Next Article in Journal
Applications and Challenges of Modern Analytical Techniques for the Identification of Plant Gum in the Polychrome Cultural Heritage
Previous Article in Journal
Cyclic Oxidation Behavior and Protective Oxide Scale Formation in Stainless-Steel Alloys for High-Temperature Exhaust Valve Applications
Previous Article in Special Issue
Research on the Performance of Phosphorus-Building-Gypsum-Based Foamed Lightweight Soil in Road Reconstruction
 
 
Font Type:
Arial Georgia Verdana
Font Size:
Aa Aa Aa
Line Spacing:
Column Width:
Background:
Article

High-Volume Phosphogypsum Road Base Materials

1
Faculty of Engineering, China University of Geosciences, Wuhan 430074, China
2
China Construction Institute of Advanced Technology, Wuhan 430073, China
*
Author to whom correspondence should be addressed.
Coatings 2025, 15(9), 1040; https://doi.org/10.3390/coatings15091040
Submission received: 22 July 2025 / Revised: 22 August 2025 / Accepted: 3 September 2025 / Published: 5 September 2025

Abstract

Phosphogypsum represents a gypsum-based solid waste originating from phosphoric acid production, which can be exploited for road filling after cement modification. This study delved into the composition design of high-volume phosphogypsum road base materials, aiming to ascertain their feasibility for subgrade filling, and refine the mix ratio. The main content of phosphogypsum was set at three high-proportion intervals of 86%, 88% and 90%, while the total content of inorganic curing agent was fixed at 0.5% of the total material. Within such a total amount, the proportion of bentonite was preserved at 20%, whereas the proportion of waterproofing agent was configured at three gradients of 20%, 25% and 30%, with the remaining part supplemented by powdered sodium silicate. Merged with trace amounts of inorganic curing agents, particularly the waterproofing agent component, the composite cementitious system comprising cement and ground granulated blast-furnace slag (GGBS) was leveraged to augment the key road performance and water stability of high-volume phosphogypsum-based materials. Material strengths were observed to be distinguishable under an array of phosphogypsum contents, which could be explained by the varying proportions of cement, GGBS and waterproofing agent. The test samples and microscopic products were dissected via XRD and SEM, demonstrating that the hydration products of the materials were predominantly C-S-H gel and ettringite crystals.

1. Introduction

Chiefly distributed in Hubei, Yunnan, Guizhou and Sichuan, phosphate rock resources are ample within the territory of China, accompanied by reserves ranking the second most worldwide [1]. The phosphate chemical industry capitalizes upon phosphate rocks as the raw material, and processes the phosphorus contained in these rocks into phosphoric acid, phosphate fertilizer, phosphate, etc. As a by-product, phosphogypsum stems from the phosphate rock treated with sulfuric acid in wet-process phosphoric acid production [2], which is a utilizable gypsum resource composed of calcium sulphate dihydrate (CaSO4·2H2O) [3,4]. Statistically, the annual output of phosphogypsum is approximately 92 million tons in China, accounting for approximately 46% of the global output, alongside a cumulative stockpile over 600 million tons; the comprehensive utilization rate is as low as 40% [5], marking a bottleneck confining the sustainability of the phosphate chemical industry. Worse, the rocketing output of phosphogypsum waste occupies a myriad of land resources, while the soluble phosphorus, fluorides, heavy metals and other impurities the waste contains, under the actions of migration, flow and enrichment, are prone to polluting the surrounding water and soil [6,7]. In July 2025, the Ministry of Ecology and Environment implemented the Technical Specification for Pollution Control of Utilization and Harmless Storage of Phosphogypsum (HJ 1415-2025) [8], which further emphasizes the pollution prevention and control requirements, forcing the industry to open up new paths towards large-scale and high-value utilization. Since then, it has been a focal point to reinforce the overall utilization capacity of phosphogypsum, and develop solutions for its high-volume utilization [9].
In recent years, the application of phosphogypsum in subgrade materials appears to be increasingly ubiquitous. A group of scholars engaged phosphogypsum in road engineering by means of pretreatment, successfully applying this substance to pavement base stabilization materials or subgrade reinforcement materials. At the current stage, the predominant measures for the harmless treatment of phosphogypsum are exemplified by solidification and chemical treatment, washing, flotation and calcination [10]. Amongst these approaches, washing and flotation consume a multitude of water, probably incurring secondary water pollution, and suffering from prohibitive costs; calcination compels high-temperature facilities, which endures high energy consumption and excessive greenhouse gas emissions; by contrast, solidification and chemical treatment, boasting low cost, simple process and commendable feasibility, are pervasive in theoretical research and engineering practice [11]. Pretreated phosphogypsum are broadly involved in fields encompassing cement production, building gypsum products, soil improvement, mine backfilling and road materials. More precisely, the phosphogypsum added in the alkali-activated slag pastes would refine the pastes pore structure, yielding a lower porosity than the natural gypsum [12]; it can also be leveraged as a substitute for cement manufacturing, building materials and road construction, as a fertilizer for soil improvement, as a raw material for chemical production, and as a backfilling material for rehabilitating abandoned mines and quarries [13]. Employing phosphogypsum to construct road base mitigates environmental pollution, and upgrades some road base performance so that sustainability can be expected [14,15].
Traditional phosphogypsum-based materials confront subpar early strength and water resistance, embodying the necessity of material improvement. In 1999, Yuhua Li’s team [16] spearheaded a new type of base material by compounding phosphogypsum with lime and fly ash. Relying on sulphate activation, the compressive strength of the material at 28-d intensified from the low level (prior to improvement) to approximately 7.2 MPa, marking a remarkable breakthrough and conquering the insufficiency of early strength. Liu et al. [17] and Gaoguo Ke et al. [18] reported that incorporating calcined phosphogypsum (CPG) is conducive to forming gel structure that stabilizes the phosphogypsum. Meanwhile, the addition of lime underpins the early strength by neutralizing the water-soluble phosphorus contained in phosphogypsum. As a result, these researchers leaned on CPG and lime as curing agents to stabilize phosphogypsum for preparing road base materials. The experiments revealed that, in the case of a 7%–9% content of calcined phosphogypsum, the mechanical properties of the materials were desirable. The field cores extracted from the paved CPG-lime stabilized phosphogypsum base were experimentally observed to possess a 7-d UCS as high as 3.69 MPa. Regarding material ratio optimization, the lime–fly ash-phosphogypsum ternary system proposed by Wu et al. [19] manifested superior mechanical properties over conventional lime–fly ash stabilized materials. When the ratio of phosphogypsum to fly ash is approximately 1:1, alongside a 6%–8% content of lime-based stabilizers, the strength is 1 to 2 times that of traditional lime–fly ash consolidated materials. Houji Zhang et al. [20] propounded the applicable mix ratio of cement-slag stabilized phosphogypsum macadam base, and attested it by paving test sections in actual projects. The outcomes of road performance and pollutant leaching evinced that the fluorine content in the leachate of phosphogypsum composite stabilized material is merely 0.33% of that in the pure phosphogypsum leachate, and the total phosphorus content is 0.023% of the original phosphogypsum specimen. No other principal harmful substances were detected (e.g., arsenic, chromium, lead and cadmium), which complied with the requirements of the Solid Waste-extraction Procedure for Leaching Toxicity—Horizontal Vibration Method of the People’s Republic of China HJ 557-2010 [21]. Zheng et al. [22] scrutinized the mechanical properties of lime to ground granulated blast-furnace slag (GGBS) solidified and stabilized phosphogypsum/soil mixtures. In contrast to the stabilized samples free from phosphogypsum, the strength and dynamic elastic modulus of samples mixed with phosphogypsum were dramatically elevated. The best stabilization of phosphogypsum was attained at a 1:9 ratio of lime to ground granulated blast-furnace slag. The compressive and flexural strength (UCS) of the stabilized PG reached 5–6 MPa at 14-d, a strength enhancement from 174.36% to 239.49%. This study clarified the mechanism of phosphogypsum in this system, which activates the hydration activity of lime and granulated blast furnace slag, while motivating the formation of ettringite and C-S-H gel. Yan Zhao’s team [23] delineated that the phosphogypsum content exerts an obvious threshold effect on material performance. Appropriate addition is able to reinforce the early strength of lime–fly ash mixtures (within the content of fly ash), but excessive addition induces the ettringite generated in the phosphogypsum and lime mixture to destroy the early formed gel, potentially provoking an abrupt loss of strength.
Although numerous studies engaged phosphogypsum into road engineering, investigations into high-volume phosphogypsum road base materials remain insufficient, a vast majority of which employed cement as a single cementitious component mixed with phosphogypsum, accompanied by external addition of organic polymer additives. Despite the favorable results reaped, the costs of these measures are often less competitive than that of inorganic binders. Dandan Li et al. [24] found the soaring strength and water stability of phosphogypsum after solidification. In the case of a 2% content of the curing agent, the 28-d UCS of the sample is 1.51 MPa and the California bearing ratio value is 65%, which affirms the viability of adding substantial phosphogypsum when preparing roadbed fillers. This study aims to solidify phosphogypsum under the synergistic effect of cement, GGBS and multicomponent inorganic curing agents. It also designs an orthogonal test scheme as per the principle of single-factor variable control harnessing pre-research test data of building mortar, and screens out the optimal material ratio. To guarantee standard mechanical strength and water stability of phosphogypsum base materials, the content of phosphogypsum solid waste was maximized to diminish production costs. An environmental risk assessment system was established synchronously to examine the environmental protection performance of the solidified materials by virtue of leaching toxicity detection, which circumvented adverse impacts on the surroundings.

2. Materials and Methods

2.1. Materials

2.1.1. Phosphogypsum

The phosphogypsum involved in this experiment, in the form of grey powder, was supplied by Wuxue Xiangyun Chemical Plant. Apart from a specific surface area of 425 m2/kg and a density of 2.38 g/cm3, the specific chemical composition of the phosphogypsum is encapsulated in Figure 1 and Table 1, illustrates its XRD spectra.
According to Figure 1 and Table 1, the primary mineral components of phosphogypsum is CaSO4·2H2O, which can be explained by the dominance of SO3 and CaO in phosphogypsum), while the XRD pattern displays prominent characteristic peaks designating CaSO4·2H2O and SiO2. The steep and strong peaks of CaSO4·2H2O at low 2θ values imply that gypsum is the principal crystal phase in phosphogypsum raw materials. Peaks of SiO2 can also be noticed, which represent the impurities detected in the chemical composition.
In view of Figure 2, the microstructure of phosphogypsum is holistically characterized by rhombic thin sheets of uneven sizes, accompanied by a number of pores between these thin sheets.

2.1.2. Particle Size Distribution Test of Phosphogypsum Raw Materials

The phosphogypsum underwent particle size analysis through a screening test using a 0.08 mm standard sieve that was procured from China Wuxi Jianyi Instrument (Wuxi, China) and Machinery Co.,Ltd. (Xinxiang, China). Table 1 lists the analysis results and gradation.
The screening results of phosphogypsum raw materials are shown in the Table 2. The cumulative proportions of particles with a diameter of less than 4.75 mm were 81.27%, 84.77%, and 84.13%—averaged 83.54%. This conveys that the phosphogypsum raw material is composed of fine particles (<4.75 mm), and coarse particles (≥4.75mm) accounts for less than 20%. It is observed that the fraction “d < 0.08” shrinks with the expanding total mass of the sample, whereas the fraction “0.08 ≤ d < 2” grows. Such a trend may be ascribed to the fact that samples with smaller total mass (e.g., Original 1) are acquired from the surface layer or local areas of the material pile, where fine particles tend more to accumulate (fine particles are concentrated in the shallow layer owing to wind drift or insufficient sedimentation). The phenomenon can also be pinpointed by the accidental collection of local areas where the enriched fine particles comprise a higher proportion. The samples holding a larger total mass (e.g., Original 3) are conceivably garnered from areas with a deeper pile or a higher degree of compaction. Here, medium and fine particles (0.08 ≤ d < 2 mm) are more evenly distributed because of their larger mass, whilst fine particles are diluted or displaced by coarser particles, which shrinks the proportion of fine particles and enlarges the proportion of medium and fine particles.

2.1.3. Cement

The cement engaged in the experiment is P42.5 ordinary Portland cement manufactured by a Wuhan cement company, which possesses a specific surface area of 345 m2/kg and a density of 3.07 g/cm3. For each paste after mixing, the test method for the initial setting time and final setting time abides by the Test Method for Fluidity of Cement Mortar (GB/T 1346-2011) [25]. Table 1 and Table 3 summarize the testing indicators and the specific chemical composition of the cement, respectively, while the XRD spectra is depicted in Figure 2.
According to Figure 3 and Table 1. The cement is composed of CaO (64.21 wt.%) and SiO2 (18.72 wt.%), which is in agreement with the prominent characteristic peaks of C3S and C2S in the spectra. The presence of Al2O3 and Fe2O3 corresponds to the characteristic peaks of C3A and C4AF.

2.1.4. Ground Granulated Blast-Furnace Slag (GGBS)

The experiment procured the GGBS from a Wuhan iron and steel company, exhibiting a specific surface area of 497.2 m2/kg and a density of 2.84 g/cm3. Its specific chemical composition is presented in Table 1.

2.1.5. Inorganic Curing Agent

The inorganic curing agents involved in the experiment were Cementitious Capillary Crystalline Waterproofing (CCCW) materials, anhydrous sodium silicate (with modulus 2.0 and 2.8), and calcium-based bentonite.
Applicable to waterproofing and crack repair in concrete structures, the CCCW are powder-like inorganic rigid materials made from ordinary Portland cement, quartz sand, etc., and mixed with active chemical substances. The waterproofing agent of model KH-JS was supplied by Shanghai Kehong New Building Materials Co., Ltd., Shanghai, China.
The anhydrous sodium silicate was procured from Gongyi Yulin Refractory Materials Co., Ltd., Gongyi, China. It reacts with Ca(OH)2 to form calcium silicate hydrate (C-S-H) gel, which blocks capillary pores and microcracks, and strengthens water resistance. The modulus of sodium silicate designates the molar ratio of SiO2 to Na2O in its chemical composition. Anhydrous sodium silicate with such a modulus shows the traits of balancing solubility and gelling properties.
The calcium-based bentonite was manufactured by Zhejiang Fenghong New Materials Co., Ltd., Anji, China, and its composition of bentonite is montmorillonite at 73.45 wt.%, quartz at 10.41 wt.%, calcite at 3.90 wt.%, and feldspar at 10.20 wt.%, with low expansibility and favorable adsorption.

2.2. Experimental Program

The mix ratio design and performance research were executed by single-factor variable control method, aiming to explore the optimal mix ratio and micro-mechanism of high-volume phosphogypsum materials as road base materials. Initially, the high-volume phosphogypsum gradients were set as 86%, 88% and 90%, alongside a 0.5% inorganic curing agent content. Furthermore, the bentonite proportion was fixed at 20%; the waterproofing agent content gradients were 20%, 25% and 30%; and the rest was powdered sodium silicate. The cement, GGBS and inorganic curing agent were engaged to synergistically stabilize the high-volume phosphogypsum road base materials, followed by the mix ratio design and performance research. Water stability was boosted by tuning the ratio of cement to GGBS (1:1 and 7:3) and adding varying proportions of inorganic curing agents.

2.3. Test Methods

2.3.1. Compaction Test Method

The phosphogypsum after 48-h drying was passed through a 4.75 mm-square hole sieve. The phosphogypsum and powder were weighed in light of Table 4, and the designed water content was added and mixed uniformly. As per the Technical Standard for Highway Engineering (JTG 3441-2024) [26], a light compaction test was undertaken, since the particle size of most raw materials is less than 5 mm. The measurement hinged on the BKJ-3 type compaction instrument produced by Beijing Luda Weiye Technology Co., Ltd., Beijing, China. The acquired samples were scraped flat on the surface with a scraper, then weighed to gain the data. Table 5 encapsulates the parameters of the light compaction test.

2.3.2. Compressive and Flexural Strength Test Method

At the initial mix ratio specified in the Construction Industry Standard (JGJ/T70-2009) [27], the cement accounted for one-third of the sand. The mass of one bag of standard sand was 1350 g, so the cement was 450 g. Then, the water-cement ratio was modified, and the mass of the water was derived based on different proportions. Cement mortar was prepared with an array of water-cement ratios, waterproofing agents, sodium silicate and bentonite ratios, with the curing agent added at 5% through external mixing method. The raw material ratio is listed in Table 6.
The raw materials were weighed and added into water for thorough stirring. Afterwards, the paste fluidity was tested with reference to the Test Method for Fluidity of Cement Mortar Test Standard (GB/T 2419-2005) [28]. The test result was regarded as the average value of the diameters in two vertical directions. Then, the prepared cement mortar was poured into a 40 mm × 40 mm × 160 mm right square prism mold. Upon manual vibration, a scraper was used to smooth the mortar surface at a 45° direction before the mortar dries. After each specimen group was placed in the curing box and cured to the specified age, the compressive and flexural strength was examined in light of the Test Method for Strength of Cement Mortar (ISO Method) (GB/T 17671-2021) [29]. The test instrument (DYE-300S) was procured from China Wuxi Dejiayi Testing Instrument Co., Ltd., Wuxi, China.

2.3.3. Unconfined Compressive Strength (UCS) Test Method

As per the JTG 3441-2024 [26], and given the results of the compaction test and the mold volume, the total mass of each sample was computed to be 172 g. Considering the impossible percentage density in actual pressing, the compaction degree is generally taken as 98%, and ultimately a 168 g cylindrical sample with a 5 cm diameter and a 5 cm height was obtained. The UCS was tested under four curing conditions: standard curing for 7-d; standard curing for 6-d + immersion for 1-d; standard curing for 14-d; and standard curing for 13-d + immersion for 1-d. The UCS was gauged by virtue of the pavement material tester (TC-200F) supplied by China Beijing Tianchangtongda Instrument Co., Ltd., Beijing, China. The UCS of the untreated sample was recorded as F (MPa), and the immersed sample as f (MPa). The softening coefficient k (MPa/MPa) was derived by Equation (1).
k = f F

3. Results

3.1. Compaction Test

The maximum dry density and optimal water content of phosphogypsum road base materials serve the paramount technical parameters for guaranteeing construction quality. With the test samples subject to analysis and calculation, the obtained data were fitted, as plotted by the fitting curve in Figure 4.
Figure 4 depicts an upward trend for the maximum dry density in the case of a 14%–18% water content, and a downward trend when the content exceeds 18%. The four groups of high-volume phosphogypsum subgrade materials with varying contents exhibit minimal difference in regularity, and the curing agent exerts slight effect on the variations in optimal water content and maximum dry density. The analysis corroborated that the optimal water content is 18%, and the maximum dry density equals 1.48 g/cm3.

3.2. Compressive and Flexural Strength Test

The compressive and flexural strengths of building mortar are crucial mechanical performance indicators that reflect the strength and stability of hardened cement. Regarding the flow diameter measurements, excluding groups 1 and 2 with a flow diameter of less than 18.0 cm, the flow diameter of groups 3 to 9 are 18.5, 18.7, 19.2, 18.0, 18.0, 19.4 and 20.0 cm in sequence. Given the engineering experience and test section data, the building mortar tests shown in Table 4 were carried out, with the results visualized in Figure 5.
Table 6 reveals that, in the flow diameter test with the w–c ratio and the bentonite content fixed at 0.65% and 20%, respectively, the flow diameter extends with the enlarging waterproofing content (and the corresponding shrinkage of sodium silicate content). Moreover, the flow diameter of the sample with sodium silicate of 2.0 modulus is higher than that of 2.8 modulus.
Analysis of compressive strength: According to Figure 5, the 3-d compressive strengths of group A (A1 and A2) containing simply sodium silicate with modulus 2.0 surpass those of the blank group (CK). Furthermore, the 3-d compressive strengths of group B with sodium silicate modulus 2.8 are lower than that of CK, deducing that low-modulus sodium silicate is more impetus to early hydration thanks to its stronger alkalinity. When the modulus of sodium silicate is relatively high, its disintegration rate becomes significantly slow, which in turn leads to a low yield of hydration products. Since the formation of hydration products is a prerequisite for achieving favorable performance, a high modulus of sodium silicate does not play a positive role in improving the performance of the samples [30]. By comparing different curing agent ratios within group A, waterproofing agent contents of 20% or 30% are speculated to contribute to balancing mechanical strength and water stability. Therefore, the data system was augmented by adding an intermediate group with 25% waterproofing agent + 55% sodium silicate + 20% bentonite.
Analysis of flexural strength: In view of Figure 5, the 3-d flexural strengths of all specimens incorporating curing agents are beneath those of CK, which implies that curing agents potentially weaken the flexural performance.
The reasons responsible for the attenuation in compressive and flexural strengths may be that sodium silicate reacts with calcium ions in cement to yield calcium silicate hydrate (C-S-H) gel, which is the primary component of cement stone and crucial for strength development. As a result, adding excessive sodium silicate conceivably expedites the setting of cement, instigating an uneven internal structure of the cement stone with more pores and microcracks. This gives rise to a abated flexural strength, which is analogous to the results of Yao Ran et al. [31]. Moreover, for the alkali-aggregate reaction, sodium silicate acts as an alkaline substance reacting with aggregates under certain conditions (the waterproofing agent contains reactive silica), which induces material expansion and cracking. The introduction of bentonite is able to stimulate expansion, thereby abating strength, especially because flexural strength is sensitive to cracks. Likewise, the influence of curing conditions is also notable on the strength development of cement stone. Under non-favorable curing conditions (e.g., insufficient humidity), insufficient cement hydration may adversely affect strength. The curing agents govern the hydration process, and affect the effectiveness of curing. A more detailed analysis is entailed, involving the microstructure analysis of cement stone (e.g., using scanning electron microscopy, SEM) and testing the hydration heat of cement, so as to fully understand the specific reasons.

3.3. UCS Test

As per the UCS development law, the UCS at all ages adheres to a downward trend, given the expanding phosphogypsum proportion in the inorganic binder stabilized system and the shrinking inorganic binder proportion. Such a finding may be attributed to the extremely low strength of phosphogypsum—an air-hardening material with powdery particles. Notwithstanding the physical compaction able to form the specimen, strength loss potentially occurs amid demolding; simultaneously, the reduction in stabilized materials lessens hydration products generated during curing, impairing structural compactness. Hence, in pursuit of better UCS, it is possible to reduce the content of phosphogypsum in the material, and increase the content of inorganic binders. Nevertheless, blindly enlarging the amount of cementitious materials is not advisable because the unit price of cementitious materials is acutely higher than that of phosphogypsum. Excessive pursuit of strength could incur prohibitive costs owing to economic constraints. This study unveiled that, in subgrade materials prepared with high-volume phosphogypsum (above 80%), when the phosphogypsum content spans 85%–90%, there are robust mechanical properties and high contents. Consequently, this study capitalized on phosphogypsum contents of 86%, 88% and 90%. Unlike the pure cement system, relying on the GGBS to substitute cement in gradients not only underpins the medium and long-term strength development of the material, but also cuts the cost of raw materials (the unit price of GGBS is almost 1/3 of that of cement). Theoretical calculations manifest that, with a 1:1 GGBS-to-cement ratio, the UCS is higher than that of the pure cement system. As per the mechanical strength requirements of the phosphogypsum pavement base, this study intends to select the mix ratio with better water stability and survey how the internal ratio of cementitious materials influence water stability, thus two cementitious ratios (cement-to-GGBS ratio = 7:3 and 1:1) were configured. Furthermore, in view of the preliminary building mortar test demonstrating a potential negative effect of curing agents on strength, the content of curing agents was sustained at 5% by external mixing. The specific content of each component is presented in Table 7 and Table 8.
Complying with the JTG 3441—2024 [26], abnormal values in the test of specimens in the same group were eliminated via the 3-time variance method. For each group in mix ratios 1 and 2, this study recorded the 7-d and 14-d UCSs and the UCSs after 6-d standard curing + 1-d immersion and 13-d standard curing + 1-d immersion, and derived the softening coefficient. The measurement and calculation results are reflected in Table 9 and Table 10.

3.3.1. Analysis of Mix Ratio 1

Data visualization and result analysis were performed for the sample groups under mix ratio 1.
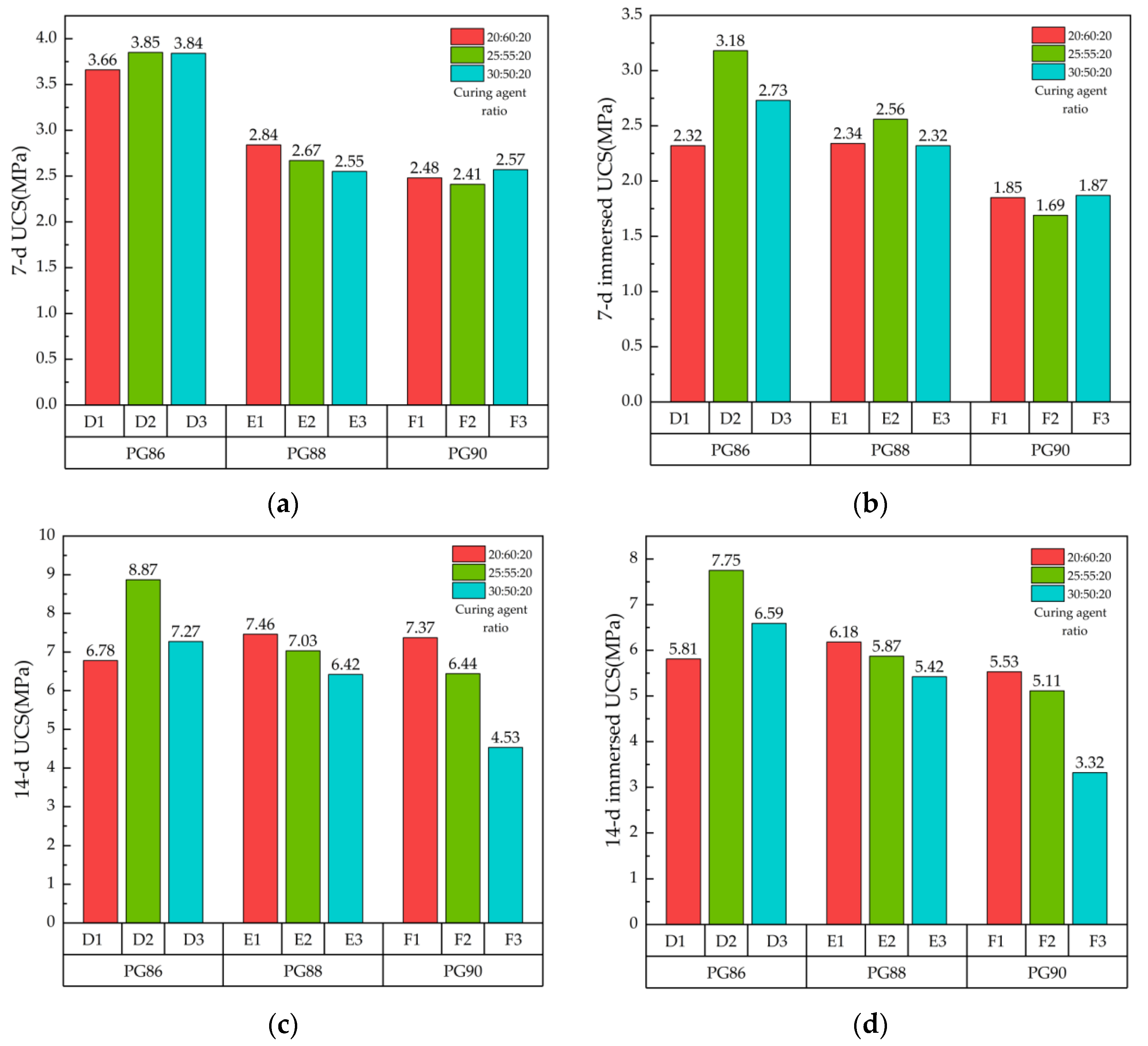
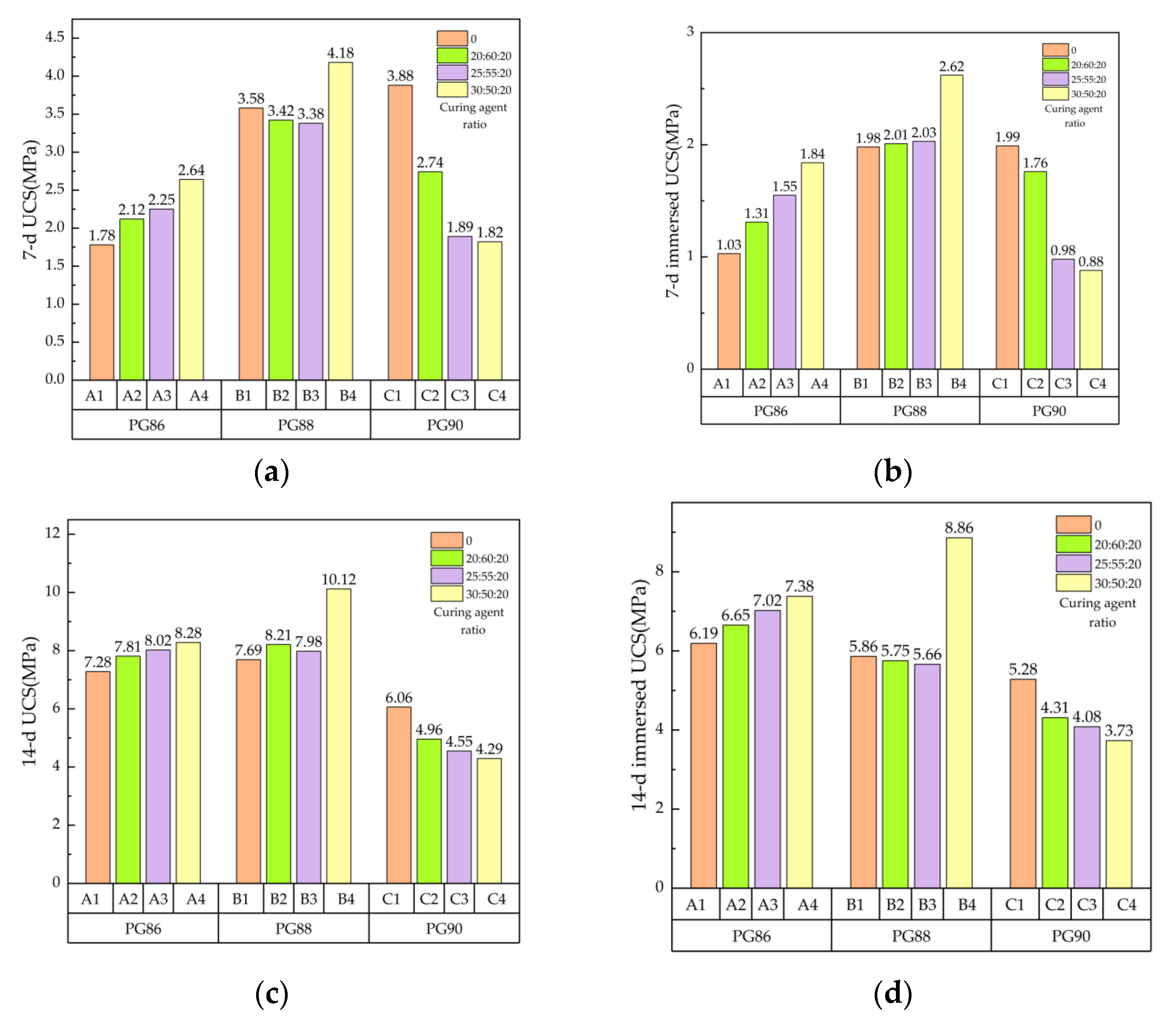
Analysis of 7-d curing data according to Figure 6: Compared with the un-immersed 7-d UCS, a plunge was noticed for the UCS of the immersed group. In the case of a 86% phosphogypsum content, the 7-d UCSs of A2–A4 with curing agents added all surpass that of A1 without curing agent, with a rise of 21%, 90% and 128%, respectively, fulfilling the basic requirement of > 2 MPa. Moreover, alongside the enlarging waterproofing agent content in the curing agent, the 7-d UCSs of un-immersed and immersed samples follow an upward trend. This conveys that the waterproofing agent is capable of motivating cement hydration, increasing hydration products, and intensifying sample strength [32]. When the phosphogypsum content is 88%, the strengths of B2-B4 with curing agents added abide by a “decreasing then increasing” trend, with changes of −5%, −7% and 14%, respectively. Overall, these minor strength variations are relatively average, unanimously conforming to the 2 MPa required for subgrade materials. The 7-d UCSs of the immersed and un-immersed B3 groups outperform those of the other three groups. When the phosphogypsum content is 90%, the strength follows a one-sided trend. C2-C4 are all inferior to C1 without curing agent, with declines of 29%, 51% and 53%, while the 7-d UCSs of un-immersed and immersed samples display a negative correlation with the content of waterproofing agent. This might be due to the fact that excessive phosphogypsum and waterproofing generate more bubbles during the reaction. These bubbles disrupt the compactness of the sample structure, resulting in more pores inside and thereby reducing the strength of the samples [33]. Intriguingly, in the groups without curing agents, it is deduced that the 7-d UCS is the highest for group A1, and the lowest for group C1, but the reality is just the opposite situation. Taking into account the influence of curing agent content on phosphogypsum, this study speculates that the strength is provided by the early cement hydration reaction in the case of a phosphogypsum content of 86%, which may grow slowly. When the content ascends to 88% or 90%, the strength depends chiefly on physical compaction.
Analysis of 14-d curing data according to Figure 6: By comparison, the strength at 14-d of curing is dramatically superior over that at 7-d, conceivably because the sodium silicate furnishes an alkaline environment, and the generation of C-S-H and AFt (ettringite) from cement hydration requires a certain time. Meanwhile, the GGBS plays a vital role in developing strength in the middle and late periods. By alleviating the mid–term strength attenuation provoked by the micro-expansion of phosphogypsum, it provides a higher degree of hydration within the system in the later stage, and yields more hydration product precipitates to fill the internal pores, thereby attaining a denser structure and more robust strength.
From the Figure 7, we can see that the 14-day softening coefficient is sharply higher than that at 7-d. This is because the active components in the waterproofing agent give rise to insoluble calcium silicate crystals, engendering a waterproof film on the surface to prevent water from infiltrating into the interior, which augments the resistance against water intrusion. By contemplating mechanical strength and water stability, when the phosphogypsum content is 88%, the cement-to-GGBS ratio is 1:1 and the curing agent ratio of “waterproofing agent:sodium silicate:bentonite = 30:50:20” is the optimal mix ratio.

3.3.2. Analysis of Mix Ratio 2

Likewise, the data of mix ratio 2 were plotted to obtain Figure 8 and Figure 9.
Similarly, through the analysis of Figure 8 and Figure 9, it can be seen that in the event of a 7:3 cement-to-GGBS ratio, the lower the phosphogypsum content and the higher the cement content, the higher the 7 and 14-d UCSs—which is aligned with the general law. For groups with phosphogypsum contents of 88% and 90%, the higher the content of waterproofing agent, the lower the UCS. When the phosphogypsum content is 86% and the cement-to-GGBS ratio is 7:3, the curing agent ratio of “waterproofing agent:sodium silicate:bentonite = 25:55:20” is the optimal mix ratio.

3.4. Micro-Analysis

Figure 10 illustrates the XRD patterns and mineral components of the test samples. The predominant mineral components consist of gypsum, ettringite, quartz and C-S-H gel. Among these, gypsum holds the highest content, followed by ettringite, on account of the high phosphogypsum content in the samples. Ettringite is deemed as a cement hydration product. Under the activation of sodium silicate, part of the gypsum is converted into ettringite through the hydration reaction, while residual crystals comprise the remaining. Quartz represents a mineral contained in the raw materials. The observed peak of C-S-H gel is approximately at 28.63° (2θ), which is analogous to the results gained by Guo et al. [34]. C-S-H gel reinforces the strength of the material and ensures a denser structure.
The specimens were observed via SEM (TESCAN MIRA4, Czech Republic). The SEM images acquired are presented in Figure 11. Figure 11a depicts that at 3-d, phosphogypsum produced flaky or columnar gypsum crystal bonding under physical compaction. In view of Figure 11b, honeycomb-like gel substances were generated at 7-d in the system with a complete structure but small quantity, while a small amount of fine acicular ettringite adhered to the surface of gypsum crystals. As deduced from Figure 11c,d), in an alkaline environment, the active components (e.g., SiO2, Al2O3 and CaO) in raw materials dissociated and progressively formed a composite system of porous honeycomb gel substances and acicular ettringite crystals by means of ion migration and recombination. These hydration products increased with the extending curing period, which accomplished a more compact structure. Meanwhile, the formation of small round-shaped particles can be seen in Figure 11d, which is prompted by both raw phosphogypsum powder waste and GGBS. It is known that mechanical strength improves when pores are filled with ground mineral additives and the specific surface area (SSA), which provides adhesion, increases [35]. A larger SSA value for a fine powder may give rise to stronger surface resistance, and smaller particles may cause large amounts of van der Waals forces of attraction (adhesion). Better chemical activity occurs with smaller particle size/d-value and higher SSA value. This improves properties such as compressive strength, flexural strength, and water resistance [36]. C-S-H gel polymerized to produce flocculent aggregates through cementation, adhering to the surface of gypsum crystal particles together with acicular ettringite. A myriad of gel aggregates gradually covered and wrapped the gypsum particles by bonding on their surface, engendering a new gel bonding layer by overlapping the gel coating layers, while the aggregates with gradient particle sizes originating from multiple overlaps of the gel coating layers spawned a three-dimensional spatial skeleton through topological interlocking. The gypsum crystals not completely wrapped filled the skeleton gaps in a dense packing form, whereas the ettringite filled the submicron pores between crystals by means of ordered arrangement, ultimately creating a multiscale synergistic dense composite structure.
According to Figure 12, Al and Si in the GGBS, particularly Al, can experience an array of reactions with raw materials under the alkali excitation of cement, so that ettringite crystals are generated [37]. Along with the enlarging cement content in the sample, the hydration product—ettringite also increases, and the micro-expansion of ettringite may renders the structural system more compact.

4. Conclusions

In this study, the single-factor experimental method was exploited to delve into the macro-performance mix ratio and UCS at ages of high-volume phosphogypsum subgrade materials. Two phosphogypsum subgrade materials with varying mix ratios were optimized. The macroscopic physical property tests and microscopic experiments revealed the curing mechanism of cement-GGBS curing agent stabilizing phosphogypsum subgrade materials. The chief conclusions are elucidated as follows:
  • The addition of inorganic materials notably boosts the strength of high-volume phosphogypsum materials. By controlling a single variable, alongside a 86% dosage of phosphogypsum and a 7:3 ratio of cement to GGBS, the ratio of waterproofing agent:sodium silicate:bentonite in the curing agent is 5:11:4. When the dosage of phosphogypsum is 88% and the ratio of cement to GGBS is 1:1, the ratio is 3:5:2. Both the mechanical strength and water stability performance of the specimens were commendable and met the requirement of a 7-d UCS greater than 3.5 MPa in the Modified Phosphogypsum for Road Engineering JT/T 1551-2025 [38].
  • In the case of a relatively low dosage of phosphogypsum (86%), the more waterproofing agent in the curing agent, the more prominent the augmentation in material strength. When the dosage of phosphogypsum is moderate (88%), the curing agent fails to reinforce the strength dramatically. Only when the dosage of the waterproofing agent is relatively high, does the strength intensifies. If the dosage of phosphogypsum is relatively high (90%), the curing agent exerts a negative impact on the strength, and the more waterproofing agent there is, the more unfavorable it is for the strength;
  • Unlike pure cement systems, relying on the GGBS to partially substitute cement guarantees a higher degree of hydration within the system for the later strength development, and yields more hydration products to fill the internal pores, which renders the structure more compact, and is in agreement with the results gained by Terzi et al. [39]. Such a measure also cuts costs, and highlights economic benefits. However, excessive addition of the GGBS provokes slow growth in the early strength of cement, resulting in the material’s subpar strength.
  • By XRD and SEM-EDS analysis, the hydration products of the test samples are detected as C-S-H gels and ettringite crystals. The strength improvement of high-volume phosphogypsum materials stems from the formation of a composite system of gypsum, C-S-H gel and ettringite crystals.
  • To deepen the research, future efforts can be invested into exploring the impact of long-term service environments (e.g., freeze–thaw cycles and dry-wet alternations) on the performance of high-volume phosphogypsum materials. Meanwhile, more efficient inorganic curing agent compounding schemes can be developed to refine the formation ratio of C-S-H gel and ettringite, which better boosts the material strength.

Author Contributions

Formal analysis, Writing—original draft, Writing—review and editing, H.W.; validation, investigation, data curation, D.K.; supervision, funding acquisition, F.X.; methodology, data curation, S.P.; software, supervision, F.Y. All authors have read and agreed to the published version of the manuscript.

Funding

This research was funded by the research project of China Construction Corporation, grant number CSCEC-2023-Z-20 and the science and Technology Project of Hubei Transportation Department, grant number 2024-81-1-7.

Institutional Review Board Statement

Not applicable.

Informed Consent Statement

Not applicable.

Data Availability Statement

The data presented in this study are available on request from the corresponding author.

Acknowledgments

The phosphogypsum raw material used in this work was supported by the China Hubei Xiangyun Chemical Co., Ltd.

Conflicts of Interest

The authors declare no conflicts of interest.

References

  1. Ding, H.; Sun, X.L.; Liu, W.H.; Zhang, Z.C.; Zhang, W.; Song, B.Y. Experimental study on engineering properties of solidified dredged silt as subgrade material. Civ. Build. Environ. 2017, 39, 11–18. [Google Scholar]
  2. Wu, J.; Zheng, X.Y.; Yang, A.W.; Li, Y.B. Experimental study on compressive strength of solidified mucky clay by slag-fly ash geopolymer. Geotech. Mech. 2021, 42, 647–655. [Google Scholar]
  3. Yang, J.; Liu, W.; Zhang, L.; Xiao, B. Preparation of load-bearing building materials from autoclaved phosphogypsum. Constr. Build. Mater. 2009, 23, 687–693. [Google Scholar] [CrossRef]
  4. Niu, X.K.; Ma, L.P.; Hou, J.; Zheng, S.C.; Xu, W.J.; Chen, Y.H. Reaction of phosphogypsum chemical thermodynamic analysis for the decomposition. J. Wuhan Univ. Technol. (Transp. Sci. Eng.) 2012, 36, 603–607. [Google Scholar]
  5. Oubaha, S.; El Machi, A.; Mabroum, S.; Taha, Y.; Benzaazoua, M.; Hakkou, R. Recycling of phosphogypsum and clay by-products from phosphate mines for sustainable alkali-activated construction materials. Constr. Build. Mater. 2024, 411, 134262. [Google Scholar] [CrossRef]
  6. Pliaka, M.; Gaidajis, G. Examination of the environmental behavior of phosphogypsum with the application of lab-scale experiment. J. Environ. Sci. Health Part A 2023, 58, 706–714. [Google Scholar] [CrossRef]
  7. Cui, Y.; I-Shin, C.; Yang, S.; Yu, X.; Cao, Y.; Wu, J. A novel dynamic business model to quantify the effects of policy intervention on solid waste recycling industry: A case study on phosphogypsum recycling in Yichang, China. J. Clean. Prod. 2022, 355, 131779. [Google Scholar] [CrossRef]
  8. HJ 1415-2025; Ministry of Ecology and Environment. Technical Specification for Pollution Control of Utilization and Harmless Storage of Phosphogypsum. China Environmental Science Press: Beijing, China, 2025.
  9. Wu, F.H.; Ren, Y.C.; Qu, G.F.; Liu, S.; Chen, B.; Liu, X.; Zhao, C.; Li, J. Utilization path of bulk industrial solid waste: A review on the multi-directional resource utilization path of phosphogypsum. J. Environ. Manag. 2022, 313, 114957. [Google Scholar] [CrossRef]
  10. Wu, F.H.; Chen, B.J.; Qu, G.F.; Liu, S.; Zhao, C.; Ren, Y.; Liu, X. Harmless treatment technology of phosphogypsum: Directional stabilization of toxic and harmful substances. J. Environ. Manag. 2022, 311, 114827. [Google Scholar] [CrossRef] [PubMed]
  11. Qin, X.T.; Cao, Y.H.; Guan, H.W.; Hu, Q.; Liu, Z.; Xu, J.; Hu, B.; Zhang, Z.; Luo, R. Resource utilization and development of phosphogypsum-based materials in civil engineering. J. Clean. Prod. 2023, 387, 135858. [Google Scholar] [CrossRef]
  12. Wu, M.M.; Shen, W.G.; Xiong, X.; Zhao, L.; Yu, Z.; Sun, H.; Xu, G.; Zhao, Q.; Wang, G.; Zhang, W. Effects of the phosphogypsum on the hydration and microstructure of alkali activated slag pastes. Constr. Build. Mater. 2023, 368, 130391. [Google Scholar] [CrossRef]
  13. Maria, P.; Georgios, G. Potential uses of phosphogypsum: A review. J. Environ. Sci. Health. Part A Toxic/Hazard. Subst. Environ. Eng. 2022, 57, 11–18. [Google Scholar]
  14. Wang, P.; Jing, C.; Feng, W.L.; Tang, J.H.; Shi, W.H. Multi-component solid waste combined slag is used for water stability of asphalt pavement shrinkage characteristics of base course. Highw. Traffic Technol. 2023, 40, 9–16. [Google Scholar]
  15. Li, Z. Preparation and properties of modified phosphogypsum non-fired permeable brick. Highw. Transp. Technol. 2022, 39, 49–54. [Google Scholar]
  16. Li, Y.H. Experimental Study on Application of Phosphogypsum in Lime-fly Ash Base. Jiangsu Build. Mater. 1999, 4, 8–10. [Google Scholar]
  17. Liu, Y.T.; Zhang, D.R.; You, L.Y.; Luo, H.; Xu, W. Recycling phosphogypsum in subbase of pavement: Treatment, testing, and application. Constr. Build. Mater. 2022, 342, 127948. [Google Scholar] [CrossRef]
  18. Ke, G.G.; Xia, Z.Q.; Luo, H.; Xiong, K.W.; Xie, L.P.; Ou, Y.F. Road use of calcined phosphogypsum modified phosphogypsum waste Performance. J. Civ. Eng. Manag. 2018, 35, 58–64. [Google Scholar]
  19. Wu, S.P.; Shen, W.G.; Zhou, M.K.; Zhang, Q.L. Study on Phosphogypsum Fly Ash Lime Consolidation Material. Chin. J. Highw. 2001, 15–17. [Google Scholar] [CrossRef]
  20. Zhang, H.J.; Zong, W.; Qu, H. Application of industrial solid waste phosphogypsum in highway pavement overhaul project. Highw. Eng. 2023, 48, 98–101, 107. [Google Scholar] [CrossRef]
  21. HJ 557-2010; Ministry of Ecology and Environment of the People’s Republic of China. Solid Waste—Extraction Procedure for Leaching Toxicity—Horizontal Vibration Method. China Environmental Science Press: Beijing, China, 2010.
  22. Zheng, P.K.; Li, W.T.; Ma, Q.; Xi, L. Mechanical properties of phosphogypsum-soil stabilised by lime activated ground granulated blast-furnace slag. Constr. Build. Mater. 2023, 402, 132994. [Google Scholar] [CrossRef]
  23. Zhao, Y.; Shi, M.L. Regeneration of phosphogypsum mixture. Geotech. Mech. 2007, 28, 98–102. [Google Scholar] [CrossRef]
  24. Li, D.D.; Cheng, Y.; Li, D.G.; Wei, D.X.; Wang, J.H.; Shen, J. Performance research and engineering application of high-volume phosphogypsum subgrade filler. New Build. Mater. 2024, 51, 51–61. [Google Scholar]
  25. GB/T 1346-2011; General Administration of Quality Supervision, Inspection and Quarantine of the People’s Republic of China. Test Method for Fluidity of Cement Mortar. China Standard Press: Beijing, China, 2011.
  26. JTG 3441-2024; Ministry of Transport of the People’s Republic of China. Test Procedures for Inorganic Binder Stabilised Materials in Highway Engineering. People’s Transportation Publishing House: Beijing, China, 2024.
  27. JGJ/T70-2009; Ministry of Housing and Urban-Rural Development of the People ‘s Republic of China. Test Method Standard for Basic Properties of Building Mortar. China Construction Industry Press: Beijing, China, 2009.
  28. GB/T 2419-2005; General Administration of Quality Supervision, Inspection and Quarantine of the People’s Republic of China. Test Method for Fluidity of Cement Mortar Test Standard. China Standard Press: Beijing, China, 2005.
  29. GB/T 17671-2021; State Administration for Market Regulation. Test Method for Strength of Cement Mortar (ISO Method). China Standard Press: Beijing, China, 2021.
  30. Wang, Q.; Li, T.R.; Zhang, Q.; Kang, S.R.; Wang, G.Y. Study on the effect of alkaline activator on the hydration properties of geopolymer cement with different calcium-containing systems. Concrete 2021, 4, 1–4. [Google Scholar]
  31. Ran, Y.; Zhou, C.H.; Gao, Y.; Jiang, X.; Huang, Z.Y.; Li, S.K. Effect of nano-C-S-H gel on the properties of shotcrete. Sci. Technol. Eng. 2024, 24, 13978–13982. [Google Scholar]
  32. Wang, D.; Zhang, Y.Q.; Zeng, C.H.; Liu, X.R. Performance study and microscopic analysis of cementitious capillary crystalline waterproofing agent. New Build. Mater. 2008, 2, 77–80. [Google Scholar]
  33. Hu, W.W.; Yang, Z.C.; Xu, L.X.; Zhang, H.F.; Wang, X.Z. Study on mix design and performance of cement-based permeable crystalline waterproofing agent. China Building Waterproofing. 2025, 5, 10–14. [Google Scholar] [CrossRef]
  34. Guo, X.L.; Shi, H.S.; Dick, W.A. Compressive strength and microstructural characteristics of class C fly ash geopolymer. Cem. Concr. Compos. 2009, 32, 142–147. [Google Scholar] [CrossRef]
  35. Cuma, K.; Sezai, K.; Tuba, K. Improvement of the durability of concrete by substitution of raw ground colemanite. Case Stud. Constr. Mater. 2023, 19, e02393. [Google Scholar] [CrossRef]
  36. Sezai, K. Morphology, Crystal Structure and Thermal Properties of Nano-Sized Amorphous Colemanite Synthesis. Arab. J. Sci. Eng. 2024, 49, 11699–11716. [Google Scholar] [CrossRef]
  37. Peng, J.H.; Lou, Z.H. Study on the formation mechanism of ettringite. J. Silic. 2000, 6, 511–515. [Google Scholar] [CrossRef]
  38. JT/T 1551-2025; Ministry of Transport of the People ’s Republic of China. Modified Phosphogypsum for Road Engineering. China Communications Press: Beijing, China, 2025.
  39. Terzi, C.; Kutuk, S.; Sert, K.T. Influence of processed tea waste ash on the hydration products and mechanical property of hybrid cement as an eco-friendly solution. Waste Manag. 2025, 191, 242–252. [Google Scholar] [CrossRef] [PubMed]
Figure 1. XRD pattern of phosphogypsum.
Figure 1. XRD pattern of phosphogypsum.
Coatings 15 01040 g001
Figure 2. SEM image of phosphogypsum raw materials.
Figure 2. SEM image of phosphogypsum raw materials.
Coatings 15 01040 g002
Figure 3. XRD pattern of cement.
Figure 3. XRD pattern of cement.
Coatings 15 01040 g003
Figure 4. Fitting curve of maximum dry density and optimal water content.
Figure 4. Fitting curve of maximum dry density and optimal water content.
Coatings 15 01040 g004
Figure 5. Three-d compressive and flexural strengths of building mortar.
Figure 5. Three-d compressive and flexural strengths of building mortar.
Coatings 15 01040 g005
Figure 6. Unconfined compressive strength (UCS) of samples under mix ratio 1: (a) 7-d UCS, (b) 7-d immersed UCS, (c) 14-d UCS, and (d) 14-d immersed UCS.
Figure 6. Unconfined compressive strength (UCS) of samples under mix ratio 1: (a) 7-d UCS, (b) 7-d immersed UCS, (c) 14-d UCS, and (d) 14-d immersed UCS.
Coatings 15 01040 g006
Figure 7. Softening coefficients of the mix ratio 1 group.
Figure 7. Softening coefficients of the mix ratio 1 group.
Coatings 15 01040 g007
Figure 8. Unconfined compressive strength (UCS) of samples under mix ratio 2: (a) 7-d UCS, (b) 7-d immersed UCS, (c) 14-d UCS, and (d) 14-d immersed UCS.
Figure 8. Unconfined compressive strength (UCS) of samples under mix ratio 2: (a) 7-d UCS, (b) 7-d immersed UCS, (c) 14-d UCS, and (d) 14-d immersed UCS.
Coatings 15 01040 g008
Figure 9. Softening coefficients of the mix ratio 2 group.
Figure 9. Softening coefficients of the mix ratio 2 group.
Coatings 15 01040 g009
Figure 10. XRD patterns of test samples.
Figure 10. XRD patterns of test samples.
Coatings 15 01040 g010
Figure 11. SEM images of test samples: (a) Flaky PG (phosphogypsum) at 3-d, (b) C-S-H gel at 7-d, (c) composite system of C-S-H and acicular ettringite at 7-d, (d) composite system of C-S-H and acicular ettringite at 14-d.
Figure 11. SEM images of test samples: (a) Flaky PG (phosphogypsum) at 3-d, (b) C-S-H gel at 7-d, (c) composite system of C-S-H and acicular ettringite at 7-d, (d) composite system of C-S-H and acicular ettringite at 14-d.
Coatings 15 01040 g011
Figure 12. SEM and EDS images and of test samples: (a) cement:GGBS=1:1; (b) cement:GGBS=7:3.
Figure 12. SEM and EDS images and of test samples: (a) cement:GGBS=1:1; (b) cement:GGBS=7:3.
Coatings 15 01040 g012
Table 1. Chemical composition of phosphogypsum, cement and GGBS (wt.%).
Table 1. Chemical composition of phosphogypsum, cement and GGBS (wt.%).
MaterialSiO2CaOAl2O3SO3Fe2O3MnOMgOTiO2Na2OK2OP2O5LOIFCrystalline Water
Phosphogypsum9.7639.161.2046.710.09----0.01----0.22----0.75----Trace18.10
Cement18.7264.214.663.823.67----1.920.350.100.95----------------
GGBS33.8532.7513.82.160.330.2311.960.680.50.350.043.12--------
Table 2. Screening results of phosphogypsum raw materials.
Table 2. Screening results of phosphogypsum raw materials.
GroupTotal Mass (g)Particle Size Category (mm)d < 0.080.08 ≤ d < 22 ≤ d < 4.75d ≥ 4.75
Original 1405.4Screening mass (g)114.896.6113.380.6
Screening percentage (%)28.3223.8427.9519.89
Cumulative percentage (%)28.3252.1680.11100.00
Original 2468.2Screening mass (g)80.8152.3163.871.3
Screening percentage (%)17.2632.5334.9815.23
Cumulative percentage (%)17.2649.7984.77100.00
Original 3570.3Screening mass (g)68.0241.1175.585.7
Screening percentage (%)11.9342.2830.7715.02
Cumulative percentage (%)11.9354.2184.98100.00
Original avg.481.3Screening mass (g)87.6163.2151.279.3
Screening percentage (%)18.2133.9131.4216.46
Cumulative percentage (%)18.2152.1283.54100.00
Table 3. Cement testing technical indicators.
Table 3. Cement testing technical indicators.
IndicatorResult
Initial setting timeSatisfied
Final setting timeSatisfied
SoundnessSatisfied
3-d compressive strengthSatisfied
3-d flexural strengthSatisfied
Table 4. Mix ratio of raw materials for compaction test (wt.%).
Table 4. Mix ratio of raw materials for compaction test (wt.%).
GroupPhosphogypsumCementGGBSDosage of Curing Agent
A866.56.50
B886.56.50.5
C907.03.00
D925.62.40.5
Table 5. Parameters of light compaction test.
Table 5. Parameters of light compaction test.
TypeTest Bucket SizeSample SizeNumber of LayersNumber of Blows Per Layer
Light compactionInner diameter (cm)Height (cm)Height (cm)Volume (cm3)327
10.012.712.7997.0
Table 6. Mix ratio of raw materials for compressive and flexural strength test.
Table 6. Mix ratio of raw materials for compressive and flexural strength test.
GroupW/C Ratio (kg/kg)CCCW (wt.%)Sodium Silicate (Modulus)Bentonite (wt.%)
10.502060% (2.0)20
20.602060% (2.0)20
3 (A1)0.652060% (2.0)20
4 (A2)0.653050% (2.0)20
5 (A3)0.654040% (2.0)20
6 (CK)0.65000
7 (B1)0.652060% (2.8)20
8 (B2)0.653050% (2.8)20
9 (B3)0.654040% (2.8)20
Table 7. Mix ratio design 1 of full-powder phosphogypsum system.
Table 7. Mix ratio design 1 of full-powder phosphogypsum system.
GroupCement:GGBSPhosphogypsum (wt.%)Curing Agent Ratio (Waterproofing Agent:Sodium Silicate:Bentonite)
A11:1860
A220:60:20
A325:55:20
A430:50:20
B1880
B220:60:20
B325:55:20
B430:50:20
C1900
C220:60:20
C325:55:20
C430:50:20
Table 8. Mix ratio design 2 of full-powder phosphogypsum system.
Table 8. Mix ratio design 2 of full-powder phosphogypsum system.
Group
Cement:GGBSPhosphogypsum (wt.%)Curing Agent Ratio (Waterproofing Agent:Sodium Silicate:Bentonite)
D17:38620:60:20
D225:55:20
D330:50:20
E18820:60:20
E225:55:20
E330:50:20
F19020:60:20
F225:55:20
F330:50:20
Table 9. Test results of the cement:GGBS = 1:1 group.
Table 9. Test results of the cement:GGBS = 1:1 group.
Group7-d (MPa)7-d Immersed (MPa)Softening Coefficient (MPa/MPa)14-d (MPa)14-d Immersed (MPa)Softening Coefficient (MPa/MPa)
A11.781.030.587.286.190.85
A22.121.310.627.816.650.85
A32.251.550.698.027.020.88
A42.641.840.708.287.380.89
B13.581.980.567.695.860.76
B23.422.010.598.215.750.70
B33.382.030.607.985.660.71
B44.182.620.6310.128.860.88
C13.881.990.516.065.280.87
C22.741.760.644.964.310.87
C31.890.980.524.554.080.90
C41.820.880.484.293.730.87
Table 10. Test results of the cement:GGBS = 7:3 group.
Table 10. Test results of the cement:GGBS = 7:3 group.
Group7-d (MPa)7-d Immersed (MPa)Softening Coefficient (MPa/MPa)14-d (MPa)14-d Immersed (MPa)Softening Coefficient (MPa/MPa)
D13.662.320.636.785.810.86
D23.853.180.838.877.750.87
D33.842.730.717.276.590.91
E12.842.340.827.466.180.83
E22.672.560.967.035.870.83
E32.552.320.916.425.420.84
F12.481.850.757.375.530.75
F22.411.690.706.445.110.79
F32.571.870.734.533.320.73
Disclaimer/Publisher’s Note: The statements, opinions and data contained in all publications are solely those of the individual author(s) and contributor(s) and not of MDPI and/or the editor(s). MDPI and/or the editor(s) disclaim responsibility for any injury to people or property resulting from any ideas, methods, instructions or products referred to in the content.

Share and Cite

MDPI and ACS Style

Wang, H.; Kong, D.; Pan, S.; Yang, F.; Xu, F. High-Volume Phosphogypsum Road Base Materials. Coatings 2025, 15, 1040. https://doi.org/10.3390/coatings15091040

AMA Style

Wang H, Kong D, Pan S, Yang F, Xu F. High-Volume Phosphogypsum Road Base Materials. Coatings. 2025; 15(9):1040. https://doi.org/10.3390/coatings15091040

Chicago/Turabian Style

Wang, Heyu, Dewei Kong, Shaoyu Pan, Fan Yang, and Fang Xu. 2025. "High-Volume Phosphogypsum Road Base Materials" Coatings 15, no. 9: 1040. https://doi.org/10.3390/coatings15091040

APA Style

Wang, H., Kong, D., Pan, S., Yang, F., & Xu, F. (2025). High-Volume Phosphogypsum Road Base Materials. Coatings, 15(9), 1040. https://doi.org/10.3390/coatings15091040

Note that from the first issue of 2016, this journal uses article numbers instead of page numbers. See further details here.

Article Metrics

Back to TopTop