Next Article in Journal
Special Issue: Advancement in Heat Treatment and Surface Modification for Metals
Next Article in Special Issue
Microstructure Regulation and Optoelectronic Performance Optimization of Flexible CPI-Based ITO Thin Films Under Low-Temperature Heat Treatment Process
Previous Article in Journal
Effect of Laser Surface Melting on the Microstructure and Corrosion Resistance of Laser Powder Bed Fusion and Wrought Ti-6Al-4V Alloys
Previous Article in Special Issue
Multi-Step Simulations of Ionized Metal Physical Vapor Deposition to Enhance the Plasma Formation Uniformity
 
 
Font Type:
Arial Georgia Verdana
Font Size:
Aa Aa Aa
Line Spacing:
Column Width:
Background:
Article

Antibacterial Efficacy and Biocompatibility of HiPIMS-Ag Films for Prosthetic Application

1
Department of Materials Science and Engineering, Feng Chia University, Taichung 407102, Taiwan
2
Institute of Plasma, Feng Chia University, Taichung 407102, Taiwan
3
Functional Neurosurgery Division, Neurological Institute, Taichung Veterans General Hospital, Taichung 407219, Taiwan
4
Department of Post-Baccalaureate Medicine, National Chung Hsing University, Taichung 402202, Taiwan
5
Otolaryngology, Kuang Tien General Hospital, Taichung 433401, Taiwan
*
Author to whom correspondence should be addressed.
Coatings 2025, 15(11), 1286; https://doi.org/10.3390/coatings15111286
Submission received: 14 September 2025 / Revised: 11 October 2025 / Accepted: 22 October 2025 / Published: 3 November 2025

Abstract

Implant-associated infections (IAIs) remain a major cause of orthopedic implant failure, motivating the development of surface coatings that deliver durable antibacterial activity without compromising host compatibility. Here, we deposit silver (Ag) thin films onto commercially pure titanium (Ti) using high power impulse magnetron sputtering (HiPIMS) and assess their antibacterial performance and osteoblast cytocompatibility. Film formation, morphology and crystallinity were characterized by electron microscopy and X-ray diffractometry, while interfacial integrity was probed using ASTM D3359 cross-cut and VDI 3198 Rockwell-C indentation. Antibacterial activity against Escherichia coli and Staphylococcus aureus was quantified by culture-based enumeration, and Ag+ release was measured by ICP-MS. HiPIMS enabled rapid formation of dense, continuous and crystalline Ag films with excellent adhesion. Even ultrathin coatings (~7 nm) produced strong antibacterial effects (activity value > 2.0) while releasing controllable trace Ag+ (ultimately 0.43 ppb/day), and osteoblast assays indicated no cytotoxicity under the tested conditions. The results show that HiPIMS-Ag achieves a favorable balance between antimicrobial efficacy and biocompatibility at low thickness, supporting its use as a robust antibacterial surface for Ti implants and providing a foundation for translation to device level and in vivo studies.

1. Introduction

Orthopedic implants have transformed the clinical management of trauma, degenerative disease and congenital deformities. However, implant-associated infection (IAI) [1,2] persists as a challenging complication that can jeopardize osseointegration, prolong hospitalization, and necessitate costly revision procedures. Biofilm-forming pathogens such as Staphylococcus aureus and opportunistic Gram-negative species (e.g., Escherichia coli) colonize abiotic surfaces and acquire tolerance to antibiotics, reducing therapeutic options once infection is established [3]. This clinical reality has driven interest in surface engineering strategies that endow implant materials with an intrinsic, long-lasting antibacterial function while preserving the biological performance needed for bone integration.
Among antibacterial agents, silver (Ag) is notable for its broad-spectrum activity, lack of specific bacterial target binding, and effectiveness against antibiotic-resistant strains [4]. Nonetheless, translating Ag into load-bearing implant coatings presents two recurring obstacles. First, the mechanical robustness of particulate or polymer-bound Ag systems is often inadequate for long-term service in vivo, where interfaces can be challenged by micromotion and interfacial shear. Second, uncontrolled or excessive Ag+ release may cause local cytotoxicity and interfere with osteogenic processes. Thin-film approaches address these constraints by immobilizing Ag within a dense, adherent metallic layer whose release kinetics are governed by surface chemistry and microstructure rather than particulate detachment [3,5].
High power impulse magnetron sputtering (HiPIMS) [6] has emerged as a particularly attractive method for fabricating such layers. Compared to direct-current magnetron sputtering (DCMS), HiPIMS pulses yield a high degree of target material ionization and high ion energies at the growing surface, enabling densification, improved texture control, and strong film–substrate adhesion at modest substrate temperatures [7,8]. These attributes are advantageous for Ti implants, which are commonly used in orthopedic devices and must retain favorable biomechanical and surface properties. With HiPIMS, very short deposition times can yield continuous Ag coverage with a fine-grained microstructure, while the ion-assisted growth mode enhances interfacial quality [9].
Building on these considerations, the present work investigates Ag thin films deposited onto Ti by HiPIMS, focusing specifically on antibacterial efficacy and osteoblast cytocompatibility. It is anticipated that (i) HiPIMS produces continuous, crystalline Ag films at short deposition times with robust adhesion; (ii) even ultrathin films provide strong antibacterial effects through controlled, low-level Ag+ release; and (iii) the resulting coatings are cytocompatible with osteoblastic cells [10]. The study aims to provide a coherent data set that supports the use of HiPIMS-Ag as a surface-engineered active antibacterial solution for Ti implants.

2. Materials and Methods

Commercially pure Ti substrates, prepared in two sizes (50 mm × 50 mm × 1 mm for antibacterial testing and 25 mm × 25 mm × 1 mm for osteoblast compatibility testing), were all subjected to the same cleaning procedure. Each specimen was ultrasonically cleaned in acetone, ethanol and deionized water, followed by air drying. Immediately prior to deposition, specimens received an argon plasma pre-treatment to remove adventitious surface contaminants and to enhance interfacial bonding. Ag films were deposited using a HiPIMS power supply coupled to a planar Ag target (335 mm × 114 mm). Power parameters were chosen to achieve a high ionized fraction of sputtered species to facilitate a fine-grained microstructure and strong film adhesion [9]. Substrate table was without additional heating. Figure 1a shows the coating chamber inside with Ag target and Ti substrates attached onto rotation substrate holder and Figure 1b shows the target peak voltage and the responded peak current. Deposition time was systematically varied from a few seconds to several minutes to tune film thickness over the ultrathin to sub-hundred-nanometer regime. Process conditions (pressure, target–substrate distance, duty cycle) were held constant for parametric comparisons. The overall goal was to establish the minimum deposition time needed for continuous Ag coverage with satisfactory adhesion.
Plan-view and cross-sectional morphologies were examined by field-emission scanning electron microscopy (FESEM). Additionally, the cross-sectional image was also used to estimate film thickness and infer the growth rate from thickness–time relationships. X-ray diffractometry (XRD) was used to assess crystallinity and texture.
Interfacial adhesion was quantified by ASTM D3359-02 cross-cut tape testing [11] using standard procedures and a rating scale from 0B to 5B, where 5B indicates no detachment along the scribed lattice. Complementary Daimler-Benz Rockwell-C indentation (VDI 3198) [12] was performed to evaluate cohesive/adhesive failures surrounding the indentation imprint (classifications HF1–HF6).
Antibacterial activity was evaluated against Escherichia coli and Staphylococcus aureus according to JIS Z 2801:2010 [13]. Briefly, sterilized specimens were inoculated with a defined bacterial suspension and incubated under controlled temperature and humidity. After exposure, non-adherent bacteria were gently rinsed off and surface-associated bacteria were recovered and enumerated on agar plates. Antibacterial activity values were calculated relative to uncoated Ti controls using established protocols. Each condition included multiple technical replicates and at least three independent experiments. Colony-forming units (CFU) per specimen were calculated as N = C × D × V, where C is the mean colony count of duplicate plates, D is the dilution factor, and V is the recovery volume (mL; here, 9.76 mL). Antibacterial activity was expressed as R = log10(NB/NC) equivalent to [log10(NB/NA) − log10(NC/NA)], where NA is the CFU for Group A (titanium, immediate rinse), NB is the CFU for Group B (titanium after 24 h), and NC is the CFU for Group C (HiPIMS-Ag after 24 h). In accordance with the JIS criterion, specimens were considered antibacterial when R > 2.0.
The HiPIMS-Ag thin-film specimens were immersed in PBS to simulate the silver-ion release behavior after implantation. Potential correlations between antibacterial performance and Ag+ availability, aliquots were collected at specified intervals. Ag+ concentrations were quantified using inductively coupled plasma mass spectrometry (ICP-MS).
MC3T3-E1 pre-osteoblast cells were used as a model to assess host compatibility. Cells were seeded onto coated and uncoated Ti substrates and cultured under standard conditions. Early adhesion and spreading were visualized microscopically at 4 h and 24 h. Cell proliferation and metabolic activity were evaluated at later time points using common viability assays.

3. Results

3.1. Film Growth, Morphology and Crystallinity

As shown in Figure 2, where FESEM imaging revealed a rapid transition from discrete Ag islands at very short deposition time to a continuous, flat film with only tens of seconds of growth. Cross-sectional inspection and thickness–time analysis indicated an average deposition rate of approximately 1.4 nm/s. Based on this deposition rate, the thickness of the Ag film deposited for 5 s was estimated to be about 7 nm, as extrapolated from the linear thickness–time relationship established using cross-sectional FESEM measurements of HiPIMS-Ag films. For instance, a thickness of approximately 249 nm was obtained after 180 s of deposition, as shown in Figure 2f. Literature reports that most noble metals (Ag, Pt, Au), due to their intrinsically high surface energies, exhibit stronger metal–metal interactions compared to metal–substrate interactions. As a result, thin films of these metals preferentially grow via the Volmer–Weber (island) mode during deposition. Consequently, numerous studies have shown that Ag thin films deposited by electron beam evaporation or direct current magnetron sputtering (DCMS) initially form discontinuous island-like structures [14,15]. In comparison, in the present study, the thickness of the Ag film deposited for 5 s using HiPIMS was estimated to be 7 nm, as calculated from Figure 2. Owing to the high plasma density and high ion energy characteristic of HiPIMS [7,8], nearly continuous ultrathin Ag films could be obtained even without any surface pretreatments, such as UV pretreatment [14] or the deposition of an AZO interlayer [15]. This significantly shortens the transition time from island-like structures to continuous films.
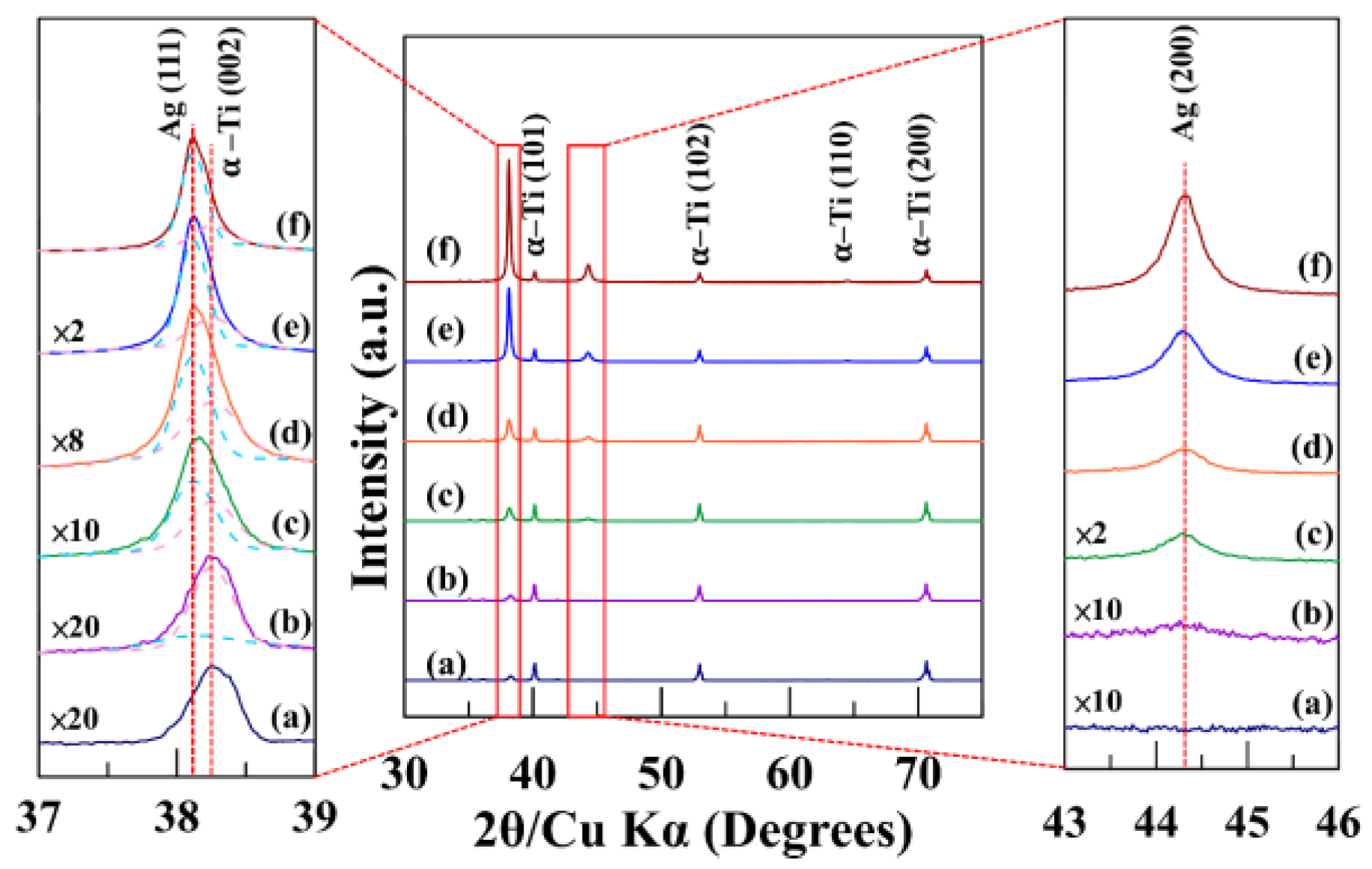
Figure 3 shows the XRD patterns of the HiPIMS-Ag films deposited for different deposition time, with their Ag (111) and Ag (200) magnified. Peaks ascribed to α-Ti can be seen for all specimens due to very thin HiPIMS-Ag film, allowing XRD to detect the underlying substrate. Even ultrathin films near 7 nm (deposited for 5 s) exhibited distinct Ag diffraction signal in XRD shown in Figure 3b, confirming that crystalline domains form early in growth. As film thickness increased, Ag peaks sharpened and intensified, indicating improved crystallinity and/or texture evolution. Close-packed Ag (111) texture is observed due to instantaneous ion bombardment of the highly ionized HiPIMS plasma to densify the growing film structure.

3.2. Adhesion and Interfacial Quality

Figure 4 presents the surface morphology and EDS elemental distribution of the HiPIMS-Ag film after a cross-hatch adhesion test performed on the specimen deposited for 30 s. As observed in the surface morphology image, apart from the grid lines produced by the cross-hatch cutter that mechanically removed the film along the scribed areas, no delamination of the HiPIMS-Ag film occurred elsewhere. Elemental distribution analysis by EDS further confirmed this observation. Therefore, according to the classification criteria defined in ASTM D3359-02, the adhesion of the HiPIMS-Ag film specimen can be rated as the highest level, 5B.
The HiPIMS-Ag film specimen deposited for 180 s was subjected to the VDI 3198 adhesion test to examine whether compressive stress would induce delamination. The results are shown in Figure 5. As observed, no evidence of film delamination was found around the indentation perimeter. However, a slight protrusion was detected at the center of the indentation. Higher magnification imaging (Figure 5b,c) combined with EDS elemental mapping (Figure 5d) revealed that, due to the high ductility of silver, the HiPIMS-Ag film exhibited a stretched morphology under the shear force exerted by the indenter.
Nevertheless, most regions of the HiPIMS-Ag film remained intact without delamination, indicating that the adhesion strength between the HiPIMS-Ag film and the Ti substrate exceeds the intrinsic cohesive strength of the HiPIMS-Ag film itself—a hallmark of exceptionally strong film adhesion. Rockwell-C indentation showed well-defined crack patterns without delamination halos, corresponding to an HF1 classification according to the VDI 3198 standards, indicating favorable adhesion performance. These outcomes support the view that HiPIMS’ ion-assisted growth densifies the interfacial region and promotes strong film–substrate bonding, which is essential for durable implant coatings that may experience micromotion in vivo.

3.3. Antibacterial Efficacy Against Gram-Negative and Gram-Positive Bacteria

Figure 6a,b show the colony growth of HiPIMS-Ag film specimens with different deposition times after inoculation with Escherichia coli and Staphylococcus aureus suspensions, respectively, followed by rinsing and plate cultivation. The results reveal that distinct bacterial colonies were observed in the Petri dish of bare Ti (i.e., deposition time = 0 s). In contrast, once the surface was coated with a HiPIMS-Ag film, no obvious colony formation was detected at any deposition time, qualitatively demonstrating the antibacterial capability of the HiPIMS-Ag films.
In this study, the antibacterial activity values of HiPIMS-Ag film specimens with different deposition times were calculated based on the number of Escherichia coli and Staphylococcus aureus colonies formed after 24 h of plate cultivation, as shown in Figure 7. The results indicate that the Ti substrate exhibited an antibacterial activity value of 0 against E. coli and 0.69 against S. aureus, both below the threshold of 2.0, confirming its lack of antibacterial effect. In contrast, for all HiPIMS-Ag film specimens, regardless of deposition time, the antibacterial activity values were 5.95 against E. coli and 4.83 against S. aureus, both exceeding 2.0. These quantitative results demonstrate that HiPIMS-Ag films possess excellent antibacterial performance against both bacterial strains. Notably, even the ultrathin (~7 nm) films achieved antibacterial activity values greater than 2.0 in this culture-based assay. The effect was robust across replicate experiments and was observed for both bacterial species, underscoring the broad-spectrum nature of Ag-mediated activity. Thicker films also exhibited strong antibacterial performance; however, the observation that minimal Ag coverage sufficed to suppress growth is important from the standpoint of biocompatibility, materials cost, and process throughput.

3.4. Silver Ion Release

Figure 8a presents the concentrations of released silver ions measured in specimens taken after 1, 3, 7, 14, 21, and 28 days of PBS immersion for films fabricated with different deposition times. By all means to see that increasing the immersion time and increased deposition time leads to the increased Ag+ ion concentration. However, specimens deposited for 5 s and 30 s exhibited slightly faster silver-ion release rates during the initial immersion stage (days 1–3) than those deposited for 60 s, 120 s, and 180 s. At later immersion stages, however, the cumulative amount of released silver ions increased with deposition time. This behavior is attributed to the fact that at very short deposition times the HiPIMS-Ag film had not yet formed a fully continuous coating, resulting in a relatively larger surface area exposed to PBS; consequently, the 5 s and 30 s films released silver ions more rapidly. As the deposition time increased, the film became continuous and dense, leading to a slower release rate; with prolonged immersion, the released amount correlated with the film thickness (total mass). Moreover, after 28 days in PBS, the measured silver-ion concentrations were only 150–300 ppb. This indicates that the highly dense silver films produced by HiPIMS-Ag, even when fully exposed to PBS, indeed slow the release of silver ions, thereby offering promise for achieving sustained, long-term antibacterial effects.
From Figure 8b, showing cumulative silver-ion release concentrations up to 180 days, the silver-ion release of the HiPIMS-Ag films can be distinguished into three linear-release stages. In the first stage (0–3 days of PBS immersion), the films exhibited a relatively high silver-ion release rate of about 20 ppb/day. As the immersion time increased up to 90 days (second stage), the release rate slowed to 5 ppb/day, which may be attributed to coverage of the HiPIMS-Ag surface by NaCl deposits or the formation of silver oxide, both of which reduce the rate of silver-ion liberation. When the immersion time was further extended to 180 days (third stage), the release rate decreased more drastically to 0.43 ppb/day, and the cumulative silver-ion concentration approached a saturation value of 518 ppb. This release behavior is fitted to provide Ag+ concentrations that satisfy anti-bactericidal requirements at implantation and in the postoperative phase.

3.5. Osteoblast Cytocompatibility

Figure 9a,b show the attachment morphology of MC3T3-E1 pre-osteoblasts cultured on pure titanium substrates and on HiPIMS-Ag thin-film specimens prepared with different deposition times, after 4 h (initial attachment) and 24 h, respectively. As shown in the images, osteoblasts on the pure titanium substrate (i.e., deposition time = 0 s) already exhibited an attached morphology characterized by filopodial outgrowth and membrane spreading. On the HiPIMS-Ag films, although a very small number of osteoblasts still maintained a spherical shape, the vast majority displayed normal, extended attachment morphology. Furthermore, no adverse cellular responses such as shrinkage, deformation, or fragmentation were observed. As illustrated in Figure 9b, when the culture time was extended to 24 h, compared with Figure 9a, osteoblasts on both the pure titanium substrate and the HiPIMS-Ag films clearly exhibited a flattened, well-spread morphology with distinct filamentous filopodia, indicating that no discernible differences in cell attachment morphology could be identified between the two surfaces.
In this study, titanium substrates were used as the control baseline (set as 100%) for comparison with HiPIMS-Ag thin-film specimens of different deposition times regarding osteoblast proliferation ability. Figure 10 shows the quantitative results of MC3T3-E1 pre-osteoblast proliferation after 24 h and 48 h of culture on HiPIMS-Ag films prepared with various deposition times. It was observed that after 24 h of culture, all HiPIMS-Ag films exhibited cell proliferation comparable to that of the bare titanium substrate. When the culture time was extended to 48 h, the quantified proliferation values on the HiPIMS-Ag films were slightly lower than those on the titanium substrate but all remained above 80% of the titanium baseline, with measured values of 83.6 ± 3.2%, 91.8 ± 14.6%, 103.6 ± 7.3%, 93.3 ± 12.5%, and 89.7 ± 6.5% for deposition times of 5, 30, 60, 120, and 180 s, respectively. Therefore, these results confirm that the HiPIMS-Ag thin-film specimens do not raise concerns of significant cytotoxicity.

4. Discussion

The present results demonstrate that HiPIMS can translate silver’s well-established antibacterial properties into a form of thin-film that is mechanically robust and biologically acceptable for titanium implants. Several aspects of the data merit discussion. First, the rapid onset of crystallinity and film continuity at short deposition times reflects the high degree of ionization and energetic bombardment characteristic of HiPIMS [6]. In contrast to conventional DC or pulsed-DC magnetron sputter deposition [14,15], the highly ionized plasma in HiPIMS generates energetic metal ions that bombard the substrate surface, providing additional energy to adatoms and enhancing their surface mobility. The increased adatom mobility promotes lateral diffusion and densification of the growing film, thereby suppressing the formation of columnar porosity typically observed in low-energy sputter growth [8]. This ion-assisted densification not only results in a fine-grained, compact microstructure but also reinforces interfacial adhesion. Such microstructural integrity is consistent with the excellent 5B cross-cut rating and the absence of delamination around the Rockwell-C imprints [9]. The combination of strong adhesion and dense microstructure is expected to ensure long-term stability under physiological conditions. In clinical practice, modular junctions and fixation interfaces experience micromotion and shear. Coatings that detach or crack under such loads can generate debris and expose bare substrate regions that favor biofilm formation. By contrast, HiPIMS-Ag’s interfacial robustness suggests resilience against these mechanical challenges. Although full in vivo testing and mechanical wear simulations (e.g., pin-on-disk or fretting) were beyond the present scope, the adhesion metrics provide encouraging proxies for durability.
Second, the antibacterial efficacy observed for ultrathin (~7 nm) films highlights the importance of interfacial chemistry and surface-mediated ion exchange rather than bulk silver inventory [4]. In other words, a small areal reservoir of Ag—when presented as a continuous film with high surface quality—can yield sufficient Ag+ flux to challenge planktonic bacteria and early colonizers without exceeding levels associated with cytotoxic effects [4,16,17,18]. Quantitatively, according to previous studies [16], the minimum effective concentration of Ag+ required to exhibit antibacterial activity is approximately 0.1 ppb. In the present work, all HiPIMS-Ag film specimens released Ag+ concentrations exceeding this antibacterial threshold, which explains why every coating demonstrated excellent antibacterial efficacy against both Escherichia coli and Staphylococcus aureus. Furthermore, the maximum tolerable silver-ion concentration for human cells has been reported to be around 10 ppm [16,17]. After 180 days of immersion in PBS, the cumulative Ag+ release from the HiPIMS-Ag films reached only 518 ppb, which is nearly four orders of magnitude lower than the cytotoxic limit. Based on the steady-state release rate of 0.43 ppb/day observed in the third stage of ion release, extrapolation suggests that the total Ag+ concentration would remain below the cytotoxic limit for more than 60 years, indicating excellent long-term cytocompatibility. Although Ag+ can temporarily or chronically accumulate in human organs such as the kidneys, liver, and bones, they are gradually excreted through bile, urine, hair, and nails [19]. Considering the body’s inherent capability for Ag+ absorption and metabolic clearance, the actual cytotoxic risk from the HiPIMS-Ag coating during clinical use is expected to be even lower. Overall, this study demonstrates that the Ag+ release behavior of the HiPIMS-Ag coatings falls within a “safe operating window,” defined as 0.1 ppb < [Ag+] < 104 ppb (10 ppm). The lower bound ensures antibacterial effectiveness, while the upper bound maintains cytocompatibility, confirming that HiPIMS-Ag films occupy a stable and biologically safe “Goldilocks regime”, thereby decreasing the detrimental risk from over-release of silver ions. In addition, this study also found that the ion release kinetics of the HiPIMS-Ag coating can be divided into three distinct stages:
(1)
Stage I—Rapid release phase: an initial burst providing immediate postoperative antibacterial protection.
(2)
Stage II—Stable release phase: a controlled release maintaining antibacterial efficacy.
(3)
Stage III—Slow release phase: a long-term sustained release ensuring durable protection without cytotoxicity.
This three-stage behavior effectively satisfies the functional requirements of antibacterial orthopedic implants—delivering both immediate and prolonged antibacterial activity while maintaining excellent biocompatibility.
Third, while silver is sometimes criticized for potential interference with osteogenesis at high concentrations, the trace-level Ag+ release measured here—paired with the favorable MC3T3-E1 responses—indicates that HiPIMS-Ag can inhabit a safe operating window in vitro. On the other hand, it is well established that the initial adsorption of proteins (e.g., albumin, fibronectin, and vitronectin) on implant surfaces can critically influence subsequent cell adhesion and bacterial colonization [20]. Given the dense, smooth, and crystalline morphology of the HiPIMS-Ag coatings, it is expected that the surface may selectively adsorb proteins with lower affinity for bacterial adhesion, thereby reducing bacterial anchoring and biofilm formation. At the same time, moderate protein adsorption could facilitate osteoblast attachment without compromising antibacterial performance. Moreover, the trace-level Ag+ release (~0.43 ppb/day) observed in this study might further modulate the composition or conformation of the adsorbed protein layer, influencing the delicate balance between cytocompatibility and antibacterial activity. Collectively, these hypotheses suggest that the interactions among protein adsorption, conditioning-film formation, and the HiPIMS-Ag surface could play a critical role in determining long-term biological outcomes—representing a worthwhile direction for future investigation.
Finally, compared to nanoparticle-based approaches, thin-film Ag coatings—especially those prepared using HiPIMS process—can avoid particle detachment and limit burst-release behavior [21]. As mentioned in the Introduction section, nanoparticle- or composite-based Ag coatings often suffer from mechanical instability due to weak interfacial bonding with the substrate and the discrete nature of embedded or loosely bound Ag particles. Under physiological or mechanical stresses, such particulate coatings can experience particle detachment, leading to uncontrolled or “burst” Ag+ release and potential local cytotoxicity [3,5]. In contrast, the HiPIMS process produces a dense, continuous, and strongly adherent silver film through a highly ionized plasma with energetic ion bombardment. This ion-assisted growth mechanism promotes atomic-scale intermixing and densification at the film–substrate interface, resulting in exceptional adhesion (ASTM 5B and VDI HF1 ratings in this study). The continuous film structure eliminates particulate boundaries, thereby preventing detachment and ensuring that Ag+ release occurs solely through surface-mediated reactions rather than physical particle loss. Consequently, the HiPIMS-Ag thin film achieves long-term stability and a controlled, steady-state Ag+ release profile, demonstrating the advantages of high interfacial integrity and microstructural compactness that underpin its superior durability and biocompatibility for orthopedic applications. In addition, HiPIMS-Ag coating can also simplify sterilization and packaging workflows, as continuous metallic layers generally withstand common sterilization methods without significant degradation. The present focus was on antibacterial efficacy and cytocompatibility; nevertheless, the favorable adhesion and microstructure achieved by HiPIMS provide a solid platform for downstream evaluations, including sterilization resistance, long-term immersion studies, and device-specific validation [4].

5. Conclusions

HiPIMS-deposited silver coatings on titanium implants deliver a durable antibacterial function while preserving osteoblast compatibility. Key findings are: (i) continuous, crystalline films form at short deposition times and exhibit strong adhesion; (ii) ultrathin (~7 nm) layers achieve antibacterial activity values greater than 2.0 against E. coli and S. aureus; (iii) Ag+ release is limited to trace levels (ultimately 0.43 ppb/day after 180 days), compliant with mammalian cell safety; and (iv) MC3T3-E1 assays reveal no cytotoxic effects under the tested conditions. Collectively, these results motivate further device-level engineering and in vivo evaluation of HiPIMS-Ag as a surface-engineered antibacterial solution for orthopedic applications.

Author Contributions

Conceptualization, P.-Y.H. and J.-L.H.; methodology, S.-T.L.; validation, M.-C.W.; formal analysis, S.-T.L.; investigation, S.-T.L.; resources, H.-K.T.; writing—original draft preparation, J.-L.H.; writing—review and editing, P.-Y.H.; visualization, S.-T.L.; supervision, J.-L.H.; project administration, Y.-H.C. and S.-T.L.; funding acquisition, H.-K.T. All authors have read and agreed to the published version of the manuscript.

Funding

This research was funded by Taichung Veterans General Hospital, grant number TCVGH-1124901C.

Institutional Review Board Statement

Not applicable.

Informed Consent Statement

Not applicable.

Data Availability Statement

The original data presented in the study are openly available in [National Digital Library of Theses and Dissertations in Taiwan] at [https://ndltd.ncl.edu.tw/cgi-bin/gs32/gsweb.cgi/ccd=ozV04m/record?r1=1&h1=0, accessed on 13 September 2025].

Acknowledgments

The authors would like to thank Precision Instrument Support Center, Feng Chia University for supporting the materials characterization works.

Conflicts of Interest

The authors declare no conflicts of interest.

Abbreviations

The following abbreviations are used in this manuscript:
HiPIMSHigh power impulse magnetron sputtering
TiTitanium
AgSilver
FESEMField-emission scanning electron microscopy
XRDX-ray diffractometry
ICP-MSInductively coupled plasma mass spectrometry
PBSPhosphate-buffered saline
IAIImplant-associated infection

References

  1. Zimmerli, W.; Trampuz, A.; Ochsner, P.E. Prosthetic-Joint Infections. N. Engl. J. Med. 2004, 351, 1645–1654. [Google Scholar] [CrossRef] [PubMed]
  2. Tande, A.J.; Patel, R. Prosthetic Joint Infection. Clin. Microbiol. Rev. 2014, 27, 302–345. [Google Scholar] [CrossRef] [PubMed]
  3. Zhao, L.; Chu, P.K.; Zhang, Y.; Wu, Z. Antibacterial Coatings on Titanium Implants. J. Biomed. Mater. Res. B 2009, 91, 470–480. [Google Scholar] [CrossRef] [PubMed]
  4. Rai, M.; Yadav, A.; Gade, A. Silver Nanoparticles as a New Generation of Antimicrobials. Biotechnol. Adv. 2009, 27, 76–83. [Google Scholar] [CrossRef] [PubMed]
  5. Sui, J.; Liu, S.; Chen, M.; Zhang, H. Surface Bio-Functionalization of Anti-Bacterial Titanium Implants: A Review. Coatings 2022, 12, 1125. [Google Scholar] [CrossRef]
  6. Gudmundsson, J.T.; Brenning, N.; Lundin, D.; Helmersson, U. High Power Impulse Magnetron Sputtering Discharge. J. Vac. Sci. Technol. A 2012, 30, 030801. [Google Scholar] [CrossRef]
  7. Lundin, D.; Sarakinos, K. An Introduction to Thin Film Processing Using High Power Impulse Magnetron Sputtering. J. Mater. Res. 2012, 27, 780–792. [Google Scholar] [CrossRef]
  8. Petrov, I.; Barna, P.B.; Hultman, L.; Greene, J.E. Microstructural Evolution during Film Growth. J. Vac. Sci. Technol. A 2003, 21, S117–S128. [Google Scholar] [CrossRef]
  9. Sarakinos, K.; Alami, J.; Konstantinidis, S. High Power Pulsed Magnetron Sputtering: A Review on Scientific and Engineering State of the Art. Surf. Coat. Technol. 2010, 204, 1661–1684. [Google Scholar] [CrossRef]
  10. Li, S.T. Preclinical Evaluation of High Power Impulse Magnetron Sputter Deposited Antibacterial Silver Film on Titanium Implant. Master’s Thesis, Feng Chia University, Taichung, Taiwan, 2023. [Google Scholar]
  11. ASTM D3359-02; Standard Test Methods for Rating Adhesion by Tape Test. ASTM International: West Conshohocken, PA, USA, 2010.
  12. VDI 3198; Characterisation of Adhesion/Cohesion of Coatings by Indentation Test. Verein Deutscher Ingenieure: Harzgerode, Germany, 1992.
  13. JIS Z 2801:2010; Antibacterial Products—Test for Antibacterial Activity and Efficacy. Japanese Industrial Standard: Tokyo, Japan, 2010.
  14. Yang, X.; Gao, P.; Yang, Z.; Zhu, J.; Huang, F.; Ye, J. Optimizing Ultrathin Ag Films for High Performance Oxide-Metal-Oxide Flexible Transparent Electrodes through Surface Energy Modulation and Template-Stripping Procedures. Sci. Rep. 2017, 7, 44576. [Google Scholar] [CrossRef] [PubMed]
  15. Goetz, S.; Bauch, M.; Dimopoulos, T.; Trassl, S. Ultrathin Sputter-Deposited Plasmonic Silver Nanostructures. Nanoscale Adv. 2020, 2, 1531–1540. [Google Scholar] [CrossRef] [PubMed]
  16. Jamuna-Thevi, K.; Bakar, S.A.; Ibrahim, S.; Shahab, N.; Toff, M.R.M. Quantification of silver ion release, in vitro cytotoxicity and antibacterial properties of nanostructured Ag-doped TiO2 coatings on stainless steel deposited by RF magnetron sputtering. Vacuum 2011, 86, 235–241. [Google Scholar] [CrossRef]
  17. Shivaram, A.; Bose, S.; Bandyopadhyay, A. Understanding long-term silver release from surface modified porous titanium implants. Acta Biomater. 2017, 58, 550–560. [Google Scholar] [CrossRef] [PubMed]
  18. Gudkov, S.V.; Serov, D.A.; Astashev, M.E.; Semenova, A.A.; Lisitsyn, A.B. Ag2O nanoparticles as a candidate for antimicrobial compounds of the new generation. Pharmaceuticals 2022, 15, 968. [Google Scholar] [CrossRef] [PubMed]
  19. Lansdown, A.B.G. A pharmacological and toxicological profile of silver as an antimicrobial agent in medical devices. Adv. Pharmacol. Sci. 2010, 2010, 910686. [Google Scholar] [CrossRef] [PubMed]
  20. Barberi, J.; Spriano, S. Titanium and protein adsorption: An overview of mechanisms and effects of surface features. Materials 2021, 14, 1590. [Google Scholar] [CrossRef] [PubMed]
  21. DeVasConCellos, P.; Bose, S.; Beyenal, H.; Bandyopadhyay, A.; Zirkle, L.G. Antimicrobial particulate silver coatings on stainless steel implants for fracture management. Mater. Sci. Eng. C 2012, 32, 1112–1120. [Google Scholar] [CrossRef] [PubMed]
Figure 1. (a) Photograph of the Ti substrates fixed on the rotation substrate table, and (b) HiPIMS discharge current and voltage waveform recorded during the deposition process.
Figure 1. (a) Photograph of the Ti substrates fixed on the rotation substrate table, and (b) HiPIMS discharge current and voltage waveform recorded during the deposition process.
Coatings 15 01286 g001
Figure 2. FESEM plan view of the HiPIMS-Ag films deposited on Ti for (a) 5 s; (b) 30 s; (c) 60 s; (d) 120 s; (e) 180 s; and (f) cross-sectional view of the HiPIMS-Ag films deposited on Ti for 180 s. The arrows point at the uncovered area.
Figure 2. FESEM plan view of the HiPIMS-Ag films deposited on Ti for (a) 5 s; (b) 30 s; (c) 60 s; (d) 120 s; (e) 180 s; and (f) cross-sectional view of the HiPIMS-Ag films deposited on Ti for 180 s. The arrows point at the uncovered area.
Coatings 15 01286 g002
Figure 3. XRD patterns of the HiPIMS-Ag films deposited on Ti for (a) 0 s; (b) 5 s; (c) 30 s; (d) 60 s; (e) 120 s; and (f) 180 s. The enlarged views of the diffraction peaks in the ranges of 37°–39° and 43°–46° highlight the evolution of Ag(111)/α-Ti(002) and Ag(200) reflections, respectively.
Figure 3. XRD patterns of the HiPIMS-Ag films deposited on Ti for (a) 0 s; (b) 5 s; (c) 30 s; (d) 60 s; (e) 120 s; and (f) 180 s. The enlarged views of the diffraction peaks in the ranges of 37°–39° and 43°–46° highlight the evolution of Ag(111)/α-Ti(002) and Ag(200) reflections, respectively.
Coatings 15 01286 g003
Figure 4. Surface morphology and EDS elemental distribution of the HiPIMS-Ag film after a cross-hatch adhesion test performed on the specimen deposited for 30 s.
Figure 4. Surface morphology and EDS elemental distribution of the HiPIMS-Ag film after a cross-hatch adhesion test performed on the specimen deposited for 30 s.
Coatings 15 01286 g004
Figure 5. FESEM surface morphologies of the HiPIMS-Ag film specimen deposited for 180 s after the VDI 3198 adhesion test: (a) overall indentation, (b) indentation perimeter, and (c) indentation center. (d) Enlarged view of the red-boxed area in (c) along with the corresponding elemental distribution maps.
Figure 5. FESEM surface morphologies of the HiPIMS-Ag film specimen deposited for 180 s after the VDI 3198 adhesion test: (a) overall indentation, (b) indentation perimeter, and (c) indentation center. (d) Enlarged view of the red-boxed area in (c) along with the corresponding elemental distribution maps.
Coatings 15 01286 g005
Figure 6. Colony growth of HiPIMS-Ag film specimens deposited for 0, 5, 30, 60, 120, and 180 s after inoculation with (a) Escherichia coli suspension and (b) Staphylococcus aureus suspension, followed by rinsing and plate cultivation.
Figure 6. Colony growth of HiPIMS-Ag film specimens deposited for 0, 5, 30, 60, 120, and 180 s after inoculation with (a) Escherichia coli suspension and (b) Staphylococcus aureus suspension, followed by rinsing and plate cultivation.
Coatings 15 01286 g006
Figure 7. Antibacterial activity values of HiPIMS-Ag film specimens with different deposition times.
Figure 7. Antibacterial activity values of HiPIMS-Ag film specimens with different deposition times.
Coatings 15 01286 g007
Figure 8. (a) Silver ion concentrations released from HiPIMS-Ag film specimens with different deposition times after immersion in PBS for 1, 3, 7, 14, 21, and 28 days, respectively, and (b) cumulative silver ion release concentrations and the corresponding release-kinetics fitting curve for HiPIMS-Ag thin-film specimens deposited for 30 s and immersed in PBS, with specimens collected after 1, 3, 7, 14, 21, 28, 60, 90, 120, and 180 days.
Figure 8. (a) Silver ion concentrations released from HiPIMS-Ag film specimens with different deposition times after immersion in PBS for 1, 3, 7, 14, 21, and 28 days, respectively, and (b) cumulative silver ion release concentrations and the corresponding release-kinetics fitting curve for HiPIMS-Ag thin-film specimens deposited for 30 s and immersed in PBS, with specimens collected after 1, 3, 7, 14, 21, 28, 60, 90, 120, and 180 days.
Coatings 15 01286 g008
Figure 9. (a) SEM morphology of MC3T3-E1 pre-osteoblast cell attachment on HiPIMS-Ag thin-film specimens prepared with different deposition times (0 s, 5 s, 30 s, 60 s, 120 s, and 180 s) after culture for (a) 4 h and (b) 24 h.
Figure 9. (a) SEM morphology of MC3T3-E1 pre-osteoblast cell attachment on HiPIMS-Ag thin-film specimens prepared with different deposition times (0 s, 5 s, 30 s, 60 s, 120 s, and 180 s) after culture for (a) 4 h and (b) 24 h.
Coatings 15 01286 g009
Figure 10. Quantitative results of MC3T3-E1 pre-osteoblast proliferation on HiPIMS-Ag thin-film specimens prepared with different deposition times (t-test: * p < 0.05 and ** p < 0.01).
Figure 10. Quantitative results of MC3T3-E1 pre-osteoblast proliferation on HiPIMS-Ag thin-film specimens prepared with different deposition times (t-test: * p < 0.05 and ** p < 0.01).
Coatings 15 01286 g010
Disclaimer/Publisher’s Note: The statements, opinions and data contained in all publications are solely those of the individual author(s) and contributor(s) and not of MDPI and/or the editor(s). MDPI and/or the editor(s) disclaim responsibility for any injury to people or property resulting from any ideas, methods, instructions or products referred to in the content.

Share and Cite

MDPI and ACS Style

Hsieh, P.-Y.; Li, S.-T.; Chen, Y.-H.; Tsou, H.-K.; Wu, M.-C.; He, J.-L. Antibacterial Efficacy and Biocompatibility of HiPIMS-Ag Films for Prosthetic Application. Coatings 2025, 15, 1286. https://doi.org/10.3390/coatings15111286

AMA Style

Hsieh P-Y, Li S-T, Chen Y-H, Tsou H-K, Wu M-C, He J-L. Antibacterial Efficacy and Biocompatibility of HiPIMS-Ag Films for Prosthetic Application. Coatings. 2025; 15(11):1286. https://doi.org/10.3390/coatings15111286

Chicago/Turabian Style

Hsieh, Ping-Yen, Shu-Ting Li, Ying-Hung Chen, Hsi-Kai Tsou, Ming-Che Wu, and Ju-Liang He. 2025. "Antibacterial Efficacy and Biocompatibility of HiPIMS-Ag Films for Prosthetic Application" Coatings 15, no. 11: 1286. https://doi.org/10.3390/coatings15111286

APA Style

Hsieh, P.-Y., Li, S.-T., Chen, Y.-H., Tsou, H.-K., Wu, M.-C., & He, J.-L. (2025). Antibacterial Efficacy and Biocompatibility of HiPIMS-Ag Films for Prosthetic Application. Coatings, 15(11), 1286. https://doi.org/10.3390/coatings15111286

Note that from the first issue of 2016, this journal uses article numbers instead of page numbers. See further details here.

Article Metrics

Back to TopTop