Effect of Welding Current on Microstructure and Mechanical and Corrosion Properties of 7075/7075 Pulsed MIG Welded Joints
Abstract
1. Introduction
2. Experimental Procedures
2.1. Welding Process
2.2. Microstructure Testing of the Welded Joints
2.3. Mechanical Properties
2.4. Corrosion Experiment
3. Results and Discussion
3.1. Microstructure of Welded Joints
3.2. Mechanical Properties of Welded Joints
3.2.1. Microhardness
3.2.2. Tensile Experiment
3.2.3. Fracture Form
3.3. Optimization of Corrosion Resistance in Welded Joints
3.3.1. Intergranular Corrosion
3.3.2. Electrochemical Corrosion
4. Conclusions
- (1)
- Increasing welding current altered the weld metal morphology from fine equiaxed dendrites to coarser grains with more pronounced precipitation. Zn evaporation and elemental redistribution were observed at a higher heat input.
- (2)
- The tensile strength increased with welding current, reaching 257.7 MPa with 8% elongation at 210 A. Weld hardness increased slightly with welding current, peaking at 99.5 HV0.1 at 200 A, but decreased slightly at 210 A due to grain coarsening and Zn loss.
- (3)
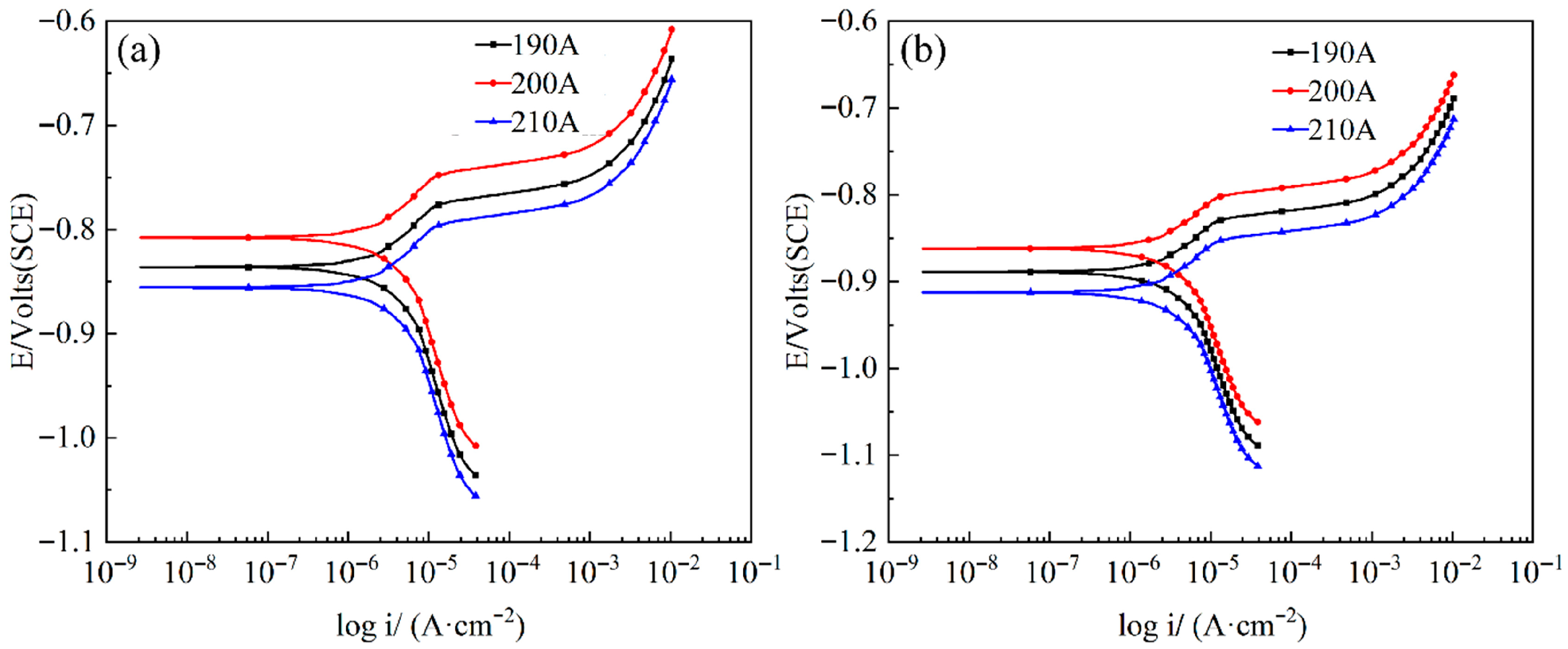
- Corrosion resistance was highly sensitive to welding current. The joint welded at 200 A exhibited the best corrosion performance, with the shallowest intergranular corrosion depth (47.8 μm), the most positive OCP, and the highest charge transfer resistance. In contrast, the joint welded at 210 A showed reduced corrosion resistance due to coarse precipitates and inhomogeneous elemental distribution.
- (4)
- Welding current must be carefully optimized to balance strength and corrosion resistance. A welding current of 200 A provided the best overall corrosion resistance without significant sacrifice in mechanical performance, whereas 210 A favored strength at the expense of corrosion resistance.
- (5)
- The primary limitation of this study lies in its focus on a specific range of welding currents without incorporating thermal cycle monitoring or post-weld heat treatment, which restricts a more comprehensive understanding of the underlying mechanisms.
Author Contributions
Funding
Data Availability Statement
Conflicts of Interest
References
- Wang, Y.; Wu, D.; Chen, J.; Komen, H.; Chen, M.; Su, H.; Wu, C.; Tanaka, M.J.V. Pore suppression and performance improvement mechanisms in wire-arc directed energy deposition of 7075 alloy. Virtual Phys. Prototyp. 2025, 20, e2464953. [Google Scholar] [CrossRef]
- Ye, Z.; Zhu, H.; Wang, S.; Wang, W.; Yang, J. Fabricate high-strength, J.H. 7075 aluminum alloy joint through double pulse MIG welding process. J. Manuf. Process. 2024, 125, 512–522. [Google Scholar] [CrossRef]
- Xiao, A.; Huang, C.; Cui, X.; Yan, Z.; Yu, Z. Impact of the pulse induced current on the microstructure and mechanical properties of the 7075-T6 aluminum alloy. J. Alloys Compd. 2022, 911, 165021. [Google Scholar] [CrossRef]
- Zhao, X.; Chen, X.; Wang, X. Effect of aging processes on corrosion behavior and stress corrosion sensitivity of pre-stretched 7075 aluminum alloy. Mater. Corros. 2017, 69, 850–857. [Google Scholar] [CrossRef]
- Xu, S.; Wang, Y.; Yang, X.; Li, M.V.; Zuo, H.; Yang, S. Microstructure Evolution and Prediction Model of 6082-T6 Aluminum Alloy Pulsed Metal Inert Gas Welded Joint. J. Mater. Eng. Perform. 2025, 34, 13116–13135. [Google Scholar] [CrossRef]
- Machedon-Pisu, T.; Machedon-Pisu, M. Enhanced Microstructural and Mechanical Properties of Mig Welded Al 7075 Alloy Under Longitudinal Vibrations. Materials 2025, 18, 4281. [Google Scholar] [CrossRef] [PubMed]
- Sokoluk, M.; Cao, C.; Pan, S.; Li, X. Nanoparticle-enabled phase control for arc welding of unweldable aluminum alloy 7075. Nat. Commun 2019, 10, 98. [Google Scholar] [CrossRef] [PubMed]
- Li, S.; Liu, L.; Liu, H.; Yang, J.; Liao, C.; Wang, X.; Dong, H. Effect of welding speed on the microstructure, mechanical and corrosion properties of 6061/7075 pulsed MIG welded joints. J. Mater. Res. Technol. 2025, 38, 5909–5928. [Google Scholar] [CrossRef]
- Kekuan, W.; Jian, L.; Ruibin, D.; Wanting, C.; Huli, N.; Liangyu, L.; Jianfeng, Y. Current waveform effects on AC-CMT arc welding of 7075 Al alloy with addition of ER7075 wire. Weld. World 2024, 69, 2885–2905. [Google Scholar] [CrossRef]
- Zhuanni, G.A.O.; Leilei, W.; Xiang, L.I.; Zhiqiang, L.I.U.; Lü, F.; Yifan, L.I.; Xiaohong, Z. Effect of Thermal Cycle and Temperature Gradient on Solidification Microstructure of Deposition Layer during 7075 Aluminum Alloy Laser Wire Additive Manufacturing. J. Mech. Eng. 2024, 60, 96–118. [Google Scholar]
- Du, Z.; Deng, Z.; Cui, X.; Xiao, A. Deformation Behavior and Properties of 7075 Aluminum Alloy under Electromagnetic Hot Forming. Materials 2021, 14, 4954. [Google Scholar] [CrossRef] [PubMed]
- Guangfei, G.; Minghao, R.; Heng, J.; Kai, W.; Zhifu, W.; Xiaohu, Z. Effect of Heat Input on Microstructure and Properties of Welded Joint of Low Temperature High Manganese Steel. Mater. Mech. Eng. 2025, 49, 94–99. [Google Scholar]
- Li, M.-H.; Yang, Y.-Q.; Chen, Z.-L.; Song, Y.-F.; Tang, C.-P. Heterogeneous precipitation mechanism of η phase at E/Al interface in 7475 aluminum alloy. Rare Met. Mater. Eng. 2022, 51, 2483–2489. [Google Scholar]
- Zou, X.-L.; Yan, H.; Chen, X.-H. Evolution of second phases and mechanical properties of 7075 Al alloy processed by solution heat treatment. Trans. Nonferrous Met. Soc. China 2017, 27, 2146–2155. [Google Scholar] [CrossRef]
- Li, S.; Dong, H.; Wang, X.; Liu, Z.; Tan, Z.; Shangguan, L.; Lu, Q.; Zhong, S. Effect of repair welding on microstructure and mechanical properties of 7N01 aluminum alloy MIG welded joint. J. Manuf. Process. 2020, 54, 80–88. [Google Scholar] [CrossRef]
- Wu, C. Progress in Numerical Simulation of Thermal Processes and Weld Pool Behaviors in Fusion Welding. J. Mech. Eng. 2018, 54, 1. [Google Scholar] [CrossRef]
- Wang, C.; Liu, X.; Li, X.; Zhu, B. Heat treatment performance of ER5356 welding wire for MIG welding joint of 7075 aluminum alloy. J. Mater. Eng. 2024, 52, 149–157. [Google Scholar]
- El-Batahgy, A.-M.; Klimova-Korsmik, O.; Akhmetov, A.; Turichin, G. High-Power Fiber Laser Welding of High-Strength AA7075-T6 Aluminum Alloy Welds for Mechanical Properties Research. Materials 2021, 14, 7498. [Google Scholar] [CrossRef] [PubMed]
- Wang, H.; Liu, X.; Liu, L. Research on Laser-TIG Hybrid Welding of 6061-T6 Aluminum Alloys Joint and Post Heat Treatment. Metals 2020, 10, 130. [Google Scholar] [CrossRef]
- Lazanas, A.C.; Prodromidis, M.I. Electrochemical Impedance Spectroscopy—A Tutorial. ACS Meas. Sci. Au 2023, 3, 162–193. [Google Scholar] [CrossRef] [PubMed]














| Material | Si | Fe | Cu | Mn | Mg | Cr | Zn | Ti | Al |
|---|---|---|---|---|---|---|---|---|---|
| ER5356 | 0.0300 | 0.0900 | 0.0003 | 0.1000 | 4.5000 | 0.0900 | 0.0100 | 0.0800 | Bal. |
| 7075 | 0.4000 | 0.3844 | 1.9453 | 0.2238 | 2.5187 | 0.2500 | 5.4100 | 0.0556 | Bal. |
| Point\Element(At%) | Mg | Al | Si | Cr | Mn | Fe | Cu | Zn |
|---|---|---|---|---|---|---|---|---|
| A | 3.08 | 84.65 | 0.09 | - | 0.15 | 0.08 | 10.25 | 1.69 |
| B | 3.11 | 93.70 | 0.27 | - | 0.18 | 0.20 | 0.69 | 1.83 |
| C | 3.45 | 92.96 | 0.01 | - | 0.22 | 0.07 | 1.25 | 2.04 |
| D | 3.24 | 86.50 | 0.07 | 0.10 | 0.15 | 0.04 | 8.41 | 1.49 |
| E | 3.13 | 73.74 | 0.47 | 0.05 | 0.19 | 0.01 | 20.74 | 1.68 |
| F | 1.67 | 96.76 | - | 0.15 | 0.20 | 0.05 | 0.17 | 1.00 |
| Samples | Rs (Ωcm2) | CPE | Rct (kΩcm2) | Yw (10−3Ω−1cm−2s−0.5) | |
|---|---|---|---|---|---|
| Y0 (10−4Ω−1cm−2s−n) | n (0 < n <1) | ||||
| 190-HAZ | 2.642 | 0.912 | 0.8510 | 1.0240 | 6.399 |
| 190-WZ | 2.763 | 1.260 | 0.8552 | 0.4127 | 4.176 |
| 200-HAZ | 2.707 | 1.025 | 0.8220 | 1.8884 | 6.553 |
| 200-WZ | 2.701 | 0.960 | 0.8435 | 1.3160 | 3.255 |
| 210-HAZ | 2.620 | 1.068 | 0.8545 | 0.7642 | 13.47 |
| 210-WZ | 2.553 | 1.389 | 0.8420 | 0.7434 | 3.570 |
| Sample | Ecorr (mV(SCE)) | Icorr (10−6A·cm−2) | βa (mV·dec−1) | βc (mV·dec−1) |
|---|---|---|---|---|
| 190-HAZ | −0.8382 | 1.0699 | 48.373 | 117.60 |
| 190-WZ | −0.8536 | 5.5360 | 106.170 | 225.14 |
| 200-HAZ | −0.8072 | 1.1814 | 46.570 | 141.09 |
| 200-WZ | −0.8610 | 3.9884 | 110.010 | 199.96 |
| 210-HAZ | −0.8627 | 4.7822 | 109.280 | 167.66 |
| 210-WZ | −0.9129 | 6.5945 | 153.880 | 224.63 |
Disclaimer/Publisher’s Note: The statements, opinions and data contained in all publications are solely those of the individual author(s) and contributor(s) and not of MDPI and/or the editor(s). MDPI and/or the editor(s) disclaim responsibility for any injury to people or property resulting from any ideas, methods, instructions or products referred to in the content. |
© 2025 by the authors. Licensee MDPI, Basel, Switzerland. This article is an open access article distributed under the terms and conditions of the Creative Commons Attribution (CC BY) license (https://creativecommons.org/licenses/by/4.0/).
Share and Cite
Wu, T.; Wang, Y.; Liu, L.; Li, S.; Liu, H. Effect of Welding Current on Microstructure and Mechanical and Corrosion Properties of 7075/7075 Pulsed MIG Welded Joints. Coatings 2025, 15, 1437. https://doi.org/10.3390/coatings15121437
Wu T, Wang Y, Liu L, Li S, Liu H. Effect of Welding Current on Microstructure and Mechanical and Corrosion Properties of 7075/7075 Pulsed MIG Welded Joints. Coatings. 2025; 15(12):1437. https://doi.org/10.3390/coatings15121437
Chicago/Turabian StyleWu, Tong, Yaqiang Wang, Linjun Liu, Shuai Li, and Hongfeng Liu. 2025. "Effect of Welding Current on Microstructure and Mechanical and Corrosion Properties of 7075/7075 Pulsed MIG Welded Joints" Coatings 15, no. 12: 1437. https://doi.org/10.3390/coatings15121437
APA StyleWu, T., Wang, Y., Liu, L., Li, S., & Liu, H. (2025). Effect of Welding Current on Microstructure and Mechanical and Corrosion Properties of 7075/7075 Pulsed MIG Welded Joints. Coatings, 15(12), 1437. https://doi.org/10.3390/coatings15121437

