Antifungal Ability of Novel Silane on Titanium Implant Surface
Abstract
1. Introduction
2. Materials and Methods
2.1. Titanium Discs
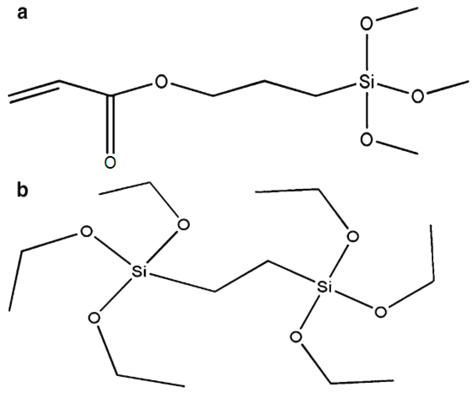
2.2. Silane Preparation
2.3. Silanization of Specimen Surface
2.4. Microbiology
2.4.1. Sample Allocation, Pretreatment, and Post-Treatment
2.4.2. Culturing of Candida albicans and Biofilm Development
2.4.3. Colony Forming Units (CFUs)
2.4.4. Real-Time Polymerase Chain Reaction
2.5. Surface Morphology
2.6. Statistical Analysis
3. Results
4. Discussion
5. Conclusions
Author Contributions
Funding
Institutional Review Board Statement
Informed Consent Statement
Data Availability Statement
Conflicts of Interest
References
- Han, A.; Tsoi, J.K.H.; Rodrigues, F.P.; Leprince, J.G.; Palin, W.M. Bacterial adhesion mechanisms on dental implant surfaces and the influencing factors. Int. J. Adhes. Adhes. 2016, 69, 58–71. [Google Scholar] [CrossRef]
 - Pavel, K.; Seydlova, M.; Dostalova, T.; Zdenek, V.; Chleborad, K.; Jana, Z.; Feberova, J.; Radek, H. Dental implants and improvement of oral health-related quality of life. Community Dent. Oral Epidemiol. 2012, 40, 65–70. [Google Scholar] [CrossRef] [PubMed]
 - Jin, L. An update on innate defense molecules of human gingiva. Periodontol. 2000 2011, 56, 125–142. [Google Scholar] [CrossRef]
 - Ul Haq, I.; Khan, T.A.; Krukiewicz, K. Etiology, pathology, and host-impaired immunity in medical implant-associated infections. J. Infect. Public Health 2024, 17, 189–203. [Google Scholar] [CrossRef]
 - do Nascimento, C.; Pita, M.S.; Pedrazzi, V.; de Albuquerque Junior, R.F.; Ribeiro, R.F. In vivo evaluation of Candida spp. adhesion on titanium or zirconia abutment surfaces. Arch. Oral Biol. 2013, 58, 853–861. [Google Scholar] [CrossRef]
 - Chen, S.; Tsoi, J.K.H.; Tsang, P.C.S.; Park, Y.-J.; Song, H.-J.; Matinlinna, J.P. Candida albicans aspects of binary titanium alloys for biomedical applications. Regen. Biomater. 2020, 7, 213–220. [Google Scholar] [CrossRef]
 - Tsang, C.S.P.; Ng, H.; McMillan, A.S. Antifungal susceptibility of Candida albicans biofilms on titanium discs with different surface roughness. Clin. Oral Investig. 2007, 11, 361–368. [Google Scholar] [CrossRef]
 - Tambone, E.; Marchetti, A.; Ceresa, C.; Piccoli, F.; Anesi, A.; Nollo, G.; Caola, I.; Bosetti, M.; Fracchia, L.; Ghensi, P.; et al. Counter-Acting Candida albicans-Staphylococcus aureus Mixed Biofilm on Titanium Implants Using Microbial Biosurfactants. Polymers 2021, 13, 2420. [Google Scholar] [CrossRef]
 - Besinis, A.; De Peralta, T.; Handy, R.D. The antibacterial effects of silver, titanium dioxide and silica dioxide nanoparticles compared to the dental disinfectant chlorhexidine on Streptococcus mutans using a suite of bioassays. Nanotoxicology 2014, 8, 1–16. [Google Scholar] [CrossRef]
 - Hsieh, Y.-H.; Zhang, J.-H.; Chuang, W.-C.; Yu, K.-H.; Huang, X.-B.; Lee, Y.-C.; Lee, C.-I. An in Vitro Study on the Effect of Combined Treatment with Photodynamic and Chemical Therapies on Candida albicans. Int. J. Mol. Sci. 2018, 19, 337. [Google Scholar] [CrossRef]
 - Zhang, H.; Yi, X.; Chen, M.; Shi, H.; Tan, L.; Lu, H.; Sun, Y.; Yang, F. Synergistic effect of chlorhexidine and azoles on candida biofilm on titanium surface. J. Mycol. Med. 2023, 33, 101417. [Google Scholar] [CrossRef] [PubMed]
 - Habib, E.; Wang, R.; Zhu, X.X. Monodisperse silica-filled composite restoratives mechanical and light transmission properties. Dent. Mater. 2017, 33, 280–287. [Google Scholar] [CrossRef]
 - Matinlinna, J.P.; Lassila, L.V.J.; Vallittu, P.K. The effect of three silane coupling agents and their blends with a cross-linker silane on bonding a bis-GMA resin to silicatized titanium (a novel silane system). J. Dent. 2006, 34, 740–746. [Google Scholar] [CrossRef]
 - Nikawa, H.; Ishida, K.; Hamada, T.; Satoda, T.; Murayama, T.; Takemoto, T.; Tamamoto, M.; Tajima, H.; Shimoe, S.; Fujimoto, H.; et al. Immobilization of Octadecyl Ammonium Chloride on the Surface of Titanium and Its Effect on Microbial Colonization In Vitro. Dent. Mater. J. 2005, 24, 570–582. [Google Scholar] [CrossRef]
 - Matinlinna, J.P.; Özcan, M.; Lassila, L.V.J.; Vallittu, P.K. The effect of a 3-methacryloxypropyltrimethoxysilane and vinyltriisopropoxysilane blend and tris(3-trimethoxysilylpropyl)isocyanurate on the shear bond strength of composite resin to titanium metal. Dent. Mater. 2004, 20, 804–813. [Google Scholar] [CrossRef][Green Version]
 - Matinlinna, J.P.; Lassila, L.V.; Kangasniemi, I.; Vallittu, P.K. Isocyanato- and methacryloxysilanes promote Bis-GMA adhesion to titanium. J. Dent. Res. 2005, 84, 360–364. [Google Scholar] [CrossRef]
 - Karczewski, A.; Kalagi, S.; Viana, Í.E.L.; Martins, V.M.; Duarte, S.; Gregory, R.L.; Youngblood, J.P.; Platt, J.A.; Feitosa, S. Resin-based dental materials containing 3-aminopropyltriethoxysilane modified halloysite-clay nanotubes for extended drug delivery. Dent. Mater. 2021, 37, 508–515. [Google Scholar] [CrossRef]
 - Makvandi, P.; Jamaledin, R.; Jabbari, M.; Nikfarjam, N.; Borzacchiello, A. Antibacterial quaternary ammonium compounds in dental materials: A systematic review. Dent. Mater. 2018, 34, 851–867. [Google Scholar] [CrossRef]
 - Matinlinna, J.P.; Choi, A.H.; Tsoi, J.K.-H. Bonding promotion of resin composite to silica-coated zirconia implant surface using a novel silane system. Clin. Oral Implants Res. 2013, 24, 290–296. [Google Scholar] [CrossRef]
 - Wilson, K.S.; Antonucci, J.M. Interphase structure–property relationships in thermoset dimethacrylate nanocomposites. Dent. Mater. 2006, 22, 995–1001. [Google Scholar] [CrossRef] [PubMed]
 - Karkanis, S.; Nikolaidis, A.K.; Koulaouzidou, E.A.; Achilias, D.S. Effect of Silica Nanoparticles Silanized by Functional/Functional or Functional/Non-Functional Silanes on the Physicochemical and Mechanical Properties of Dental Nanocomposite Resins. Appl. Sci. 2022, 12, 159. [Google Scholar] [CrossRef]
 - Matinlinna, J.P.; Vallittu, P.K.; Lassila, L.V.A. Effects of Different Silane Coupling Agent Monomers on Flexural Strength of an Experimental Filled Resin Composite. J. Adhes. Sci. Technol. 2011, 25, 179–192. [Google Scholar] [CrossRef][Green Version]
 - Lung, C.Y.K.; Kukk, E.; Matinlinna, J.P. Shear bond strength between resin and zirconia with two different silane blends. Acta Odontol. Scand. 2012, 70, 405–413. [Google Scholar] [CrossRef]
 - Kurata, S.; Yamazaki, N. Effect of Silane Coupling Agents with a Bisfunctional Hydrolyzable Group. Dent. Mater. J. 1993, 12, 127–135,272. [Google Scholar] [CrossRef][Green Version]
 - Villard, N.; Seneviratne, C.; Tsoi, J.K.H.; Heinonen, M.; Matinlinna, J. Candida albicans aspects of novel silane system–coated titanium and zirconia implant surfaces. Clin. Oral Implants Res. 2015, 26, 332–341. [Google Scholar] [CrossRef]
 - Matinlinna, J.P.; Tsoi, J.K.-H.; de Vries, J.; Busscher, H.J. Characterization of novel silane coatings on titanium implant surfaces. Clin. Oral Implants Res. 2013, 24, 688–697. [Google Scholar] [CrossRef]
 - Surfaces of the Straumann® Dental Implant System. Available online: https://www.straumann.com/en/dental-professionals/products-and-solutions/dental-implants/dental-implant-surfaces.html (accessed on 1 October 2024).
 - Bürgers, R.; Gerlach, T.; Hahnel, S.; Schwarz, F.; Handel, G.; Gosau, M. In vivo and in vitro biofilm formation on two different titanium implant surfaces. Clin. Oral Implants Res. 2010, 21, 156–164. [Google Scholar] [CrossRef]
 - Klinge, B.; Hultin, M.; Berglundh, T. Peri-implantitis. Dent. Clin. N. Am. 2005, 49, 661–676. [Google Scholar] [CrossRef]
 - Bürgers, R.; Hahnel, S.; Reichert, T.E.; Rosentritt, M.; Behr, M.; Gerlach, T.; Handel, G.; Gosau, M. Adhesion of Candida albicans to various dental implant surfaces and the influence of salivary pellicle proteins. Acta Biomater. 2010, 6, 2307–2313. [Google Scholar] [CrossRef]
 - Tuikampee, S.; Chaijareenont, P.; Rungsiyakull, P.; Yavirach, A. Titanium Surface Modification Techniques to Enhance Osteoblasts and Bone Formation for Dental Implants: A Narrative Review on Current Advances. Metals 2024, 14, 515. [Google Scholar] [CrossRef]
 - Quirynen, M.; Bollen, C.M.L. The influence of surface roughness and surface-free energy on supra- and subgingival plaque formation in man. J. Clin. Periodontol. 1995, 22, 1–14. [Google Scholar] [CrossRef] [PubMed]
 - Busscher, H.J.; Weerkamp, A.H.; Mei, H.C.v.d.; Pelt, A.W.v.; Jong, H.P.d.; Arends, J. Measurement of the surface free energy of bacterial cell surfaces and its relevance for adhesion. Appl. Environ. Microbiol. 1984, 48, 980–983. [Google Scholar] [CrossRef] [PubMed]
 - Teughels, W.; Van Assche, N.; Sliepen, I.; Quirynen, M. Effect of material characteristics and/or surface topography on biofilm development. Clin. Oral Implants Res. 2006, 17, 68–81. [Google Scholar] [CrossRef] [PubMed]
 - Hebel, K.S.; Gajjar, R.C. Cement-retained versus screw-retained implant restorations: Achieving optimal occlusion and esthetics in implant dentistry. J. Prosthet. Dent. 1997, 77, 28–35. [Google Scholar] [CrossRef]
 - Wadhwani, C.P.; Chung, K.H. The role of cements in dental implant success, Part 2. Dent. Today 2013, 32, 48–51. [Google Scholar]
 - Matinlinna, J.P.; Lassila, L.V.J.; Vallittu, P.K. The effect of a novel silane blend system on resin bond strength to silica-coated Ti substrate. J. Dent. 2006, 34, 436–443. [Google Scholar] [CrossRef]
 - Zhang, X.; Li, Y.; Luo, X.; Ding, Y. Enhancing antibacterial property of porous titanium surfaces with silver nanoparticles coatings via electron-beam evaporation. J. Mater. Sci. Mater. Med. 2022, 33, 57. [Google Scholar] [CrossRef]
 - Mahmoudi, P.; Akbarpour, M.R.; Lakeh, H.B.; Jing, F.; Hadidi, M.R.; Akhavan, B. Antibacterial Ti–Cu implants: A critical review on mechanisms of action. Mater. Today Bio 2022, 17, 100447. [Google Scholar] [CrossRef]
 - Somasundaram, S. Silane coatings of metallic biomaterials for biomedical implants: A preliminary review. J. Biomed. Mater. Res. B Appl. Biomater. 2018, 106, 2901–2918. [Google Scholar] [CrossRef]
 - Zhou, Z.; Zhou, S.; Zhang, X.; Zeng, S.; Xu, Y.; Nie, W.; Zhou, Y.; Xu, T.; Chen, P. Quaternary Ammonium Salts: Insights into Synthesis and New Directions in Antibacterial Applications. Bioconjugate Chem. 2023, 34, 302–325. [Google Scholar] [CrossRef]
 - Yoshino, N.; Sugaya, S.; Nakamura, T.; Yamaguchi, Y.-h.; Kondo, Y.; Kawada, K.; Teranaka, T. Synthesis and Antimicrobial Activity of Quaternary Ammonium Silane Coupling Agents. J. Oleo Sci. 2011, 60, 429–438. [Google Scholar] [CrossRef]
 - Liang, X.; Yu, B.; Ye, L.; Lin, D.; Zhang, W.; Zhong, H.-J.; He, J. Recent Advances in Quaternary Ammonium Monomers for Dental Applications. Materials 2024, 17, 345. [Google Scholar] [CrossRef]
 





| Group\Element | Ti | C | O | Si | 
|---|---|---|---|---|
| cp-Ti | 92.72 ± 0.40 | 0.47 ± 0.07 | 5.69 ± 0.35 | 1.11 ± 0.11 | 
| SLA-Ti | 94.03 ± 0.46 | 0.75 ± 0.04 | 4.41 ± 0.37 | 0.82 ± 0.10 | 
| Silane-SLA-Ti | 81.01 ± 2.18 | 3.73 ± 0.72 | 10.78 ± 1.15 | 4.48 ± 0.37 | 
Disclaimer/Publisher’s Note: The statements, opinions and data contained in all publications are solely those of the individual author(s) and contributor(s) and not of MDPI and/or the editor(s). MDPI and/or the editor(s) disclaim responsibility for any injury to people or property resulting from any ideas, methods, instructions or products referred to in the content.  | 
© 2024 by the authors. Licensee MDPI, Basel, Switzerland. This article is an open access article distributed under the terms and conditions of the Creative Commons Attribution (CC BY) license (https://creativecommons.org/licenses/by/4.0/).
Share and Cite
Liu, X.; Chen, S.; Ding, H.; Tsoi, J.K.H. Antifungal Ability of Novel Silane on Titanium Implant Surface. Coatings 2024, 14, 1277. https://doi.org/10.3390/coatings14101277
Liu X, Chen S, Ding H, Tsoi JKH. Antifungal Ability of Novel Silane on Titanium Implant Surface. Coatings. 2024; 14(10):1277. https://doi.org/10.3390/coatings14101277
Chicago/Turabian StyleLiu, Xiaotian, Shuyang Chen, Hao Ding, and James Kit Hon Tsoi. 2024. "Antifungal Ability of Novel Silane on Titanium Implant Surface" Coatings 14, no. 10: 1277. https://doi.org/10.3390/coatings14101277
APA StyleLiu, X., Chen, S., Ding, H., & Tsoi, J. K. H. (2024). Antifungal Ability of Novel Silane on Titanium Implant Surface. Coatings, 14(10), 1277. https://doi.org/10.3390/coatings14101277
        
