Effects of Tempering Temperature on the Microstructure and Mechanical Properties of Vanadium-Microalloyed Medium-Carbon Bainitic Steel
Abstract
1. Introduction
2. Materials and Methods
2.1. Experimental Materials
2.2. Microstructural and Mechanical Property Tested
3. Results and Discussion
3.1. Microstructure
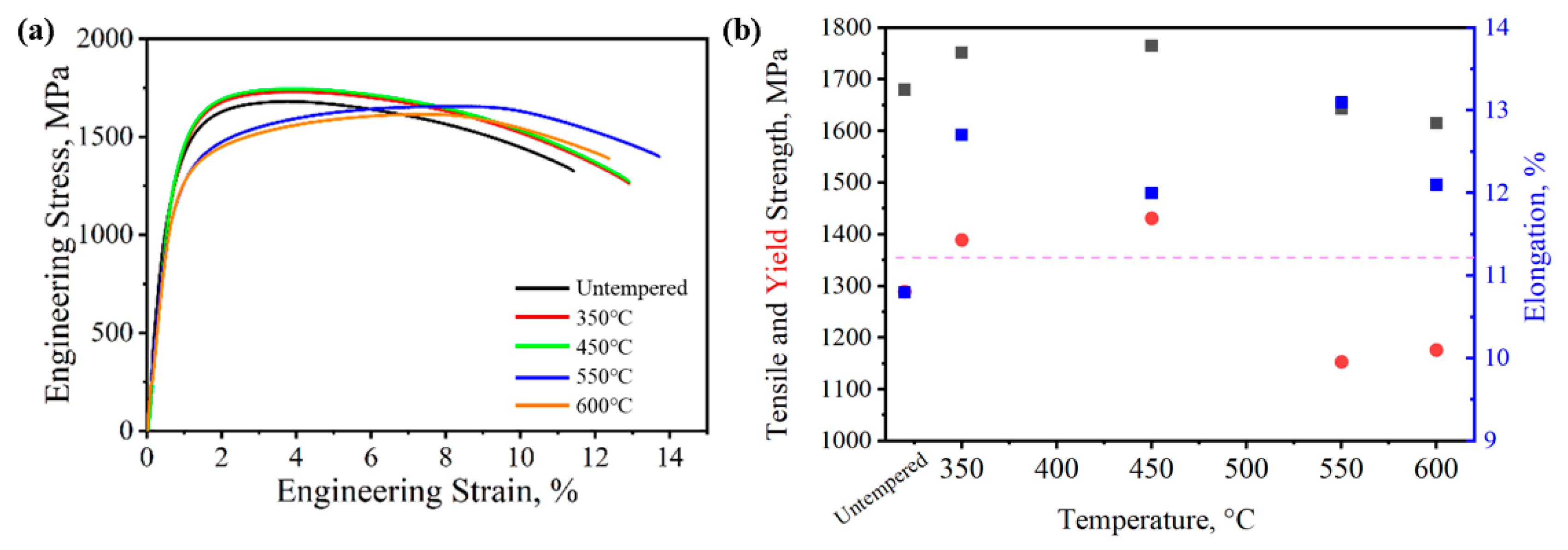
3.2. Mechanical Properties
3.3. Relationship Between Tempering Temperature and Microstructure
3.4. Relationship Between Microstructure and Mechanical Properties
4. Conclusions
- At 350–450 °C, RA begins to decompose, and carbides start to precipitate, while the BF lath structure remains relatively stable. At 550–600 °C, BF laths coarsen, and the boundaries become blurred. The typical bainitic structure gradually disappears, and a large number of fine granular carbides precipitate and coarsen. Higher tempering temperatures promote the decomposition of RA and the precipitation of carbides, reducing the stability of the bainitic structure;
- The tensile and yield strengths of tempered samples initially increase and then decrease with increasing tempering temperature. At 350–450 °C, both yield and tensile strengths increase due to the precipitation of nano-sized V-containing particles and the increased carbon content and stability of RA. At 550–600 °C, although V-containing particles continue to precipitate, the decomposition of RA and other factors lead to a decrease in strength. The elongation of tempered samples is higher than that of untempered samples due to the diffusion of carbon atoms from BF to RA and the reduction in dislocation density and retained stress in BF;
- The V-microalloyed medium carbon bainitic steel tempered at 450 °C exhibits the best combination of mechanical properties. At this temperature, the precipitation strengthening of V-containing particles, the increased stability of RA, and the synergistic effects of decomposition products achieve an ideal balance of strength, toughness, and hardness.
Author Contributions
Funding
Institutional Review Board Statement
Informed Consent Statement
Data Availability Statement
Conflicts of Interest
References
- Avishan, B. Transformation induced plasticity effect under tensile and compression stresses in nanostructured bainite. Mater. Sci. Eng. A 2018, 729, 362–369. [Google Scholar] [CrossRef]
- Song, H.; Hui, W.; Fang, B.; Zhang, Y.; Zhao, X.; Ren, S.; Duan, L.; Sun, Z. Effect of direct-quenching and tempering on hydrogen-induced delayed fracture resistance of high-strength bolt steel. J. Mater. Res. Technol. 2024, 32, 37–48. [Google Scholar] [CrossRef]
- Guo, H.; Fan, Y.P.; Feng, X.Y.; Li, Q. Ultrafine bainitic steel produced through ausforming-quenching process. J. Mater. Res. Technol. 2020, 9, 3659–3663. [Google Scholar] [CrossRef]
- Klemm-Toole, J.; Benz, J.; Thompson, S.W.; Findley, K.O. A quantitative evaluation of microalloy precipitation strengthening in martensite and bainite. Mater. Sci. Eng. A 2019, 763, 138145. [Google Scholar] [CrossRef]
- Liu, H.; Gao, H.; Chen, J.; Liu, R.; Zhang, Y.; Yin, Y.; Liu, H.; Fan, S.; Liu, H. Study of corrosion and failure mechanism of the galvanized steel pipes of meteorological tower serviced in the South China Sea. Eng. Fail. Anal. 2024, 167, 108933. [Google Scholar] [CrossRef]
- Feng, C.; Zhu, L.; Cheng, X.; Li, Z.; Gui, X.; Gao, G. Mechanistic role of vanadium microalloying in improving corrosion resistance of low carbon bainitic steel. J. Mater. Res. Technol. 2024, 33, 982–993. [Google Scholar] [CrossRef]
- Zhang, X.; Liu, S.; Wang, K.; Yan, L.; Wang, J.; Xia, Q.; Yu, H. Effect of vanadium microalloying on phase transformation and strengthening mechanism of 1000 MPa low carbon bainitic steel. Mater. Sci. Eng. A 2023, 884, 145578. [Google Scholar] [CrossRef]
- Lu, J.; Wang, S.; Yu, H.; Wu, G.; Gao, J.; Wu, H.; Zhao, H.; Zhang, C.; Mao, X. Structure-property relationship in vanadium micro-alloyed TRIP steel subjected to the isothermal bainite transformation process. Mater. Sci. Eng. A 2023, 878, 145208. [Google Scholar] [CrossRef]
- Wang, Z.; Hui, W.; Chen, Z.; Zhang, Y.; Zhao, X. Effect of vanadium on microstructure and mechanical properties of bainitic forging steel. Mater. Sci. Eng. A 2020, 771, 138653. [Google Scholar] [CrossRef]
- Liu, B.; Hui, W.; Xie, Z.; Zhang, Y.; Zhao, X. Effect of vanadium on fatigue performance of a bainitic forging steel. Int. J. Fatigue 2022, 167, 107398. [Google Scholar] [CrossRef]
- Wang, K.L.; Li, X.; Dong, X.J. Effect of Tempering Temperature on Mechanical Properties and Microstructures of 800MPa Mi-croalloy Low Carbon Bainitic Steel. Adv. Mater. Res. 2014, 893, 406–409. [Google Scholar] [CrossRef]
- Xu, Z.-B.; Hui, W.-J.; Wang, Z.-H.; Zhang, Y.-J.; Zhao, X.-L.; Zhao, X.-M. Mechanical properties of a microalloyed bainitic steel after hot forging and tempering. J. Iron Steel Res. Int. 2017, 24, 1085–1094. [Google Scholar] [CrossRef]
- Zhao, J.; Liu, D.; Li, Y.; Yang, Y.; Wang, T.; Zhou, Q. Microstructure and Mechanical Properties of Tempered Ausrolled Nanobainite Steel. Crystals 2020, 10, 573. [Google Scholar] [CrossRef]
- Luo, Y.; Peng, J.-M.; Wang, H.-B.; Wu, X.-C. Effect of tempering on microstructure and mechanical properties of a non-quenched bainitic steel. Mater. Sci. Eng. A 2010, 527, 3433–3437. [Google Scholar] [CrossRef]
- Kang, J.; Zhang, F.; Yang, X.; Lv, B.; Wu, K. Effect of tempering on the microstructure and mechanical properties of a medium carbon bainitic steel. Mater. Sci. Eng. A 2017, 686, 150–159. [Google Scholar] [CrossRef]
- Wang, X.; Liu, C.; Qin, Y.; Li, Y.; Yang, Z.; Long, X.; Wang, M.; Zhang, F. Effect of tempering temperature on microstructure and mechanical properties of nanostructured bainitic steel. Mater. Sci. Eng. A 2022, 832, 142357. [Google Scholar] [CrossRef]
- Guo, A.; Song, X.; Tang, J.; Yuan, Z. Effect of tempering temperature on the mechanical properties and microstructure of an cop-per-bearing low carbon bainitic steel. J. Univ. Sci. Technol. Beijing Miner. Metall. Mater. 2008, 15, 38–42. [Google Scholar]
- Zorgani, M.; Garcia-Mateo, C.; Jahazi, M. Microstructural evolution during tempering of an ausformed carbide-free low tem-perature bainitic steel. Mater. Des. 2021, 210, 110082. [Google Scholar] [CrossRef]
- Hasan, H.; Peet, M.; Avettand-Fènoël, M.-N.; Bhadeshia, H. Effect of tempering upon the tensile properties of a nanostructured bainitic steel. Mater. Sci. Eng. A 2014, 615, 340–347. [Google Scholar] [CrossRef]
- Liang, Z.; Wang, J.; Li, H.; Zhang, X.; Liu, C.; Sun, D.; Yang, Z.; Zhang, F. Microstructure evolution of V-containing low carbon ultra-fine bainitic steel during medi-um-temperature tempering and strengthening-toughening mechanism. Mater. Sci. Eng. A 2024, 901, 146566. [Google Scholar] [CrossRef]
- Narita, K. Physical Chemistry of the Groups IVa (Ti, Zr), Va (V, Nb, Ta) and the Rare Earth Elements in Steel. Trans. Iron Steel Inst. Jpn. 1975, 15, 145–152. [Google Scholar] [CrossRef]
- Królicka, A.; Radwański, K.; Ambroziak, A.; Żak, A. Analysis of grain growth and morphology of bainite in medium-carbon spring steel. Mater. Sci. Eng. A 2019, 768, 138446. [Google Scholar] [CrossRef]
- Lee, S.-I.; Lee, J.-M.; Kim, S.-G.; Song, Y.-B.; Kim, H.-K.; Shim, J.-H.; Hwang, B. Influence of austempering temperature on microstructure and mechanical properties of high-carbon nanostructured bainitic steels. Mater. Sci. Eng. A 2022, 848, 143334. [Google Scholar] [CrossRef]
- Klemm-Toole, J.; Benz, J.; Vieira, I.; Clarke, A.J.; Thompson, S.W.; Findley, K.O. Strengthening mechanisms influenced by silicon content in high temperature tempered martensite and bainite. Mater. Sci. Eng. A 2020, 786, 139419. [Google Scholar] [CrossRef]
- Ruiz-Jimenez, V.; Kuntz, M.; Sourmail, T.; Caballero, F.G.; Jimenez, J.A.; Garcia-Mateo, C. Retained Austenite Destabilization during Tempering of Low-Temperature Bainite. Appl. Sci. 2020, 10, 8901. [Google Scholar] [CrossRef]
- Avishan, B.; Garcia-Mateo, C.; Yazdani, S.; Caballero, F.G. Retained austenite thermal stability in a nanostructured bainitic steel. Mater. Charact. 2013, 81, 105–110. [Google Scholar] [CrossRef]
- Zhao, F.; Chen, P.; Xu, B.; Yu, Q.; Misra, R.D.K.; Wang, G.; Yi, H. Martensite transformation of retained austenite with diverse stability and strain partitioning during tensile deformation of a carbide-free Bainitic steel. Mater. Charact. 2021, 179, 111327. [Google Scholar] [CrossRef]







| Temperature/°C | Untempered | 350 | 450 | 550 | 600 |
|---|---|---|---|---|---|
| VRA/% | 12.95 | 10.37 | 12.87 | 3.75 | 5.02 |
| Heat Treatment °C | σ0.2, MPa | σb, MPa | δgt % | δ % | PSE, GPa% |
|---|---|---|---|---|---|
| Untempered | 1289 | 1680 | 3.3 | 10.8 | 18.1 |
| 350 | 1389 | 1752 | 6.2 | 12.7 | 22.3 |
| 450 | 1431 | 1765 | 4.0 | 12.0 | 21.2 |
| 550 | 1153 | 1643 | 8.6 | 13.1 | 21.5 |
| 600 | 1176 | 1615 | 7.7 | 12.1 | 19.5 |
Disclaimer/Publisher’s Note: The statements, opinions and data contained in all publications are solely those of the individual author(s) and contributor(s) and not of MDPI and/or the editor(s). MDPI and/or the editor(s) disclaim responsibility for any injury to people or property resulting from any ideas, methods, instructions or products referred to in the content. |
© 2025 by the authors. Licensee MDPI, Basel, Switzerland. This article is an open access article distributed under the terms and conditions of the Creative Commons Attribution (CC BY) license (https://creativecommons.org/licenses/by/4.0/).
Share and Cite
Geng, L.; Tian, Z.; Sun, D.; Feng, X.; Zhang, F. Effects of Tempering Temperature on the Microstructure and Mechanical Properties of Vanadium-Microalloyed Medium-Carbon Bainitic Steel. Coatings 2025, 15, 503. https://doi.org/10.3390/coatings15050503
Geng L, Tian Z, Sun D, Feng X, Zhang F. Effects of Tempering Temperature on the Microstructure and Mechanical Properties of Vanadium-Microalloyed Medium-Carbon Bainitic Steel. Coatings. 2025; 15(5):503. https://doi.org/10.3390/coatings15050503
Chicago/Turabian StyleGeng, Litang, Zhiwen Tian, Dongyun Sun, Xiaoyong Feng, and Fucheng Zhang. 2025. "Effects of Tempering Temperature on the Microstructure and Mechanical Properties of Vanadium-Microalloyed Medium-Carbon Bainitic Steel" Coatings 15, no. 5: 503. https://doi.org/10.3390/coatings15050503
APA StyleGeng, L., Tian, Z., Sun, D., Feng, X., & Zhang, F. (2025). Effects of Tempering Temperature on the Microstructure and Mechanical Properties of Vanadium-Microalloyed Medium-Carbon Bainitic Steel. Coatings, 15(5), 503. https://doi.org/10.3390/coatings15050503
