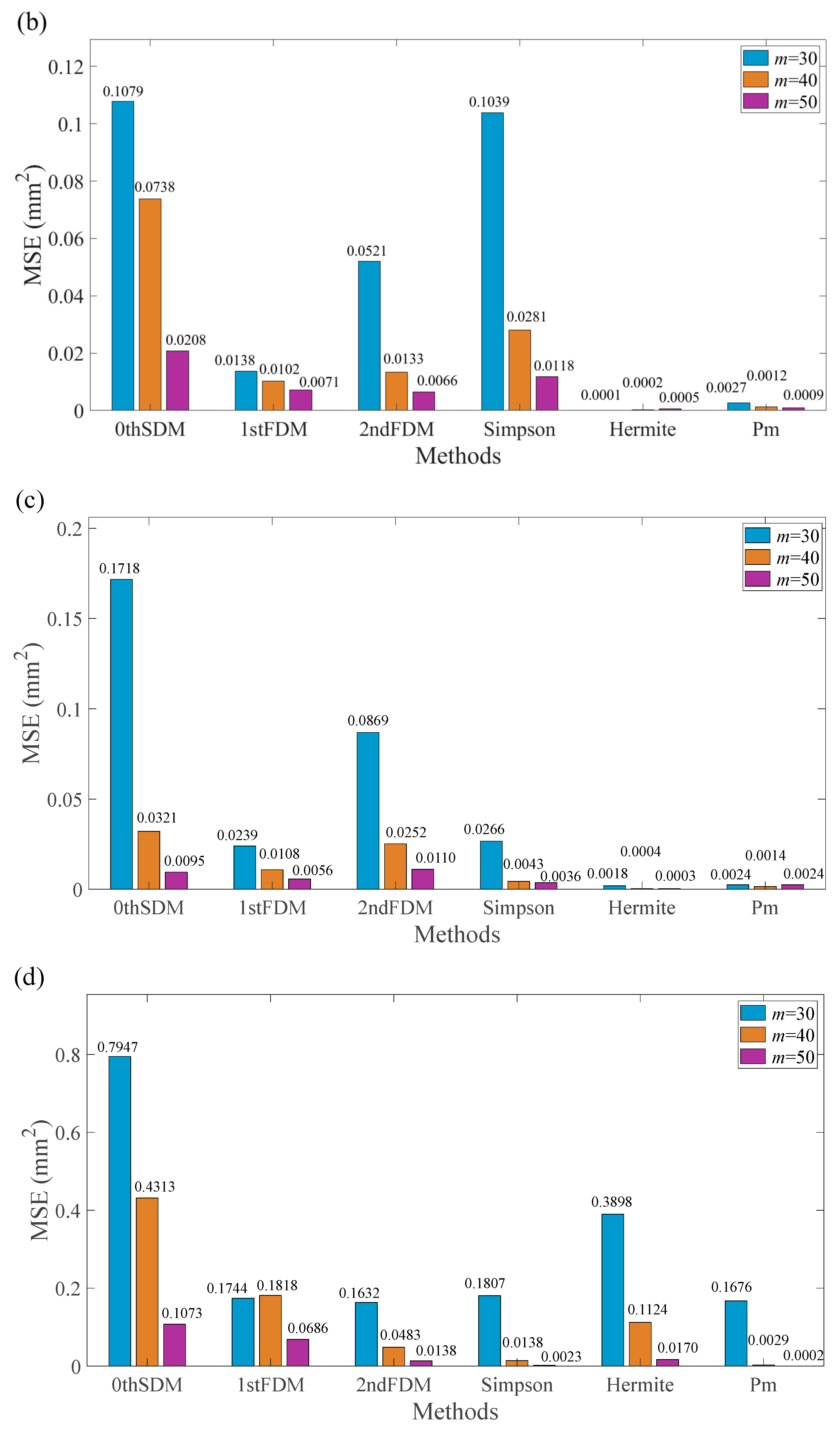
- This work establishes a quantitative accuracy assessment framework for SLDs, utilizing the critical depth of cut values at N spindle speeds as reference benchmarks (2ndFDM, m = 200). The mean squared error (MSE) quantifies deviations across six methods, with lower values indicating higher predictive fidelity.
- (2)
- The method demonstrates superior convergence and computational efficiency. Overall, it achieves a significantly lower MSE than 0thSDM, 1stFDM, 2ndFDM, and Simpson’s method. Isolated exceptions occur at the Two-DOF model, where 1stFDM (aD = 0.05) and 0thSDM (aD = 0.1, 0.5) yield the marginally lowest MSE. In One-DOF systems, it exhibits marginally higher MSE than Hermite’s method (aD = 0.05, 0.1 and 0.5) and achieves significantly lower MSE (aD = 1); for Two-DOF systems, it exhibits lower MSE at aD = 0.05 and 0.1, though it has marginally higher values at aD = 0.5 and 1.0. Thus, the proposed method is good.
- (3)
- Except the cutting force waveform, which exhibits pronounced fluctuations, Condition B exhibited definitive chatter signatures: non-harmonic components at 1122 Hz and 1355 Hz, flanking fundamental harmonics 233 Hz (4ωr) and 1166 Hz (20ωr) with frequency difference Δf = 233 Hz (4ωr), confirming instability. The analysis of milling force signals and the corresponding frequency spectra validates the method’s effectiveness.
- (4)
- The proposed method is outperformed by the existing techniques in certain One-DOF and Two-DOF scenarios—a fact which warrants further research and analysis. Moreover, a limitation of this study is its neglect of the workpiece’s time-varying modal parameters. Accordingly, future work will focus on integrating the proposed numerical integration-based stability prediction method with these time-varying dynamics.
Author Contributions
Funding
Institutional Review Board Statement
Informed Consent Statement
Data Availability Statement
Conflicts of Interest
Appendix A
References
- Quintana, G.; Ciurana, J. Chatter in machining processes: A review. Int. J. Adv. Manuf. Technol. 2011, 51, 363–376. [Google Scholar] [CrossRef]
- Mishra, R.; Singh, B. Prediction of milling chatter using SBLMD-ANN. J. Mech. Sci. Technol. 2022, 36, 877–882. [Google Scholar] [CrossRef]
- Yang, Y.Q.; Wu, D.H.; Liu, Q. Chatter stability prediction of milling considering nonlinearities. Proc. Inst. Mech. Eng. Part B-J. Eng. Manuf. 2021, 235, 862–876. [Google Scholar] [CrossRef]
- Liu, Y.; Cui, N.; Chen, H.; Yan, X.; Zhao, C.; Bao, G.Q.; Shan, Y.; Yin, Z.Q. Effect of temperature on milling stability of thin-walled parts. Proc. Inst. Mech. Eng. Part B-J. Eng. Manuf. 2023, 237, 414–423. [Google Scholar] [CrossRef]
- Nair, V.S.; Rameshkumar, K.; Saravanamurugan, S. Chatter identification in milling of titanium alloy using machine learning approaches. Int. J. Progn. Health Manag. 2024, 15, 1–15. [Google Scholar]
- Wang, C.X.; Zhang, Y.X.; Hu, J.W. Adaptive milling chatter identification based on sparse dictionary considering noise estimation and critical bandwidth analysis. J. Manuf. Process. 2023, 106, 328–337. [Google Scholar] [CrossRef]
- Griskevicius, M.; Kharka, V.; Kilic, Z.M. Chatter mitigation in turning slender components using viscous fluids. J. Manuf. Mater. Process. 2024, 8, 128. [Google Scholar] [CrossRef]
- Sheikhi, M.R.; Gürgen, S.; Li, J. Vibration suppression and surface quality enhancement in milling thin-walled structures using shear thickening fluids. J. Manuf. Process. 2024, 131, 2219–2229. [Google Scholar] [CrossRef]
- Altintas, Y.; Weck, M. Chatter stability of metal cutting and grinding. CIRP Ann. 2008, 53, 619–642. [Google Scholar] [CrossRef]
- Altintaş, Y.; Budak, E. Analytical prediction of stability lobes in milling. CIRP Ann. 2008, 44, 357–362. [Google Scholar] [CrossRef]
- Insperger, T.; Stépán, G. Semi-discretization method for delayed systems. Int. J. Numer. Methods Eng. 2002, 55, 503–518. [Google Scholar] [CrossRef]
- Insperger, T.; Stépán, G. Updated semi-discretization method for periodic delay-differential equations with discrete delay. Int. J. Numer. Methods Eng. 2004, 61, 117–141. [Google Scholar] [CrossRef]
- Ding, Y.; Zhu, L.M.; Zhang, X.J.; Ding, H. A full-discretization method for prediction of milling stability. Int. J. Mach. Tools Manuf. 2010, 50, 502–509. [Google Scholar] [CrossRef]
- Ding, Y.; Zhu, L.M.; Zhang, X.J.; Ding, H. Second-order full-discretization method for milling stability prediction. Int. J. Mach. Tools Manuf. 2010, 50, 926–932. [Google Scholar] [CrossRef]
- Ding, Y.; Zhu, L.M.; Zhang, X.J.; Ding, H. Numerical integration method for prediction of milling stability. J. Manuf. Sci. Eng. 2011, 133, 031005. [Google Scholar] [CrossRef]
- Zhang, X.J.; Xiong, C.H.; Ding, Y.; Feng, M.J.; Xiong, Y.L. Milling stability analysis with simultaneously considering the structural mode coupling effect and regenerative effect. Int. J. Mach. Tools Manuf. 2012, 53, 127–140. [Google Scholar] [CrossRef]
- Liang, X.G.; Yao, Z.Q.; Luo, L.; Hu, J. An improved numerical integration method for predicting milling stability with varying time delay. Int. J. Adv. Manuf. Technol. 2013, 68, 1967–1976. [Google Scholar] [CrossRef]
- Niu, J.B.; Ding, Y.; Zhu, L.M.; Ding, H. Runge-Kutta methods for a semi-analytical prediction of milling stability. Nonlinear Dyn. 2014, 76, 289–304. [Google Scholar] [CrossRef]
- Zhang, Z.; Li, H.G.; Meng, G.; Liu, C. A novel approach for the prediction of the milling stability based on the Simpson method. Int. J. Mach. Tools Manuf. 2015, 99, 43–47. [Google Scholar] [CrossRef]
- Ding, Y.; Niu, J.B.; Zhu, L.M.; Ding, H. Numerical integration method for stability analysis of milling with variable spindle speeds. J. Vib. Acoust. 2016, 138, 011010. [Google Scholar] [CrossRef]
- Niu, J.B.; Ding, Y.; Zhu, L.M.; Ding, H. Stability analysis of milling processes with periodic spindle speed variation via the variable-step numerical integration method. J. Manuf. Sci. Eng. 2016, 138, 114501. [Google Scholar] [CrossRef]
- Ozoegwu, C.G. High order vector numerical integration schemes applied in state space milling stability analysis. Appl. Math. Comput. 2016, 273, 1025–1040. [Google Scholar] [CrossRef]
- Mei, Y.G.; Mo, R.; Sun, H.B.; He, B.B.; Wan, N. Stability prediction in milling based on linear multistep method. Int. J. Adv. Manuf. Technol. 2019, 105, 2677–2688. [Google Scholar] [CrossRef]
- Dong, X.F.; Qiu, Z.Z. Stability analysis in milling process based on updated numerical integration method. Mech. Syst. Signal Process. 2019, 137, 106435. [Google Scholar] [CrossRef]
- Li, W.T.; Wang, L.P.; Yu, G. An accurate and fast milling stability prediction approach based on the Newton-Cotes rules. Int. J. Mech. Sci. 2020, 177, 105469. [Google Scholar] [CrossRef]
- Lou, W.D.; Qin, G.H.; Zuo, D.W. Investigation on Cotes-formula-based prediction method and its experimental verification of milling stability. J. Manuf. Process. 2021, 64, 1077–1088. [Google Scholar] [CrossRef]
- Xia, Y.; Wan, Y.; Luo, X.C.; Liu, Z.Q.; Song, Q.H. An improved numerical integration method to predict the milling stability based on the Lagrange interpolation scheme. Int. J. Adv. Manuf. Technol. 2021, 116, 2111–2123. [Google Scholar] [CrossRef]
- Xia, Y.; Wan, Y.; Su, G.S.; Du, J.; Zhang, P.R.; Xu, C.H. An improved numerical integration method for prediction of milling stability using the Lagrange-Simpson interpolation scheme. Int. J. Adv. Manuf. Technol. 2022, 120, 8105–8115. [Google Scholar] [CrossRef]
- Zhan, D.N.; Jiang, S.L.; Li, S.K.; Sun, Y.W. A hybrid multi-step method based on 1/3 and 3/8 Simpson formulas for milling stability prediction. Int. J. Adv. Manuf. Technol. 2022, 120, 265–277. [Google Scholar] [CrossRef]
- Farkas, M. Periodic Motions; Springer: Berlin/Heidelberg, Germany, 1994. [Google Scholar]
- Wang, M.H.; Gao, L.; Zheng, Y.H. An examination of the fundamental mechanics of cutting force coefficients. Int. J. Mach. Tools Manuf. 2014, 78, 1–7. [Google Scholar] [CrossRef]






















| Parameters | Values |
|---|---|
| Natural frequency fn (Hz) | 922 |
| Damping ratio ζ | 1.1% |
| Modal mass mt (Kg) | 0.03993 |
| Tangential cutting force coefficient Kt (N/m2) | 6 × 108 |
| Radial cutting force coefficient Kn (N/m2) | 2 × 108 |
| Number of teeth | 2 |
| Systems | Natural Frequency (Hz) | Damping Ratio (%) | Stiffness (N/m2) |
|---|---|---|---|
| Cutter X (Mode no. 1) | 1938 | 4.2% | 1.45 × 108 |
| Cutter Y (Mode no. 1) | 1933 | 3.9% | 1.41 × 108 |
| Workpiece Y (Mode no. 1) | 834 | 0.8% | 4.94 × 106 |
| Workpiece Y (Mode no. 2) | 2446 | 1.4% | 4.72 × 107 |
| No. | Spindle Speed (r/min) | Axial Depth of Cut (mm) | Radial Depth of Cut (mm) | Feed Rate (mm/min) |
|---|---|---|---|---|
| 1 | 1000 | 1 | 10 | 80 |
| 2 | 1000 | 1 | 10 | 160 |
| 3 | 1000 | 1 | 10 | 240 |
| 4 | 1000 | 1 | 10 | 320 |
| 5 | 1000 | 1 | 10 | 400 |
| No. | Spindle Speed (r/min) | Axial Depth of Cut (mm) | Radial Depth of Cut (mm) | Feed Rate (mm/min) |
|---|---|---|---|---|
| A | 3000 | 0.3 | 1 | 240 |
| B | 3500 | 0.4 | 1 | 280 |
| C | 3500 | 0.1 | 1 | 280 |
| D | 4000 | 0.4 | 1 | 320 |
Disclaimer/Publisher’s Note: The statements, opinions and data contained in all publications are solely those of the individual author(s) and contributor(s) and not of MDPI and/or the editor(s). MDPI and/or the editor(s) disclaim responsibility for any injury to people or property resulting from any ideas, methods, instructions or products referred to in the content. |
© 2026 by the authors. Licensee MDPI, Basel, Switzerland. This article is an open access article distributed under the terms and conditions of the Creative Commons Attribution (CC BY) license.
Share and Cite
Wang, X.; Xia, Y.; Su, G.; Hou, Z.; Zhang, P.; Li, B.; Du, J. A Hybrid Integration Approach for Milling Stability Prediction of Regenerative Chatter Using Simpson and Hermite Methods. Coatings 2026, 16, 216. https://doi.org/10.3390/coatings16020216
Wang X, Xia Y, Su G, Hou Z, Zhang P, Li B, Du J. A Hybrid Integration Approach for Milling Stability Prediction of Regenerative Chatter Using Simpson and Hermite Methods. Coatings. 2026; 16(2):216. https://doi.org/10.3390/coatings16020216
Chicago/Turabian StyleWang, Xinglong, Yan Xia, Guosheng Su, Zhaoting Hou, Peirong Zhang, Binxun Li, and Jin Du. 2026. "A Hybrid Integration Approach for Milling Stability Prediction of Regenerative Chatter Using Simpson and Hermite Methods" Coatings 16, no. 2: 216. https://doi.org/10.3390/coatings16020216
APA StyleWang, X., Xia, Y., Su, G., Hou, Z., Zhang, P., Li, B., & Du, J. (2026). A Hybrid Integration Approach for Milling Stability Prediction of Regenerative Chatter Using Simpson and Hermite Methods. Coatings, 16(2), 216. https://doi.org/10.3390/coatings16020216

