Degradation Performance of Poly-Lactic Acid Membrane for WE43 Alloy Under Flow Condition
Abstract
1. Introduction
2. Materials and Methods
2.1. Materials Preparation
2.2. In Vitro Degradation Test
2.3. Finite Element Analysis
2.4. Electrochemical Test
2.5. Characterization
3. Results
3.1. Permeation Profiles of Sodium and Chloride Ions
3.2. Degradation Performance of the PLA Membrane
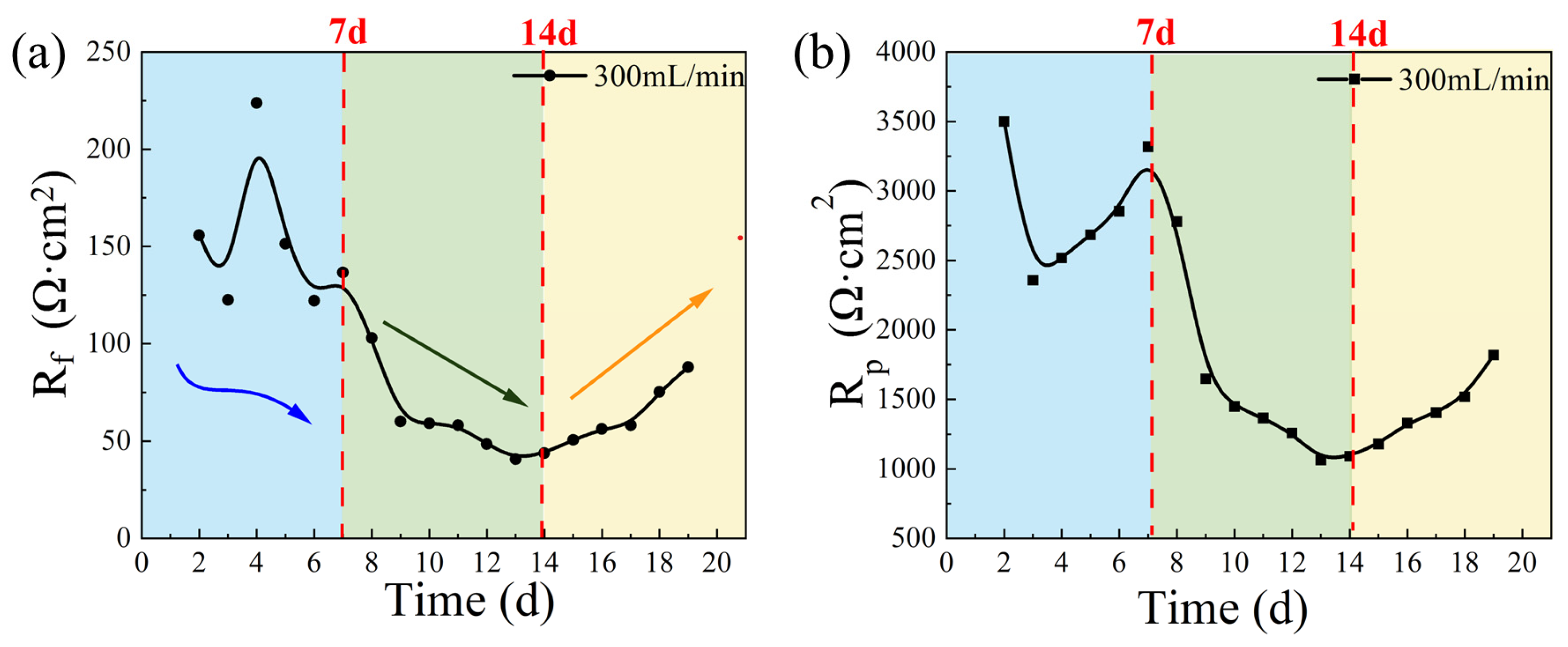
3.2.1. Electrochemical Properties of the PLA Membrane
3.2.2. Structure and Surface Morphology of the PLA Membrane
3.3. Degradation Performance of the WE43 Alloy
3.3.1. Electrochemical Properties of the WE43 Alloy
3.3.2. Structure and Surface Morphology of the WE43 Alloy
4. Discussion
5. Conclusions
- (1)
- The applied flow facilitates the formation of micro-cracks in the PLA membrane, which serve as additional pathways for the permeation of Na+ and Cl− ions. The ion permeation rates for Na+ and Cl− ions under the flow were 0.097 and 0.042 mmol/(L·h) during the initial 15 days immersion, respectively.
- (2)
- Consequently, the flow accelerates the ion permeation across the PLA membrane, thereby expediting the degradation of the underlying substrate.
- (3)
- The degradation rate of the substrate shows a strong correlation with the permeated Cl− concentration. In contrast, the deposition of calcium-containing compounds is a time-dependent process, governed by the permeation kinetics of Ca2+ ions through the membrane.
Author Contributions
Funding
Data Availability Statement
Conflicts of Interest
References
- Zheng, Y.F.; Gu, X.N.; Witte, F. Biodegradable metals. Mater. Sci. Eng. R Rep. 2014, 77, 1–34. [Google Scholar] [CrossRef]
- Parfenova, L.V.; Galimshina, Z.R.; Parfenov, E.V. Organic-Inorganic Biocompatible Coatings for Temporary and Permanent Metal Implants. Int. J. Mol. Sci. 2024, 25, 11623. [Google Scholar] [CrossRef]
- Holden, H.; Le, Z.; George, B.; Brandon, M.; Kyu, C.; Yongho, S. Additive manufacturing of dense WE43 Mg alloy by laser powder bed fusion. Addit. Manuf. 2020, 33, 101123. [Google Scholar] [CrossRef]
- de la Pezuela, J.; Sánchez-Gil, S.; Fernández-Hernán, J.P.; Michalcova, A.; Rodrigo, P.; López, M.D.; Torres, B.; Rams, J. Evaluation of the Impact of the LPBF Manufacturing Conditions on Microstructure and Corrosion Behaviour in 3.5 wt.% NaCl of the WE43 Magnesium Alloy. Materials 2025, 18, 3613. [Google Scholar] [CrossRef]
- Shekhar, N.; Mondal, A. Synthesis, properties, environmental degradation, processing, and applications of Polylactic Acid (PLA): An overview. Polym. Bull. 2024, 81, 11421–11457. [Google Scholar] [CrossRef]
- Khouri, N.G.; Bahú, J.O.; Blanco-Llamero, C.; Severino, P.; Concha, V.O.C.; Souto, E.B. Polylactic acid (PLA): Properties, synthesis, and biomedical applications—A review of the literature. J. Mol. Struct. 2024, 1309, 138243. [Google Scholar] [CrossRef]
- Cai, H.; Meng, J.; Li, X.; Xue, F.; Chu, C.; Guo, C.; Bai, J. In vitro degradation behavior of Mg wire/poly(lactic acid) composite rods prepared by hot pressing and hot drawing. Acta Biomater. 2019, 98, 125–141. [Google Scholar] [CrossRef]
- Marukawa, E.; Tamai, M.; Takahashi, Y.; Hatakeyama, I.; Sato, M.; Higuchi, Y.; Kakidachi, H.; Taniguchi, H.; Sakamoto, T.; Honda, J.; et al. Comparison of magnesium alloys and poly-l-lactide screws as degradable implants in a canine fracture model. J. Biomed. Mater. Res. B Appl. Biomater. 2016, 104, 1282–1289. [Google Scholar] [CrossRef]
- Li, L.Y.; Cui, L.Y.; Zeng, R.C.; Li, S.Q.; Chen, X.B.; Zheng, Y.; Kannan, M.B. Advances in functionalized polymer coatings on biodegradable magnesium alloys—A review. Acta Biomater. 2018, 79, 23–36. [Google Scholar] [CrossRef]
- Zhu, Y.; Liu, W.; Ngai, T. Polymer coatings on magnesium-based implants for orthopedic applications. J. Polym. Sci. 2021, 60, 32–51. [Google Scholar] [CrossRef]
- Schelbert, H.R. Anatomy and physiology of coronary blood flow. J. Nucl. Cardiol. 2010, 17, 545–554. [Google Scholar] [CrossRef] [PubMed]
- Li, N.; Guo, C.; Wu, Y.H.; Zheng, Y.F.; Ruan, L.Q. Comparative study on corrosion behaviour of pure Mg and WE43 alloy in static, stirring and flowing Hank’s solution. Corros. Eng. Sci. Technol. 2013, 47, 346–351. [Google Scholar] [CrossRef]
- Ascencio, M.; Pekguleryuz, M.; Omanovic, S. An investigation of the corrosion mechanisms of WE43 Mg alloy in a modified simulated body fluid solution: The effect of electrolyte renewal. Corros. Sci. 2015, 91, 297–310. [Google Scholar] [CrossRef]
- Walker, J.; Shadanbaz, S.; Woodfield, T.B.F.; Staiger, M.P.; Dias, G.J. The in vitro and in vivo evaluation of the biocompatibility of Mg alloys. Biomed. Mater. 2014, 9, 015006. [Google Scholar] [CrossRef] [PubMed]
- Atrens, A.; Liu, M.; Zainal Abidin, N.I. Corrosion mechanism applicable to biodegradable magnesium implants. Mater. Sci. Eng. B 2011, 176, 1609–1636. [Google Scholar] [CrossRef]
- Tian, J.; Huang, H.L.; Pan, Z.Q.; Zhou, H. Effect of flow velocity on corrosion behavior of AZ91D magnesium alloy at elbow of loop system. Trans. Nonferrous Met. Soc. China 2016, 26, 2857–2867. [Google Scholar] [CrossRef]
- Wang, J.; Giridharan, V.; Shanov, V.; Xu, Z.G.; Collins, B.; White, L.; Jang, Y.; Sankar, J.; Huang, N.; Yun, Y. Flow-induced corrosion behavior of absorbable magnesium-based stents. Acta Biomater. 2014, 10, 5213–5223. [Google Scholar] [CrossRef]
- Wang, J.; Jang, Y.; Wan, G.J.; Giridharan, V.; Song, G.L.; Xu, Z.G.; Koo, Y.; Qi, P.K.; Sankar, J.; Huang, N.; et al. Flow-induced corrosion of absorbable magnesium alloy: In-situ and real-time electrochemical study. Corros. Sci. 2016, 104, 277–289. [Google Scholar] [CrossRef]
- Han, L.Y.; Li, X.; Chu, C.L.; Ba, J.; Xue, F. Corrosion Behavior of AZ31 Magnesium Alloy in Dynamic Conditions. Acta Metall. Sin. 2017, 53, 1347–1356. [Google Scholar] [CrossRef]
- Shang, T.D.; Wang, K.B.; Zhang, L.; Zhou, L.; Liu, L.Y.; Liu, C.Q.; Zhang, H.; Li, X.; Zhao, Y.C.; Wang, J. A microfluidic system simulating physiological fluid environment for studying the degradation behaviors of magnesium-based materials. J. Sci. Adv. Mater. Dev. 2023, 8, 100590. [Google Scholar] [CrossRef]
- Rahul, S.; Kevin, K.R.; Kristofer, L.G.; Benny, D.F. Hydraulic permeation-induced water concentration gradients in ion exchange membranes. J. Membr. Sci. 2024, 705, 122858. [Google Scholar] [CrossRef]
- Wang, A.; Breakwell, C.; Foglia, F.; Tan, R.; Lovell, L.; Wei, X.; Wong, T.; Meng, N.; Li, H.; Seel, A.; et al. Selective ion transport through hydrated micropores in polymer membranes. Nature 2024, 635, 353–358. [Google Scholar] [CrossRef] [PubMed]
- Jiang, Y.; Hu, R.; Yang, C.Y.; Zhou, Z.H.; Yuan, G.; Zhou, H.; Hu, S. Surface diffusion enhanced ion transport through two-dimensional nanochannels. Sci. Adv. 2023, 9, eadi8493. [Google Scholar] [CrossRef] [PubMed]
- Mao, K.; Liu, C.; Ni, A.; Wang, J.; Sun, J.; Wang, G.; Xiong, P.; Zhu, J. Optimization of ion transport in two-dimensional nanofluidic membranes for osmotic energy conversion. Mater. Today 2025, 82, 274–288. [Google Scholar] [CrossRef]
- Thomas, B.; Sumam, K.S. Blood Flow in Human Arterial System—A Review. Procedia Technol. 2016, 24, 339–346. [Google Scholar] [CrossRef]
- Theodore, G.P.; Emmanouil, N.K.; Manolis, V.; John, P.L.; Christodoulos, S. Assessment of vascular wall shear stress and implications for atherosclerotic disease. Int. J. Cardiol. 2006, 113, 12–18. [Google Scholar] [CrossRef]
- Dai, J.W.; Wu, C.Q.; Yang, J.Y.; Zhang, L.; Dong, Q.S.; Han, L.Y.; Li, X.; Bai, J.; Xue, F.; Chu, P.K.; et al. Poly-lactic acid coatings on the biomedical WE43 Mg alloy: Protection mechanism and ion permeation effects. Prog. Org. Coat. 2023, 177, 107427. [Google Scholar] [CrossRef]
- Travers, G.; Kippelen, P.; Trangmar, S.J.; José, G.A. Physiological function during exercise and environmental stress in humans-an integrative view of body systems and homeostasis. Cells 2022, 11, 383. [Google Scholar] [CrossRef]
- Wen, K.Q.; Gorbushina, A.A.; Schwibbert, K.; Bell, J. Microfluidic Platform with Precisely Controlled Hydrodynamic Parameters and Integrated Features for Generation of Microvortices to Accurately Form and Monitor Biofilms in Flow. ACS Biomater. Sci. Eng. 2024, 10, 4626–4634. [Google Scholar] [CrossRef]
- Shang, T.D.; Wang, K.B.; Tang, S.S.; Shen, Y.; Zhou, L.; Zhang, L.; Zhao, Y.C.; Li, X.; Cai, L.; Wang, J. The Flow-Induced Degradation and Vascular Cellular Response Study of Magnesium-Based Materials. Front. Bioeng. Biotech. 2022, 10, 940172. [Google Scholar] [CrossRef]
- Volkov, A.G.; Paula, S.; Deamer, D.W. Two mechanisms of permeation of small neutral molecules and hydrated ions across phospholipid bilayers. Bioelectrochem. Bioenerg. 1997, 42, 153–160. [Google Scholar] [CrossRef]
- Croll, S.G. Electrolyte transport in polymer barrier coatings: Perspectives from other disciplines. Prog. Org. Coat. 2018, 124, 41–48. [Google Scholar] [CrossRef]
- Deflorian, F.; Rossi, S. An EIS study of ion diffusion through organic coatings. Electrochim. Acta 2006, 51, 1736–1744. [Google Scholar] [CrossRef]
- Liao, S.; Liu, Y.; Li, L.; Li, D.; Wei, Y.Y.; Wang, H.H. Theoretical framework for confined ion transport in two-dimensional nanochannels. Nat. Commun. 2025, 16, 6675. [Google Scholar] [CrossRef] [PubMed]
- Zhao, X.; Zheng, Z.; Chen, J.; Sun, J.; Xiong, M.; Hou, X.; Mei, S. In-situ experimental study on the hydrolysis and pyrolysis processes of polylactic acid. Polym. Eng. Sci. 2024, 64, 1675–1685. [Google Scholar] [CrossRef]
- Dorozhkin, S.V. Calcium orthophosphate-containing biocomposites and hybrid biomaterials for biomedical applications. J. Funct. Biomater. 2015, 6, 708–832. [Google Scholar] [CrossRef]
- Sørensen, P.A.; Dam-Johansen, K.; Weinell, C.E.; Kiil, S. Cathodic delamination: Quantification of ionic transport rates along coating–steel interfaces. Prog. Org. Coat. 2010, 67, 107–115. [Google Scholar] [CrossRef]
- Lyon, S.B.; Bingham, R.; Mills, D.J. Advances in corrosion protection by organic coatings: What we know and what we would like to know. Prog. Org. Coat. 2017, 102, 2–7. [Google Scholar] [CrossRef]










| M (g/mol) | PDI | ||
|---|---|---|---|
| Mn | Mw | ||
| Before immersion | 125,411 (±13,453) | 275,563 (±51,593) | 2.19278 |
| After immersion | 78,758 (±8327) | 149,967 (±16,291) | 1.90415 |
Disclaimer/Publisher’s Note: The statements, opinions and data contained in all publications are solely those of the individual author(s) and contributor(s) and not of MDPI and/or the editor(s). MDPI and/or the editor(s) disclaim responsibility for any injury to people or property resulting from any ideas, methods, instructions or products referred to in the content. |
© 2025 by the authors. Licensee MDPI, Basel, Switzerland. This article is an open access article distributed under the terms and conditions of the Creative Commons Attribution (CC BY) license (https://creativecommons.org/licenses/by/4.0/).
Share and Cite
Zhang, S.; Wu, C.; Gao, J.; Wen, J.; Zhao, F.; Yang, J.; Chu, C. Degradation Performance of Poly-Lactic Acid Membrane for WE43 Alloy Under Flow Condition. Coatings 2025, 15, 1290. https://doi.org/10.3390/coatings15111290
Zhang S, Wu C, Gao J, Wen J, Zhao F, Yang J, Chu C. Degradation Performance of Poly-Lactic Acid Membrane for WE43 Alloy Under Flow Condition. Coatings. 2025; 15(11):1290. https://doi.org/10.3390/coatings15111290
Chicago/Turabian StyleZhang, Shudong, Changqing Wu, Jingxian Gao, Jiqin Wen, Fangtao Zhao, Juyi Yang, and Chenglin Chu. 2025. "Degradation Performance of Poly-Lactic Acid Membrane for WE43 Alloy Under Flow Condition" Coatings 15, no. 11: 1290. https://doi.org/10.3390/coatings15111290
APA StyleZhang, S., Wu, C., Gao, J., Wen, J., Zhao, F., Yang, J., & Chu, C. (2025). Degradation Performance of Poly-Lactic Acid Membrane for WE43 Alloy Under Flow Condition. Coatings, 15(11), 1290. https://doi.org/10.3390/coatings15111290
