Tribological Performance of Nano-CeO2/BNH2 Compound Lubricant Additive
Abstract
1. Introduction
2. Experimental Details
2.1. Materials
2.2. Characterization of Nano-CeO2
2.3. Modification of Nano-CeO2
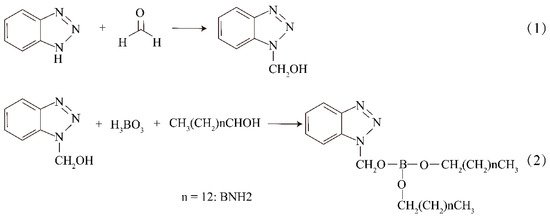
2.4. Preparation and Characterization of BNH2
2.5. Preparation of Composite Lubricant Additive Oil Samples
2.6. Friction Test
3. Results and Discussion
3.1. Tribological Properties of Single Additives
3.2. Tribological Properties of the Nano-CeO2/BNH2 Composite Additives
3.3. Friction Reduction and Anti-Wear Mechanism of the Nano-CeO2/BNH2 Composite Additive
4. Conclusions
- (1)
- The Span80-modified nano-CeO2 had good dispersion stability in the base oils. Compared with the base oil, the 0.6 wt% nano-CeO2 additive had the best anti-friction and anti-wear performance, reducing the friction coefficient and wear spot diameter by 44.9% and 27.8%, respectively, whereas the 1.0 wt% BNH2 additive had the best anti-friction and anti-wear performance, reducing the friction coefficient and wear spot diameter by 49.1% and 32.8%, respectively, compared with the base oil.
- (2)
- The 0.8 wt% nano-CeO2/1.0 wt% BNH2 composite additive exhibited better lubricating properties than the single additives, reducing the coefficient of friction by 55.9% and the wear spot diameter by 48% compared to the base oil.
- (3)
- The nano-CeO2/BNH2 composite lubricant had a good synergistic effect. The Fe2O3/FeO deposition film, CeO2 physical adsorption film, and B2O3 and organic nitride (C-N) chemical adsorption film generated in the friction process effectively prevented the metal surface from direct contact and had good friction and anti-friction effects.
Author Contributions
Funding
Institutional Review Board Statement
Informed Consent Statement
Data Availability Statement
Conflicts of Interest
References
- Jiang, Z.; Du, X.; Jin, Y.; Yu, L.; Yan, M.; Tong, Y.; Hao, Y.; Zhang, S.; Zhang, P. Research Progress of Tribology for Graphene and Its Nanocomposites as Lubricating Additives. J. Mech. Eng. 2023, 59, 293–312. [Google Scholar]
- Jiang, Z.; Sun, Y.; Liu, B.; Yu, L.; Tong, Y.; Yan, M.; Yang, Z.; Hao, Y.; Shangguan, L.; Zhang, S.; et al. Research progresses of nanomaterials as lubricant additives. Friction 2024, 12, 1347–1391. [Google Scholar] [CrossRef]
- Gao, Q.; Liu, S.; Hou, K.; Li, Z.; Wang, J. Graphene-based nanomaterials as lubricant additives: A review. Lubricants 2022, 10, 273. [Google Scholar] [CrossRef]
- Liu, W.; Qiao, X.; Liu, S.; Chen, P. A review of nanomaterials with different dimensions as lubricant additives. Nanomaterials 2022, 12, 3780. [Google Scholar] [CrossRef] [PubMed]
- Garcia Tobar, M.; Contreras Urgiles, R.W.; Jimenez Cordero, B.; Guillen Matute, J. Nanotechnology in Lubricants: A Systematic Review of the Use of Nanoparticles to Reduce the Friction Coefficient. Lubricants 2024, 12, 166. [Google Scholar] [CrossRef]
- Su, F.; Zhang, X.; Sun, J. Research Progress of Functionalized Graphene and Graphene-based Nanocomposites Lubricant Additives. Surf. Technol. 2021, 50, 1–17. [Google Scholar]
- Mei, S.; Zhang, Y.; Zheng, Q.; Fan, Y.; Lygdenov, B.; Guryev, A. Compound boronizing and its kinetics analysis for H13 steel with rare earth CeO2 and Cr2O3. Appl. Sci. 2022, 12, 3636. [Google Scholar] [CrossRef]
- Wang, C.; Gao, Y.; Zeng, Z.; Fu, Y. Effect of rare-earth on friction and wear properties of laser cladding Ni-based coatings on 6063Al. J. Alloys Compd. 2017, 727, 278–285. [Google Scholar] [CrossRef]
- Guo, Y.; Xu, Z.; Liu, Y.; Liu, M.; Sha, P.; Li, L.; Yu, Z.; Zhang, Z.; Ren, L. Achieving illustrious friction and corrosion resistance on a laser powder bed fusion nitinol rare earth alloy. Mater. Today Adv. 2023, 17, 100350. [Google Scholar] [CrossRef]
- Uflyand, I.E.; Zhinzhilo, V.A.; Burlakova, V.E. Metal-containing nanomaterials as lubricant additives: State-of-the-art and future development. Friction 2019, 7, 93–116. [Google Scholar] [CrossRef]
- Li, Z.; Hou, X.; Yu, L.; Zhang, Z.; Zhang, P. Preparation of lanthanum trifluoride nanoparticles surface-capped by tributyl phosphate and evaluation of their tribological properties as lubricant additive in liquid paraffin. Appl. Surf. Sci. 2014, 292, 971–977. [Google Scholar] [CrossRef]
- Qiu, S.; Chen, B.; Yang, B.; Tong, Y.; Dong, W.; Zhang, L.; Xu, J.; Li, C. A novel 2D/2D MoS2/CeO2 nanohybrid and its lubricating mechanism in green rapeseed oil. J. Alloys Compd. 2024, 979, 173450. [Google Scholar] [CrossRef]
- Li, C.; Wang, X.; Zhang, Q.; Tan, X.; Liu, Y.; Li, H.; Liu, H.; Hu, E.; Hu, X. Synthesis, characterization and tribological performances of nano-CeO2/biodiesel carbon soot composites as a novel lubricant additive in polyalphaolefin. J. Ind. Eng. Chem. 2023, 126, 432–443. [Google Scholar] [CrossRef]
- Zhang, H.; Lei, X.; Zhang, C.; Song, N.; Zhang, Y.; Zhang, S. Co-Adsorption Behavior and Synergistic Lubrication Mechanism. Tribology 2023, 43, 1201–1211. [Google Scholar]
- Zhou, K.; Sun, H.; Liu, Y.; Wang, Q.; Liu, B.; Li, D.; Zhao, H.; Tao, R.; Fan, X. CeO2/Cr2O3 direct Z-scheme heterojunction for photo-thermal synergistic catalytic isopropanol degradation and nitrogen fixation. Catal. Sci. Technol. 2023, 13, 490–503. [Google Scholar] [CrossRef]
- Zheng, C.; Mao, D.; Xu, Z.; Zheng, S. Strong Ru-CeO2 interaction boosts catalytic activity and stability of Ru supported on CeO2 nanocube for soot oxidation. J. Catal. 2022, 411, 122–134. [Google Scholar] [CrossRef]
- He, Q.; Li, A.; Guo, Y.; Liu, S.; Zhang, Y.; Kong, L. Tribological properties of nanometer cerium oxide as additives in lithium grease. J. Rare Earths 2018, 36, 209–214. [Google Scholar] [CrossRef]
- Lei, X.; Zhang, Y.; Zhang, S.; Yang, G.; Zhang, C.; Zhang, P. Study on the mechanism of rapid formation of ultra-thick tribofilm by CeO2 nano additive and ZDDP. Friction 2023, 11, 48–63. [Google Scholar] [CrossRef]
- Gu, Z.; Gu, C.; Shwe, S.T. Sthdy on tribological properties of lubricating oils with mixtures additives of nano-CeO2 and nano-Cu. Trans. Mater. Heat Treat. 2007, 28, 292–295. [Google Scholar]
- Jin, E.; Yuan, L.; Yu, J.; Ding, D.; Xiao, G. Enhancement of thermal shock and slag corrosion resistance of MgO–ZrO2 ceramics by doping CeO2. Ceram. Int. 2022, 48, 13987–13995. [Google Scholar] [CrossRef]
- Matussin, S.N.; Khan, F.; Harunsani, M.H.; Kim, Y.M.; Khan, M.M. Effect of Pd-Doping concentrations on the photocatalytic, photoelectrochemical, and photoantibacterial properties of CeO2. Catalysts 2023, 13, 96. [Google Scholar] [CrossRef]
- Sekhar, M.C.; Kumar, N.S.; Asif, M.; Vattikuti, S.V.P.; Shim, J. Enhancing electrochemical performance with g-C3N4/CeO2 binary electrode material. Molecules 2023, 28, 2489. [Google Scholar] [CrossRef]
- Kuang, X.; Yin, B.; Xu, B.; Jia, H.; Kong, X.; Hua, X. Effects of diesel fuel nano-additives on friction and wear properties of precision coupled parts of a diesel engine fuel injection system. Tribol. Trans. 2021, 64, 21–30. [Google Scholar] [CrossRef]
- Xiong, L.; He, Z.; Han, S.; Hu, J.; Xu, X.; Tang, J.; Wu, Y. Tribological study of OH- and N-containing imidazoline derivatives as additives in water–glycol. Proc. Inst. Mech. Eng. Part J J. Eng. Tribol. 2019, 233, 466–480. [Google Scholar] [CrossRef]
- Xiong, L.; He, Z.; Han, S.; Tang, J.; Wu, Y.; Zeng, X. Tribological properties study of N-containing heterocyclic imidazoline derivatives as lubricant additives in water-glycol. Tribol. Int. 2016, 104, 98–108. [Google Scholar] [CrossRef]
- Fu, X.; Li, J.; Sun, L.; Zhou, X.; Fan, B.; Ren, T. Synergistic effect between organic borate esters and phosphorus-based additives on tribological performances as lubricant additives in mineral oil. Proc. Inst. Mech. Eng. Part J J. Eng. Tribol. 2017, 231, 1030–1040. [Google Scholar] [CrossRef]
- Yu, L.; Dai, K.; Lu, H.; Fang, Y.; Cao, H.; Han, L.; Zhao, H.; Li, S. Preparation and tribological properties of nitrogen-containing heterocyclic ester or amide derivatives. CIESC J. 2018, 69, 4083–4089. [Google Scholar]
- Yang, G.; Tian, Y.; Zhang, J.; Zhang, D.; Qu, G.; Zhang, S.; Zhang, P. Preparation and Tribological Properties of N-containing Heterocyclic Borates as Lubricant Additives. Tribology 2012, 32, 384–389. [Google Scholar]
- Ning, P.; Wang, L.; Wang, W.; Li, S.; Ye, Z. Tribological studies on two novel borate esters with nitrogen-containing heterocyclic and alkanolamide as multifunctional additives in rapeseed oil. J. Dispers. Sci. Technol. 2016, 37, 699–705. [Google Scholar] [CrossRef]
- Negi, K.; Kumar, M.; Singh, G.; Chauhan, S.; Chauhan, M.S. Nanostructured CeO2 for selective-sensing and smart photocatalytic applications. Ceram. Int. 2018, 44, 15281–15289. [Google Scholar] [CrossRef]
- Fauzia, K.M.A.; Chaman, M.; Azam, A. Antibacterial and sunlight-driven photocatalytic activity of graphene oxide conjugated CeO2 nanoparticles. Sci. Rep. 2024, 14, 6606. [Google Scholar] [CrossRef]
- Ali, M.K.A.; Hou, X. Exploring the lubrication mechanism of CeO2 nanoparticles dispersed in engine oil by bis (2-ethylhexyl) phosphate as a novel antiwear additive. Tribol. Int. 2022, 165, 107321. [Google Scholar] [CrossRef]
- Chai, D.; Han, X.; Wang, X.; Hu, X. Synthesis and Tribological Properties of Nitrogen-containing Heterocyclic Borate. Lubr. Eng. 2009, 34, 18–21. [Google Scholar]
- Pei, X.; Liu, X.; Chen, J.; Guo, F. Tribological Properties of Anti-Wear Additive ZDDP in Poly α-Olefin Base Oil. Tribology 2024, 44, 912–924. [Google Scholar]
- Zhang, Y.; Zhang, S.; Zhang, Y.; Yu, L.; Zhang, P. Preparation of In-Situ Surface-Capped Active Cerium Oxide Nanoparticles and Evaluation of Their Tribological Properties. Tribology 2025, 45, 1–11. [Google Scholar] [CrossRef]










| Appearance | Flash Point (°C) | Densities (g/cm3) | Kinematic Viscosity/(mm2/s) | Chemical Formula | |
|---|---|---|---|---|---|
| Nano-CeO2 | Light-yellow powder | — | 7.13 | — | CeO2 |
| Base oil | Light-yellow liquid | ≥40 | 2 | 15.9 | C15H16O2, (C2H3Cl)n |
| Stearic acid | White powder | 226 | 0.84 | — | C18H36O2 |
| Oleic acid | Achromatic liquid | 270.1 | 0.89 | 1.05 | C18H34O2 |
| Span80 | Brown oily liquid | 210 | 0.98 | 1.1 | C24H44O6 |
| KH550 | Achromatic liquid | 104.4 | 0.95 | — | NH2(CH2)3Si(OC2H5)3 |
| Benzotriazole | White powder | 170 | 1.36 | — | C6H5N3 |
| Anhydrous ethanol | Achromatic liquid | 12 | 0.78 | 8.2 | C2H5OH |
| Boric acid | White powder | 300 | 1.43 | — | H3BO3 |
| Potassium bromide | White powder | 1435 | 2.75 | — | KBr |
| Tetradecanol | White waxy solid | 145 | 0.8 | — | C14H30O |
| Appearance | C (%) | H (%) | N (%) | Flash Point (°C) | Contaminants (%) | Densities (g/cm3) |
|---|---|---|---|---|---|---|
| White ester solid | 66.51 | 14.07 | 9.05 | 150 | 0.15 | 1.1 |
| Experiment Number | Mass Fraction (wt%) | Friction Coefficient | Wear Scar Diameter (mm) | |
|---|---|---|---|---|
| Nano-CeO2 | BNH2 | |||
| 1 | 0 | 0 | 0.118 | 0.61 |
| 2 | 0.6 | 0 | 0.062 | 0.43 |
| 3 | 0.6 | 0.5 | 0.063 | 0.529 |
| 4 | 0.6 | 1.0 | 0.060 | 0.433 |
| 5 | 0.6 | 2.0 | 0.068 | 0.385 |
| 6 | 0.6 | 3.0 | 0.059 | 0.446 |
| 7 | 0.6 | 4.0 | 0.066 | 0.391 |
| 8 | 0 | 1.0 | 0.060 | 0.424 |
| 9 | 0.2 | 1.0 | 0.055 | 0.333 |
| 10 | 0.4 | 1.0 | 0.057 | 0.348 |
| 11 | 0.6 | 1.0 | 0.060 | 0.433 |
| 12 | 0.8 | 1.0 | 0.052 | 0.317 |
| 13 | 1.0 | 1.0 | 0.068 | 0.338 |
| Elements (%) | Base Oil | 1.0 wt% BNH2 | 0.6 wt% Nano-CeO2 | 0.8 wt% Nano-CeO2/1.0 wt% BNH2 |
|---|---|---|---|---|
| B | - | 3.6 | - | 4.8 |
| C | 10.1 | 19.1 | 12.6 | 16.4 |
| O | 9.9 | 8.1 | 8.1 | 8.1 |
| Fe | 78.7 | 63.7 | 79.3 | 63.7 |
| N | - | 5.6 | - | 6.5 |
| Ce | - | - | 1.3 | 2.1 |
Disclaimer/Publisher’s Note: The statements, opinions and data contained in all publications are solely those of the individual author(s) and contributor(s) and not of MDPI and/or the editor(s). MDPI and/or the editor(s) disclaim responsibility for any injury to people or property resulting from any ideas, methods, instructions or products referred to in the content. |
© 2024 by the authors. Licensee MDPI, Basel, Switzerland. This article is an open access article distributed under the terms and conditions of the Creative Commons Attribution (CC BY) license (https://creativecommons.org/licenses/by/4.0/).
Share and Cite
Zhu, Y.; Liu, J.; Li, L.; Sun, W.; Tang, W.; Wang, L. Tribological Performance of Nano-CeO2/BNH2 Compound Lubricant Additive. Coatings 2024, 14, 1572. https://doi.org/10.3390/coatings14121572
Zhu Y, Liu J, Li L, Sun W, Tang W, Wang L. Tribological Performance of Nano-CeO2/BNH2 Compound Lubricant Additive. Coatings. 2024; 14(12):1572. https://doi.org/10.3390/coatings14121572
Chicago/Turabian StyleZhu, Yuqin, Jia Liu, Liang Li, Weikang Sun, Wei Tang, and Lei Wang. 2024. "Tribological Performance of Nano-CeO2/BNH2 Compound Lubricant Additive" Coatings 14, no. 12: 1572. https://doi.org/10.3390/coatings14121572
APA StyleZhu, Y., Liu, J., Li, L., Sun, W., Tang, W., & Wang, L. (2024). Tribological Performance of Nano-CeO2/BNH2 Compound Lubricant Additive. Coatings, 14(12), 1572. https://doi.org/10.3390/coatings14121572
