Wear Behavior of TiAlN/DLC Coating on Tools in Milling Copper–Beryllium Alloy AMPCOLOY® 83
Abstract
1. Introduction
2. Materials and Methods
2.1. Materials
2.1.1. Workpiece Material
2.1.2. Substrate and Tool Configuration
2.2. Methods
2.2.1. PVD Coating
2.2.2. Machining Experiments
2.2.3. Surface Roughness Analysis
2.2.4. Wear Mechanisms Characterization
3. Results and Discussion
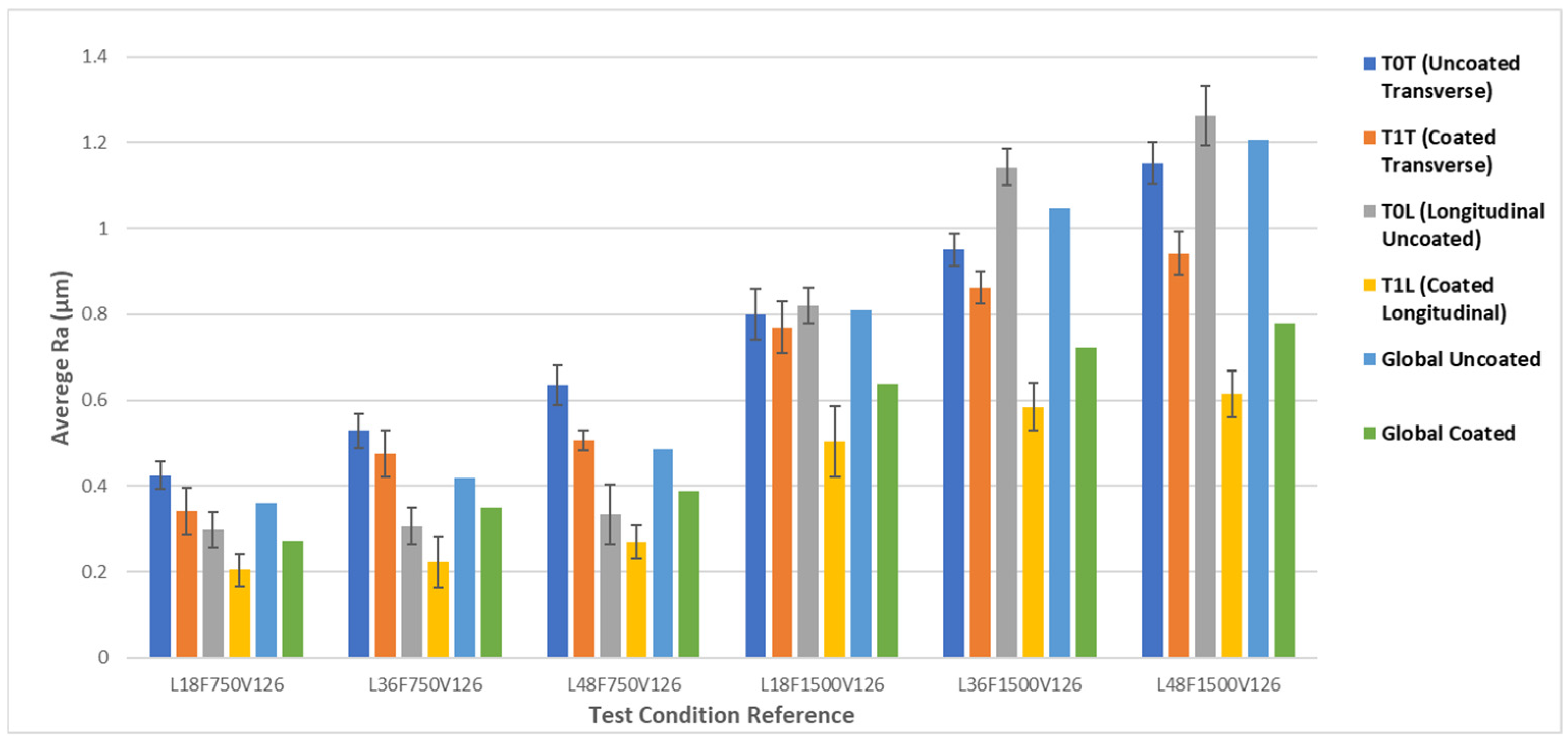
3.1. An Analysis of the Machined Surface’s Roughness
3.2. Wear Analysis
3.3. Wear Mechanisms Analysis
3.3.1. f of 750 mm/min
3.3.2. f of 1500 mm/min
4. Conclusions
- The coating under study exhibited a reduction in adhesion and in the wear phenomena, despite showing some delamination phenomenon, mainly on the cutting edges.
- The coating proves to be more effective for shorter Lcut, and the reduction in f allows roughness to be improved, consequently increasing working time.
- The tool wear is about half on coated tools compared to equal conditions using uncoated tools.
- The process is affected by the machining parameters, with the greatest impact coming from the Lcut.
- The T1L18F750V126 condition granted the smallest roughness values for the machined surface.
- The f and Lcut had an influence on roughness.
- The highest VB was seen with the T0L48F1500V126 setting, while the lowest was with the T1L18F750V126 setting, both impacted by the Lcut and the presence of the coating.
- For higher f and Lcut values, the wear developed was more extreme.
- The predominant wear mechanisms were abrasive wear and adhesive wear on the coating and the tool substrate. Delamination and chipping were also observed in the coated tools.
- Reduced breakage of cutting edges for coated tools.
- The results allowed us to observe that, for machining AMPCOLOY® 83, tools coated with TiAlN/DLC are more effective.
Author Contributions
Funding
Data Availability Statement
Conflicts of Interest
References
- Zhang, L.; Ma, C.; Liu, J. Enhancing four-axis machining center accuracy through interactive fusion of spatiotemporal graph convolutional networks and an error-controlled digital twin system. J. Manuf. Process. 2024, 112, 14–31. [Google Scholar] [CrossRef]
- Sousa, V.F.C.; Silva, F.J.G. Recent Advances on Coated Milling Tool Technology—A Comprehensive Review. Coatings 2020, 10, 235. [Google Scholar] [CrossRef]
- Sousa, V.F.C.; Silva, F.J.G. Recent Advances in Turning Processes Using Coated Tools—A Comprehensive Review. Metals 2020, 10, 170. [Google Scholar] [CrossRef]
- Portman, V.T.; Kushnir, E. Drives’ stiffness of 5-axis machine designs: Evaluation and comparison by Schur complement eigenvalues. Procedia CIRP 2023, 118, 169–174. [Google Scholar] [CrossRef]
- Russo, M.; Zhang, D.; Liu, X.-J.; Xie, Z. A review of parallel kinematic machine tools: Design, modeling, and applications. Int. J. Mach. Tools Manuf. 2024, 196, 104118. [Google Scholar] [CrossRef]
- Asgari, A.; Sedighi, M. Investigation on the optimal machining of Mg-based composites considering surface roughness, tool life, cutting forces, and productivity. Proc. Inst. Mech. Eng. Part C J. Mech. Eng. Sci. 2022, 237, 1139–1152. [Google Scholar] [CrossRef]
- Xu, Z.; Zhu, T.; Luo, F.L.; Zhang, B.; Poon, H.; Yip, W.S.; To, S. A review: Insight into smart and sustainable ultra-precision machining augmented by intelligent IoT. J. Manuf. Syst. 2024, 74, 233–251. [Google Scholar] [CrossRef]
- Duc, T.M.; Tuan, N.M.; Long, T.T.; Ngoc, T.B. Machining feasibility and Sustainability study associated with air pressure, air flow rate, and nanoparticle concentration in Nanofluid minimum quantity lubrication-assisted hard milling process of 60Si2Mn steel. J. Mech. Eng. Sci. 2022, 236, 11256–11269. [Google Scholar] [CrossRef]
- Çakir, F.H.; Yilmaz, A.; Sert, Z. Evaluation of the performance of DLC Coatings (ta-C) of WC-Co tools while machining Al7075 alloy. Proc. Inst. Mech. Eng. Part C J. Mech. Eng. Sci. 2024, 238, 8151–8163. [Google Scholar] [CrossRef]
- Roy, S.; Das, A.; Kumar, R.; Das, S.R.; Rafighi, M.; Sharma, P. Exploring the viability of alternative cooling-lubrication strategies in machining processes: A comprehensive review on the performance and sustainability assessment. Proc. Inst. Mech. Eng. Part B J. Eng. Manuf. 2024, 09544054241229472. [Google Scholar] [CrossRef]
- Rouxel, B.; Mischler, S.; Logé, R.; Munoz, A.I. Wear behaviour of novel copper alloy as an alternative to copper-beryllium. Wear 2023, 524–525, 204817. [Google Scholar] [CrossRef]
- ASM International. Surface Engineering; ASM International: Novelty, OH, USA, 1994. [Google Scholar]
- Jakubowski, M.; PałczyŃski, C. Chapter 30—Beryllium. In Handbook on the Toxicology of Metals, 4th ed.; Nordberg, G.F., Fowler, B.A., Nordberg, M., Eds.; Academic Press: San Diego, CA, USA, 2015; pp. 635–653. [Google Scholar]
- Wang, Z.; Kovvuri, V.; Araujo, A.; Bacci, M.; Hung, W.N.P.; Bukkapatnam, S.T.S. Built-up-edge effects on surface deterioration in micromilling processes. J. Manuf. Process. 2016, 24, 321–327. [Google Scholar] [CrossRef]
- Dong, S.; Wang, Z.; Wang, Y. Research on micro-EDM with an auxiliary electrode to suppress stray-current corrosion on C17200 beryllium copper alloy in deionized water. Int. J. Adv. Manuf. Technol. 2017, 93, 857–867. [Google Scholar] [CrossRef]
- Lipa, M.; Durocher, A.; Tivey, R.; Huber, T.; Schedler, B.; Weigert, J. The use of copper alloy CuCrZr as a structural material for actively cooled plasma facing and in vessel components. Fusion Eng. Des. 2005, 75–79, 469–473. [Google Scholar] [CrossRef]
- Khodabakhshi, A.; Abouei, V.; Mortazavi, N.; Razavi, S.H.; Hooshyar, H.; Esmaily, M. Effects of cold working and heat treatment on microstructure and wear behaviour of Cu–Be alloy C17200. Tribol.-Mater. Surfaces Interfaces 2015, 9, 118–127. [Google Scholar] [CrossRef]
- Çakıroğlu, R.; Günay, M. Analysis of surface roughness and energy consumption in turning of C17500 copper alloy under different machining environments and modellings with response surface method. Proc. Inst. Mech. Eng. Part E J. Process. Mech. Eng. 2023, 237, 207–219. [Google Scholar] [CrossRef]
- ASTM B 194-15; Standard Specification for Copper-Beryllium Alloy Plate, Sheet, Strip, and Rolled Bar. ASTM International: Conshohocken, PA, USA, 2015.
- Sharma, A.; Datta, D.; Balasubramaniam, R. An investigation of tool and hard particle interaction in nanoscale cutting of copper beryllium. Comput. Mater. Sci. 2018, 145, 208–223. [Google Scholar] [CrossRef]
- Sharma, A.; Joshi, S.S.; Datta, D.; Balasubramaniam, R. Modeling and analysis of tool wear mechanisms in diamond turning of copper beryllium alloy. J. Manuf. Process. 2020, 56 Pt A, 439–450. [Google Scholar] [CrossRef]
- Sharma, A.; Datta, D.; Balasubramaniam, R. A molecular dynamics simulation of wear mechanism of diamond tool in nanoscale cutting of copper beryllium. Int. J. Adv. Manuf. Technol. 2019, 102, 731–745. [Google Scholar] [CrossRef]
- Sharma, A.; Joshi, S.S.; Datta, D.; Balasubramaniam, R. Investigation of Tool and Workpiece Interaction on Surface Quality While Diamond Turning of Copper Beryllium Alloy. J. Manuf. Sci. Eng. 2020, 142, 021011. [Google Scholar] [CrossRef]
- Sharma, A.; Kumar, A. Atomic scale insights into material removal mechanisms in nanoscale machining of copper beryllium. J. Micromanuf. 2023, 25165984231203091. [Google Scholar] [CrossRef]
- Zuo, J.; Lin, Y.; Zhong, P.; Liu, Y. Investigation on adhesive wear process of tool coating surface under high-adhesive rate environment in cutting Beryllium-copper C17200 alloy. Mater. Lett. 2020, 279, 128488. [Google Scholar] [CrossRef]
- Sousa, V.F.C.; Castanheira, J.; Silva, F.J.G.; Fecheira, J.S.; Pinto, G.; Baptista, A. Wear Behavior of Uncoated and Coated Tools in Milling Operations of AMPCO (Cu-Be) Alloy. Appl. Sci. 2021, 11, 7762. [Google Scholar] [CrossRef]
- Nogueira, F.R.; Pedroso, A.F.V.; Silva, F.J.G.; Campilho, R.D.S.G.; Sales-Contini, R.C.M.; Sebbe, N.P.V.; Casais, R.C.B. A Comparative Study on the Wear Mechanisms of Uncoated and TiAlTaN-Coated Tools Used in Machining AMPCO® Alloy. Coatings 2024, 14, 4. [Google Scholar] [CrossRef]
- Sudhakar, K.V.; Cisneros, J.C.; Cervantes, H.; Pineda, C.G. Machining Characteristics and Fracture Morphologies in a Copper-Beryllium (Cu-2Be) Alloy. J. Mater. Eng. Perform. 2006, 15, 117–121. [Google Scholar] [CrossRef]
- Rebelo, J.C.; Dias, A.M.; Mesquita, R.; Vassalo, P.; Santos, M. An experimental study on electro-discharge machining and polishing of high strength copper–beryllium alloys. J. Mater. Process. Technol. 2000, 103, 389–397. [Google Scholar] [CrossRef]
- Yildiz, Y.; Sundaram, M.M.; Rajurkar, K.P. Statistical analysis and optimization study on the machinability of beryllium–copper alloy in electro discharge machining. Proc. Inst. Mech. Eng. Part B J. Eng. Manuf. 2012, 226, 1847–1861. [Google Scholar] [CrossRef]
- Mouda, P.A.; Azeez, A.; Hydershah, S.J. Sliding Wear Behavior of Cryogenic Treated Copper Beryllium Alloy. Appl. Mech. Mater. 2016, 852, 391–396. [Google Scholar] [CrossRef]
- Xu, Z.; Huang, Z.; Wang, Y.; Lin, C.; Xu, X. Friction and Wear Behavior of C17200 Copper-Beryllium Alloy in Dry and Wet Environments. J. Mater. Eng. Perform. 2021, 30, 7542–7551. [Google Scholar] [CrossRef]
- Zhou, Q.; Jiao, Z.; Huang, Z.; Shi, Y.; Li, Y.; Yin, C.; Wang, H.; Pinto, H.C.; Greiner, C.; Liu, W. Wear-resistant CrCoNi nanocrystalline film via friction-driven surface segregation. Acta Mater. 2024, 279, 120299. [Google Scholar] [CrossRef]
- Zhang, Y.; Hou, W.; Yu, J.; Chen, C.; Zhou, L. The Role of Carbon in Wear Resistance of CoCrFeNiTi0.5 High-Entropy Alloy Layer. J. Mater. Eng. Perform. 2024, 1–13. [Google Scholar] [CrossRef]
- Huang, X.; Etsion, I.; Shao, T. Effects of elastic modulus mismatch between coating and substrate on the friction and wear properties of TiN and TiAlN coating systems. Wear 2015, 338–339, 54–61. [Google Scholar] [CrossRef]
- Kim, J.-E.; Choi, J.I.J.; Kim, J.; Mun, B.S.; Kim, K.-J.; Park, J.Y. In-Situ Nanotribological Properties of Ultrananocrystalline Diamond Films Investigated with Ambient Pressure Atomic Force Microscopy. J. Phys. Chem. C 2021, 125, 6909–6915. [Google Scholar] [CrossRef]
- EN 10049:2005; Measurement of Roughness Average Ra and Peak Count RPc on Metallic Flat Products. European Standard of the European Committee for Standardization: Brussels, Belgium, 2005.
- ISO 21920-3:2021; Geometrical Product Specifications (GPS)—Surface Texture: Profile—Part 3: Specification Operators. International Organization for Standardization: Geneva, Switzerland, 2021.
- ISO 8688-2:1986; Tool Life Testing in Milling—Part 2: End Milling. International Organization for Standardization: Geneva, Switzerland, 1986.
- Sebbe, N.P.V.; Fernandes, F.; Silva, F.J.G.; Sousa, V.F.C.; Sales-Contini, R.C.M.; Campilho, R.D.S.G.; Pedroso, A.F.V. Wear Behavior Analysis of TiN/TiAlN Coated Tools in Milling of Inconel 718. In Flexible Automation and Intelligent Manufacturing: Establishing Bridges for More Sustainable Manufacturing Systems; Springer Nature: Cham, Switzerland, 2024; pp. 784–795. [Google Scholar] [CrossRef]
- Kumar, S.; Saravanan, I.; Patnaik, L. Optimization of surface roughness and material removal rate in milling of AISI 1005 carbon steel using Taguchi approach. Mater. Today Proc. 2020, 22, 654–658. [Google Scholar] [CrossRef]
- Sousa, V.F.C.; Fernandes, F.; Silva, F.J.G.; Costa, R.D.F.S.; Sebbe, N.; Sales-Contini, R.C.M. Wear Behavior Phenomena of TiN/TiAlN HiPIMS PVD-Coated Tools on Milling Inconel 718. Metals 2023, 13, 684. [Google Scholar] [CrossRef]
- Airao, J.; Chaudhary, B.; Bajpai, V.; Khanna, N. An Experimental Study of Surface Roughness Variation in End Milling of Super Duplex 2507 Stainless Steel. Mater. Today Proc. 2018, 5 Pt 1, 3682–3689. [Google Scholar] [CrossRef]
- Korkut, I.; Donertas, M. The influence of feed rate and cutting speed on the cutting forces, surface roughness and tool–chip contact length during face milling. Mater. Des. 2007, 28, 308–312. [Google Scholar] [CrossRef]
- Akhtar, W.; Sun, J.; Sun, P.; Chen, W.; Saleem, Z. Tool wear mechanisms in the machining of Nickel based super-alloys: A review. Front. Mech. Eng. 2014, 9, 106–119. [Google Scholar] [CrossRef]
- Sousa, V.F.C.; Da Silva, F.J.G.; Pinto, G.F.; Baptista, A.; Alexandre, R. Characteristics and Wear Mechanisms of TiAlN-Based Coatings for Machining Applications: A Comprehensive Review. Metals 2021, 11, 260. [Google Scholar] [CrossRef]
- Lu, Y.; Wu, S.; Gan, Y.; Huang, T.; Yang, C.; Junjie, L.; Lin, J. Study on the microstructure, mechanical property and residual stress of SLM Inconel-718 alloy manufactured by differing island scanning strategy. Opt. Laser Technol. 2015, 75, 197–206. [Google Scholar] [CrossRef]
- Virdi, R.L.; Chatha, S.S.; Singh, H. Performance Evaluation of Inconel 718 under vegetable oils based nanofluids using Minimum Quantity Lubrication Grinding. Mater. Today Proc. 2020, 33, 1538–1545. [Google Scholar] [CrossRef]












| Copper (Cu) | Beryllium (Be) | Cobalt + Nickel (Co) + (Ni) | Others | |
|---|---|---|---|---|
| Percentage (wt%) | 97.1 | 1.9 | 0.5 | Maximum 0.5 |
| Material Property | Value |
|---|---|
| Yield strength (MPa) | 1000 |
| Tensile strength (MPa) | 1250 |
| Young’s modulus (GPa) | 131 |
| Elongation (%) | 4 |
| Rockwell hardness (HRC) | 40 |
| Brinell hardness (HBW 10/3000) | 380 |
| Density (g/cm3) | 8.26 |
| Expansion coefficient (10−6/K) | 17.5 |
| Electrical conductivity (m/Ω∙mm2) | 12.8 |
| Thermal conductivity (W/m·K) | 106 |
| Specific heat (J/g·K) | 0.38 |
| Tool Geometry | Value |
|---|---|
| Cutting Ø (mm) | 6 |
| Overall length (mm) | 57 |
| Maximum depth of cut (mm) | 13 |
| Chamfer (°, mm) | 45, 0.20 |
| Rake angle (°) | 12 |
| Clearance angle (°) | 10 |
| Helix angle (°) | 35 |
| Number of flutes (-) | 4 |
| Deposition Parameters | TiAlN | DLC |
|---|---|---|
| Deposition time (min) | 120 | |
| Gases | Ar+ + N2 (300 mln + 100 mln) | |
| Target amount/composition | 3 × TiAl | 1 × C—Graphite |
| Pressure (mPa) | 600 | |
| Average power (kW) | 6 | |
| Bias voltage (V) | −60 | |
| Holder rotational speed (rpm) | 1 | |
| Reference | Coated Tool | vc (m/min) | f (mm/min) | ap (mm) | ae (mm) | Lcut (m) |
|---|---|---|---|---|---|---|
| N1T0L18F750V126 | No | 126 | 750 | 0.5 | 3.6 | 18 |
| N2T0L36F750V126 | No | 126 | 750 | 0.5 | 3.6 | 36 |
| N3T0L48F750V126 | No | 126 | 750 | 0.5 | 3.6 | 48 |
| N4T0L18F1500V126 | No | 126 | 1500 | 0.5 | 3.6 | 18 |
| N5T0L36F1500V126 | No | 126 | 1500 | 0.5 | 3.6 | 36 |
| N6T0L48F1500V126 | No | 126 | 1500 | 0.5 | 3.6 | 48 |
| N7T1L18F750V126 | Yes | 126 | 750 | 0.5 | 3.6 | 18 |
| N8T1L36F750V126 | Yes | 126 | 750 | 0.5 | 3.6 | 36 |
| N9T1L48F750V126 | Yes | 126 | 750 | 0.5 | 3.6 | 48 |
| N10T1L18F1500V126 | Yes | 126 | 1500 | 0.5 | 3.6 | 18 |
| N11T1L36F1500V126 | Yes | 126 | 1500 | 0.5 | 3.6 | 36 |
| N12T1L48F1500V126 | Yes | 126 | 1500 | 0.5 | 3.6 | 48 |
| Parameters | Value |
|---|---|
| Measurement speed (mm/s) | 0.5 |
| Measuring range (μm) | 100/150 |
| Profile resolution (nm) | 12 |
| Cut-offs (mm) | 0.25/0.8/2.5 |
| Filter | Gaussian |
| Travel length (mm) | 1.75/5.6/17.5 |
| Sample length (mm) | 1–5 |
| DIN/ISO | Ra Rz Rmáx RPc |
| Reference | Average Ra Transverse Value (μm) | Average Ra Longitudinal Value (μm) | Ra Global Value (μm) |
|---|---|---|---|
| N1T0L18F750V126 | 0.4246 ± 0.0322 | 0.2970 ± 0.0408 | 0.3608 |
| N2T0L36F750V126 | 0.5290 ± 0.0395 | 0.3066 ± 0.0424 | 0.4178 |
| N3T0L48F750V126 | 0.6358 ± 0.0459 | 0.3334 ± 0.0699 | 0.4846 |
| N4T0L18F1500V126 | 0.7992 ± 0.0593 | 0.8212 ± 0.0512 | 0.8102 |
| N5T0L36F1500V126 | 0.9508 ± 0.0372 | 1.1426 ± 0.0749 | 1.0467 |
| N6T0L48F1500V126 | 1.1522 ± 0.0486 | 1.2626 ± 0.1649 | 1.2074 |
| N7T1L18F750V126 | 0.3416 ± 0.0552 | 0.2040 ± 0.0384 | 0.2728 |
| N8T1L36F750V126 | 0.4750 ± 0.0541 | 0.2232 ± 0.0586 | 0.3491 |
| N9T1L48F750V126 | 0.5054 ± 0.0229 | 0.2690 ± 0.0380 | 0.3872 |
| N10T1L18F1500V126 | 0.7700 ± 0.0595 | 0.5038 ± 0.0820 | 0.6369 |
| N11T1L36F1500V126 | 0.8624 ± 0.0375 | 0.5846 ± 0.0552 | 0.7235 |
| N12T1L48F1500V126 | 0.9426 ± 0.0494 | 0.6142 ± 0.0548 | 0.7784 |
| Uncoated vs. Coated | Ra Transverse (%) | Ra Longitudinal (%) | Ra Global (%) |
|---|---|---|---|
| N1T0L18F750V126 vs. N7T1L18F750V126 | 20 | 31 | 25 |
| N2T0L36F750V126 vs. N8T1L36F750V126 | 10 | 27 | 19 |
| N3T0L48F750V126 vs. N9T1L48F750V126 | 21 | 19 | 20 |
| N4T0L18F1500V126 vs. N10T1L18F1500V126 | 4 | 39 | 21 |
| N5T0L36F1500V126 vs. N11T1L36F1500V126 | 9 | 49 | 29 |
| N6T0L48F1500V126 vs. N12T1L48F1500V126 | 18 | 51 | 35 |
| Global Difference | 14 | 36 | 25 |
| Reference | Average VB3 Value (μm) |
|---|---|
| N1T0L18F750V126 | 0.2275 ± 0.1404 |
| N2T0L36F750V126 | 0.3250 ± 0.1436 |
| N3T0L48F750V126 | 0.8650 ± 0.3629 |
| N4T0L18F1500V126 | 0.6675 ± 0.4295 |
| N5T0L36F1500V126 | 1.4225 ± 0.2772 |
| N6T0L48F1500V126 | 1.5225 ± 0.2605 |
| N7T1L18F750V126 | 0.0950 ± 0.0333 |
| N8T1L36F750V126 | 0.2575 ± 0.1992 |
| N9T1L48F750V126 | 0.2625 ± 0.2296 |
| N10T1L18F1500V126 | 0.1725 ± 0.0764 |
| N11T1L36F1500V126 | 0.3800 ± 0.2661 |
| N12T1L48F1500V126 | 0.7425 ± 0.4214 |
Disclaimer/Publisher’s Note: The statements, opinions and data contained in all publications are solely those of the individual author(s) and contributor(s) and not of MDPI and/or the editor(s). MDPI and/or the editor(s) disclaim responsibility for any injury to people or property resulting from any ideas, methods, instructions or products referred to in the content. |
© 2024 by the authors. Licensee MDPI, Basel, Switzerland. This article is an open access article distributed under the terms and conditions of the Creative Commons Attribution (CC BY) license (https://creativecommons.org/licenses/by/4.0/).
Share and Cite
Freitas, F.R.S.; Casais, R.C.B.; Silva, F.J.G.; Sebbe, N.P.V.; Martinho, R.P.; Sousa, V.F.C.; Sales-Contini, R.C.M.; Fernandes, F. Wear Behavior of TiAlN/DLC Coating on Tools in Milling Copper–Beryllium Alloy AMPCOLOY® 83. Coatings 2024, 14, 1354. https://doi.org/10.3390/coatings14111354
Freitas FRS, Casais RCB, Silva FJG, Sebbe NPV, Martinho RP, Sousa VFC, Sales-Contini RCM, Fernandes F. Wear Behavior of TiAlN/DLC Coating on Tools in Milling Copper–Beryllium Alloy AMPCOLOY® 83. Coatings. 2024; 14(11):1354. https://doi.org/10.3390/coatings14111354
Chicago/Turabian StyleFreitas, Fábio R. S., Rafaela C. B. Casais, Francisco J. G. Silva, Naiara P. V. Sebbe, Rui P. Martinho, Vitor F. C. Sousa, Rita C. M. Sales-Contini, and Filipe Fernandes. 2024. "Wear Behavior of TiAlN/DLC Coating on Tools in Milling Copper–Beryllium Alloy AMPCOLOY® 83" Coatings 14, no. 11: 1354. https://doi.org/10.3390/coatings14111354
APA StyleFreitas, F. R. S., Casais, R. C. B., Silva, F. J. G., Sebbe, N. P. V., Martinho, R. P., Sousa, V. F. C., Sales-Contini, R. C. M., & Fernandes, F. (2024). Wear Behavior of TiAlN/DLC Coating on Tools in Milling Copper–Beryllium Alloy AMPCOLOY® 83. Coatings, 14(11), 1354. https://doi.org/10.3390/coatings14111354

