Next Article in Journal
Synergistic Corrosion Inhibition and UV Protection via TTA-Loaded LDH Nanocontainers in Epoxy Coatings
Previous Article in Journal
Effects of Tempering Temperature on the Microstructure and Mechanical Properties of Vanadium-Microalloyed Medium-Carbon Bainitic Steel
 
 
Font Type:
Arial Georgia Verdana
Font Size:
Aa Aa Aa
Line Spacing:
Column Width:
Background:
Article

Enhancement of Energy Storage Performance in NaNbO3-Modified BNT-ST Ceramics

1
Henan Key Laboratory of Nanocomposites and Applications, Huanghe Science and Technology College, Zhengzhou 450006, China
2
School of Electronic Information, Zhengzhou University of Light Industry, Zhengzhou 450001, China
3
Sensor R&D Center, Zhengzhou Winsen Electronics Technology Company Limited, Hanwei Electronics Group Corporation, Zhengzhou 450000, China
*
Authors to whom correspondence should be addressed.
Coatings 2025, 15(5), 504; https://doi.org/10.3390/coatings15050504
Submission received: 15 March 2025 / Revised: 14 April 2025 / Accepted: 21 April 2025 / Published: 23 April 2025

Abstract

Relaxor ferroelectrics based on sodium bismuth titanate (Bi0.5Na0.5TiO3, BNT) have attracted more interest recently as potential ecologically acceptable materials for pulse power technology because of their excellent full-energy storage capabilities. This paper formed (1 − x){0.97[0.98(BNT-ST)-0.02CN]-0.03AlN}-xNN ceramics through a traditional solid-state reaction process. It was noted that the incorporation of NaNbO3 enhances the property of energy storage by elevating the breakdown strength and causing the creation of an ergodic relaxation state. The effective energy storage density (Wrec) and the energy storage efficiency (η) are 1.09 J/cm3 and 85%, respectively. The breakdown field strength Eb reached 155 kV/cm at x = 40%. These ceramics have excellent temperatures and frequency stabilities from 0.5 to 50 Hz and 20 to 60 °C.

Graphical Abstract

1. Introduction

Lead-free piezoelectric ceramics based on Bi0.5Na0.5TiO3 (BNT) have been extensively exploited in aerospace, naval sonar, high-speed trains, and electronic products owing to their favorable piezoelectric and ferroelectric characteristics, together with their good environmental friendliness [1,2,3,4]. Relaxor ferroelectrics usually have a high dielectric constant and a slender hysteresis loop and have become a research hotspot in the field of energy storage materials [5,6,7,8].
Bi0.5Na0.5TiO3 (BNT) is an encapsulated crystal structure (ABO3) ferroelectric, where the A site is taken up by Na+1 and Bi3+ in a 1:1 ratio. In 1962, Buhrer [9] considered that the hybridization between the 6p orbital of Bi3+ and the 2p orbital of O2− in BNT gives it favorable ferroelectricity, which also makes the dielectric energy storage ceramics containing Bi have higher polarization. However, the hysteresis loop of an undoped BNT material is approximately rectangular, and the corresponding large leakage current and high residual polarization (Pr = 38 μC/cm2) are its fatal weaknesses in energy storage applications. The breakdown electric field has a direct correlation with the η, Wrec, as well as with the W of the dielectric constant of the dielectric material [10,11,12].
η = W rec W × 100 %
W rec = P m P r E dP upon   discharging
W = 0 P m E dP upon   charging
The primary approaches for the modification of energy storage ceramics based on BNT are as follows. On the one hand, doping boosts the breakdown field strength, raises the ∆P (PmPr), reduces the grain size, and raises the dielectric constant. On the other hand, by refining the preparation process to optimize the ceramic microstructure, a high Eb value can be obtained. The fabrication of various ceramic solid solutions based on BNTs is a frequent approach to enhancing the performance of BNTs in terms of energy storage. For instance, Zhao et al. [13] prepared an energy storage ceramic of sodium bismuth titanate-barium strontium titanate (BNT-SBT) with high-density energy storage and charging and discharging performance in a low electric field. Because of the improved relaxation and dielectric properties, the ceramic that was prepared had an η value of 87.5% and a Wrec value of 2.41 J/cm3 at 190 kV/cm. By combining antiferroelectric and relaxation characteristics, dielectric ceramics can simultaneously realize high density and energy storage efficiency. With this concept in mind, Zuo Ruzhong’s team [14] combined NaNbO3 (NN) with BNT to stabilize the high-temperature antiferroelectric P4bm phase in the relaxor ferroelectric BNT to RT. A large polarization difference (ΔP = 55 μC/cm2), an ultra-high Eb (680 kV/cm), and a record effective energy storage density (Wrec = 12.2 J/cm3) were acquired for 0.76NaNbO3-0.24(Bi0.5Na0.5)TiO3 bulk ceramics. Li et al. [15] chose antiferroelectric NaNbO3 (NN) to modify composition-optimized BNT-BST relaxor ferroelectric ceramics, and the prepared BNT-BST-NN showed strong relaxation characteristics. Due to the incorporation of NN, the polarization behavior is optimized, and an effective Wrec of 1.25 J/cm3 with superior cycle reliability and temperature stability is obtained. Higher fields led to the occurrence of an electric field-induced antiferroelectric–ferroelectric phase transition when La3+ and Ta5+ ions were added to the antiferroelectric AgNbO3 A/B sites by Li et al. [16]. Under an electric field of 540 kV/cm, the Ag0.94La0.02Nb0.8Ta0.2O3 ceramic produced a Wrec and η of 6.73 J/cm3 and 74.1%. With an enhanced hot quenching approach, Sun et al. [17] created BF-BT-AN ceramics that exhibit high relaxation properties and have MPB. The produced ceramics exhibit a Wrec of 2.11 J/cm3 and an η of 87.5%, respectively. At 25–150 °C, the ceramics have exceptional thermal stability, and even after 8 × 104 cycles of discharging and charging, they can still demonstrate strong energy storage capabilities.
In early works, BNT-ST was selected as the matrix, and the ion (Co0.5Nb0.5)4+ (CN) was introduced as the dopant to prepare lead-free BNT-ST-xCN ceramics. It has an η value of 72% and a maximum Wrec value of 0.80 J/cm3. Considering the typical antiferroelectric characteristics of NaNbO3, its AFE behavior is usually stabilized by chemical substitution with other components. The role of the ferroelectrically active ions Bi3+, Na+, and Ti4+ is to generate electric dipoles that are spatially correlated. [AO12] cube-octahedral primary frameworks can be expanded by the addition of Sr2+ with greater ionic radii, which displaces the ions and partially destroys the long-range structural ferroelectric domains [18,19]. Despite the high Pmax displayed by the BNT-ST ceramic, the large Pr still results in a low energy storage efficiency. Significant decreases in the coercive field (Ec) and Pr will result from the additional disruption of the macroscopic ferroelectric domains with the introduction of NN. The loss of polarization due to relaxation can be compensated via lone electrons in the Nb5+ and Na+ outer 5 s orbitals [20]. Moreover, NN’s large bandgap (approximately 3.58 eV) allows for improved insulation of the system, which raises the Eb [21]. According to the composition design mentioned above, we present NN as a dopant for (1 − x){0.97[0.98(BNT-ST)-0.02CN]-0.03AlN}-xNN ceramics in order to refine the grain size and improve relaxor behavior. The goal of this method is to increase η and Wrec in low-Eb situations. As a result, a number of ceramics free of lead were made with a composition of (1 − x){0.97[0.98(BNT-ST)-0.02CN]-0.03AlN}-xNN. These ceramics’ dielectric characteristics, relaxor behavior, microstructures, and energy storage capabilities, as well as their crystal structures, were all thoroughly investigated.

2. Materials and Methods

2.1. Synthesis of (1 − x){0.97[0.98(BNT-ST)-0.02CN]-0.03AlN}-xNN Ceramics

The (1 − x){0.97[0.98(BNT-ST)-0.02CN]-0.03AlN}-xNN (x = 0, 10%, 20%, 30%, and 40%) ceramics were produced by a conventional SSR process utilizing high-purity raw ingredients of TiO2, Na2CO3, Bi2O3, SrCO3, Co2O3, and Nb2O5. Following their weighing in line with the stoichiometric ratio of compositions, these raw materials were homogenized with ZrO2 balls in ethanol for 6 h. The dehydrated slurries underwent a two-hour calcination process at 850 °C and then were subjected to ball milling for 12 h. Eventually, the obtained mixture was dried. Afterward, the obtained powder was subjected to compression under a pressure of about 100 MPa into disks 10 mm in diameter. The disks were sintered in air at 1120 °C for 120 min and were placed in a mixture of the same materials to minimize the possibility of volatile element loss. Lastly, the ceramic surface was covered with silver electrodes for 30 min at 580 °C.

2.2. Characterization

These ceramics’ crystal structures were described employing XRD (D8-Advance, Bruker AXS Inc., Madison, Germany) with CuKα radiation. The microstructure and morphology were examined via SEM (Quanta FEG450, Frequency Electronics, Inc., Hillsboro, OR, USA). Energy spectrum analysis was carried out using an Inca X-Max 50 energy spectrometer produced by Oxford Instrumental Analysis Co., Ltd. A ferroelectric tester (RTI-LC Π, Radiant Technologies Inc., Burbank, CA, USA) coupled to a laser measuring system (MTI-2100,Hottinger Baldwin Messtechnik GmbH, Darmstadt, Germany) was employed to record the hysteresis loops for the polarization (P-E), along with strain (S-E) caused by an electric field.

3. Results and Discussion

The XRD patterns for the (1 − x){0.97[0.98(BNT-ST)-0.02CN]-0.03AlN}-xNN ceramics are demonstrated in Figure 1a. All of the ceramics present an encapsulated crystalline structure, and no second phases or impurities were found, which shows that NaNbO3 has fully entered the lattice of the 0.97[0.98(BNT-ST)-0.02CN]-0.03AlN ceramics, resulting in the stabilization of the solid solution [22]. In Figure 1b,c, the magnified XRD patterns from 39° to 41° and from 46.5° to 47.5° are exhibited, respectively. The results show that the (111) peak and (200) peak of NaNbO3-doped 0.97[0.98(BNT-ST)-0.02CN]-0.03AlN ceramics have obvious splitting, indicating that the tetragonal and rhombohedral phases coexist. It was also observed that the (200) and (111) diffraction peaks shifted to a lower angle with rising NaNbO3 content, suggesting that the volume of the unit cell grows and the lattice expands, which is attributed to the replacement of Nb5+ (0.69Å) with a smaller B site and a larger ionic radius for Ti4+ (0.605Å) [23,24]. The introduction of NN induces lattice stress by B-site doping and enhances local structural distortion, effectively decreasing coercive fields and residual polarization. Meanwhile, it suppresses the creation of ferroelectric ordered phases in the long range, broadens the dielectric peak temperature region, weakens the frequency dispersion effect, and considerably enhances the material’s dielectric stability over a wide range of temperatures. Moreover, the inclusion of NN facilitates the thinning of the polarization–electric field loop and boosts the breakdown field intensity by enhancing the polarization inversion barrier and regulating the oxygen vacancy concentration. Finally, it realizes the synergistic optimization of relaxor ferroelectricity and energy storage performance.
Figure 2 shows the surface morphology of the (1 − x){0.97[0.98(BNT-ST)-0.02CN]-0.03AlN}-xNN ceramics. Notably, when the content of NaNbO3 is 0, there are holes on the surface of the ceramic, but with the increase in NaNbO3, the holes on the surface of the ceramic gradually decrease and gradually show a dense microstructure. It is commonly recognized that Eb can be improved through declining the size of the grains and elevating the density [11,25]. It demonstrates how significantly the sintering characteristics of (1 − x){0.97[0.98(BNT-ST)-0.02CN]-0.03AlN}-xNN ceramics benefit with the addition of NaNbO3 [26,27,28,29,30].
To investigate the distribution of different elements in ceramics, EDS surface scanning was performed on 0.6{0.97[0.98(BNT-ST)-0.02CN]-0.03AlN}-0.4NN ceramics, and the findings are presented in Figure 3. From the figure, it can be observed that all of the elements are uniformly distributed.
Figure 4a gives the P-E curves of (1 − x){0.97[0.98(BNT-ST)-0.02CN]-0.03AlN}-xNN ceramics at room temperature, 110kV/cm, and 10Hz. Obviously, all (1 − x){0.97[0.98(BNT-ST)-0.02CN]-0.03AlN}-xNN ceramics exhibit obvious ergodic relaxation characteristics and typical relaxation hysteresis loops. At x = 10%, the remanent polarization Pr and the coercive field Ec drop, and thereafter, they undergo slight changes as the concentration of NaNbO3 rises. The Pmax derived from the P-E curve is revealed in Figure 4b. The Pmax intensity reduces gradually as the content of NaNbO3 rises, from 27.85 μC/cm2 when x = 0 to 14.16 μC/cm2 when x = 40%. PNRs can polarize into ferroelectric domains to reach a saturation value of Pmax when an electric field is applied [31], but the PNR returns to a locally traversed relaxation state that minimizes Pr as the applied electric field totally removes the stochastic distribution of the PNRs [32]. Hence, the generation of PNRs elongates the P-E loop, amplifies the properties of the ferroelectric relaxor, and boosts the properties of Wrec.
The P-E curves for (1 − x){0.97[0.98(BNT-ST)-0.02CN]-0.03AlN}-xNN ceramics at the breakdown field strength, 10 Hz, and RT are illustrated in Figure 5a. The figure shows that with the addition of NN, the ferroelectric phase gradually transforms into the relaxation ferroelectric phase, the double hysteresis loop becomes thinner, and the residual polarization Pr decreases [33]. Figure 5b shows the breakdown field strength (Eb) at RT. It is evident from the figure that the Eb value of NaNbO3 is gradually elevated from 110 kV/cm for x = 0 to 155 kV/cm for x = 40%.
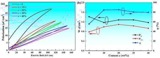
Figure 6a gives the unipolar P-E curve of (1 − x){0.97[0.98(BNT-ST)-0.02CN]-0.03AlN}-xNN ceramics at room temperature, 10 Hz, and the breakdown field strength. The rate of change of the ceramic polarization strength varied markedly in the electric field around 20 kV/cm. With the inclusion of NN, the P-E curve of the ceramic becomes more elongated. The total η, W, energy loss WL, and Wrec, which are determined by the unipolar hysteresis loop, are displayed in Figure 6b. The figure suggests that W first reduces and later enhances as the content of NaNbO3 rises then subsequently reduces. When x = 0, the maximum is 1.41 J/cm3, and when x = 10%, the minimum is 1.17 J/cm3, which is affected by the maximum polarization intensity and residual polarization intensity. The WL first decreases and then increases, and then decreases again. The maximum is 0.63 J/cm3 when x = 0, and the minimum is 0.18 J/cm3 when x = 10%. The η gradually enhances and subsequently reduces as the NaNbO3 content rises. The maximum is 85% when x = 20%, and the minimum is 56% when x = 0%. The Wrec is influenced by the polarization strength and hysteresis loop shape [34,35,36,37,38]. When x = 0, the minimum is 0.78 J/cm3, and the maximum is 1.09 J/cm3 at x = 20%.
In addition, the (1 − x){0.97[0.98(BNT-ST)-0.02CN]-0.03AlN}-xNN ceramic demonstrates improved η and Wrec values in contrast to other ceramics for lead-free energy storage when x = 20%, as illustrated in Figure 7. In particular, ceramics based on AN [39,40,41,42] and KNN [43,44] have relatively low η values but high Wrec values. However, while having relatively high η values, ceramics based on BNT [45,46,47] and BF [48,49,50,51] are still not able to reach the performance exhibited by the (1 − x){0.97[0.98(BNT-ST)-0.02CN]-0.03AlN}-xNN (x = 20%) ceramic. The (1 − x){0.97[0.98(BNT-ST)-0.02CN]-0.03AlN}-xNN (x = 20%) ceramic in this study outperforms the performance of previously reported high-performance systems based on BNT, with a remarkable η of 85% and a Wrec of 1.09 J/cm3.
Frequency stability is very important for dielectric energy storage ceramics. Good frequency stability can make energy storage ceramics work stably at different frequencies. The P-E curves and unipolar P-E curves of 0.7{0.97[0.98(BNT-ST)-0.02CN]-0.03AlN}-0.3NN ceramics at room temperature, 120 kV/cm, and different frequencies (0.5~50 Hz) are given in Figure 8a and Figure 8b, separately. It can be seen from the diagram that the maximum polarization intensity Pmax decreases slightly as the frequency rises, while the intensity of the residual polarization Pr remains almost unchanged. The total η, W, WL, and Wrec, which are determined by the unipolar hysteresis loop, are displayed in Figure 8c. The figure displays that there are only minor variations in the charging W, the Wrec, the WL, and the η at different frequencies. For example, W is 1.07 J/cm3 at 0.5 Hz and 0.88 J/cm3 at 50 Hz, and Wrec is 0.84 J/cm3 at 0.5 Hz and 0.74 J/cm3 at 50 Hz. The energy storage efficiency η is 78% at 0.5 Hz and 83% at 50 Hz. This indicates that 0.7{0.97[0.98(BNT-ST)-0.02CN]-0.03AlN}-0.3NN ceramics exhibit good frequency stability between 0.5 and 50 Hz.
Figure 9a,b present the P-E curves together with the monopole P-E curves of 0.7{0.97[0.98(BNT-ST)-0.02CN]-0.03AlN}-0.3NN ceramics at various temperatures (20~70 °C), 120 kV/cm, and 10 Hz, separately. The diagram presents that the maximum polarization intensity Pmax elevates slightly as the temperature rises, and the residual polarization intensity Pr remains almost unchanged. The total η, W, WL, and Wrec, which are determined by the unipolar hysteresis loop, are displayed in Figure 9c. The figure reveals that there are only minor variations in the W, Wrec, WL, and η at different temperatures. For example, at 20 °C and 70 °C, W is 0.90 and 1.06 J/cm3, separately. At 20 °C, Wrec is 0.74 J/cm3, while at 70 °C, it is 0.73 J/cm3. At 20 °C, the η is 82%, whereas at 60 °C, it is 72%, which changes within 10%, but decreases to 68% at 70 °C.

4. Conclusions

(1 − x){0.97[0.98(BNT-ST)-0.02CN]-0.03AlN}-xNN ceramics were produced via the solid-state reaction. A thorough investigation was conducted into the surface morphology, phase structure, energy storage characteristics, and ferroelectricity of these ceramics. The residual polarization of the BNT-ST is reduced by CN doping. In combination with AlN’s high breakdown field strength, the heterogeneous interface between the ternary composite system (BNT-ST-CN) and AlN forms a nanoscale stress field, which promotes the dynamic reconstruction of PNRs and realizes the simultaneous optimization of efficiency and energy storage density. The introduction of gradients in NN further strengthens the relaxation properties so that the polarization–electric field loop exhibits improved and excellent slender characteristics and effectively suppresses energy loss. The breakdown field strength Eb progressively rises from 110 kV/cm when x = 0 to 155 kV/cm when x = 40% as the NaNbO3 concentration increases. At the strength of the breakdown field, as the concentration of NaNbO3 grows, the η progressively rises and finally falls. The maximum is 85% when x = 20%, and the minimum is 56% when x = 0%. The Wrec is influenced by the polarization strength and hysteresis loop’s shape. When x = 0, the minimum is 0.78 J/cm3, and the maximum is 1.09 J/cm3 at x = 20%. The ceramics show good frequency stability and temperature stability between 0.5~50 Hz and 20~60 °C.
This work is currently in the experimental stage, and its key innovation is to synergistically regulate the polarization, temperature adaptability, frequency applicability, and other behaviors of relaxor ferroelectrics through multi-scale coupling effects, which presents a novel solution for high-power-density capacitors, enabling both a wide range of frequency and temperature adaptability and high-performance energy storage.

Author Contributions

Conceptualization, E.W. and Y.Z.; Methodology, E.W. and Y.Z.; Software, H.Y. and H.L.; Formal analysis, H.Y.; Investigation, H.G.; Resources, H.G. and J.L.; Data curation, H.G., H.Z., J.L. and T.Y.; Writing—original draft, E.W.; Writing—review and editing, M.G.; Visualization, H.L. and H.Z. All authors have read and agreed to the published version of the manuscript.

Funding

This study was supported financially by the Special Project of Zhengzhou Basic Research and Application Basic Research, grant numbers ZZSZX202106, ZZSZX202414, and ZZSZX202435; the Project of Henan Province Science and technology, grant numbers 232102221003 and 232102210183; and the Postgraduate Education Reform and Quality Improvement Project of Henan Province, grant number YJS2023JD67.

Institutional Review Board Statement

Not applicable.

Informed Consent Statement

Not applicable.

Data Availability Statement

The original contributions presented in this study are included in the article. Further inquiries can be directed to the corresponding author.

Conflicts of Interest

Author Haizhou Guo was employed by the company Zhengzhou Winsen Electronics Technology Company Limited, Hanwei Electronics Group Corporation. The remaining authors declare that the research was conducted in the absence of any commercial or financial relationships that could be construed as a potential conflict of interest.

References

  1. Bilal, M.K.; Bashir, R.; Asif, S.U.; Xie, J. Enhanced energy storage density and ultrahigh efficiency achieved in BNT-BST-NN relaxor ferroelectric through the introduction of nanodomains and grain size engineering. J. Energy Storage 2024, 97, 112841. [Google Scholar] [CrossRef]
  2. Khan, S.U.; Manan, A.; Ullah, A.; Qazi, I.; Rehman, M.U.; Khan, M.A.; Ahmad, A.S.; Muhammad, R.; Iqbal, Y. Dielectric, impedance, and energy storage properties of Bi (Mg0.5Sn0.5)O3 modified Bi0.5Na0.5TiO3 based ceramics. Int. J. Appl. Ceram. Technol. 2025, 22, e15030. [Google Scholar] [CrossRef]
  3. Fan, X.H.; Wang, J.; Yuan, H.; Zheng, Z.H.; Zhang, J.; Zhu, K.J. Multi-scale synergic optimization strategy for dielectric energy storage ceramics. J. Adv. Ceram. 2023, 12, 649–680. [Google Scholar] [CrossRef]
  4. Zhang, X.; Huang, Y.; Yang, S.; Liu, Y.; Chen, X.; Li, X.; Huang, F.; Zhou, H. Realizing high energy storage performance under low electric fields in Bi0.5Na0.5TiO3-based ceramics by introducing rare earth elements. J. Power Sources 2024, 624, 235548. [Google Scholar] [CrossRef]
  5. Dinh, T.H.; Tran, V.D.N.; Le Manh, T.; Lee, J.S. Effects of BaZrO3 on the phase evolution and energy storage capacities of BNT-based lead-free dielectric ceramics. J. Phys. Chem. Solids 2025, 198, 112462. [Google Scholar] [CrossRef]
  6. Aly, K.A.; Ismail, Y.A.; Alsubaie, A.S.; Mahmoud, A.E.R. High entropy induced superior weakly coupled relaxor phase and suppression interfacial polarization in (Bi0.3Na0.3Sr0.3Ba0.1)(Ti1-xNbx)O3 ceramics. Mater. Chem. Phys. 2025, 334, 130446. [Google Scholar] [CrossRef]
  7. Yan, Y.; Hui, J.; Wang, X.; Zhang, D.; Zhang, M.; Zhao, M.; Wan, M.; Jin, L.; Li, Z. Improvement of energy storage properties of BNT-based ceramics via compositional modification. Ceram. Int. 2024, 50, 48918–48930. [Google Scholar] [CrossRef]
  8. Li, C.; Wang, F.; Wang, H.; Wang, B.; Sun, X.; Peng, X.; Li, W.; Diao, C.; Zheng, H. Optimized energy storage properties of Bi0.5Na0.5TiO3-based lead-free ceramics by composition regulation. Ceram. Int. 2024, 50, 18454–18461. [Google Scholar] [CrossRef]
  9. Buhrer, C.F. Some properties of bismuth perovskites. J. Chem. Phys. 1962, 36, 798–803. [Google Scholar] [CrossRef]
  10. Guo, B.; Jin, F.; Li, L.; Pan, Z.Z.; Xu, X.W.; Wang, H. Design strategies of high-performance lead-free electroceramics for energy storage applications. Rare Met. 2024, 43, 853–878. [Google Scholar] [CrossRef]
  11. Ezzeldien, M.; Mohamed, W.S.; Al-Qaisi, S.; Ameen, I.G.; Mahmoud, A.E.R. Enhancement of energy storage and pyroelectric properties of (Na0.5Bi0.5)TiO3-SrTiO3-BaTiO3 ceramics by addition of (Ba0.9B0.1)TiO3 glass-phase. Phys. Scr. 2024, 99, 105935. [Google Scholar] [CrossRef]
  12. Che, Z.Y.; Ma, L.; Luo, G.G.; Xu, C.; Cen, Z.Y.; Feng, Q.; Chen, X.Y.; Ren, K.L.; Luo, N.N. Phase structure and defect engineering in (Bi0.5Na0.5)TiO3-based relaxor antiferroelectrics toward excellent energy storage performance. Nano Energy 2022, 100, 107484. [Google Scholar] [CrossRef]
  13. Zhao, X.; Li, C.; Liu, J.; Ding, Y.; Bai, W.; Zheng, P.; Li, P.; Zhang, J.; Zhai, J. (Bi0.5Na0.5)TiO3-based relaxor ferroelectrics with simultaneous high energy storage properties and remarkable charge-discharge performances under low working electric fields for dielectric capacitor applications. Ceram. Int. 2021, 47, 25800–25809. [Google Scholar] [CrossRef]
  14. Qi, H.; Xie, A.; Fu, J.; Zuo, R. Emerging antiferroelectric phases with fascinating dielectric, polarization and strain response in NaNbO3-(Bi0.5Na0.5)TiO3 lead-free binary system. Acta Mater. 2021, 208, 116710. [Google Scholar] [CrossRef]
  15. Li, D.; Li, Z.; Luo, W.; Song, F.; Wang, X.; Wang, Z.; Li, Y. Optimization of polarization behavior in (1−x)BSBN–xNN ceramics for pulsed power capacitors. J. Mater. Chem. C 2020, 8, 7650–7657. [Google Scholar] [CrossRef]
  16. Li, B.Y.; Yan, Z.N.; Zhou, X.F.; Qi, H.; Koval, V.; Luo, X.G.; Luo, H.; Yan, H.X.; Zhang, D. Achieving Ultrahigh Energy Storage Density of La and Ta Codoped AgNbO3 Ceramics by Optimizing the Field-Induced Phase Transitions. ACS Appl. Mater. Interfaces 2023, 15, 4246–4256. [Google Scholar] [CrossRef] [PubMed]
  17. Sun, H.; Wang, X.; Zhang, X.; Ma, Z.; Guo, M.; Sun, B.; Zhu, X.; Liu, Q.; Lou, X. Large energy storage density in BiFeO3-BaTiO3-AgNbO3 lead-free relaxor ceramics. J. Eur. Ceram. Soc. 2020, 40, 2929–2935. [Google Scholar] [CrossRef]
  18. Chen, X.; Zhang, D.; Liu, H.; Zhou, C.; Shen, M.; Liu, P.; Liu, X. Enhanced energy storage performance of BNT-ST based ceramics under low electric field via domain engineering. Ceram. Int. 2022, 48, 31381–31388. [Google Scholar] [CrossRef]
  19. Kornphom, C.; Saenkam, K.; Bongkarn, T. Enhanced Energy Storage Properties of BNT-ST-AN Relaxor Ferroelectric Ceramics Fabrication by the Solid-State Combustion Technique. Phys. Status Solidi 2023, 220, 2200240. [Google Scholar] [CrossRef]
  20. Shi, W.J.; Yang, Y.L.; Zhang, L.Y.; Jing, R.Y.; Hu, Q.Y.; Alikin, D.O.; Shur, V.Y.; Gao, J.H.; Wei, X.Y.; Jin, L. Enhanced energy storage performance of eco-friendly BNT-based relaxor ferroelectric ceramics via polarization mismatch-reestablishment and viscous polymer process. Ceram. Int. 2022, 48, 6512–6519. [Google Scholar] [CrossRef]
  21. Ning, Y.; Pu, Y.; Wu, C.; Zhou, S.; Zhang, L.; Zhang, J.; Zhang, X.; Shang, Y. Enhanced capacitive energy storage and dielectric temperature stability of A-site disordered high-entropy perovskite oxides. J. Mater. Sci. Technol. 2023, 145, 66–73. [Google Scholar] [CrossRef]
  22. Jia, W.X.; Hou, Y.D.; Zheng, M.P.; Xu, Y.R.; Yu, X.L.; Zhu, M.K.; Yang, K.Y.; Cheng, H.R.; Sun, S.h.Y.; Xing, J. Superior temperature-stable dielectrics for MLCC s based on Bi0.5Na0.5TiO3-NaNbO3 system modified by CaZrO3. J. Am. Ceram. Soc. 2018, 101, 3468–3479. [Google Scholar] [CrossRef]
  23. Qiao, X.S.; Zhang, X.S.; Wu, D.; Chao, X.L.; Yang, Z.P. Influence of Bi nonstoichiometry on the energy storage properties of 0.93KNN–0.07BixMN relaxor ferroelectrics. J. Adv. Dielectr. 2019, 08, 1830006. [Google Scholar] [CrossRef]
  24. Zhao, N.S.; Fan, H.Q.; Ma, J.W.; Ren, X.H.; Shi, Y.G.; Zhou, Y.Y. Large strain of temperature insensitive in (1-x)(0.94Bi0.5Na0.5TiO3-0.06BaTiO3)-xSr0.7La0.2TiO3 lead-free ceramics. Ceram. Int. 2018, 44, 11331–11339. [Google Scholar] [CrossRef]
  25. Panpho, P.; Charoonsuk, T.; Vittayakorn, N.; Bongkarn, T.; Sumang, R. Flexible hybrid piezo/triboelectric energy harvester based on a lead-free BNT-BT-KNN ceramic-polymer composite film. Ceram. Int. 2024, 50, 52041–52050. [Google Scholar] [CrossRef]
  26. Boonlakhorn, J.; Thongbai, P.; Putasaeng, B.; Yamwong, T.; Maensiri, S. Very high-performance dielectric properties of Ca1-3x/2YbxCu3Ti4O12 ceramics. J. Alloys Compd. 2014, 612, 103–109. [Google Scholar] [CrossRef]
  27. Sahu, R.K.; Asthana, S. Enhanced energy storage performance, breakdown strength, and thermal stability in compositionally designed relaxor Eu3+ substituted Na0.2K0.3Bi0.5TiO3. J. Energy Storage 2024, 91, 112020. [Google Scholar] [CrossRef]
  28. Ma, W.G.; Zhu, Y.W.; Marwat, M.A.; Fan, P.Y.; Xie, B.; Salamon, D.; Ye, Z.G.; Zhang, H.B. Enhanced energy-storage performance with excellent stability under low electric fields in BNT–ST relaxor ferroelectric ceramics. J. Mater. Chem. C 2019, 7, 281–288. [Google Scholar] [CrossRef]
  29. Wei, J.; Yang, T.Q.; Wang, H.S. Excellent energy storage and charge-discharge performances in PbHfO3 antiferroelectric ceramics. J. Eur. Ceram. Soc. 2019, 39, 624–630. [Google Scholar] [CrossRef]
  30. Zhao, L.; Liu, Q.; Zhang, S.; Li, J.F. Lead-free AgNbO3 anti-ferroelectric ceramics with an enhanced energy storage performance using MnO2 modification. J. Mater. Chem. C 2016, 4, 8380–8384. [Google Scholar] [CrossRef]
  31. Yang, Y.; Wang, H.; Bi, L.N.; Zheng, Q.J.; Fan, G.F.; Jie, W.J.; Lin, D.M. High energy storage density and discharging efficiency in La3+/Nb5+-co-substituted (Bi0.5Na0.5)0.94Ba0.06TiO3 ceramics. J. Eur. Ceram. Soc. 2019, 39, 3051–3056. [Google Scholar] [CrossRef]
  32. Wu, Y.; Wang, G.; Jiao, Z.; Fan, Y.; Peng, P.; Dong, X. High electrostrictive properties and energy storage performances with excellent thermal stability in Nb-doped Bi0.5Na0.5TiO3-based ceramics. RSC Adv. 2019, 37, 21355–21362. [Google Scholar] [CrossRef]
  33. Liu, X.; Tan, X. Giant strains in non-textured (Bi1/2Na1/2)TiO3-based lead-free Ceramics. Adv. Mater. 2016, 3, 574–578. [Google Scholar] [CrossRef]
  34. Qiao, X.S.; Wu, D.; Zhang, F.D.; Chen, B.; Zhao, X.M.; Liang, P.F.; Wei, L.L.; Chao, X.L.; Yang, Z.P. Enhanced energy density and thermal stability in relaxor ferroelectric Bi0.5Na0.5TiO3-Sr0.7Bi0.2TiO3 ceramics. J. Eur. Ceram. Soc. 2019, 39, 4778–4784. [Google Scholar] [CrossRef]
  35. Wu, L.; Tang, L.; Zhai, Y.; Zhang, Y.; Sun, J.; Hu, D.; Liu, J. Enhanced energy-storage performance in BNT-based lead-free dielectric ceramics via introducing SrTi0.875Nb0.1O3. J. Mater. 2022, 8, 537–544. [Google Scholar] [CrossRef]
  36. Zheng, Q.; Xie, B.; Tian, Y.; Wang, Q.; Luo, H.; Liu, Z.; Zhang, H. High recoverable energy density of Na0.5Bi0.5TiO3-based ceramics by multi-scale insulation regulation and relaxor optimization strategy. J. Mater. 2024, 10, 845–856. [Google Scholar] [CrossRef]
  37. Yang, J.; Zhu, X.; Wang, H.; Zhang, Y.; Guan, P.; Yan, S.; Zheng, M. Achieving outstanding energy storage behaviors via combinatorial optimization design in BNT-based relaxor ferroelectric ceramics under medium–low electric fields. J. Mater. Chem. C 2024, 12, 6479–6486. [Google Scholar] [CrossRef]
  38. Yang, J.; Ge, G.; Chen, C.; Shen, B.; Zhai, J.; Chou, X. Field-induced strain engineering to optimize antiferroelectric ceramics in breakdown strength and energy storage performance. Acta Mater. 2023, 257, 119186. [Google Scholar] [CrossRef]
  39. Luo, N.; Han, K.; Liu, L.; Peng, B.; Wang, X.; Hu, C.; Zhou, H.; Feng, Q.; Chen, X.; Wei, Y. Lead-free Ag1-3xLaxNbO3 antiferroelectric ceramics with high- energy storage density and efficiency. J. Am. Ceram. Soc. 2019, 102, 4640–4647. [Google Scholar] [CrossRef]
  40. Luo, N.; Han, K.; Zhuo, F.; Xu, C.; Zhang, G.; Liu, L.; Chen, X.; Hu, C.; Zhou, H.; Wei, Y. Aliovalent A-site engineered AgNbO3 lead-free antiferroelectric ceramics toward superior energy storage density. J. Mater. Chem. A 2019, 7, 14118–14128. [Google Scholar] [CrossRef]
  41. Li, S.; Nie, H.; Wang, G.; Xu, C.; Liu, N.; Zhou, M.; Cao, F.; Dong, X. Significantly enhanced energy storage performance of rare-earth-modified silver niobate lead-free antiferroelectric ceramics via local chemical pressure tailoring. J. Mater. Chem. C 2019, 7, 1551–1560. [Google Scholar] [CrossRef]
  42. Gao, J.; Zhang, Y.; Zhao, L.; Lee, K.; Liu, Q.; Studer, A.; Hinterstein, M.; Zhang, S.; Li, J. Enhanced antiferroelectric phase stability in La-doped AgNbO3: Perspectives from the microstructure to energy storage properties. J. Mater. Chem. A 2019, 7, 2225–2232. [Google Scholar] [CrossRef]
  43. Shao, T.; Du, H.; Ma, H.; Qu, S.; Wang, J.; Wang, J.; Wei, X.; Xu, Z. Potassium-sodium niobate based lead-free ceramics: Novel electrical energy storage materials. J. Mater. Chem. A 2017, 5, 554–563. [Google Scholar] [CrossRef]
  44. Yang, Z.; Du, H.; Qu, S.; Hou, Y.; Ma, H.; Wang, J.; Wang, J.; Wei, X.; Xu, Z. Significantly enhanced recoverable energy storage density in potassium-sodium niobate-based lead free ceramics. J. Mater. Chem. A 2016, 4, 13778–13785. [Google Scholar] [CrossRef]
  45. Zhang, L.; Pu, Y.; Chen, M.; Wei, T.; Peng, X. Novel Na0.5Bi0.5TiO3 based lead-free energy storage ceramics with high power and energy density and excellent hightemperature stability. Chem. Eng. J. 2020, 383, 123154. [Google Scholar] [CrossRef]
  46. Liu, X.; Zhao, Y.; Shi, J.; Du, H.; Xu, X.; Lu, H.; Che, J.; Li, X. Improvement of dielectric and ferroelectric properties in bismuth sodium titanate based relaxors through Bi non-stoichiometry. J. Alloys. Compd. 2019, 799, 231–238. [Google Scholar] [CrossRef]
  47. Xie, H.; Zhao, Y.; Yang, L.; Pang, S.; Yuan, C.; Wang, H.; Zhou, C.; Xu, J. Comparative studies on structure, dielectric, strain and energy storage properties of (Bi0.5Na0.5)0.94Ba0.06Ti0.965(Mg1/3Nb2/3)0.035O3 lead-free ceramics prepared by traditional and two-step sintering method. J. Mater. SCI.—Mater. El 2018, 29, 5349–5355. [Google Scholar] [CrossRef]
  48. Zheng, D.; Zuo, R. Enhanced energy storage properties in La(Mg1/2Ti1/2)O3-modified BiFeO3-BaTiO3 lead-free relaxor ferroelectric ceramics within a wide temperature range. J. Eur. Ceram. Soc. 2017, 37, 413–418. [Google Scholar] [CrossRef]
  49. Li, F.; Zhai, J.; Shen, B.; Zeng, H.; Jian, X.; Lu, S. Multifunctionality of lead-free BiFeO3 -based ergodic relaxor ferroelectric ceramics: High energy storage performance and electrocaloric effect. J. Alloys Compd. 2019, 803, 185–192. [Google Scholar] [CrossRef]
  50. Liu, N.; Liang, R.; Zhao, X.; Xu, C.; Zhou, Z.; Dong, X. Novel bismuth ferrite-based leadfree ceramics with high energy and power density. J. Am. Ceram. Soc. 2018, 101, 3259–3265. [Google Scholar] [CrossRef]
  51. Zhu, L.; Lei, X.; Zhao, L.; Hussain, M.; Zhao, G.; Zhang, B. Phase structure and energy storage performance for BiFeO3-BaTiO3 based lead-free ferroelectric ceramics. Ceram. Int. 2019, 45, 20266–20275. [Google Scholar] [CrossRef]
Figure 1. The XRD patterns of (1 − x){0.97[0.98(BNT-ST)-0.02CN]-0.03AlN}-xNN ceramics at (a) 20~80°, (b) 39~41°, and (c) the 46.5~47.5° 2θ range.
Figure 1. The XRD patterns of (1 − x){0.97[0.98(BNT-ST)-0.02CN]-0.03AlN}-xNN ceramics at (a) 20~80°, (b) 39~41°, and (c) the 46.5~47.5° 2θ range.
Coatings 15 00504 g001
Figure 2. SEM images of (1 − x){0.97[0.98(BNT-ST)-0.02CN]-0.03AlN}-xNN ceramics with (a) x = 0, (b) x = 10%, (c) x = 20%, (d) x = 30%, and (e) x = 40%.
Figure 2. SEM images of (1 − x){0.97[0.98(BNT-ST)-0.02CN]-0.03AlN}-xNN ceramics with (a) x = 0, (b) x = 10%, (c) x = 20%, (d) x = 30%, and (e) x = 40%.
Coatings 15 00504 g002
Figure 3. EDS scanning images at 10 μm for 0.6{0.97[0.98(BNT-ST)-0.02CN]-0.03AlN}-0.4NN ceramics.
Figure 3. EDS scanning images at 10 μm for 0.6{0.97[0.98(BNT-ST)-0.02CN]-0.03AlN}-0.4NN ceramics.
Coatings 15 00504 g003
Figure 4. (a) P-E loops and (b) Pmax of (1 − x){0.97[0.98(BNT-ST)-0.02CN]-0.03AlN}-xNN ceramics at 110 kV/cm and RT.
Figure 4. (a) P-E loops and (b) Pmax of (1 − x){0.97[0.98(BNT-ST)-0.02CN]-0.03AlN}-xNN ceramics at 110 kV/cm and RT.
Coatings 15 00504 g004
Figure 5. (a) P-E loops and (b) Eb of (1 − x){0.97[0.98(BNT-ST)-0.02CN]-0.03AlN}-xNN ceramics at room temperature.
Figure 5. (a) P-E loops and (b) Eb of (1 − x){0.97[0.98(BNT-ST)-0.02CN]-0.03AlN}-xNN ceramics at room temperature.
Coatings 15 00504 g005
Figure 6. (a) Unipolar P-E loops and (b) W, Wrec, WL, and η of (1 − x){0.97[0.98(BNT-ST)-0.02CN]-0.03AlN}-xNN ceramics at room temperature and breakdown field strength.
Figure 6. (a) Unipolar P-E loops and (b) W, Wrec, WL, and η of (1 − x){0.97[0.98(BNT-ST)-0.02CN]-0.03AlN}-xNN ceramics at room temperature and breakdown field strength.
Coatings 15 00504 g006
Figure 7. Comparison of the performance of energy storage of (1 − x){0.97[0.98(BNT-ST)-0.02CN]-0.03AlN}-xNN (x = 20%) with other lead-free energy storage ceramics that have been reported.
Figure 7. Comparison of the performance of energy storage of (1 − x){0.97[0.98(BNT-ST)-0.02CN]-0.03AlN}-xNN (x = 20%) with other lead-free energy storage ceramics that have been reported.
Coatings 15 00504 g007
Figure 8. (a) P-E loops, (b) unipolar P-E loops, and (c) W, Wrec, WL, and η of 0.7{0.97[0.98(BNT-ST)-0.02CN]-0.03AlN}-0.3NN ceramics at room temperature and different frequencies.
Figure 8. (a) P-E loops, (b) unipolar P-E loops, and (c) W, Wrec, WL, and η of 0.7{0.97[0.98(BNT-ST)-0.02CN]-0.03AlN}-0.3NN ceramics at room temperature and different frequencies.
Coatings 15 00504 g008
Figure 9. (a) P-E loops, (b) unipolar P-E loops, and (c) W, Wrec, WL, and η of 0.7{0.97[0.98(BNT-ST)-0.02CN]-0.03AlN}-0.3NNceramics at different temperatures.
Figure 9. (a) P-E loops, (b) unipolar P-E loops, and (c) W, Wrec, WL, and η of 0.7{0.97[0.98(BNT-ST)-0.02CN]-0.03AlN}-0.3NNceramics at different temperatures.
Coatings 15 00504 g009
Disclaimer/Publisher’s Note: The statements, opinions and data contained in all publications are solely those of the individual author(s) and contributor(s) and not of MDPI and/or the editor(s). MDPI and/or the editor(s) disclaim responsibility for any injury to people or property resulting from any ideas, methods, instructions or products referred to in the content.

Share and Cite

MDPI and ACS Style

Wang, E.; Yang, H.; Guo, H.; Li, H.; Zhang, H.; Li, J.; Gu, M.; Yang, T.; Zhang, Y. Enhancement of Energy Storage Performance in NaNbO3-Modified BNT-ST Ceramics. Coatings 2025, 15, 504. https://doi.org/10.3390/coatings15050504

AMA Style

Wang E, Yang H, Guo H, Li H, Zhang H, Li J, Gu M, Yang T, Zhang Y. Enhancement of Energy Storage Performance in NaNbO3-Modified BNT-ST Ceramics. Coatings. 2025; 15(5):504. https://doi.org/10.3390/coatings15050504

Chicago/Turabian Style

Wang, Erping, Hongjun Yang, Haizhou Guo, Hongxia Li, Haosong Zhang, Jinyu Li, Mingsai Gu, Tao Yang, and Yangyang Zhang. 2025. "Enhancement of Energy Storage Performance in NaNbO3-Modified BNT-ST Ceramics" Coatings 15, no. 5: 504. https://doi.org/10.3390/coatings15050504

APA Style

Wang, E., Yang, H., Guo, H., Li, H., Zhang, H., Li, J., Gu, M., Yang, T., & Zhang, Y. (2025). Enhancement of Energy Storage Performance in NaNbO3-Modified BNT-ST Ceramics. Coatings, 15(5), 504. https://doi.org/10.3390/coatings15050504

Note that from the first issue of 2016, this journal uses article numbers instead of page numbers. See further details here.

Article Metrics

Back to TopTop