Synergistic Integration of CIP and Graphene Within Honeycomb Architectures Toward High-Efficiency Electromagnetic Wave Absorption
Abstract
1. Introduction
2. Experiments and Simulations
2.1. Experimental Materials
2.2. Preparation of CIP/Graphene Dual-Mechanism Absorbing Honeycomb
2.3. Testing and Characterization
3. Results and Analysis
3.1. Characterization and Analysis of Absorbing Honeycomb Materials
3.1.1. Morphological and Structural Characterization
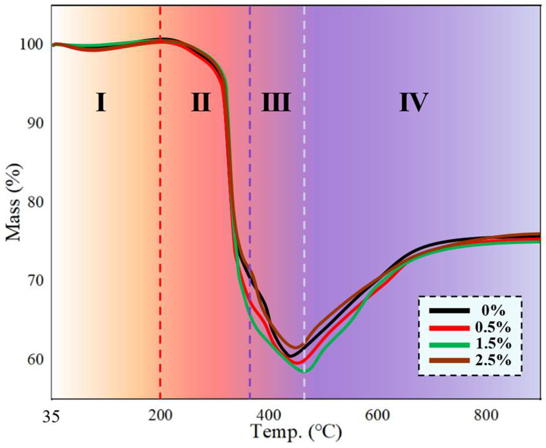
3.1.2. Stability and Oxidation Resistance Characterization
3.2. Analysis of Honeycomb Structure Absorbing Performance
3.2.1. Absorption Mechanism of Honeycomb Structure and Composite Absorbent
3.2.2. Electromagnetic Performance Analysis
3.2.3. Absorbing Performance Analysis
3.2.4. Magnetic Loss Variation Analysis
4. Conclusions
- (1)
- Through combined SEM testing and EDS line scanning, the distribution of graphene and CIP in the epoxy resin was analyzed. It was found that graphene significantly alleviated the agglomeration and sedimentation of CIP particles. Under the effect of interfacial phenomena, it formed an outer coating on the CIP spheres, thereby constructing an internal conductive network and enhancing the dielectric loss capability.
- (2)
- Utilizing a Vector Network Analyzer via the free-space method, the absorbing performance of the materials was tested. The complex permittivity and complex permeability were derived by inverting the S-parameters. The absorbing structure incorporating graphene achieved the highest reflection loss of −23.14 dB, corresponding to an absorption rate of 99.51%, and exhibited the broadest bandwidth stealth absorbing capability of 12.41 GHz. The addition of graphene compensated for the material’s dielectric loss capability and slightly enhanced the hysteresis loss capability of CIP through the interfacial polarization effect. However, excessive graphene weakened the magnetic connection between CIP particles, and the resulting electromagnetic shielding effect further reduced the hysteresis loss effect.
- (3)
- VSM testing was used to further characterize the magnetic properties of the materials and analyze the role of graphene in the synergy. Through the dispersion of CIP particles and the formation of its own conductive network, graphene increased the saturation magnetization and reduced the coercivity and magnetization rate within a certain range. On one hand, graphene effectively dispersed CIP particles, making the magnetic domain distribution more uniform and increasing the effective proportion of magnetic particles, thereby enhancing the overall hysteresis capability. On the other hand, the formation of the conductive network progressively enhanced the skin effect of CIP particles, confining magnetization more to the interface between graphene and CIP. This resulted in incomplete magnetization of the core of CIP particles, reducing their magnetization effectiveness. These two effects jointly influenced the magnetic properties of the material, ultimately leading to an initial increase followed by a decrease in hysteresis loss capability.
Author Contributions
Funding
Institutional Review Board Statement
Informed Consent Statement
Data Availability Statement
Conflicts of Interest
References
- Majdzadeh-Ardakani, K.; Holl, M. Nanostructured materials for microwave receptors. Prog. Mater. Sci. 2017, 87, 221–245. [Google Scholar] [CrossRef]
- Meng, F.; Wang, H.; Huang, F.; Guo, Y.; Wang, Z.; Hui, D.; Zhou, Z. Graphene-based microwave absorbing composites: A review and prospective. Compos. Part B Eng. 2018, 137, 260–277. [Google Scholar] [CrossRef]
- Quan, L.; Qin, F.; Estevez, D.; Wang, H.; Peng, H. Magnetic graphene for microwave absorbing application: Towards the lightest graphene-based absorber. Carbon 2017, 125, 630–639. [Google Scholar] [CrossRef]
- Jing, X.; Su, H.; Shen, L.; Mao, Z.; Jia, C. Adaptive Radar Detection in the Clutter and Noise Cover Pulse Jamming Environment. Signal Process. 2023, 205, 108852. [Google Scholar] [CrossRef]
- Yang, R.; Xiao, X.; Liao, W.; Liu, T. A wide-angle broadband dual-polarization electromagnetic absorbing structure based on the carbonyl iron powder/polydimethylsiloxane composites. J. Magn. Magn. Mater. 2024, 598, 172058. [Google Scholar] [CrossRef]
- Li, C.; Wang, X.; Liu, X.; Zhang, J.; Bi, S.; Hou, Z. Broadband and strong microwave absorption combining excellent EMI shielding of VGCF/carbonyl iron composites derived from synergistic magnetic and dielectric losses. Carbon 2023, 214, 118383. [Google Scholar] [CrossRef]
- Liu, C.; Feng, Y.; Sun, H.; Hu, Q.; Xiao, H.; Guo, X.; Zhang, H. High-performance SiBCN/Fe-Co-Ni fibers: From broadband absorption to stealth antenna design. Compos. Part B Eng. 2025, 307, 112853. [Google Scholar] [CrossRef]
- He, Y.; Wen, F.; Bai, Y.; Wang, Y.; Chen, R.; Ma, J.; Tian, H.; Gu, Y.; Lian, P.; Yang, H.; et al. Heterostructured MWCNTs@Co-NC@MoSe2/PEEK composites with excellent radar-infrared compatible camouflage. J. Alloys Compd. 2025, 1031, 181120. [Google Scholar] [CrossRef]
- Wei, J.; Zhang, Y.; Li, X.; Hui, J.; Zhang, H.; Lei, W. Multifunctional flower-like Ni particles/silicon carbide nanowires for infrared radar compatible stealth performance. J. Colloid Interface Sci. 2023, 641, 414–427. [Google Scholar] [CrossRef]
- Qiao, M.; Tian, Y.; Li, J.; He, X.; Lei, X.; Zhang, Q.; Ma, M.; Meng, X. Core-shell Fe3O4@SnO2 nanochains toward the application of radar-infrared-visible compatible stealth. J. Colloid Interface Sci. 2022, 609, 330–340. [Google Scholar] [CrossRef]
- Zhu, M.; Li, W.; Yang, S.; Zou, P.; Zhang, Y.; Xu, M.; Li, S.; Tang, X.; Lu, Y.; Lai, K.; et al. Ambient pressure dried polyimide/silica aerogels for efficient radar stealth at high temperature. Compos. Commun. 2025, 56, 102338. [Google Scholar] [CrossRef]
- Qiu, J.; Qiu, T. Fabrication and microwave absorption properties of magnetite nanoparticle-carbon nanotube-hollow carbon fiber composites. Carbon 2015, 81, 20–28. [Google Scholar] [CrossRef]
- Khani, O.; Shoushtaria, M.; Ackland, K.; Stamenov, P. The structural, magnetic and microwave properties of spherical and flake shaped carbonyl iron particles as thin multilayer microwave absorbers. J. Magn. Magn. Mater. 2017, 428, 28–35. [Google Scholar] [CrossRef]
- Dong, J.; Zhou, W.; Wang, C.; Lu, L.; Luo, F.; Zhu, D. Anisotropic particle geometry effect on magnetism and microwave absorption of carbonyl iron/polyimide composites. J. Magn. Magn. Mater. 2019, 491, 165643. [Google Scholar] [CrossRef]
- Zhou, Y.; Xie, H.; Zhou, W.; Ren, Z. Enhanced antioxidation and microwave absorbing properties of SiO2-coated flaky carbonyl iron particles. J. Mater. Sci.-Mater. Electron. 2018, 446, 143–149. [Google Scholar]
- Liu, Y.; Liu, X.; He, C.; Fei, Z.; Zhang, Z.; Yang, Z. Progress of Core Shell Structured Magnetic Composite Wave Absorbing Materials. Surf. Technol. 2018, 4, 72–78. [Google Scholar]
- Tian, H.; Wang, J.; Xia, L.; Wang, B.; Wu, L.; Ning, L.; Wang, X. Research Progress on the Corrosion Resistance and Oxidation Resistance Surface Modification Technology of Carbonyl Iron Absorbent. Mater. Prot. 2024, 57, 82–92+155. [Google Scholar]
- Zou, Y.; Liu, H.; Yang, L.; Chen, Z. The influence of temperature on magnetic and microwave absorption properties of Fe/graphite oxide nanocomposites. J. Magn. Magn. Mater. 2006, 302, 343–347. [Google Scholar] [CrossRef]
- Ye, X.; Ouyang, B.; Yang, C.; Hu, Z.; He, E.; Wu, H. Preparation of graphene-carbonyl iron powder wire and analysis of its wave absorption performance. Acta Mater. Compos. Sin. 2022, 39, 3292–3302. [Google Scholar]
- Zhu, Z.; Sun, X.; Xue, H.; Guo, H.; Fan, X.; Pan, X.; He, J. Graphene-carbonyl iron cross-linked composites with excellent electromagnetic wave absorption properties. J. Mater. Chenistry C 2014, 2, 6582–6591. [Google Scholar] [CrossRef]
- Tang, J.; Ma, L.; Tian, N.; Gan, M.; Xu, F.; Zeng, J.; Tu, Y. Synthesis and electromagnetic properties of PANI/PVP/CIP core-shell composites. Mater. Sci. Eng. B 2014, 186, 26–32. [Google Scholar] [CrossRef]
- Sun, H.; Chen, L.; Gu, Z. Characterization and Design of Honeycomb Absorbing Materials. Solid State Phenom. 2019, 294, 51–56. [Google Scholar] [CrossRef]
- Chen, Y.; Zhang, H.; Huang, Y.; Jiang, Y.; Zheng, W.; Yu, Z. Magnetic and electrically conductive epoxy/graphene/carbonyl iron nanocomposites for efficient electromagnetic interference shielding. Compos. Sci. Technol. 2015, 118, 178–185. [Google Scholar] [CrossRef]
- Wang, T.; Hu, J.; Yang, H.; Jin, L.; Wei, X.; Li, C.; Yan, F.; Lin, Y. Dielectric relaxation and Maxwell-Wagner interface polarization in Nb2O5 doped 0.65BiFeO3–0.35BaTiO3 ceramics. J. Appl. Phys. 2017, 121, 084103. [Google Scholar] [CrossRef]
- Xia, X.; Zhong, Z.; Weng, G. Maxwell–Wagner–Sillars mechanism in the frequency dependence of electrical conductivity and dielectric permittivity of graphene-polymer nanocomposites. Mech. Mater. 2017, 109, 42–50. [Google Scholar] [CrossRef]
- Zhang, Z.; Chen, X.; Wang, Z.; Heng, L.; Wang, S.; Tang, Z.; Zou, Y. Carbonyl iron/graphite microspheres with good impedance matching for ultra-broadband and highly efficient electromagnetic absorption. Opt. Mater. Express 2018, 8, 3319–3331. [Google Scholar] [CrossRef]











| Number | CIP | Graphene | E-51 Epoxy Resin | D400 Curing Agent | Graphene Content * |
|---|---|---|---|---|---|
| 1 | 120 g | 0 g | 60 g | 36 g | 0 |
| 2 | 0.3 g | 0.5 wt.% | |||
| 3 | 0.6 g | 1.0 wt.% | |||
| 4 | 0.9 g | 1.5 wt.% | |||
| 5 | 1.2 g | 2.0 wt.% | |||
| 6 | 1.5 g | 2.5 wt.% | |||
| 7 | 1.8 g | 3.0 wt.% |
| Graphene | Average Wall Thickness | Mass | Mass/Thickness |
|---|---|---|---|
| 0 wt.% | 0.52 mm | 16.34 g | 31.43 g/mm |
| 0.5 wt.% | 0.76 mm | 25.61 g | 33.70 g/mm |
| 1.0 wt.% | 0.79 mm | 29.29 g | 37.08 g/mm |
| 1.5 wt.% | 0.71 mm | 26.45 g | 37.26 g/mm |
| 2.0 wt.% | 0.72 mm | 28.61 g | 39.74 g/mm |
| 2.5 wt.% | 0.74 mm | 30.73 g | 41.53 g/mm |
| 3.0 wt.% | 0.75 mm | 33.57 g | 44.76 g/mm |
Disclaimer/Publisher’s Note: The statements, opinions and data contained in all publications are solely those of the individual author(s) and contributor(s) and not of MDPI and/or the editor(s). MDPI and/or the editor(s) disclaim responsibility for any injury to people or property resulting from any ideas, methods, instructions or products referred to in the content. |
© 2025 by the authors. Licensee MDPI, Basel, Switzerland. This article is an open access article distributed under the terms and conditions of the Creative Commons Attribution (CC BY) license (https://creativecommons.org/licenses/by/4.0/).
Share and Cite
Shen, C.; Shen, Y.; Fu, X.; Wu, Y.; Wang, H.; He, J.; Zhou, Z. Synergistic Integration of CIP and Graphene Within Honeycomb Architectures Toward High-Efficiency Electromagnetic Wave Absorption. Coatings 2025, 15, 1262. https://doi.org/10.3390/coatings15111262
Shen C, Shen Y, Fu X, Wu Y, Wang H, He J, Zhou Z. Synergistic Integration of CIP and Graphene Within Honeycomb Architectures Toward High-Efficiency Electromagnetic Wave Absorption. Coatings. 2025; 15(11):1262. https://doi.org/10.3390/coatings15111262
Chicago/Turabian StyleShen, Chengfeng, Yizhou Shen, Xu Fu, Yue Wu, Haoyu Wang, Junjian He, and Zifan Zhou. 2025. "Synergistic Integration of CIP and Graphene Within Honeycomb Architectures Toward High-Efficiency Electromagnetic Wave Absorption" Coatings 15, no. 11: 1262. https://doi.org/10.3390/coatings15111262
APA StyleShen, C., Shen, Y., Fu, X., Wu, Y., Wang, H., He, J., & Zhou, Z. (2025). Synergistic Integration of CIP and Graphene Within Honeycomb Architectures Toward High-Efficiency Electromagnetic Wave Absorption. Coatings, 15(11), 1262. https://doi.org/10.3390/coatings15111262

