Study on Electrochemical Corrosion of Q235 Steel in Sand Containing HA Solution under a Natural Air-Dried State
Abstract
1. Introduction
2. Materials and Methods
2.1. Materials
2.2. Methods
3. Results
3.1. Properties of Sand Containing HA Solution
3.2. Open-Circuit Potential of Q235 Steel in Sand Containing HA Solution
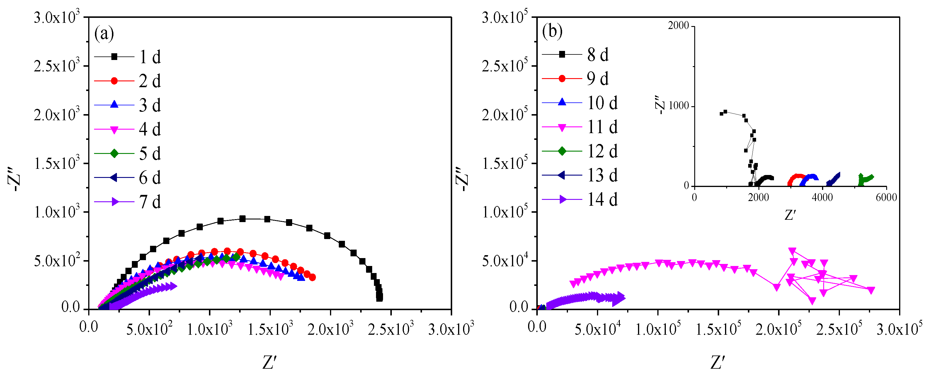
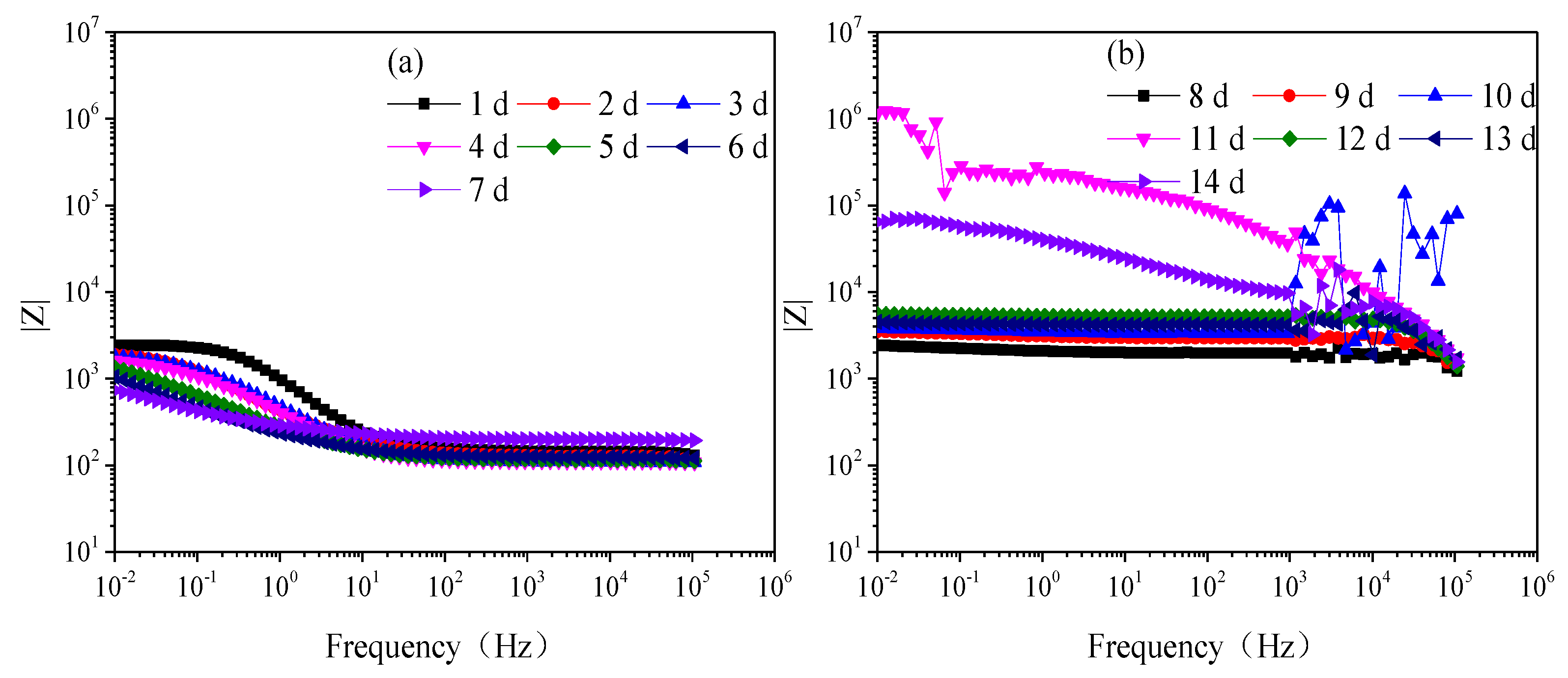
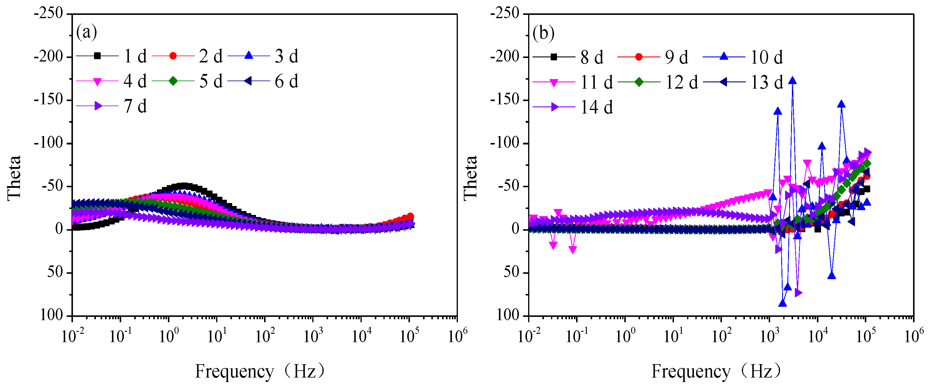
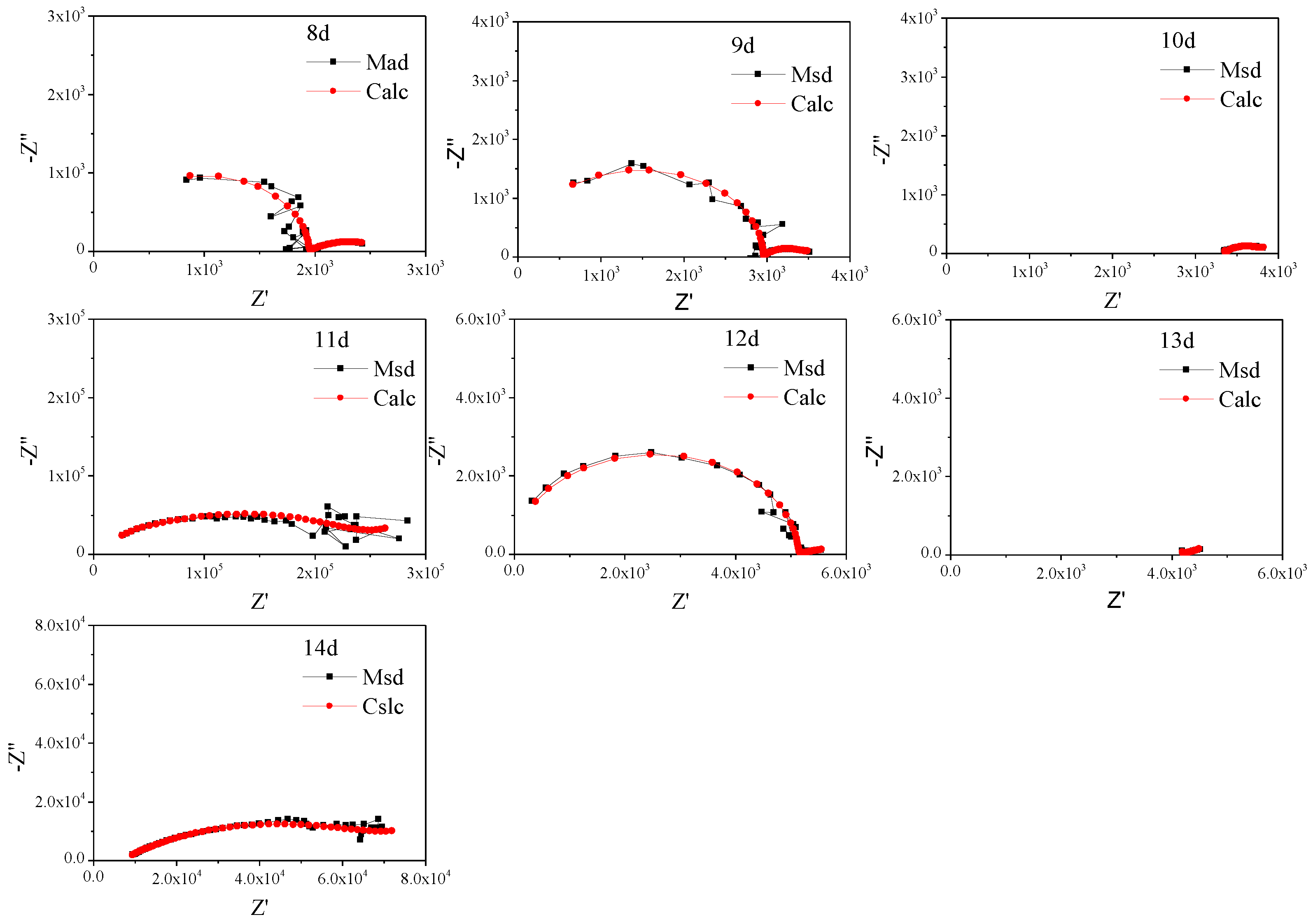
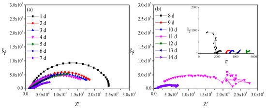
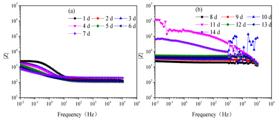
3.3. Electrochemical Impedance Spectra of Q235 Steel in Sand Containing HA Solution
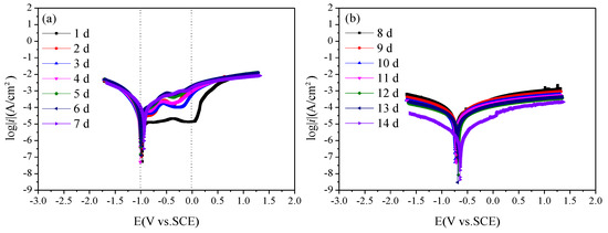
3.4. Polarization Curve of Q235 Steel in Sand Containing HA Liquid
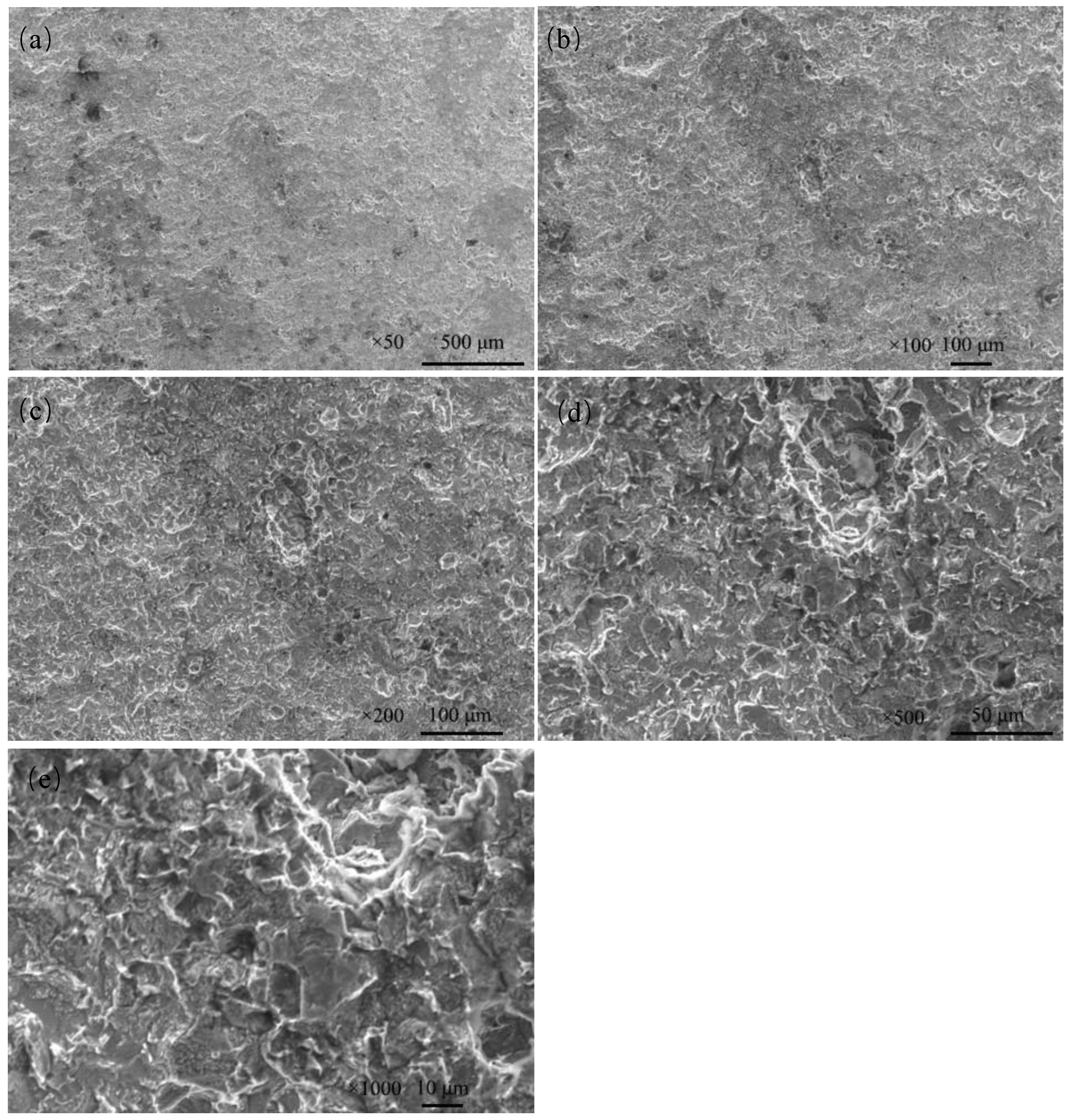
3.5. Electrochemical Corrosion Mechanism of Q235 Steel in Sand Containing HA Solution
4. Discussion
5. Conclusions
- (1)
- The pH of the sand containing the HA solution fluctuated within the range of 6.31–7.01, the sand was basically neutral and the temperature changed by around 20 °C. The moisture gradually decreased from 30% to 0%, and the salt decreased from 1.26% to 0.04% within 14 days;
- (2)
- The Eocp of Q235 steel is stable with time. With the increase in age, the Eocp gradually-positively skews indicating the corrosion kinetics of Q235 steel in sandy soil decrease. In the frequency of 10−2–103 Hz, the impedance spectra present a flat capacitive loop. The water component of the sand is near the limit volume content of the liquid bridge (6%–12%) at 8 d. The radius of capacitive loop is the smallest, and sand erodes steel the most. After 8 d, the impedance spectra fluctuate greatly in the frequency of 103–106 Hz;
- (3)
- As age increases, the polarization curve of Q235 steel moves upward overall, and the corrosion tendency of Q235 steel in sand containing HA solution gradually weakens. The pitting characteristics of the anode branch for polarization curve also indicate the faster corrosion kinetics of Q235 steel in the early age (1–5 d). The corrosion grade of Q235 steel first increases and then decreases, reaching the highest level (3.44 × 10−5 A/cm2) at 6 d. The corrosion degree of Q235 steel varies from medium to mild corrosion. The average corrosion rate is 0.1629 mm/a. HA solution accelerates the corrosion of Q235 steel in sand without HA solution (average corrosion rate, 1.51 × 10−2 mm/a).
- (4)
- The surface of the Q235 steel was stacked with highly different brown–yellow corrosion products (iron oxides, about 70–200 μm), and the corrosion products were lamellar, flocculent clusters, rice grains and other shapes. The corrosion of the Q235 steel was local corrosion, and corrosion pits connected to form a large area of dimples. The HA solution and porous structure in sand jointly affect the electrochemical corrosion of Q235 steel.
Author Contributions
Funding
Institutional Review Board Statement
Informed Consent Statement
Data Availability Statement
Conflicts of Interest
References
- Li, X.H.; Cao, G.W.; Guo, M.X.; Peng, Y.C.; Ma, K.J.; Wang, Z.Y. Initial corrosion behavior of carbon steel Q235, pipeline steel L415, and pressure vessel steel 16MnNi under high humidity and high irradiation coastal-industrial atmosphere in Zhanjiang. Acta. Metall. Sin. 2023, 59, 884–892. [Google Scholar]
- Deng, C. Research on characterisyics of particle pollution in sixteen cities of yunnan. Environ. Sci. Surv. 2017, 36, 86–90. [Google Scholar]
- Chen, H.; Liu, J.J.; Wang, P.Z.; Lin, X.; Ma, J.J.; Wang, C.Y. Characteristics of PM2.5 chemical species in 23 Chinese cities identified using a vehicular platform. Sustainability 2024, 16, 2340. [Google Scholar] [CrossRef]
- Zhu, Y.C.; Liu, G.M.; Liu, X.; Pei, F.; Tian, X.; Gan, H.Y. Corrosion behavior of Q235 steel in three typical soil environments. Mater. Machanical. Eng. 2019, 43, 15–19. [Google Scholar]
- Li, X.D.; Li, X.J.; Yang, J.; Zhou, Z.J.; Ma, C.; Jiang, M. The grounding grid corrosion comparative judgment and difference analysis using different soil corrosion evaluation method. Electr. Power Technol. Environ. Prot. 2014, 30, 8–9. [Google Scholar]
- Ibrahim, M.A.; Jaafar, M.Z.; Yusof, M.A.M.; Shye, C.A.; Idris, A.K. Influence of size and surface charge on the adsorption behaviour of silicon dioxide nanoparticles on sand particles. Colloids Surf. A 2023, 674, 131943. [Google Scholar] [CrossRef]
- Xie, C.X.; An, J.Y.; Deng, Z.R.; Liu, C.L. Corrosion test and three-dimensional cellular machine simulation of Q235 steel by ion diffusion in different soil environments. Arabian J. Chem. 2023, 16, 104869. [Google Scholar] [CrossRef]
- Li, J.; Su, H.; Chai, F.; Chen, X.P.; Li, X.Y.; Meng, H.M. Simulated corrosion test of Q235 steel in diatomite soil. J. Iron. Steel Res. Int. 2015, 22, 352–360. [Google Scholar] [CrossRef]
- Deng, Z.Y.; Liu, L.L.; Li, W.B.; Zhong, Z.; Xu, D.L.; Wu, Z.T. Effect of graphite on the corrosion behavior of Q235 steel in sodium bentonite. Total Corros. Control. 2022, 36, 8–29. [Google Scholar]
- Liu, L.L.; Li, W.B.; Deng, Z.Y.; Xu, S.; Xu, Y.R.; Zeng, L.B.; Li, D.K.; Yang, Y.; Zhong, Z. Effect of moisture on corrosion behavior of Q235 steel in bentonite clay. Int. J. Electrochem. Sci. 2023, 18, 100164. [Google Scholar] [CrossRef]
- Yang, C.; Wang, Z.L.; Wang, G.J.; Han, Q.; Liu, J. Study on corrosion characteristics of Q235 steel in seawater, soil and dry-wet alternating environments focusing on Shengli oilfield. Mater. Res. Express. 2022, 9, 046506. [Google Scholar] [CrossRef]
- Wu, Y.H.; Liu, T.M.; Sun, C.; Xu, J.; Yu, C.K. Effects of simulated acid rain on corrosion behaviour of Q235 steel in acidic soil. Corros. Eng. Sci. Technol. 2010, 45, 136–141. [Google Scholar] [CrossRef]
- Wang, S.R.; Du, C.W.; Liu, Z.Y.; Li, X.G.; Zhu, M.; Huang, Y.Z.; Jia, J.H. Field experimental study on stress corrosion cracking behavior of Q235 and X70 steels in Singapore soil. Int. J. Mech. Eng. Educ. 2015, 51, 30–35. [Google Scholar] [CrossRef]
- Jiang, J.; Wang, J. Effect of gas/liquid/solid three-phase boundary zone on cathodic process of metal corrosion. Corros. Sci. Prot. Technol. 2009, 21, 79–81. [Google Scholar]
- Xie, R.Z.; Geng, R.C.; Zhang, Q.; Yuan, M.L.; Bao, Y.G.; Zhou, Y.Q.; Li, B.Q.; Han, P.J.; Wang, Z.X.; Wang, S.Y. Investigation of Q235 steel electrochemical corrosion behavior in naturally dried sandy soil. Int. J. Electrochem. Sci. 2023, 18, 100376. [Google Scholar] [CrossRef]
- Cui, L.Y.; Liu, Z.Y.; Hu, P.; Shao, J.M.; Li, X.G.; Du, C.W.; Jiang, B. The corrosion behavior of AZ91D magnesium alloy in simulated haze aqueous solution. Materials 2018, 11, 970. [Google Scholar] [CrossRef] [PubMed]
- Palcut, M.; Gerhátová, Ž.; Šulhánek, P.; Gogola, P. Corrosion resistance of steel S355MC in crude glycerol. Technologies 2023, 11, 69. [Google Scholar] [CrossRef]
- Stefanoni, M.; Angst, U.M.; Elsener, B. Kinetics of electrochemical dissolution of metals in porous media. Nat. Mater. 2019, 18, 942–947. [Google Scholar] [CrossRef] [PubMed]
- Wang, S.; Xu, X.; Li, Z.Z.; Liu, X.; Su, X.L.; Wang, J.; Cheng, L.; Li, Q.; Tan, J.B. The application of Krijing method in national soil corrosion distribution map. Experience Exch. 2016, 30, 38–42. [Google Scholar]
- Ding, K.K.; Guo, W.M.; Qiu, R.; Hou, J.; Fan, L.; Xu, L.K. Corrosion behavior of Q235 steel exposed in deepwater of south china sea. J. Mater. Eng. Perform. 2018, 27, 4489–4496. [Google Scholar] [CrossRef]
- Nohira, H.; Tsai, W.; Besling, W.; Young, E.; Petry, J.; Conard, T.; Vandervorst, W.; De Gendt, S.; Heyns, M.; Maes, J.; et al. Characterization of ALCVD-Al2O3 and ZrO2 layer using X-ray photoelectron spectroscopy. J. Non-Cryst. Solids 2002, 303, 83–87. [Google Scholar] [CrossRef]
- Biesinger, M.C.; Payne, B.P.; Grosvenor, A.P.; Lau, L.W.M.; Gerson, A.R.; Smart, R.S.C. Resolving surface chemical states in XPS analysis of first row transition metals, oxides and hydroxides: Cr, Mn, Fe, Co and Ni. Appl. Surf. Sci. 2011, 257, 2717–2730. [Google Scholar] [CrossRef]
- Shchukarev, A.V.; Korolkov, D.V. XPS Study of Group IA Carbonates. Cent. Eur. J. Chem. 2004, 2, 347–362. [Google Scholar] [CrossRef]
- Jin, Z.Q.; Zhao, X.; Zhao, T.J.; Hou, B.R.; Liu, Y. Effect of Ca(OH)2, NaCl, and Na2SO4 on the corrosion and electrochemical behavior of rebar. Chin. J. Oceanol. Limnol. 2016, 35, 681–692. [Google Scholar] [CrossRef]
- Teng, Y.X.; Sun, D.Y.; Wang, S.; Wang, Y.S.; An, Z.Y.; Li, Y.; Qu, X.L.; Zhao, X.D. Investigation of corrosion behavior of Q235 steel in simulated industrial wastewater. Int. J. Electrochem. Sci. 2019, 14, 10670–10680. [Google Scholar] [CrossRef]












| Composition | Na2SO4 | NaNO3 | NH4Cl | NaCl | H2O |
|---|---|---|---|---|---|
| Content (mol·L−1) | 0.05 | 0.04 | 0.01 | 0.01 | BAL. |
| Composition | C | Si | Mn | P | S | Fe |
|---|---|---|---|---|---|---|
| Content (wt.%) | 0.22 | 0.48 | 0.01 | 0.22 | 0.022 | Bal. |
| Age (d) | Salt Content (%) | pH | Water Component (%) | Temperature (°C) |
|---|---|---|---|---|
| 1 | 1.26 | 6.55 | 30.0 | 21.8 |
| 2 | 1.14 | 6.34 | 26.0 | 21.4 |
| 3 | 1.06 | 6.61 | 19.0 | 20.5 |
| 4 | 0.79 | 6.68 | 18.8 | 19.2 |
| 5 | 0.88 | 6.63 | 17.5 | 19.3 |
| 6 | 0.59 | 6.70 | 15.9 | 19.9 |
| 7 | 0.63 | 6.64 | 14.4 | 21.5 |
| 8 | 0.43 | 6.99 | 12.5 | 18.7 |
| 9 | 0.31 | 6.85 | 11.3 | 19.4 |
| 10 | 0.19 | 6.92 | 8.5 | 20.3 |
| 11 | 0.12 | 6.96 | 6.2 | 18.6 |
| 12 | 0.04 | 7.01 | 3.4 | 19.4 |
| 13 | 0.04 | 6.88 | 0.5 | 19.0 |
| 14 | 0.04 | 6.94 | 0.0 | 21.9 |
| Age (d) | Re (Ω·cm2) | Cs (F·cm−2) | Rs (Ω·cm2) | Qdl | Rct (Ω·cm2) | W (S·s0.5·cm−2) | |
|---|---|---|---|---|---|---|---|
| Yo (S·s−n·cm−2) | n | ||||||
| 1 | 1.26 × 102 | 1.55 × 10−8 | 6.50 × 101 | 1.99 × 10−4 | 0.84 | 2.36 × 103 | 1.56 × 1010 |
| 2 | 1.08 × 102 | 1.26 × 10−8 | 6.91 × 101 | 7.79 × 10−4 | 0.65 | 2.09 × 103 | 4.20 × 108 |
| 3 | 1.08 × 102 | 1.33 × 10−9 | 1.09 × 102 | 5.85 × 10−4 | 0.72 | 1.63 × 103 | 1.56 × 10−3 |
| 4 | 1.07 × 102 | 3.43 × 10−9 | 7.00 × 101 | 7.01 × 10−4 | 0.71 | 1.42 × 103 | 1.19 × 10−2 |
| 5 | 1.12 × 102 | 3.51 × 10−9 | 7.60 × 101 | 1.73 × 10−3 | 0.57 | 1.51 × 103 | 7.58 × 10−3 |
| 6 | 1.19 × 102 | 2.84 × 10−9 | 8.84 × 101 | 3.05 × 10−3 | 0.49 | 2.83 × 103 | 6.02 × 10−3 |
| 7 | 1.91 × 102 | 1.22 × 10−9 | 1.78 × 102 | 4.30 × 10−3 | 0.41 | 1.98 × 103 | 1.02 × 103 |
| 8 | 8.37 × 102 | 8.63 × 10−10 | 1.93 × 103 | 2.35 × 10−3 | 0.40 | 7.42 × 102 | 6.13 × 107 |
| 9 | 6.68 × 102 | 9.43 × 10−10 | 2.96 × 103 | 1.27 × 10−3 | 0.61 | 5.34 × 102 | 4.84 × 10−2 |
| 10 | 3.35 × 103 | 5.87 × 10−8 | 3.53 × 102 | 1.56 × 10−3 | 0.60 | 4.62 × 102 | 4.28 × 10−2 |
| 11 | 1.16 × 102 | 4.61 × 10−9 | 3.72 × 104 | 5.19 × 10−7 | 0.51 | 2.09 × 105 | 3.90 × 10−5 |
| 12 | 3.16 × 102 | 1.03 × 10−9 | 5.09 × 103 | 3.24 × 10−3 | 0.20 | 4.07 × 103 | 5.72 × 108 |
| 13 | 6.64 × 102 | 7.76 × 10−8 | 4.24 × 102 | 4.27 × 10−3 | 0.61 | 2.44 × 102 | 1.93 × 10−2 |
| 14 | 9.43 × 103 | 9.23 × 10−13 | 4.52 × 103 | 7.76 × 10−6 | 0.41 | 7.18 × 104 | 5.88 × 10−4 |
| Age (d) | Corrosion Rate (mm/a) | Rp (Ω/cm2) | Io (A/cm2) | Eo (V) |
|---|---|---|---|---|
| 1 | 1.10 × 10−1 | 2.59 × 103 | 1.01 × 10−5 | −0.95 |
| 2 | 1.50 × 10−1 | 1.92 × 103 | 1.36 × 10−5 | −0.98 |
| 3 | 1.80 × 10−1 | 1.69 × 103 | 1.55 × 10−5 | −0.99 |
| 4 | 2.40 × 10−1 | 1.24 × 103 | 2.11 × 10−5 | −1.00 |
| 5 | 3.30 × 10−1 | 9.23 × 102 | 2.83 × 10−5 | −0.99 |
| 6 | 4.00 × 10−1 | 7.59 × 102 | 3.44 × 10−5 | −0.99 |
| 7 | 3.90 × 10−1 | 7.74 × 102 | 3.37 × 10−5 | −0.93 |
| 8 | 1.17 × 10−1 | 2.62 × 103 | 9.95 × 10−6 | −0.72 |
| 9 | 1.05 × 10−1 | 2.93 × 103 | 8.90 × 10−6 | −0.71 |
| 10 | 7.53 × 10−2 | 4.08 × 103 | 6.40 × 10−6 | −0.74 |
| 11 | 6.65 × 10−2 | 4.61 × 103 | 5.65 × 10−6 | −0.72 |
| 12 | 5.13 × 10−2 | 5.98 × 103 | 4.36 × 10−6 | −0.68 |
| 13 | 6.01 × 10−2 | 5.11 × 103 | 5.11 × 10−6 | −0.69 |
| 14 | 5.97 × 10−3 | 5.14 × 104 | 5.08 × 10−7 | −0.64 |
| Section | Element | CK | OK | NaK | SiK | SK | ClK | MnK | FeK | Matrix |
|---|---|---|---|---|---|---|---|---|---|---|
![]() | Wt% | 5.69 | 14.22 | 3.50 | 0.34 | 1.40 | 1.00 | 0.62 | 73.24 | Correction |
| At% | 16.21 | 30.42 | 5.21 | 0.41 | 1.49 | 0.97 | 0.39 | 44.90 | ZAF | |
![]() | Wt% | 5.46 | 21.90 | 3.12 | 0.14 | 2.33 | 1.66 | 0.44 | 64.95 | Correction |
| At% | 13.96 | 42.06 | 4.17 | 0.15 | 2.24 | 1.44 | 0.25 | 35.74 | ZAF | |
![]() | Wt% | 5.89 | 14.85 | 2.20 | 0.35 | 0.83 | 1.12 | 0.44 | 74.31 | Correction |
| At% | 16.78 | 31.75 | 3.27 | 0.43 | 0.89 | 1.08 | 0.27 | 45.52 | ZAF |
Disclaimer/Publisher’s Note: The statements, opinions and data contained in all publications are solely those of the individual author(s) and contributor(s) and not of MDPI and/or the editor(s). MDPI and/or the editor(s) disclaim responsibility for any injury to people or property resulting from any ideas, methods, instructions or products referred to in the content. |
© 2024 by the authors. Licensee MDPI, Basel, Switzerland. This article is an open access article distributed under the terms and conditions of the Creative Commons Attribution (CC BY) license (https://creativecommons.org/licenses/by/4.0/).
Share and Cite
Xie, R.; Bao, Y.; Geng, R.; Zhang, Q.; Hou, H.; Wang, Y.; Li, B.; Han, P.; Wang, Z.; Wang, S.; et al. Study on Electrochemical Corrosion of Q235 Steel in Sand Containing HA Solution under a Natural Air-Dried State. Coatings 2024, 14, 491. https://doi.org/10.3390/coatings14040491
Xie R, Bao Y, Geng R, Zhang Q, Hou H, Wang Y, Li B, Han P, Wang Z, Wang S, et al. Study on Electrochemical Corrosion of Q235 Steel in Sand Containing HA Solution under a Natural Air-Dried State. Coatings. 2024; 14(4):491. https://doi.org/10.3390/coatings14040491
Chicago/Turabian StyleXie, Ruizhen, Yage Bao, Ruicheng Geng, Qi Zhang, Haosheng Hou, Yakang Wang, Boqiong Li, Pengju Han, Zhenxia Wang, Shiying Wang, and et al. 2024. "Study on Electrochemical Corrosion of Q235 Steel in Sand Containing HA Solution under a Natural Air-Dried State" Coatings 14, no. 4: 491. https://doi.org/10.3390/coatings14040491
APA StyleXie, R., Bao, Y., Geng, R., Zhang, Q., Hou, H., Wang, Y., Li, B., Han, P., Wang, Z., Wang, S., Lin, N., & Dou, B. (2024). Study on Electrochemical Corrosion of Q235 Steel in Sand Containing HA Solution under a Natural Air-Dried State. Coatings, 14(4), 491. https://doi.org/10.3390/coatings14040491




