Organic Semiconductor Devices Fabricated with Recycled Tetra Pak®-Based Electrodes and para-Quinone Methides
Abstract
1. Introduction
2. Materials and Methods
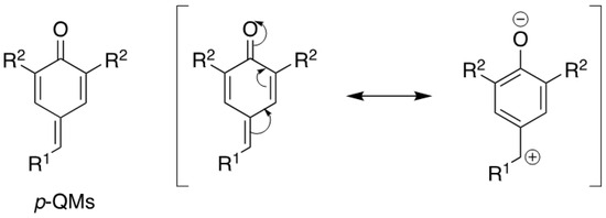
2.1. Synthesis and Characterization of p-QMs Compounds
2.2. Deposit and Characterization of Semiconductor Films
3. Results and Discussion
3.1. Synthesis and Characterization of p-QM Compounds
3.2. Deposit and Characterization of Semiconductor Films
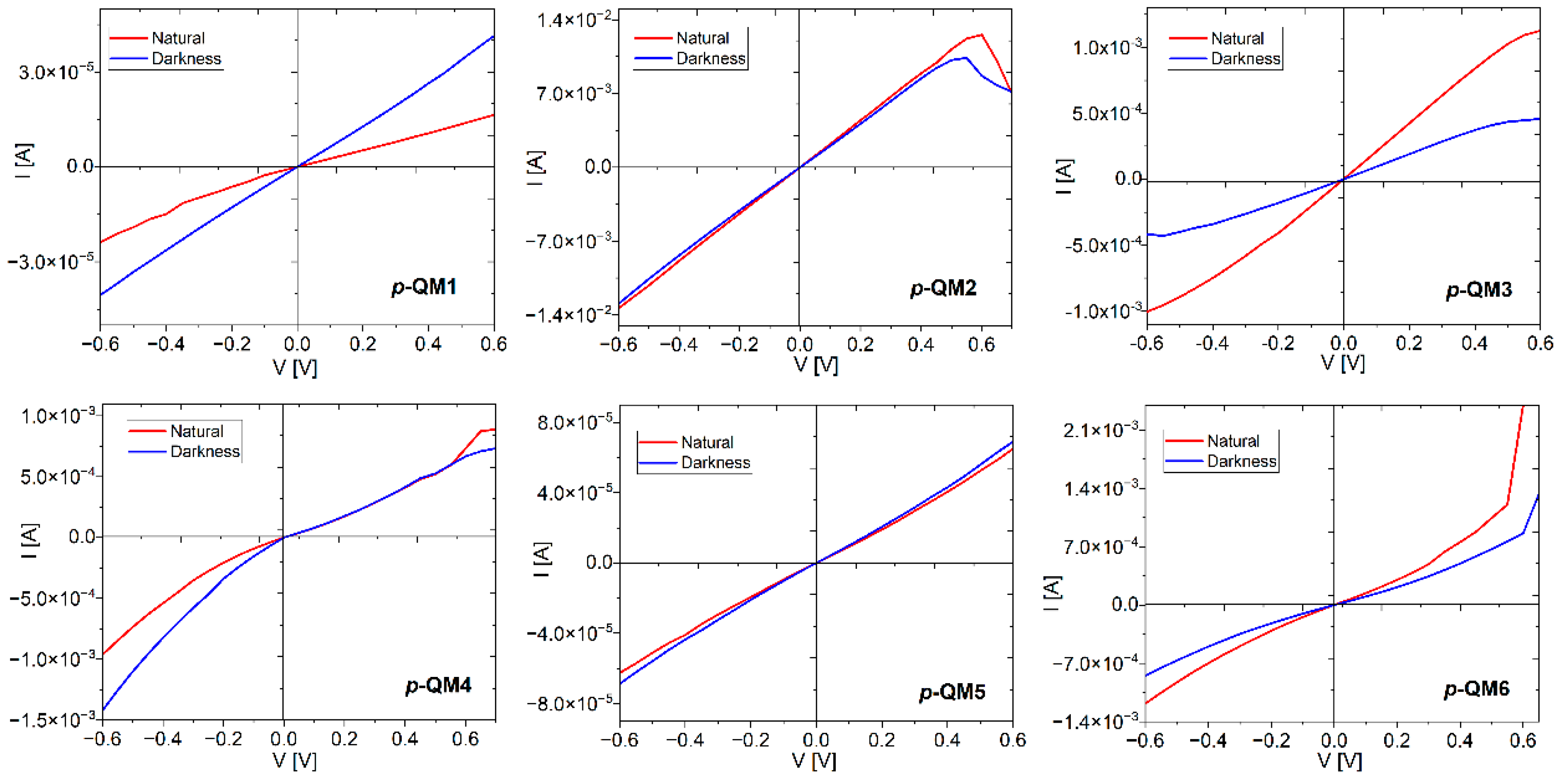
3.3. Electrical Study with FTO and TP Anode
4. Conclusions
Supplementary Materials
Author Contributions
Funding
Institutional Review Board Statement
Informed Consent Statement
Data Availability Statement
Acknowledgments
Conflicts of Interest
References
- Wang, J.Y.; Hao, W.J.; Tu, S.J.; Jiang, B. Recent developments in 1,6-addition reactions of para-quinone methides (p-QMs). Org. Chem. Front. 2020, 7, 1743–1778. [Google Scholar] [CrossRef]
- Liu, X.; Ren, Y.; Zhu, L.; Li, T.; Xu, W.; Liu, Y.; Tang, K.W.; Xiong, B. Recent advance in the cyclization of para-quinone methides. Tetrahedron 2023, 148, 133655–133683. [Google Scholar] [CrossRef]
- Li, P.; Ma, Y.; Wang, K.; Shi, X.; Yang, J.; Liu, G. Design, synthesis and antitumor activity of potent and safe para-quinone methides derivatives in vitro and in vivo. Biomed. Pharmacother. 2022, 156, 113893–113905. [Google Scholar] [CrossRef]
- Zhou, Q.; Qu, Y.; Mangrum, J.B.; Wang, X. DNA alkylation with N-Methylquinolinium Quinone Methides to N2-dG adduct resulting in extensive stops in primerextension with DNA polymerases and subsequent suppression of GFP expression in A549 cells. Chem. Res. Toxicol. 2011, 24, 402–411. [Google Scholar] [CrossRef] [PubMed]
- Larsen, A.A. Catecholamine chemical species at the adrenergic receptors. Nature 1969, 224, 25–27. [Google Scholar] [CrossRef]
- Dufrasne, F.; Gelbcke, M.; Néve, J.; Kiss, R.; Kraus, J.L. Quinone methides and their prodrugs: A subtle equilibrium between cancer promotion, prevention, and cure. Curr. Med. Chem. 2011, 18, 3995–4011. [Google Scholar] [CrossRef]
- Akyildiz, V.; Saracoglu, N. A Ritter-Type Route to diarylmethane amides from para-quinone methides. Asian. J. Org. Chem. 2023, 12, e202300121. [Google Scholar] [CrossRef]
- Tang, C.G.; Hou, K.; Leong, W.L. The Quest for Air Stability in Organic Semiconductors. Chem. Mater. 2024, 36, 28–53. [Google Scholar] [CrossRef]
- Bernards, D.A.; Owens, R.M.; Malliaras, G.G. Organic Semiconductors in Sensors Applications; Springer: Heidelberg, Germany, 2008. [Google Scholar]
- Burroughes, J.H.; Bradley, D.; Brown, A.R.; Marks, R.N.; Mackay, K.; Friend, R.H.; Burns, P.L.; Holmes, A.B. Light-emitting diodes based on conjugated polymers. Nature 1990, 347, 539–541. [Google Scholar] [CrossRef]
- Zhou, W.; Ding, J.; Zou, Y.; Di, C. Chemical doping of organic semiconductors for thermoelectric applications. Chem. Soc. Rev. 2020, 49, 7210–7228. [Google Scholar] [CrossRef]
- Tam, T.L.D.; Xu, J. Strategies and concepts in n-doped conjugated polymer thermoelectrics. J. Mater. Chem. A 2021, 9, 5149–5163. [Google Scholar] [CrossRef]
- Wang, S.; Zuo, G.; Kim, J.; Sirringhaus, H. Progress of Conjugated Polymers as Emerging Thermoelectric Materials. Prog. Polym. Sci. 2022, 129, 101548. [Google Scholar] [CrossRef]
- Recupido, F.; Lama, G.; Lavorogna, M.; Buonocore, G.; Marzella, R.; Verdolotti, L. Post-consumer recycling of Tetra Pak: Starting a “new life” as filler in sustainable polyurethane foams. Food Packag. Shelf 2023, 40, 101175. [Google Scholar] [CrossRef]
- Georgiopoulou, I.; Pappa, G.; Vouyiouka, S.; Magoulas, K. Recycling of post-consumer multilayer Tetra Pak® packaging with the Selective Dissolution-Precipitation process. Resour. Conserv. Recycl. 2020, 165, 105268. [Google Scholar] [CrossRef]
- Tetra Pak. Sustainability Report FY22. Available online: https://www.tetrapak.com/es-mx/sustainability/measuring-and-reporting/sustainability-reports (accessed on 30 June 2024).
- Figueroa-González, E.; Oliva, A.; Rodriguez-Gonzalez, V.; Gomez-Solis, C.; Oliva, J. Using recycled tetrapak and Ag/BaMoO4 nanoparticles to make efficient and flexible solid-state supercapacitors. J. Energy Storage 2022, 47, 103544. [Google Scholar] [CrossRef]
- Sánchez, M.; Toledo, E.; Cantera, L.; Bazán-Díaz, L.; Salcedo, R. Using Recycled Tetrapak and Doped Titanyl/Vanadyl Phthalocyanine to Make Solid-State Devices. Materials 2024, 17, 309. [Google Scholar] [CrossRef] [PubMed]
- Wold, D.J.; Frisbie, C.D. Formation of Metal–Molecule–Metal Tunnel Junctions: Microcontacts to Alkanethiol Monolayers with a Conducting AFM Tip. J. Am. Chem. Soc. 2000, 122, 2970–2971. [Google Scholar] [CrossRef]
- Niskala, J.R.; You, W. Metal–Molecule–Metal Junctions via PFPE Assisted Nanotransfer Printing (nTP) onto Self-Assembled Monolayers. J. Am. Chem. Soc. 2009, 131, 13202–13203. [Google Scholar] [CrossRef]
- Dörwald, F.Z. Organic Synthesis on Solid Phase; Wiley-VCH Verlag GmbH: Weinhein, Germany, 2001; ISBN 978-3-527-60088-5. [Google Scholar]
- Zhang, J.L.; Ye, X.; Gu, C.; Han, C.; Sun, S.; Wang, L.; Chen, W. Non-covalent interaction controlled 2D organic semiconductor films: Molecular self-assembly, electronic and optical properties, and electronic devices. Surf. Sci. Rep. 2020, 75, 100481. [Google Scholar] [CrossRef]
- He, D.; Zhang, Y.; Wu, Q.; Xu, R.; Nan, H.; Liu, J.; Yao, J.; Wang, Z.; Yuan, S.; Li, Y.; et al. Two-dimensional quasi-freestanding molecular crystals for high-performance organic field-effect transistors. Nat. Commun. 2014, 5, 5162. [Google Scholar] [CrossRef]
- Zhang, Y.; Qiao, J.; Gao, S.; Hu, F.; He, D.; Wu, B.; Yang, Z.; Xu, B.; Li, Y.; Shi, Y.; et al. Probing carrier transport and structure-property relationship of highly ordered organic semiconductors at the two-dimensional limit. Phys. Rev. Lett. 2016, 116, 0166. [Google Scholar] [CrossRef] [PubMed]
- Huang, B.; Shen, Y.; Mao, Z.; Liu, Y.; Cui, S. Metathesis reaction of diazo compounds and para-quinone methides for C-C double bond formation: Synthesis of tetrasubstituted alkenes and quinolinones. Org. Lett. 2016, 18, 4888–4891. [Google Scholar] [CrossRef] [PubMed]
- Yang, C.; Gao, S.; Yao, H.; Lin, A. Rhodium-catalyzed hydroacylation of para-quinone methides with salicylaldehydes: An approach to a, a-diaryl-2-hydroxy acetophenones. J. Org. Chem. 2016, 81, 11956–11964. [Google Scholar] [CrossRef] [PubMed]
- Santra, S.; Porey, A.; Guin, J. 1,6-Conjugate Addition of 1,3-Dicarbonyl Compounds to para- Quinone Methides Enabled by Noncovalent N-Heterocyclic Carbene Catalysis. Asian J. Org. Chem. 2018, 7, 477–486. [Google Scholar] [CrossRef]
- Li, D.; Zhou, L.; Wang, X.; He, L.; Yang, X. Effect of Crystallinity of Polyethylene with Different Densities on Breakdown Strength and Conductance Property. Materials 2019, 12, 1746. [Google Scholar] [CrossRef] [PubMed]
- Tomaszewska, K.; Kaluzna-Czaplinska, J.; Jozwiak, W. Thermal and thermo-catalytic degradation of polyolefins as a simple and efficient method of landfill clearing. Pol. J. Chem. Technol. 2010, 12, 50–57. [Google Scholar] [CrossRef]
- Roy, G.; Kumar, B.; Jha, S. Chromatographic study of the recovered gases from hydropyrolytic de-polymerization of LDPE, MDPE and HDPE mix type of waste polyethylene. Appl. Petrochem. Res. 2016, 6, 65–72. [Google Scholar] [CrossRef][Green Version]
- Venkateswararao, A.; Wong, K.-T. Small Molecules for Vacuum-Processed Organic Photovoltaics: Past, Current Status, and Prospect. Bull. Chem. Soc. Jpn. 2021, 94, 812–838. [Google Scholar] [CrossRef]
- Roncali, J. Molecular Engineering of the Band Gap of π-Conjugated Systems: Facing Technological Applications. Macromol. Rapid Commun. 2007, 28, 1761–1775. [Google Scholar] [CrossRef]
- Barden, J.; Slatt, F.J.; Hall, L.J. Photoconductivity Conference; Wiley: New York, NY, USA, 1956; p. 146. [Google Scholar]
- El-Nahass, M.M.; Abd-El-Rahman, K.F.; Al-Ghamdi, A.A.; Asri, A.M. Optical properties of thermally evaporated tin-phthalocyanine dichloride thin films, SnPcCl2. Phys. B Condens. Matter 2004, 344, 398–406. [Google Scholar] [CrossRef]
- Usta, H.; Risko, C.; Wang, Z.; Huang, H.; Deliomeroglu, M.K.; Zhukhovitskiy, A.; Facchetti, A.; Marks, T.J. Design, Synthesis, and Characterization of Ladder-Type Molecules and Polymers. Air-Stable, Solution-Processable n-Channel and Ambipolar Semiconductors for Thin-Film Transistors via Experiment and Theory. J. Am. Chem. Soc. 2009, 131, 5586–5608. [Google Scholar] [CrossRef] [PubMed]
- Borsenberger, P.M.; Weiss, D.S. Organic Photoreceptors for Imaging Systems; M. Dekker: New York, NY, USA, 1993; ISBN 9780824789268. [Google Scholar]
- Soliman, H.S.; Farag, A.A.M.; Khosifan, N.M.; El-Nahass, M.M. Electrical transport mechanisms and photovoltaic characterization of cobalt phthalocyanine on silicon heterojunctions. Thin Solid Film. 2008, 516, 8678–8683. [Google Scholar] [CrossRef]
- Sánchez Vergara, M.E.; Sandoval Plata, E.I.; Ballinas Indili, R.; Salcedo, R.; Alvarez Toledano, C. Structural determination, characterization and computational studies of doped semiconductors base silicon phthalocyanine dihydroxide and dienynoic acids. Heliyon 2024, 10, e25518. [Google Scholar] [CrossRef] [PubMed]
- Lozano González, M.; Sánchez-Vergara, M.E.; Álvarez, J.R.; Chávez-Uribe, M.I.; Toscano, R.A.; Álvarez-Toledano, C. Synthesis and optical properties of iron(III) complexes of 2-benzylidene-1-indanone derivative thin films. J. Mater. Chem. C 2014, 2, 5607–5614. [Google Scholar] [CrossRef]
- Catania, F.; de Souza, H.; Lugoda, P.; Cantarella, G.; Münzenrieder, N. Thin-film electronics on active substrates: A review of materials, technologies, and applications. J. Phys. D Appl. Phys. 2022, 55, 323002. [Google Scholar] [CrossRef]













| Compound | Deposition Rate (Å/s) | Thickness of the Films on Glass (Å) |
|---|---|---|
| p-QM1 | 37 | 505 |
| p-QM2 | 63 | 950 |
| p-QM3 | 1.3 | 35 |
| p-QM4 | 52 | 691 |
| p-QM5 | 17.4 | 183 |
| p-QM6 | 1.5 | 84 |
Disclaimer/Publisher’s Note: The statements, opinions and data contained in all publications are solely those of the individual author(s) and contributor(s) and not of MDPI and/or the editor(s). MDPI and/or the editor(s) disclaim responsibility for any injury to people or property resulting from any ideas, methods, instructions or products referred to in the content. |
© 2024 by the authors. Licensee MDPI, Basel, Switzerland. This article is an open access article distributed under the terms and conditions of the Creative Commons Attribution (CC BY) license (https://creativecommons.org/licenses/by/4.0/).
Share and Cite
Sánchez Vergara, M.E.; Santillán Esquivel, E.A.; Ballinas-Indilí, R.; Lozada-Flores, O.; Miranda-Ruvalcaba, R.; Álvarez-Toledano, C. Organic Semiconductor Devices Fabricated with Recycled Tetra Pak®-Based Electrodes and para-Quinone Methides. Coatings 2024, 14, 998. https://doi.org/10.3390/coatings14080998
Sánchez Vergara ME, Santillán Esquivel EA, Ballinas-Indilí R, Lozada-Flores O, Miranda-Ruvalcaba R, Álvarez-Toledano C. Organic Semiconductor Devices Fabricated with Recycled Tetra Pak®-Based Electrodes and para-Quinone Methides. Coatings. 2024; 14(8):998. https://doi.org/10.3390/coatings14080998
Chicago/Turabian StyleSánchez Vergara, María Elena, Eva Alejandra Santillán Esquivel, Ricardo Ballinas-Indilí, Octavio Lozada-Flores, René Miranda-Ruvalcaba, and Cecilio Álvarez-Toledano. 2024. "Organic Semiconductor Devices Fabricated with Recycled Tetra Pak®-Based Electrodes and para-Quinone Methides" Coatings 14, no. 8: 998. https://doi.org/10.3390/coatings14080998
APA StyleSánchez Vergara, M. E., Santillán Esquivel, E. A., Ballinas-Indilí, R., Lozada-Flores, O., Miranda-Ruvalcaba, R., & Álvarez-Toledano, C. (2024). Organic Semiconductor Devices Fabricated with Recycled Tetra Pak®-Based Electrodes and para-Quinone Methides. Coatings, 14(8), 998. https://doi.org/10.3390/coatings14080998
