Next Article in Journal
Ferroelectric Phase Stabilization and Charge-Transport Mechanisms in Doped HfO2 Thin Films: Influence of Dopant Chemistry and Thickness
Next Article in Special Issue
Sustainable Biomass Functional Monomer-Modified Polycarboxylate Superplasticizers Enable the Creation of High-Performance Cement Pastes
Previous Article in Journal
Microstructure and Properties of Inconel 718/WC Composite Coating on Mold Copper Plate
Previous Article in Special Issue
Seismic Damage Risk Assessment of Reinforced Concrete Bridges Considering Structural Parameter Uncertainties
 
 
Font Type:
Arial Georgia Verdana
Font Size:
Aa Aa Aa
Line Spacing:
Column Width:
Background:
Article

Influence of Cellulose Ether on Properties of Premixed Mortar Based on Orthogonal Test Method

1
School of Intelligent Construction, Fuzhou University of International Studies and Trade, Fuzhou 350202, China
2
College of Architecture and Electrical Engineering, Hezhou University, Hezhou 542899, China
3
School of Architecture and Design Art, Shaoxing Vocational & Technical College, Shaoxing 312000, China
4
College of Architectural Engineering, Tianjin University, Tianjin 300072, China
5
Department of Electronic and Information Engineering, School of Advanced Manufacturing, Fuzhou University, Quanzhou 362200, China
*
Author to whom correspondence should be addressed.
Coatings 2025, 15(12), 1395; https://doi.org/10.3390/coatings15121395
Submission received: 13 October 2025 / Revised: 4 November 2025 / Accepted: 24 November 2025 / Published: 28 November 2025

Abstract

To promote energy efficiency, emission reduction, and green low-carbon development, this study investigates the influence of cellulose ether (CE) content and its interactions with supplementary materials, including stone powder (SP), manufactured sand (MS), polyvinyl alcohol (PVA), and bentonite (BT), on the performance of premixed mortar using an L16(45) orthogonal experimental design. The effects of five factors at four levels were analyzed, focusing on mortar workability and compressive strength. Results showed that CE content significantly affected consistency, water retention, and compressive strength (p < 0.01). A 60% increase in CE led to a 4.7% reduction in flowability, a 2.05% improvement in water retention, and an 18.49% decrease in compressive strength. Response surface methodology identified optimal compositions for each property. The CE-BT interaction influenced consistency (R2 = 0.6894), while CE-PVA interactions affected water retention (R2 = 0.9336). A ternary model for compressive strength (CE-SP-MS) showed that SP and MS replacements had significant negative effects, with optimal SP replacement at 10%. PVA at 0.04% effectively inhibited plastic shrinkage cracking. The study provides predictive models for mortar performance, aiding in the optimization of premixed mortar formulations.

Graphical Abstract

1. Introduction

Premixed mortar, as a pivotal material in modern construction industrialization, has emerged as the predominant trend in building mortar development due to its consistent quality, enhanced construction efficiency, and environmental benefits. However, compared to traditional site-mixed mortar, premixed mortar is required to possess superior workability, stability, and durability to meet the demands of mechanical application and long-term service life. To achieve these performance characteristics, various mineral admixtures and chemical additives are widely employed. Among them, cellulose ether (CE) serves as a crucial water-retaining agent, playing a vital role in determining the comprehensive properties of mortar [1,2,3,4].
Cellulose ether, a water-soluble polymer obtained by etherifying cellulose, significantly enhances the water retention of mortar. This property prevents premature water evaporation or absorption by the substrate, ensuring the proper hydration of the cement and supporting the normal development of mortar strength [5]. Moreover, cellulose ether improves the lubrication, viscosity, anti-slump, and overall workability of the mortar. However, studies have shown that while increasing cellulose ether content significantly affects the workability and mechanical properties of mortar, excessive amounts may lead to a decrease in compressive strength and wet density [6,7]. This balance between performance enhancements needs to be carefully considered in formulation design.
Similarly to cellulose ether, stone powder, a byproduct of manufactured sand production, can effectively improve the pore structure of mortar through its micro filling effect and pozzolanic activity, enhancing both the compactness and crack resistance of the mortar [8,9]. The addition of stone powder not only helps reduce environmental pollution but also partially replaces cement, improving the physical properties of mortar. Additionally, manufactured sand, as an alternative to natural river sand, plays a positive role in improving the mechanical properties of mortar, especially its compressive strength, due to its unique particle shape and grading characteristics [10].
Furthermore, Polyvinyl Alcohol (PVA) and bentonite are commonly used admixtures that further enhance mortar performance by reducing plastic shrinkage cracking, improving toughness and crack resistance, and improving water retention and thickening properties [11,12,13]. When combined with cellulose ether, these materials create a synergistic effect, improving the workability of the mortar while enhancing its crack resistance and durability [14,15].
Although existing research provides insights into the individual effects of these materials, most studies focus on single-factor influences and fail to comprehensively address the interactions among multiple components. In practical applications, premixed mortars typically contain various admixtures and additives, where complex synergistic effects exist. Consequently, findings from single-factor studies often lack direct applicability for guiding industrial production [16,17,18,19,20].
The orthogonal experimental design is an efficient method for investigating multi-factor and multi-level systems. By selecting a representative set of test points, it significantly reduces the number of required experiments while yielding reliable conclusions. For instance, Wang et al. [21] used an L16(43) orthogonal array and showed that tartaric acid (TA) exerted the strongest adverse effect on the flowability of self-leveling mortars, whereas polycarboxylate ether (PCE) and cellulose ether (CE) increased flowability. Brachaczek et al. [22] applied a Taguchi L8 orthogonal design to evaluate the influence of an air-entraining agent (AEA), cement, polymer additives, cellulose ether and perlite on the air content and porosity of repair mortars, and concluded that AEA dominated air content, while perlite and polymer additives mainly governed porosity, with cement and cellulose ether playing secondary roles. Likewise, Qingxuan Li et al., Junran Liu et al., and Chengbin Yuan et al. similarly utilized a three-factor, three-level orthogonal array design [L9(33)] to examine the key factors and their significance levels for different modified mortars [23,24,25]. In contrast to these studies, the present work integrates L16(43) orthogonal experimental design with response surface methodology (RSM) and employs repeated tests and residual analysis to validate the predictive models. This approach enables a systematic quantification of the main and interactive effects of CE dosage and other key variables (stone powder-to-cement replacement ratio, manufactured-sand-to-river-sand replacement ratio, PVA dosage and bentonite dosage) on the properties of premixed mortars, thereby providing a scientific basis for formula optimization.

2. Experimental Program

2.1. Raw Materials

Ordinary Portland cement (P·O 42.5), conforming to the Chinese standard GB 175-2007, was used as the primary cementitious material. Its technical properties are summarized in Table 1. Natural river sand and manufactured sand served as fine aggregates. The river sand, with a fineness modulus of 2.4, was classified as medium sand in Zone II. The manufactured sand, produced by crushing limestone and tuff, had a fineness modulus of 2.7. Key properties of both sands, tested according to GB/T 14684-2022, are presented in Table 2.
Stone powder, a by-product collected during the production of manufactured sand, was utilized after drying and sieving. Its primary characteristics, evaluated against the specifications of GB/T 35164-2017 and JGJ/T 318-2014, are listed in Table 3. Fineness refers to the particle size distribution of stone powder, typically expressed as a percentage of material passing through a sieve of a specific aperture. The determination of fineness is conducted through sieve analysis utilizing a standard sieve. The methylene blue value serves as an overall indicator to ascertain the presence of expansive clay minerals (such as clay powder) within the stone powder and to quantify their content. This is achieved by progressively adding methylene blue solution to a suspension created by mixing aggregates with water, observing for the emergence of a light blue halo indicating free methylene blue, which reflects the adsorption characteristics of the aggregate towards the dye solution. The activity index indicates the content of reactive components within the stone powder that can participate in the hydration reaction of cement, thereby influencing the performance of the pre-mixed mortar. The activity index is determined through chemical analysis. Hydroxypropyl methyl cellulose ether (HPMC), complying with the JC/T 2190-2013 standard and with a viscosity of 40,000 MPa·s, was employed as the cellulose ether. Polyvinyl alcohol (PVA) fibers had a tensile strength ≥ 1200 MPa, a length of 6 mm, and a diameter of 18–25 μm. Sodium bentonite, with a montmorillonite content ≥ 85% and a swelling capacity ≥ 15 mL/g, was also used.

2.2. Apparatus

The main instruments and equipment utilized in the experiments include the JJ-5 planetary cement mortar mixer (compliant with JC/T 681-2022 standards), the NYL-300 compression testing machine, the KZJ-500 electric flexural testing machine, and a standard curing chamber (maintaining a temperature of 20 ± 2 °C and a relative humidity of over 95%), provided by Zhejiang Huannan Instrument Equipment Co., Ltd., established on 25 March 2005, is located in Qianshang Village, Daoxu Subdistrict, Shangyu District, Shaoxing, Zhejiang Province, China. Additionally, the mortar consistency meter SC-145, the mortar setting time tester ZKS-100, and the drying shrinkage measurement device JG/170 were supplied by Shaoxing Jiaoche Instrument Equipment Co., Ltd., established on 7 June 2016, is located in No. 10, Tunbei Wujiazhuang, Xintunnan Village, Daoxu Subdistrict, Shangyu District, Shaoxing, Zhejiang Province, China. The water retention measurement device 100 × 25 was provided by Shaoxing QianNeng Instrument Equipment Co., Ltd., established on 29 September 2012, is located in No. 69, Zhongxing Road, Daoxu Subdistrict, Shangyu District, Shaoxing, Zhejiang Province, China. Furthermore, the microcomputer-controlled electronic universal testing machine (used for tensile bond strength testing) DN-W50KN was sourced from Shandong Jinan KJ Instrument Equipment Co., Ltd., established on 30 September 2019, is located in Room 301, Unit 3, Building 6, Meili Xincju Second District, Huaiyin District, Jinan, Shandong Province, China. and the rapid freeze–thaw testing machine TDR-9 was provided by Shanghai Luda Experimental Instrument Co., Ltd., established on 25 April 2000, is located in No. 32, Xinxin Road, Shedun Town, Songjiang District, Shanghai, China.

2.3. Experimental Design

Based on the ‘Specification for the Design of Mortar Mix Proportions’ (JGJ/T 98-2010) and referring to the theoretical mix proportions outlined in the ‘Specification for the Design of Premixed Mortar Proportions’ (DBJ33/T1314-2024), preliminary tests were conducted to validate the applicability of different materials and additives at varying levels in the premixed mortar. An orthogonal array testing design was adopted, specifically an L16 (45) layout involving five factors at four levels each [21,22]. The five factors considered were: cellulose ether content (CE), stone powder replacement ratio for cement (SP), manufactured sand replacement ratio for river sand (MS), PVA content (PVA), and bentonite content (BT). The levels for each factor, defined as the percentage by mass of the respective material, are detailed in Table 4. The contents of PVA, bentonite, stone powder, and CE are expressed as a percentage of the total cementitious material mass. The manufactured sand content is given as a percentage of the total fine aggregate mass. The total mass of stone powder and cement was fixed at 150 g, the total mass of river sand and manufactured sand was fixed at 850 g, and the water content was fixed at 165 g. The experimental matrix was constructed based on the principles of orthogonal design [26].
Following the technical standards for application of premixed mortar, the key fresh properties assessed for masonry and plastering mortars were consistency (Note: Measured as the penetration depth of a standard cone; a greater depth indicates higher fluidity/consistency) and water retention. The primary hardened property evaluated was the 28-day compressive strength. Accordingly, the orthogonal experiments were designed to measure these three performance indicators: consistency, water retention, and compressive strength [27].

3. Results and Discussion

3.1. Orthogonal Test Results

The results for orthogonal test groups are presented in Table 5, where the constituent materials are reported in parts by weight. Orthogonal analysis was employed to investigate the influence of five factors—cellulose ether content (CE), stone powder replacement ratio for cement (SP), manufactured sand replacement ratio for river sand (MS), PVA content (PVA), and bentonite content (BT)—on the consistency, water retention, and 28-day compressive strength of the premixed mortar.

3.2. Analysis of Mean and Range

3.2.1. Consistency Analysis

Table 6 presents the mean values and range analysis for consistency. The order of factor significance affecting consistence was: CE > BT > SP ≈ MS > PVA. Thus, CE was the most influential factor, followed by BT. The mean values indicate that increasing the CE significantly reduced mortar consistency (i.e., decreased fluidity). This phenomenon is attributed to the hydrophilic, long-chain polymer structure of CE molecules. Their ether and hydroxyl groups form strong hydrogen bonds with water molecules, converting substantial free water into bound water associated with the polymer chains. This markedly increases the apparent viscosity and internal cohesion of the paste, impairing particle mobility and thus reducing fluidity. Furthermore, at higher dosages, the dissolved CE chains entangle and connect, forming a continuous, weak three-dimensional gel network throughout the system. This network encapsulates and immobilizes cement particles and other solid components, necessitating the disruption of this structure for flow to initiate, thereby significantly decreasing fluidity. The optimal mix proportion for achieving the highest consistency was determined as: CE (Level 1), SP (Level 2), MS (Level 4), PVA (Level 3), BT (Level 2).
Figure 1 illustrates the trend of mortar consistency with varying CE and BT. As shown, consistency exhibits a declining trend with increasing CE dosage. An increase in CE by 60% resulted in a 4.7% reduction in mortar consistency.

3.2.2. Water Retention Analysis

The mean values and range analysis for water retention are shown in Table 7. The significance ranking for water retention was: CE > PVA > BT > SP > MS, identifying CE and PVA as the primary factors. An increase in CE substantially enhances water retention through the physicochemical action of its polymer chains. The hydrophilic functional groups (e.g., hydroxyl, ether) on the CE chains form an extensive hydrogen-bonding network with water molecules, effectively converting free water into bound water and reducing the driving force for evaporation. The dissolved CE significantly increases the viscosity of the pore solution, and its long-chain structure establishes a three-dimensional network within the mortar. This network imposes considerable kinetic hindrance to water migration, drastically slowing the rate of water penetration into substrates and evaporation to the environment. Additionally, the air-entraining and foam-stabilizing effects of CE introduce fine, closed air bubbles that disrupt capillary connectivity, altering the pore structure and providing an additional physical barrier to moisture movement. Consequently, with increasing CE content, this synergistic water-retention effect—combining chemical adsorption, physical obstruction, and rheological modification—becomes more pronounced, leading to an approximately linear improvement in water retention. The optimal mix proportion for maximum water retention was: CE (Level 4), SP (Level 2), MS (Level 1), PVA (Level 2), BT (Level 4).
Figure 2 depicts the variation in water retention with CE and PVA. Water retention shows an increasing trend with higher CE. Specifically, a 60% increase in CE content led to a 2.05% rise in water retention.

3.2.3. Compressive Strength Analysis

Table 8 displays the mean values and range analysis for compressive strength. The factor significance for strength was SP > MS > CE > PVA > BT, highlighting the predominance of the replacement materials. The observed strength reduction associated with increased stone powder and manufactured sand replacement levels stems from the combined negative effects on the compositional structure and the Interfacial Transition Zone (ITZ) within the cementitious matrix. Stone powder, acting largely as an inert filler, substantially reduces the total amount of reactive cementitious material when replacing cement. This leads to a decreased absolute volume of hydration products (e.g., C-S-H gel), weakening the binding capacity and driving force for matrix densification. Concurrently, the angular particle shape and potentially unfavorable gradation of manufactured sand increase internal friction and create more interfacial weak zones, hindering the achievement of dense particle packing. Critically, the fine particles in both stone powder and manufactured sand can exacerbate flocculation and competitively adsorb a portion of the mixing water. This effectively increases the water-to-cement ratio locally, leading to higher inherent porosity and micro-crack concentration in the hardened state. These factors collectively degrade the structure and mechanical properties of the ITZ, making it a preferential path for stress concentration and crack propagation, ultimately manifesting as a systematic decline in compressive strength.
The strength reduction associated with increased CE primarily arises from physical mechanisms. Firstly, its air-entraining effect introduces numerous stable, fine air bubbles into the matrix. These pores act as stress concentration points and reduce the effective load-bearing area. Secondly, the strong water adsorption and network formation by the polymer chains can retard the hydration kinetics of cement minerals and potentially interfere with the spatial arrangement and densification of hydration products due to steric hindrance. However, the magnitude of its impact is notably weaker compared to the replacement effects of stone powder and manufactured sand. Fundamentally, replacing cement with stone powder directly and irreversibly dilutes the volume of the active cementitious phase, fundamentally reducing the primary source of strength—the C-S-H gel. The harsh morphology of manufactured sand severely compromises the structure and density of the ITZ, introducing numerous inherent micro-defects. In contrast, while CE introduces porosity, the flexible three-dimensional network it forms causes limited structural disruption at low dosages, and its water-retaining effect might even promote prolonged hydration. Therefore, the influence of CE can be viewed as a ‘weakening modification’ of the formed structure, whereas the replacement by stone powder and manufactured sand constitutes a ‘fundamental weakening’ of the material’s foundational structure, explaining their more pronounced negative impact on macroscopic compressive strength. The optimal mix proportion for achieving the highest compressive strength was: CE (Level 1), SP (Level 1), MS (Level 1), PVA (Level 1), BT (Level 1).
Figure 3 shows the variation in compressive strength with CE, SP, and MS. Compressive strength decreased with increasing CE dosage. A 60% increase in CE content led to an 18.49% reduction in compressive strength.

3.3. Analysis of Variance

While range analysis can intuitively determine the primary and secondary order of factor influence on the test indicators, it cannot assess whether these influences are statistically significant [28,29]. To ensure data accuracy, triplicate measurements were taken for each experimental trial. An Analysis of Variance (ANOVA) was subsequently performed on the results to quantify the degree of influence exerted by each factor; the results are summarized in Table 9, Table 10 and Table 11.
The threshold of the F-test used in this study are as follows: F0.05(3,32) = 2.9; F0.025(3,32) = 3.56; F0.01(3,32) = 4.46; F0.005(3,32) = 5.17; F0.0025(3,32) = 5.91; F0.001(3,32) = 6.94. According to the F-values in Table 9: F(D) = 1.962 is less than F0.05(3,32) = 2.9, and its significance probability (p = 0.140) > 0.05. This indicates that variations in Factor D (PVA) have no significant effect on mortar consistency. In contrast, F(A) = 47.962, F(E) = 26.632, F(C) = 9.477, and F(B) = 8.144 all exceed F0.001(3,32) = 6.94, confirming their significant impacts on consistency. The order of significance is A (CE) > E (BT) > C (MS) > B (SP).
From the F-values in Table 10: F(C) = 0.604 and F(B) = 1.631 are both below F0.05(3,32) = 2.9, with p-values of 0.617 and 0.202, respectively (both > 0.05). This demonstrates that Factors B (SP) and C (MS) do not significantly affect the water retention of the mortar. Conversely, F(A) = 200.947, F(D) = 10.872, F(E) = 9.759 all show F-values greater than F0.001(3,32) = 6.94, establishing their highly significant effects on water retention. Their order of significance is A (CE) > D (PVA) > E (BT).
The F-values presented in Table 11 reveal that all five factors—A (CE), B (SP), C (MS), D (PVA), and (BT)—possess F-values greater than the critical value, with associated p-values < 0.01. Therefore, all five factors exert a statistically significant influence on the compressive strength of the premixed mortar. The order of their significance is B (SP) > C (MS) > A (CE) > E (BT) > D (PVA).

3.4. Regression Analysis

3.4.1. Consistency Fitting

While range and ANOVA can identify a relatively optimal factor combination within the predefined levels, they cannot locate the absolute optimum within the tested ranges. In contrast, regression analysis based on the experimental data enables effective prediction and optimization of the results [30,31,32,33,34,35]. Therefore, regression analysis was applied to the experimental findings in this study using Design-Expert 13 software.
As the prior ANOVA indicated that Factor D (PVA) had no significant effect on consistency, the regression analysis incorporated only the significant factors. The two most influential factors, A (CE) and E (BT), were used to develop a first-order regression model with consistence as the response.
Y = 93.5625 − 2.2125 CE − 1.3875 BT
The relationship between the experimental data and the values predicted by the fitted Equation (1) is shown in Figure 4. A coefficient of determination (R2 = 0.6894) confirms that Equation (1) accurately represents the relationship between the consistence of premixed mortar and the contents of CE and bentonite.
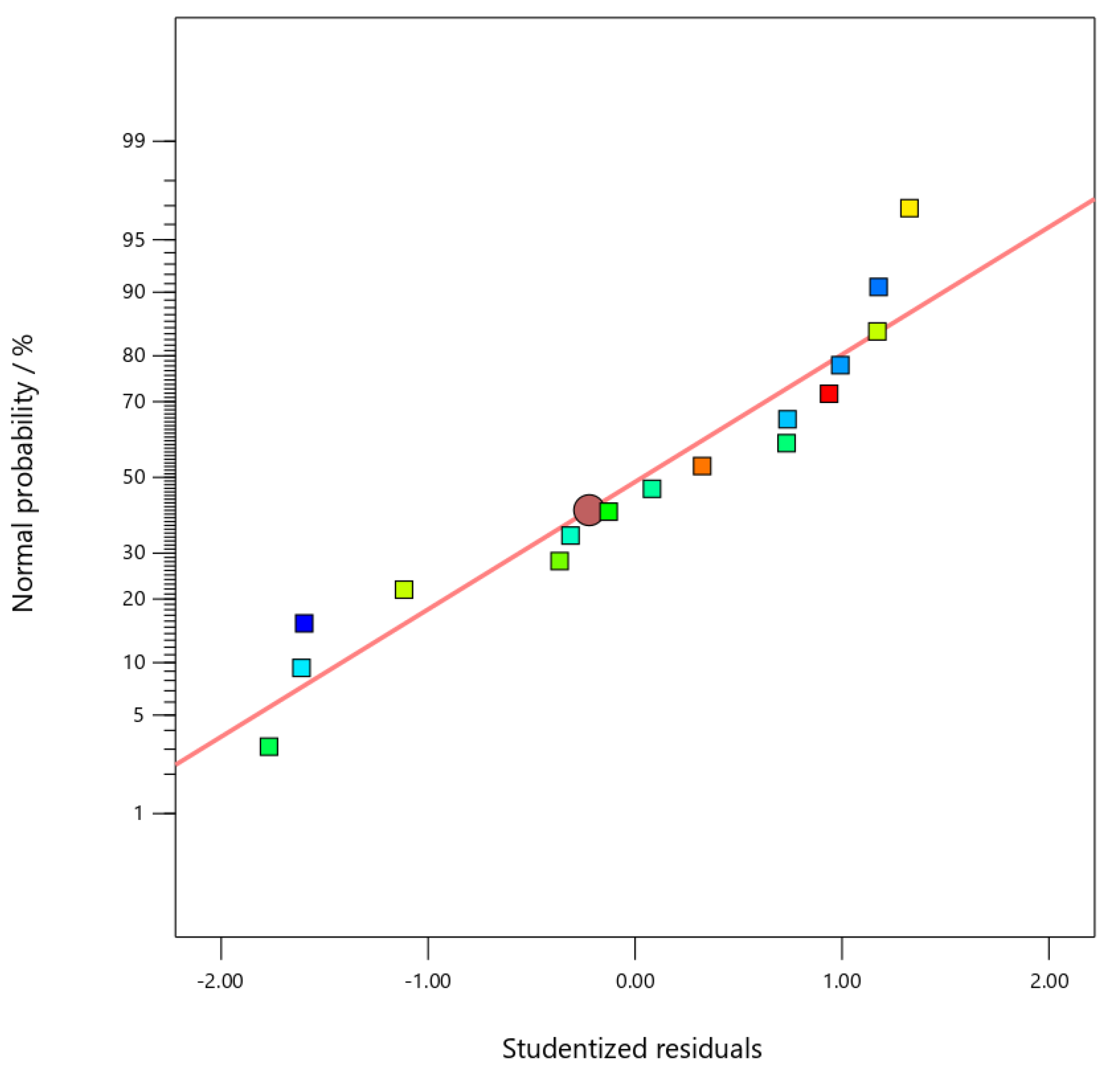
Figure 4 shows a close agreement between the predicted values from the model and the experimental data, validating the model’s accuracy in describing the correlation between the factors and the response. Therefore, the developed model reliably represents the true parameter relationships and can be used for predicting and analyzing the consistency of premixed mortar. Figure 5 presents the residual normal distribution of the consistency of the premixed mortar, where all data points closely align along a single line, indicating that the fitting error of the regression model for the consistency of the premixed mortar is relatively small. A response surface plot for the significant factors (CE and BT) versus consistency, generated using Design-Expert software, is provided in Figure 6.
As shown in Figure 6, the consistency of premixed mortar decreases with increasing contents of both CE and BT within a certain range. However, the rate of reduction associated with BT is less steep compared to that caused by CE. Furthermore, a simultaneous increase in both CE and BT can effectively suppress the consistency of the mortar.
Figure 5. Residual analysis of the consistency.
Figure 5. Residual analysis of the consistency.
Coatings 15 01395 g005
Figure 6. Consistency response diagram of premixed mortar.
Figure 6. Consistency response diagram of premixed mortar.
Coatings 15 01395 g006

3.4.2. Water Retention Rate Fitting

Since the prior ANOVA revealed that Factors C (MS) and B (SP) had no significant effect on water retention, the regression analysis considered only the significant factors. The two most influential factors, A (CE) and D (PVA), were selected. A multiple regression analysis was subsequently performed, establishing a first-order model with water retention as the response variable.
Y = 92.3875 + 0.9375 CE − 0.0975 PVA
The correlation between the experimental values and those predicted by the fitted Equation (2) is presented in Figure 6. The coefficient of determination (R2 =0.9336) confirms that Equation (2) effectively represents the relationship between the water retention of premixed mortar and the contents of CE and PVA.
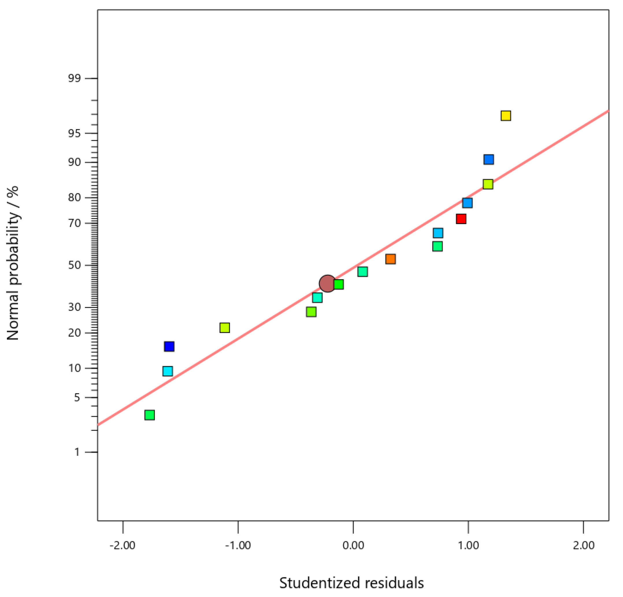
Figure 7 demonstrates a close agreement between the predicted values from the developed model and the experimental data, indicating the model’s suitability for characterizing the relationship between the experimental factors and the response. Consequently, the model accurately reflects the underlying relationships among the parameters and can be reliably used for predicting and analyzing the water retention of premixed mortar. Figure 8 presents the residual normal distribution of water retention of the premixed mortar, where all data points closely align along a single line, indicating that the fitting error of the regression model for the water retention of the premixed mortar is relatively small. A response surface plot illustrating the relationship between the significant factors—cellulose ether (CE) content and PVA content—and the response variable (water retention) was generated using Design-Expert software, as shown in Figure 9.
Figure 8. Residual analysis of the water retention.
Figure 8. Residual analysis of the water retention.
Coatings 15 01395 g008
Figure 9. Water retention rate response curve of premixed mortar.
Figure 9. Water retention rate response curve of premixed mortar.
Coatings 15 01395 g009
Based on Figure 9, it can be concluded that within a certain range, the water retention of premixed mortar increases with higher cellulose ether content but decreases with increased PVA content. However, the declining trend associated with PVA content is more gradual compared to the increasing trend promoted by CE. Furthermore, simultaneously increasing the CE while appropriately reducing the PVA can effectively enhance the water retention capacity of the premixed mortar.

3.4.3. Compressive Strength Fitting

Since the prior analysis of variance confirmed that all five factors—CE (A), SP (B), MS (C), PVA (D) and BT (E)—significantly affect the compressive strength, the three most influential factors (B, C, and A) were selected for regression analysis. A multiple regression analysis was performed on the experimental data, establishing a first-order model with compressive strength as the response variable.
Y = 8.51 − 0.9117 CE − 1.63 SP − 1.67 MS
The relationship between the experimental values and those calculated by the fitted Equation (3) is shown in Figure 8. The coefficient of determination (R2 = 0.8561) indicates that the relationship between the compressive strength of premixed mortar and the three factors—CE, SP, and MS—can be effectively represented by Equation (3).
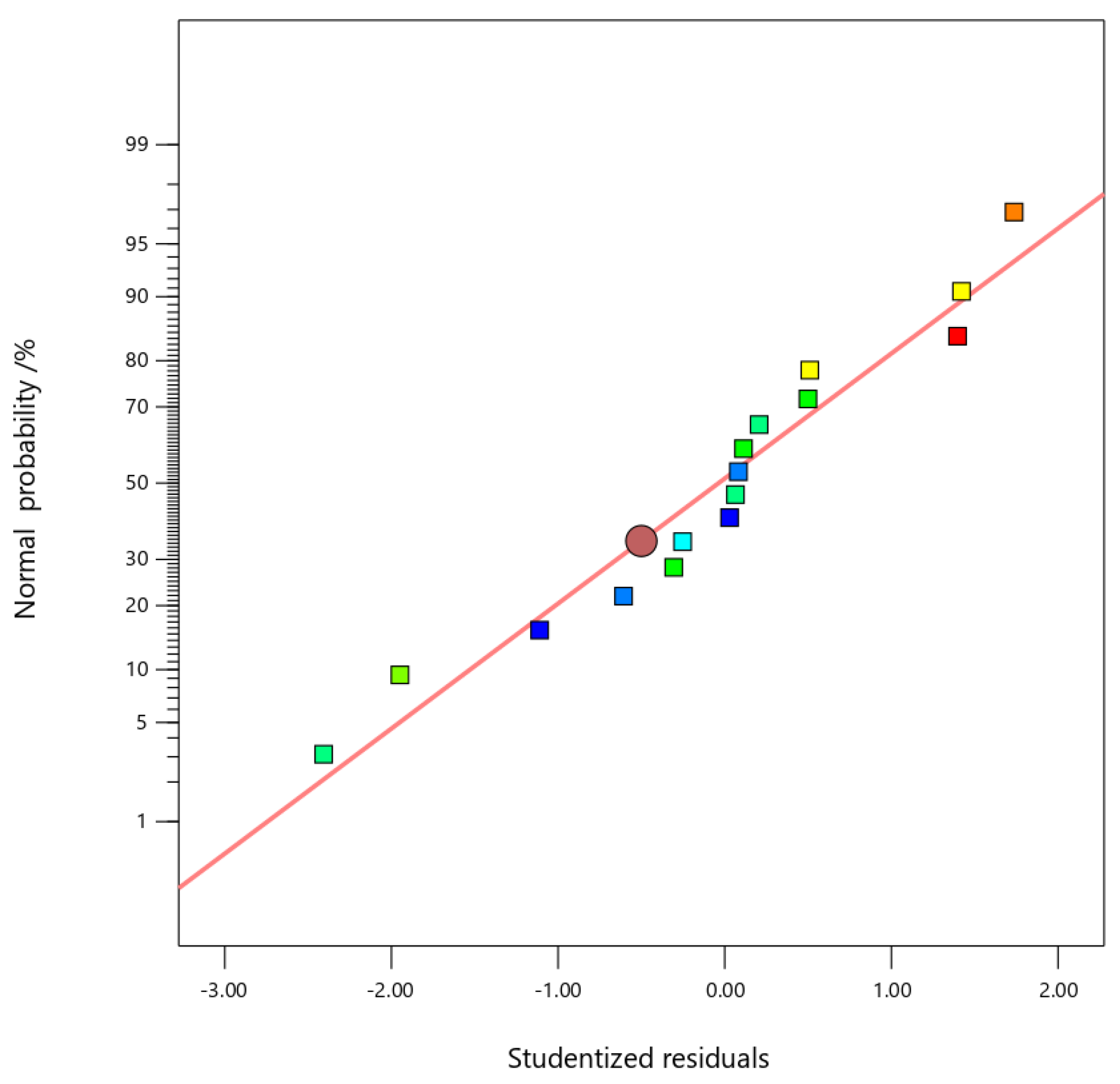
As shown in Figure 10, the predicted values obtained from the established model demonstrate close agreement with the experimental values, indicating the model’s suitability for characterizing the correlation between the experimental factors and the response. Consequently, the developed model accurately reflects the intrinsic relationships among the parameters and can be reliably employed for predicting and analyzing the compressive strength of premixed mortar. Figure 11 presents the residual normal distribution of compressive strength of the premixed mortar, where all data points closely align along a single line, indicating that the fitting error of the regression model for the compressive strength of the premixed mortar is relatively small. Using Design-Expert software, a response surface plot was generated to visualize the relationship between the key experimental factors (CE, SP, and MS) and the response variable (compressive strength of premixed mortar), as presented in Figure 12.
Figure 10. Relationship between the compressive strength test values and predicted values.
Figure 10. Relationship between the compressive strength test values and predicted values.
Coatings 15 01395 g010
Figure 11. Residual analysis of compressives strength.
Figure 11. Residual analysis of compressives strength.
Coatings 15 01395 g011
Figure 12. Compressive strength response diagram of premixed mortar.
Figure 12. Compressive strength response diagram of premixed mortar.
Coatings 15 01395 g012
Based on the results presented in Figure 12, the compressive strength of the premixed mortar decreases with increasing CE, SP, and MS. However, the declining trend associated with the CE is less pronounced compared to the reduction caused by the SP.
Furthermore, to enhance the water retention capacity without compromising the compressive strength, modification of the CE’s physicochemical properties—such as its particle size, morphology, and chemical functionality—is a promising avenue for future research and development.

4. Conclusions

This study investigates the influence of cellulose ether (CE) content and its interactions with supplementary materials—including stone powder (SP), manufactured sand (MS), polyvinyl alcohol (PVA), and bentonite (BT)—on the performance of premixed mortar using an orthogonal experimental design. Performed mean and range analysis, variance analysis, and regression fitting analysis. The key conclusions are as follows:
  • The optimal fluidity (consistency) was achieved with specific mix proportions (CE: 0.0175, SP: 20%, MS: 50%, PVA: 0.045%, BT: 1%). The order of factor significance affecting fluidity was: CE > BT > SP ≈ MS> PVA. Thus, CE was the most influential factor, followed by BT.
  • The maximum water retention was obtained with a different mix combination (CE: 0.02%, SP: 20%, MS: 20%, PVA: 0.04%, BT: 1.2%). The significance ranking for water retention was CE > PVA > BT > SP > MS, identifying CE and PVA as the primary factors.
  • The highest compressive strength was observed with another set of parameters (CE: 0.0125%, SP: 10%, MS: 20%, PVA: 0.035%, BT: 0.9%). The factor significance for compressive strength was SP > MS > CE > PVA > BT, highlighting the predominance of the replacement materials.
  • Variations in PVA showed no significant effect on mortar fluidity, whereas the other four factors had significant impacts. The replacement levels of MS and SP did not significantly affect the water retention rate, in contrast to the three other factors which did. All five factors—CE, SP, MS, PVA, and BT—exerted significant influences on the compressive strength of the mortar.
  • The combined effect of CE and BT on fluidity was fitted using a linear regression model. The trend indicated a decrease in fluidity with increasing dosages of both CE and BT. The influence of CE and PVA on water retention was also described by a linear regression. The model suggested that within a certain range, water retention increases with higher CE but decreases with increasing PVA. A multiple linear regression model fitted the relationship between compressive strength and CE, SP, and MS. The results revealed a declining trend in compressive strength with increases in these three factors. Overall, this study quantitatively revealed the coupled effects of organic and inorganic admixtures in premixed mortar and established predictive models for key performance indicators, providing a scientific basis for mix design optimization and offering significant theoretical and practical value for achieving performance balance and green, low-carbon mortar design.

Author Contributions

Methodology, J.Z.; Investigation, S.S.; Resources, Y.L. and S.S.; Data curation, Y.L., S.S. and S.Z.; Writing—original draft, Y.L., Q.H., S.S. and G.B.; Writing—review & editing, Y.L., M.Z. and J.Z.; Project administration, Y.L.; Funding acquisition, Y.L., Q.H., J.Z. and Z.-J.L.; Supervision, Z.-J.L. All authors have read and agreed to the published version of the manuscript.

Funding

The authors gratefully acknowledge the financial support from the Fujian Provincial Natural Science Foundation Project (2024J08236), Hezhou University Professor Research Start-up Fund (2025JSQD04), the Science and Technology Program of the Guangxi Department of Housing and Urban-Rural Development (R&D, 2024), the Special Project in Key Fields of the Guangdong Provincial Department of Education (No. 2023ZDX3106), and the Guangxi Program for Fostering Research Capacity of Young University Faculty (No. 2025KY0792).

Institutional Review Board Statement

Not applicable.

Informed Consent Statement

Not applicable.

Data Availability Statement

The original contributions presented in this study are included in the article. Further inquiries can be directed to the corresponding author.

Acknowledgments

Sincere appreciation is extended to all supporting institutions and funding agencies.

Conflicts of Interest

The authors declare that they have no known competing financial interests or personal relationships that could have appeared to influence the work reported in this paper.

References

  1. Zerig, T.; Belachia, M.; Aidoud, A.; Meftah, N.; Djedid, T.; Abbas, M. Statistical analysis using the RSM approach of the physical behavior of green polymerized eco-mortar. J. Clean. Prod. 2024, 450, 141858. [Google Scholar] [CrossRef]
  2. Rami Reddy, C.R.; Rao, H.S.; Ghorpade, V. Mechanical and Microstructural Behavior of Foamed Concrete with Polypropylene Fibers and Mineral Admixtures. Procedia Struct. Integr. 2025, 70, 223–230. [Google Scholar] [CrossRef]
  3. Lara, R.C.; de Castro Xavier, G.; Canela, M.C.; Carvalho, J.A.; Alexandre, J.; de Azevedo, A.R.G. Characterization and photocatalytic performance of cement mortars with incorporation of TiO2 and mineral admixtures. Environ. Sci. Pollut. Res. 2023, 30, 95537–95549. [Google Scholar] [CrossRef]
  4. Şahmaran, M.; Christianto, H.A.; Yaman, İ.Ö. The effect of chemical admixtures and mineral additives on the properties of self-compacting mortars. Cem. Concr. Compos. 2006, 28, 432–440. [Google Scholar] [CrossRef]
  5. Zhou, S.-C.; Lv, H.-L.; Li, N.; Zhang, J. Effects of Chemical Admixtures on the Working and Mechanical Properties of Ordinary Dry-Mixed Mortar. Adv. Mater. Sci. Eng. 2019, 2019, 5978089. [Google Scholar] [CrossRef]
  6. Jenni, A.; Zurbriggen, R.; Holzer, L.; Herwegh, M. Changes in microstructures and physical properties of polymer-modified mortars during wet storage. Cem. Concr. Res. 2006, 36, 79–90. [Google Scholar] [CrossRef]
  7. De Gasparo, A.; Herwegh, M.; Zurbriggen, R.; Scrivener, K. Quantitative distribution patterns of additives in self-leveling flooring compounds (underlayments) as function of application, formulation and climatic conditions. Cem. Concr. Res. 2009, 39, 313–323. [Google Scholar] [CrossRef]
  8. Ye, F.; Qiao, H.; Feng, Q.; Tian, Y.; Su, L.; Fu, Y. Study on multi-performance optimization of basalt stone powder supplementary cementitious materials. J. Build. Eng. 2023, 80, 108018. [Google Scholar] [CrossRef]
  9. Tang, Y.; Qiu, W.; Liu, D.; Zhang, W.; Zhang, R. Experimental Study on the Properties of Mortar and Concrete Made with Tunnel Slag Machine-Made Sand. Materials 2022, 15, 4817. [Google Scholar] [CrossRef] [PubMed]
  10. De Almeida, J.; Delboni, H.; Jr Bento, R.; Reggio, A.; Cremonese, E. Performance Analysis of HRCTM HPGR in Manufactured Sand Production. Minerals 2023, 13, 222. [Google Scholar] [CrossRef]
  11. Zhang, Y.; Zheng, Y.; Du, C.; Hu, S.; Wang, Z. Hybrid effects of basalt and polyvinyl alcohol fibers on the mechanical properties and macro-microscopic analysis of low-heat portland cement concrete. J. Mater. Res. Technol. 2023, 25, 608–632. [Google Scholar] [CrossRef]
  12. Su, J.; Zhang, P.; Guo, J.; Zheng, Y. Effect of PVA fibers on durability of nano-SiO2-reinforced cement-based composites subjected to wet-thermal and chloride salt-coupled environment. Nanotechnol. Rev. 2023, 12, 20230140. [Google Scholar] [CrossRef]
  13. Basak, S.; Shakyawar, D.B.; Samanta, K.K.; Kumar, N.; Bhowmick, M.; Debnath, S.; Ghosh, R.K.; Manjunatha, B.S.; Ghosh, S.; Mustafa, I.; et al. Cellulose-protein blended sustainable biodegradable flexible composite: A step towards a leather alternative. Cellulose 2023, 30, 11087–11112. [Google Scholar] [CrossRef]
  14. Martin, C.; Nourian, A.; Babaie, M.; Nasr, G.G. Innovative drilling fluid containing sand grafted with a cationic surfactant capable of drilling high pressure and high temperature geothermal and petroleum wells. Geoenergy Sci. Eng. 2024, 237, 212767. [Google Scholar] [CrossRef]
  15. Cui, S.-L.; Zhang, H.-Y.; Zhang, M. Swelling characteristics of compacted GMZ bentonite–sand mixtures as a buffer/backfill material in China. Eng. Geol. 2012, 141–142, 65–73. [Google Scholar] [CrossRef]
  16. Zhang, J.; Lv, T.; Zhu, Y.; Hou, D. Damage mechanism of engineered cementitious composites after exposed to elevated temperatures: Experimental and molecular dynamics study. Cem. Concr. Compos. 2022, 129, 104507. [Google Scholar] [CrossRef]
  17. Wu, H.; Liu, J.; Zhang, X. Feasibility study on use of cellular concrete for air convection embankment on permafrost foundations in Fairbanks, Alaska. Transp. Geotech. 2020, 22, 100317. [Google Scholar] [CrossRef]
  18. Cao, Y.; Mihardjo, L.W.W.; Parikhani, T. Thermal performance, parametric analysis, and multi-objective optimization of a direct-expansion solar-assisted heat pump water heater using NSGA-II and decision makings. Appl. Therm. Eng. 2020, 181, 115892. [Google Scholar] [CrossRef]
  19. Koyuncu, D.D.E.; Okur, M. Investigation of dye removal ability and reusability of green and sustainable silica and carbon-silica hybrid aerogels prepared from paddy waste ash. Colloids Surf. A Physicochem. Eng. Asp. 2021, 628, 127370. [Google Scholar] [CrossRef]
  20. Pyo, S.; Abate, S.Y.; Kim, H.-K. Abrasion resistance of ultra high performance concrete incorporating coarser aggregate. Constr. Build. Mater. 2018, 165, 11–16. [Google Scholar] [CrossRef]
  21. Wang, Y.; Wu, J.; Su, L.; Zhang, Z.; Wang, Z.; Lei, T.; Lu, X.; Ye, Z. Effect of Chemical Admixtures on the Working Performance and Mechanical Properties of Cement-Based Self-Leveling Mortar. Buildings 2023, 13, 2248. [Google Scholar] [CrossRef]
  22. Brachaczek, W. Study of the Properties of Renovation Plasters as a Function of Air Content and Porosity Using an Orthogonal Design of Experiment. Period. Polytech. Civ. Eng. 2018, 62, 1007–1014. [Google Scholar] [CrossRef]
  23. Li, Q.; Zhang, S.; Zhang, Z. Experimental preparation and mechanical properties enhancement of polymer mortar in industrial solid waste base. J. Phys. Conf. Ser. 2025, 3068, 012126. [Google Scholar] [CrossRef]
  24. Liu, J.; Yang, N.; Chen, H. Study on the mechanical properties and microstructural simulation of alkali-activated mineral powder-based mortar. Eur. J. Environ. Civ. Eng. 2025, 1–21. [Google Scholar] [CrossRef]
  25. Yuan, C.; Cai, Y.; Gu, Q.; Sang, D. Research on Modified High-performance Cement Mortar of Prefabricated Buildings Based on Orthogonal Test. Int. J. Concr. Struct. Mater. 2022, 16, 50. [Google Scholar] [CrossRef]
  26. Liu, Y.; Li, Y.; Jiang, G. Orthogonal experiment on performance of mortar made with dune sand. Constr. Build. Mater. 2020, 264, 120254. [Google Scholar] [CrossRef]
  27. Lu, B.; Zhang, Z.; Zhu, H.; Liu, K.; Zhang, Y.; Chen, W. Optimization design of recycled powder mortar mix ratio based on orthogonal test. Constr. Build. Mater. 2025, 474, 141145. [Google Scholar] [CrossRef]
  28. Liu, L.; Lei, M.; Gong, C.; Gan, S.; Yang, Z.; Kang, L.; Jia, C. A robust mix design method for self-compacting concrete. Constr. Build. Mater. 2022, 352, 128927. [Google Scholar] [CrossRef]
  29. Liu, M.; Yang, D.; Chen, L.; Chen, G.; Ma, Z. Effect of silicate modulus and alkali content on the microstructure and macroscopic properties of alkali-activated recycled powder mortar. Constr. Build. Mater. 2023, 397, 132365. [Google Scholar] [CrossRef]
  30. Ren, F.; Zhou, C.; Zeng, Q.; Ding, Z.; Xing, F.; Wang, W. The dependence of capillary sorptivity and gas permeability on initial water content for unsaturated cement mortars. Cem. Concr. Compos. 2019, 104, 103356. [Google Scholar] [CrossRef]
  31. Jin, C.; Qian, Y.; Khan, K.; Ahmad, A.; Amin, M.N.; Althoey, F.; Nawaz, R. Predicting the damage to cementitious composites due to acid attack and evaluating the effectiveness of eggshell powder using interpretable artificial intelligence models. Mater. Today Commun. 2023, 37, 107333. [Google Scholar] [CrossRef]
  32. Qin, J.; Pang, X.; Cheng, G.; Bu, Y.; Liu, H. Influences of different admixtures on the properties of oil well cement systems at HPHT conditions. Cem. Concr. Compos. 2021, 123, 104202. [Google Scholar] [CrossRef]
  33. Shaheen, K.; Shah, Z.; Arshad, T.; Khan, S.B.; Guo, J.; Khan, M.N.; Suo, H. Electrical conductance, dielectric properties and photodegradation ability of aluminum based Heterogeneous nanoparticles. Mater. Chem. Phys. 2020, 254, 123546. [Google Scholar] [CrossRef]
  34. Wang, S.; Xia, P.; Gong, F.; Zeng, Q.; Chen, K.; Zhao, Y. Multi objective optimization of recycled aggregate concrete based on explainable machine learning. J. Clean. Prod. 2024, 445, 141045. [Google Scholar] [CrossRef]
  35. Geng, S.-Y.; Luo, Q.-L.; Cheng, B.-Y.; Li, L.-X.; Wen, D.-C.; Long, W.-J. Intelligent multi-objective optimization of 3D printing low-carbon concrete for multi-scenario requirements. J. Clean. Prod. 2024, 445, 141361. [Google Scholar] [CrossRef]
Figure 1. Trend chart of the consistency of premixed mortar.
Figure 1. Trend chart of the consistency of premixed mortar.
Coatings 15 01395 g001
Figure 2. Trend chart of water retention rate of premixed mortar.
Figure 2. Trend chart of water retention rate of premixed mortar.
Coatings 15 01395 g002
Figure 3. Trend chart of compressive strength of premixed mortar.
Figure 3. Trend chart of compressive strength of premixed mortar.
Coatings 15 01395 g003
Figure 4. Relationship between the measured and predicted values of the consistency.
Figure 4. Relationship between the measured and predicted values of the consistency.
Coatings 15 01395 g004
Figure 7. Relationship between the water retention test values and predicted values.
Figure 7. Relationship between the water retention test values and predicted values.
Coatings 15 01395 g007
Table 1. Technical specifications of P·O 42.5 ordinary Portland cement.
Table 1. Technical specifications of P·O 42.5 ordinary Portland cement.
Density/g/cm3Standard Consistency Water Content/%Fineness/%Specific Surface Area/
m2/kg
StabilityCompressive Strength/MPaFlexural Strength/MPaCondensation Time/min
3 d28 d3 d28 dInitial SettingFinal Setting
3.10254.1450Qualified28.951.25.58.2165290
Table 2. Test results of the main properties of manufactured sand and river sand.
Table 2. Test results of the main properties of manufactured sand and river sand.
Type of SandLoose Bulk Density/kg/m3Apparent Density/kg/m3Fineness Modulus
Manufactured Sand156025802.7
River Sand150526002.4
Table 3. Results of stone powder performance tests.
Table 3. Results of stone powder performance tests.
Type of Stone PowderActive Index/%FinenessMobility Ratio/%Calcium Carbonate Content/%Methylene Blue Value
7 d28 d
Tuff Powder52.353.413.59260.200.92
Limestone Powder60.963.313.89680.290.96
Table 4. Factor level table.
Table 4. Factor level table.
LevelFactor
CE/%SP/%MS/%PVA/%BT/%
10.012510200.0350.9
20.01520300.041.0
30.017530400.0451.1
40.0240500.051.2
Table 5. Orthogonal test results of premixed mortar performance.
Table 5. Orthogonal test results of premixed mortar performance.
Serial NumberCE/%SP/%MS/%PVA/%BT/%Consistency/mmWater Retention Rate/%28 d Compressive Strength/MPa
10.012510200.0350.99591.513.5
20.012520300.0419891.610.5
30.012530400.0451.19691.28.2
40.012540500.051.29491.76.2
50.01510300.0451.293929.8
60.01520200.051.19492.210.3
70.01530500.03519791.87.5
80.01540400.040.99392.16
90.017510400.0519492.58
100.017520500.0450.99692.37.2
110.017530200.041.2909310
120.017540300.0351.19292.86.5
130.0210500.041.19193.57
140.0220400.0351.29093.88.5
150.0230300.050.99393.29
160.0240200.045191936.8
Table 6. Analysis of mean and range of consistency.
Table 6. Analysis of mean and range of consistency.
LevelFactor
CE/%SP/%MS/%PVA/%BT/%
195.7593.2592.593.594.25
294.2594.5949395
3939493.259493.25
491.2592.594.593.7591.75
Extreme Value
Sort
4.5(1)2(3)2(3)1(4)3.25(2)
Table 7. Analysis of mean and range of water retention rate.
Table 7. Analysis of mean and range of water retention rate.
LevelFactor
CE/%SP/%MS/%PVA/%BT/%
191.592.37592.42592.47592.275
292.02592.47592.492.5592.225
392.6592.392.492.12592.425
493.37592.492.32592.492.625
Extreme Value
Sort
1.875(1)0.175(4)0.1(5)0.425(2)0.4(3)
Table 8. Analysis of the mean and range of compressive strength.
Table 8. Analysis of the mean and range of compressive strength.
LevelFactor
CE/%SP/%MS/%PVA/%BT/%
19.69.57510.1509.0008.925
28.4009.1258.9508.3758.200
37.9258.6757.6758.0008.000
47.8256.3756.9758.3758.625
Extreme Value
Sort
1.775(3)3.2(1)3.175(2)1.0(4)0.925(5)
Table 9. Variance analysis of consistency.
Table 9. Variance analysis of consistency.
Source of VarianceSum of Squared DeviationDegree of FreedomMean SquareF-ValueSignificant
A131.896343.96547.962p < 0.01
B22.39637.4658.144p < 0.01
C26.06238.6879.477p < 0.01
D5.39631.7991.962p = 0.140
E79.896326.63229.053p < 0.01
Error29.333320.917  
Table 10. Variance analysis of water retention rate.
Table 10. Variance analysis of water retention rate.
Source of VarianceSum of Squared DeviationDegree of FreedomMean SquareF-ValueSignificant
A23.48637.829200.947p < 0.01
B0.19130.0641.631p = 0.202
C0.07130.0240.604p = 0.617
D1.27130.42410.872p < 0.01
E1.14130.3809.759p < 0.01
Error1.247320.039  
Table 11. Variance analysis of compressive strength.
Table 11. Variance analysis of compressive strength.
Source of VarianceSum of Squared DeviationDegree of FreedomMean SquareF-ValueSignificant
A23.88737.962199.062p < 0.01
B72.922324.307607.687p < 0.01
C70.987323.662591.562p < 0.01
D6.18732.06251.563p < 0.01
E6.24832.08352.063p < 0.01
Error1.280320.040  
Disclaimer/Publisher’s Note: The statements, opinions and data contained in all publications are solely those of the individual author(s) and contributor(s) and not of MDPI and/or the editor(s). MDPI and/or the editor(s) disclaim responsibility for any injury to people or property resulting from any ideas, methods, instructions or products referred to in the content.

Share and Cite

MDPI and ACS Style

Lin, Y.; Hu, Q.; Shen, S.; Zhou, M.; Zhang, J.; Zhang, S.; Ban, G.; Lee, Z.-J. Influence of Cellulose Ether on Properties of Premixed Mortar Based on Orthogonal Test Method. Coatings 2025, 15, 1395. https://doi.org/10.3390/coatings15121395

AMA Style

Lin Y, Hu Q, Shen S, Zhou M, Zhang J, Zhang S, Ban G, Lee Z-J. Influence of Cellulose Ether on Properties of Premixed Mortar Based on Orthogonal Test Method. Coatings. 2025; 15(12):1395. https://doi.org/10.3390/coatings15121395

Chicago/Turabian Style

Lin, Yun, Qin Hu, Shuzeng Shen, Mo Zhou, Jintuan Zhang, Siqing Zhang, Guimeng Ban, and Zne-Jung Lee. 2025. "Influence of Cellulose Ether on Properties of Premixed Mortar Based on Orthogonal Test Method" Coatings 15, no. 12: 1395. https://doi.org/10.3390/coatings15121395

APA Style

Lin, Y., Hu, Q., Shen, S., Zhou, M., Zhang, J., Zhang, S., Ban, G., & Lee, Z.-J. (2025). Influence of Cellulose Ether on Properties of Premixed Mortar Based on Orthogonal Test Method. Coatings, 15(12), 1395. https://doi.org/10.3390/coatings15121395

Note that from the first issue of 2016, this journal uses article numbers instead of page numbers. See further details here.

Article Metrics

Back to TopTop