The Effect of Deposition Temperature on TiN Thin Films for the Electrode Layer of 3D Capacitors Prepared by Atomic Layer Deposition
Abstract
1. Introduction
2. Experimental
2.1. Sample Preparation
2.2. Sample Characterization
3. Result and Discussion
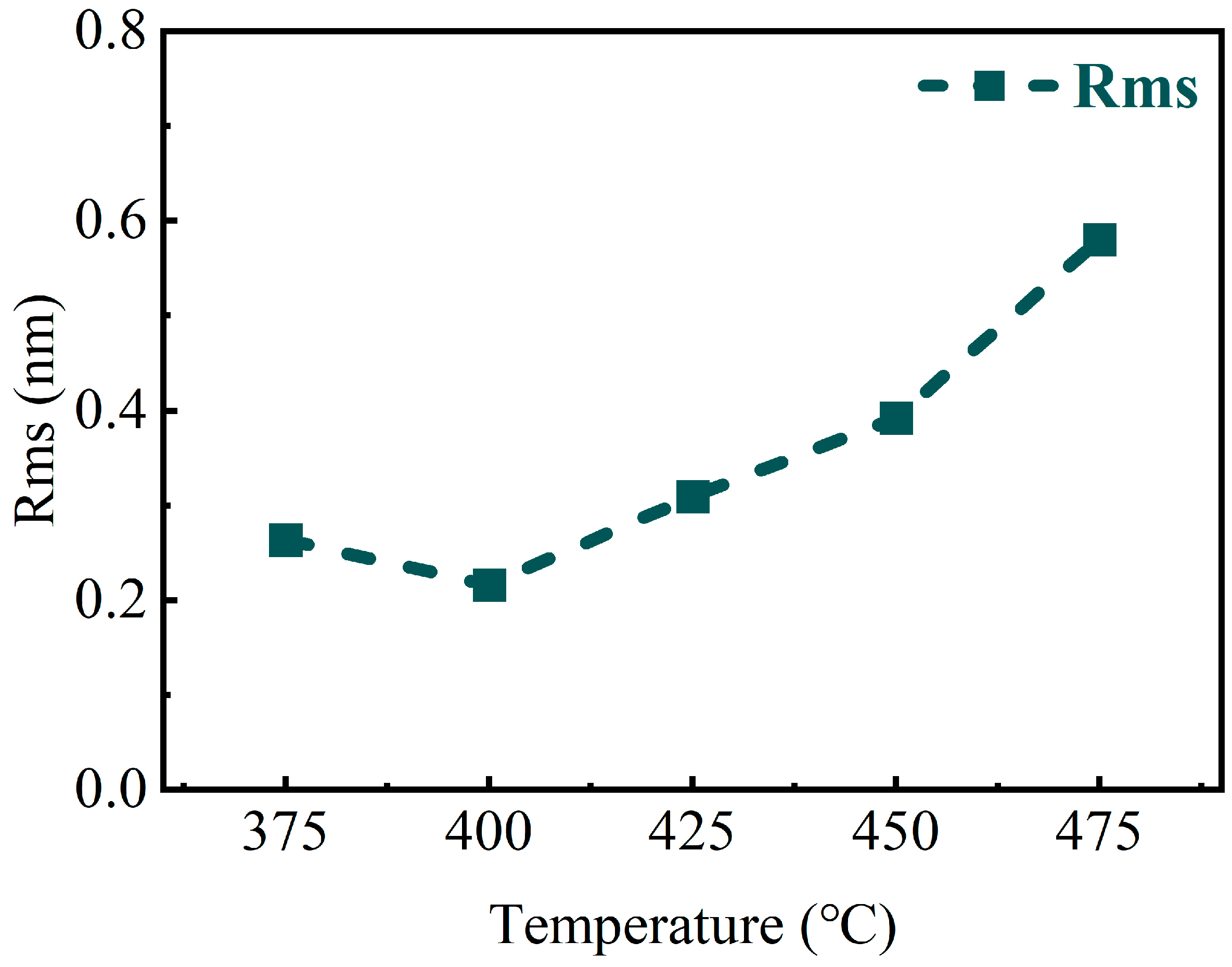
3.1. TiN Thin Films Deposited on Planar Substrates at Different Temperatures
3.2. TiN-Film Aging Experiments
3.3. TiN Thin Films Deposited on Substrates with Deep-Hole Arrays at Different Temperatures
4. Conclusions
Supplementary Materials
Author Contributions
Funding
Institutional Review Board Statement
Informed Consent Statement
Data Availability Statement
Conflicts of Interest
References
- Hao, X. A review on the dielectric materials for high energy-storage application. J. Adv. Dielectr. 2013, 03, 1330001. [Google Scholar] [CrossRef]
- Sun, Z.; Wang, Z.; Tian, Y.; Wang, G.; Wang, W.; Yang, M.; Wang, X.; Zhang, F.; Pu, Y. Progress, outlook, and challenges in lead-free energy-storage ferroelectrics. Adv. Electron. Mater. 2019, 6, 1900698. [Google Scholar] [CrossRef]
- Strambini, L.; Paghi, A.; Mariani, S.; Sood, A.; Kalliomäki, J.; Järvinen, P.; Toia, F.; Scurati, M.; Morelli, M.; Lamperti, A.; et al. Three-dimensional silicon-integrated capacitor with unprecedented areal capacitance for on-chip energy storage. Nano Energy 2020, 68, 104281. [Google Scholar] [CrossRef]
- Jin, X.; Yue, S.; Zhang, J.; Qian, L.; Guo, X. Three-dimensional vanadium and nitrogen dual-doped Ti3C2 film with ultra-high specific capacitance and high volumetric energy density for zinc-ion hybrid capacitors. Nanomaterials 2024, 14, 490. [Google Scholar] [CrossRef] [PubMed]
- Yang, P.; Chao, D.; Zhu, C.; Xia, X.; Zhang, Y.; Wang, X.; Sun, P.; Tay, B.K.; Shen, Z.X.; Mai, W.; et al. Ultrafast-charging supercapacitors based on corn-like titanium nitride nanostructures. Adv. Sci. 2016, 3, 1500299. [Google Scholar] [CrossRef] [PubMed]
- Achour, A.; Ducros, J.B.; Porto, R.L.; Boujtita, M.; Gautron, E.; Le Brizoual, L.; Djouadi, M.A.; Brousse, T. Hierarchical nanocomposite electrodes based on titanium nitride and carbon nanotubes for micro-supercapacitors. Nano Energy 2014, 7, 104–113. [Google Scholar] [CrossRef]
- Parveen, N.; Ansari, M.O.; Ansari, S.A.; Kumar, P. Nanostructured titanium nitride and its composites as high-performance supercapacitor electrode material. Nanomaterials 2022, 13, 105. [Google Scholar] [CrossRef] [PubMed]
- Jeon, B.; Kim, S. Effect of ITO electrode on conductance quantization and multi-level cells in TiN/SiOx/ITO devices. Ceram. Int. 2023, 49, 425–430. [Google Scholar] [CrossRef]
- Koryazhkina, M.N.; Filatov, D.O.; Tikhov, S.V.; Belov, A.I.; Serov, D.A.; Kryukov, R.N.; Zubkov, S.Y.; Vorontsov, V.A.; Pavlov, D.A.; Gryaznov, E.G.; et al. Electrical characteristics of CMOS-compatible SiOx-based resistive-switching devices. Nanomaterials 2023, 13, 2082. [Google Scholar] [CrossRef] [PubMed]
- Cui, Z.-J.; Cai, D.-L.; Li, Y.; Li, C.-X.; Song, Z.-T. WN coating of TiN electrode to improve the reliability of phase change memory. Mater. Sci. Semicond. Process. 2022, 138, 106273. [Google Scholar] [CrossRef]
- Zhang, G.; Li, B.; Jiang, B.; Yan, F.; Chen, D. Microstructure and tribological properties of TiN, TiC and Ti(C,N) thin films prepared by closed-field unbalanced magnetron sputtering ion plating. Appl. Surf. Sci. 2009, 255, 8788–8793. [Google Scholar] [CrossRef]
- Kumar, N.; McGinn, J.T.; Pourrezaei, K.; Lee, B.; Douglas, E.C. Transmission electron microscopy studies of brown and golden titanium nitride thin films as diffusion barriers in very large scale integrated circuits. J. Vac. Sci. Technol. A Vac. Surf. Film. 1988, 6, 1602–1608. [Google Scholar] [CrossRef]
- Banerjee, R.; Singh, K.; Ayyub, P.; Totlani, M.K.; Suri, A.K. Influence of the Ar/N2 ratio on the preferred orientation and optical reflectance of reactively sputter deposited titanium nitride thin films. J. Vac. Sci. Technol. A Vac. Surf. Film. 2003, 21, 310–317. [Google Scholar] [CrossRef]
- Li, J.; Deng, Z.; Liu, C.; Rong, H.; Zeng, Z. TiN nano arrays on nickel foam prepared by multi-arc ion plating for fast-charging supercapacitors. Appl. Surf. Sci. 2022, 593, 153360. [Google Scholar] [CrossRef]
- Heo, J.-Y.; Cho, S.-H.; Je, T.-J.; Kim, K.-H.; Lee, H.-W.; Kang, M.-C. Effects of honing treatment on AIP-TiN and TiAlN coated end-mill for high speed machining. Trans. Nonferrous Met. Soc. China 2011, 21, s83–s87. [Google Scholar] [CrossRef]
- Böőr, K.; Qiu, R.; Forslund, A.; Bäcke, O.; Larsson, H.; Lindahl, E.; Halvarsson, M.; Boman, M.; von Fieandt, L. Chemical vapor deposition of TiN on a CoCrFeNi multi-principal element alloy substrate. Surf. Coat. Technol. 2020, 393, 125778. [Google Scholar] [CrossRef]
- Kainz, C.; Schalk, N.; Tkadletz, M.; Mitterer, C.; Czettl, C. Microstructure and mechanical properties of CVD TiN/TiBN multilayer coatings. Surf. Coat. Technol. 2019, 370, 311–319. [Google Scholar] [CrossRef]
- Jadhav, P.M.; Narala, S.K.R. Tribological analysis of electrostatically developed multi (YSZ, TiN, SiC) nanocomposite coated cutting tool material. J. Manuf. Process. 2020, 51, 161–173. [Google Scholar] [CrossRef]
- Lee, S.-H.; Bak, S.-Y.; Park, C.-Y.; Baek, D.; Yi, M. Enhancement of electrical performance in indium-zinc oxide thin-film transistors with HfO2/Al2O3 gate insulator deposited via low-temperature ALD. Displays 2023, 80, 102566. [Google Scholar] [CrossRef]
- Lys, A.; Gnilitskyi, I.; Coy, E.; Jancelewicz, M.; Gogotsi, O.; Iatsunskyi, I. Highly regular laser-induced periodic silicon surface modified by MXene and ALD TiO2 for organic pollutants degradation. Appl. Surf. Sci. 2023, 640, 158336. [Google Scholar] [CrossRef]
- Suvorova, E.I.; Uvarov, O.V.; Chizh, K.V.; Klimenko, A.A.; Buffat, P.A. Structure, oxygen content and electric properties of titanium nitride electrodes in TiNx/La:HfO2/TiNx stacks grown by PEALD on SiO2/Si. Nanomaterials 2022, 12, 3608. [Google Scholar] [CrossRef] [PubMed]
- Staszuk, M.; Pakuła, D.; Reimann, Ł.; Kloc-Ptaszna, A.; Lukaszkowicz, K. Structure and properties of the TiN/ZnO coating obtained by the hybrid method combining PVD and ALD technologies on austenitic Cr-Ni-Mo steel substrate. Surf. Interfaces 2023, 37, 102693. [Google Scholar] [CrossRef]
- Liu, Z.; Andrade, A.M.; Grewal, S.; Nelson, A.J.; Thongrivong, K.; Kang, H.-S.; Li, H.; Nasef, Z.; Diaz, G.; Lee, M.H. Trace amount of ceria incorporation by atomic layer deposition in Co/CoOx-embedded N-doped carbon for efficient bifunctional oxygen electrocatalysis: Demonstration and quasi-operando observations. Int. J. Hydrogen Energy 2021, 46, 38258–38269. [Google Scholar] [CrossRef]
- Bawab, B.; Thalluri, S.M.; Rodriguez-Pereira, J.; Sopha, H.; Zazpe, R.; Macak, J.M. Anodic TiO2 nanotube layers decorated by Pd nanoparticles using ALD: An efficient electrocatalyst for methanol oxidation. Electrochim. Acta 2022, 429, 141044. [Google Scholar] [CrossRef]
- Kao, E.; Yang, C.; Warren, R.; Kozinda, A.; Lin, L. ALD titanium nitride on vertically aligned carbon nanotube forests for electrochemical supercapacitors. Sens. Actuators A Phys. 2016, 240, 160–166. [Google Scholar] [CrossRef]
- Zhang, H.; Wang, B.; Brown, B. Atomic layer deposition of titanium oxide and nitride on vertically aligned carbon nanotubes for energy dense 3D microsupercapacitors. Appl. Surf. Sci. 2020, 521, 146349. [Google Scholar] [CrossRef]
- Assaud, L.; Pitzschel, K.; Hanbücken, M.; Santinacci, L. Highly-conformal TiN thin films grown by thermal and plasma-enhanced atomic layer deposition. ECS J. Solid State Sci. Technol. 2014, 3, P253–P258. [Google Scholar] [CrossRef]
- Lee, B.-J.; Kim, Y.-S.; Seo, D.-W.; Choi, J.-W. The Effect of deposition temperature of TiN thin film deposition using thermal atomic layer deposition. Coatings 2023, 13, 104. [Google Scholar] [CrossRef]
- Patsalas, P.; Kalfagiannis, N.; Kassavetis, S. Optical properties and plasmonic performance of titanium nitride. Materials 2015, 8, 3128–3154. [Google Scholar] [CrossRef]
- Hilfiker, J.N.; Stadermann, M.; Sun, J.; Tiwald, T.; Hale, J.S.; Miller, P.E.; Aracne-Ruddle, C. Determining thickness and refractive index from free-standing ultra-thin polymer films with spectroscopic ellipsometry. Appl. Surf. Sci. 2017, 421, 508–512. [Google Scholar] [CrossRef]
- Aspnes, D.E. Spectroscopic ellipsometry—Past, present, and future. Thin Solid Film. 2014, 571, 334–344. [Google Scholar] [CrossRef]
- Arshi, N.; Lu, J.; Joo, Y.K.; Lee, C.G.; Yoon, J.H.; Ahmed, F. Influence of nitrogen gas flow rate on the structural, morphological and electrical properties of sputtered TiN films. J. Mater. Sci. Mater. Electron. 2012, 24, 1194–1202. [Google Scholar] [CrossRef]
- Shi, J.; Jiang, B.; Liu, Z.; Li, C.; Yan, F.; Liu, X.; Li, H.; Yang, C.; Dong, D.; Hao, J. Sputtered titanium nitride films on nanowires Si substrate as pseudocapacitive electrode for supercapacitors. Ceram. Int. 2021, 47, 26758–26767. [Google Scholar] [CrossRef]
- Shi, J.; Jiang, B.; Li, C.; Liu, Z.; Yan, F.; Liu, X.; Li, H.; Yang, C.; Dong, D.; Hao, J. Study on capacitance properties of the sputtered carbon doped titanium nitride electrode material for supercapacitor. Vacuum 2022, 198, 110893. [Google Scholar] [CrossRef]
- Logothetidisa, S.; Meletisb, E.I.; Stergioudisa, G.; Adjaottor, A.A. Room temperature oxidation behavior of TiN thin films. Thin Solid Film. 1999, 338, 304–313. [Google Scholar] [CrossRef]
- Gao, L.S.; Cai, Q.Y.; Hu, E.T.; Zhang, Q.Y.; Yang, Y.T.; Xiong, Y.B.; Liu, B.J.; Duan, W.B.; Yu, T.Y.; Liu, D.Q. Optimization of optical and structural properties of Al2O3/TiO2 nano-laminates deposited by atomic layer deposition for optical coating. Opt. Express 2023, 31, 13503–13517. [Google Scholar] [CrossRef] [PubMed]
- Das, S.; Guha, S.; Ghadai, R.; Sharma, A.; Chatterjee, S. Morphological, mechanical property analysis and comparative study over structural properties of CVD TiN film grown under different substrate temperature in nitrogen gas atmosphere. Silicon 2020, 14, 183–199. [Google Scholar] [CrossRef]
- Kashani, H.; Sohi, M.H.; Kaypour, H. Microstructural and physical properties of titanium nitride coatings produced by CVD process. Mater. Sci. Eng. 2000, A286, 324–330. [Google Scholar] [CrossRef]
- Wenjie, Z.; Jian, C.; Dejun, W.; Qian, W.; Shuidi, W. Properties of TiN films deposited by atomic layer deposition for through silicon via applications. In Proceedings of the 2010 11th International Conference on Electronic Packaging Technology & High Density Packaging, Xi’an, China, 16–19 August 2010; pp. 7–11. [Google Scholar] [CrossRef]














| Split Orbit | Bond | 375 °C | 400 °C | 425 °C | 450 °C | 475 °C |
|---|---|---|---|---|---|---|
| Ti2p3/2 (eV) | Ti-N | 454.7 | 454.5 | 454.4 | 454.3 | 454.3 |
| Ti-O-N | 455.8 | 455.6 | 455.4 | 455.4 | 455.3 | |
| Ti-O | 457.5 | 457.3 | 457.1 | 457.2 | 457.1 | |
| Ti2p1/2 (eV) | Ti-N | 460.7 | 460.4 | 460.3 | 460.3 | 460.3 |
| Ti-O-N | 461.9 | 461.4 | 461.6 | 461.6 | 461.6 | |
| Ti-O | 463.4 | 463.1 | 463.1 | 463.1 | 463.1 |
| Position | 375 °C | 400 °C | 425 °C | 450 °C | 475 °C |
|---|---|---|---|---|---|
| Top (nm) | 35.40 | 38.79 | 39.56 | 40.3 | 38.04 |
| 38.04 | 36.91 | 38.04 | 40.68 | 39.54 | |
| 35.40 | 38.41 | 38.41 | 36.53 | 39.54 | |
| Wall (nm) | 32.01 | 35.40 | 36.91 | 38.79 | 36.53 |
| 31.63 | 33.14 | 35.78 | 38.79 | 38.41 | |
| 33.14 | 36.91 | 37.66 | 32.77 | 37.66 | |
| Bottom (nm) | 31.26 | 33.89 | 32.01 | 35.02 | 29.01 |
| 29.75 | 27.49 | 32.76 | 28.24 | 28.62 | |
| 23.35 | 25.23 | 24.1 | 25.61 | 32.77 |
Disclaimer/Publisher’s Note: The statements, opinions and data contained in all publications are solely those of the individual author(s) and contributor(s) and not of MDPI and/or the editor(s). MDPI and/or the editor(s) disclaim responsibility for any injury to people or property resulting from any ideas, methods, instructions or products referred to in the content. |
© 2024 by the authors. Licensee MDPI, Basel, Switzerland. This article is an open access article distributed under the terms and conditions of the Creative Commons Attribution (CC BY) license (https://creativecommons.org/licenses/by/4.0/).
Share and Cite
Chen, X.; Zhang, J.; Gao, L.; Zhang, F.; Ma, M.; Liu, Z. The Effect of Deposition Temperature on TiN Thin Films for the Electrode Layer of 3D Capacitors Prepared by Atomic Layer Deposition. Coatings 2024, 14, 724. https://doi.org/10.3390/coatings14060724
Chen X, Zhang J, Gao L, Zhang F, Ma M, Liu Z. The Effect of Deposition Temperature on TiN Thin Films for the Electrode Layer of 3D Capacitors Prepared by Atomic Layer Deposition. Coatings. 2024; 14(6):724. https://doi.org/10.3390/coatings14060724
Chicago/Turabian StyleChen, Xingyu, Jing Zhang, Lingshan Gao, Faqiang Zhang, Mingsheng Ma, and Zhifu Liu. 2024. "The Effect of Deposition Temperature on TiN Thin Films for the Electrode Layer of 3D Capacitors Prepared by Atomic Layer Deposition" Coatings 14, no. 6: 724. https://doi.org/10.3390/coatings14060724
APA StyleChen, X., Zhang, J., Gao, L., Zhang, F., Ma, M., & Liu, Z. (2024). The Effect of Deposition Temperature on TiN Thin Films for the Electrode Layer of 3D Capacitors Prepared by Atomic Layer Deposition. Coatings, 14(6), 724. https://doi.org/10.3390/coatings14060724

