Green Application of Isolated Colorant from Neem Bark for Mordant-Coated Wool: Optimization of Dyeing and Mordanting for Shade Development
Abstract
1. Introduction
2. Materials and Methods
2.1. Collection of Materials
2.2. Extraction and Irradiation Process
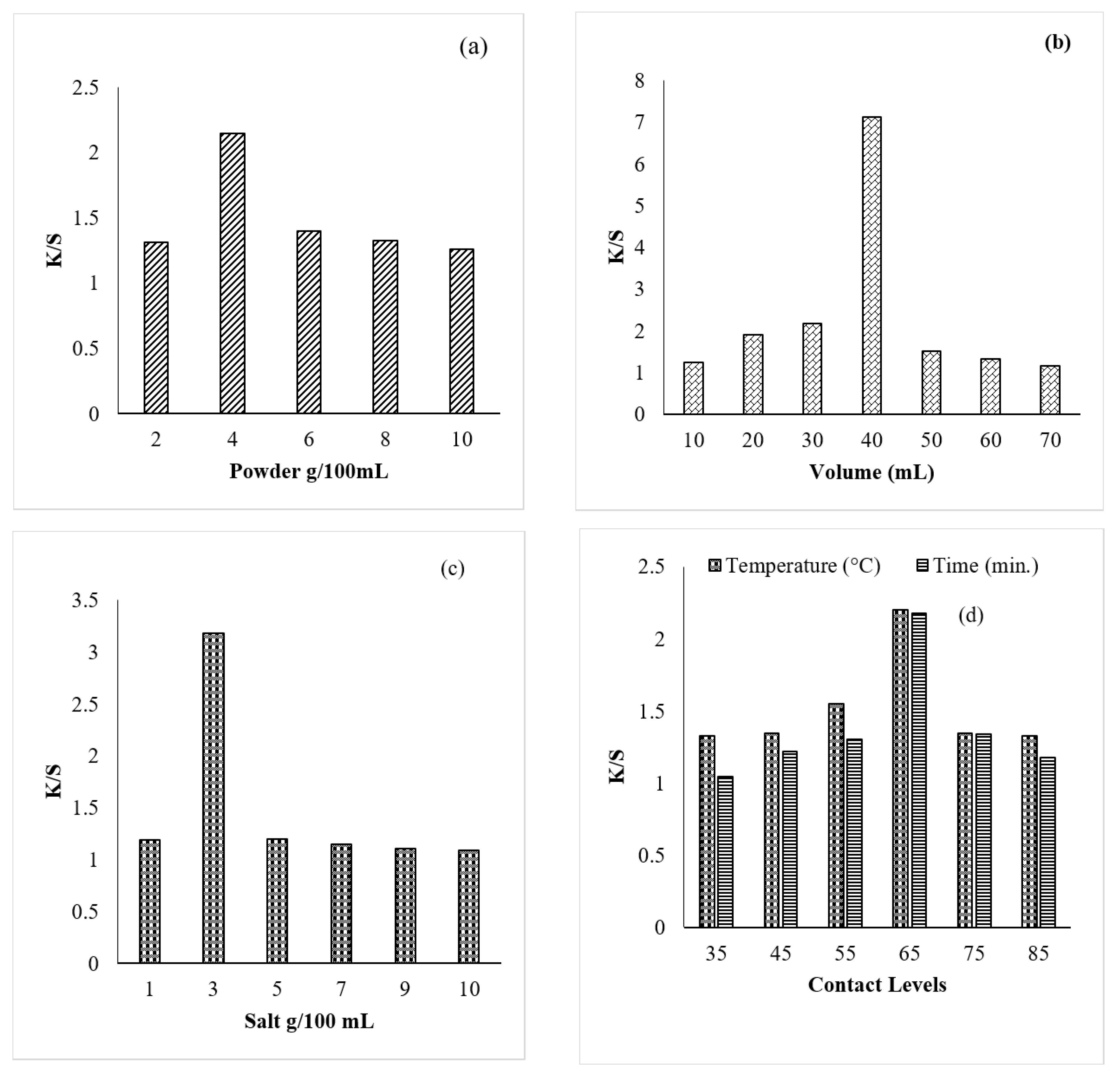
2.3. Optimization of Dyeing and Mordanting Conditions
2.4. Mordanting Process
2.5. Evaluation of Color Characteristics of Dyed Fabrics
3. Result and Discussion
4. Conclusions
Author Contributions
Funding
Institutional Review Board Statement
Informed Consent Statement
Data Availability Statement
Conflicts of Interest
References
- Khobrani, S.H.A. Synthesis and characteristics of Some organic dyes. Adv. Appl. Sci. Res. 2023, 14, 109. [Google Scholar]
- Al–Etaibi, A.M.; El–Apasery, M.A. Microwave–Assisted synthesis of azo disperse dyes for dyeing polyester fabrics: Our contributions over the past decade. Polymers 2022, 14, 1703. [Google Scholar] [CrossRef]
- Hassan, E.A.; Mashaly, H.M.; Hashem, Z.M.; Zayed, S.E.; Abo–Bakr, A.M. Eco–friendly synthesis of new polyfunctional azo dyes using shrimp chitin as a catalyst: Application on polyester fabrics and their biological activities. Fibers Polym. 2022, 23, 2373–2383. [Google Scholar] [CrossRef]
- Talib, A.; Adeel, S.; Ali, A.; Ahmad, T.; Hussaan, M.; Qayyum, M.A. Sustainable isolation and application of plant extract–based natural dye for bio–dyeing of silk fabric. Coatings 2023, 13, 112. [Google Scholar] [CrossRef]
- Mohamed, A.L.; Shaarawy, S.; Elshemy, N.; Hebeish, A.; Hassabo, A.G. Treatment of cotton fabrics using polyamines for improved coloration with natural dyes extracted from plant and insect sources. Egypt. J. Chem. 2023, 66, 1–19. [Google Scholar] [CrossRef]
- Özomay, M. Sustainable and environmental dyeing with maut method comparative selection of the dyeing recipe. Sustainability 2023, 15, 2738. [Google Scholar] [CrossRef]
- Al–Tohamy, R.; Ali, S.S.; Li, F.; Okasha, K.M.; Mahmoud, Y.A.G.; Elsamahy, T.; Sun, J. A critical review on the treatment of dye–containing wastewater: Ecotoxicological and health concerns of textile dyes and possible remediation approaches for environmental safety. Ecotoxicol. Environ. Saf. 2022, 231, 113160. [Google Scholar] [CrossRef]
- Rahman, M.M.; Kim, M.; Youm, K.; Kumar, S.; Koh, J.; Hong, K.H. Sustainable one–bath natural dyeing of cotton fabric using turmeric root extract and chitosan bio–mordant. J. Clean. Prod. 2023, 382, 135303. [Google Scholar] [CrossRef]
- Sharma, N.; Sheikh, Z.N.; Alamri, S.; Singh, B.; Kesawat, M.S.; Guleria, S. Chemical Composition, Antibacterial and Combinatorial Effects of the Essential Oils from Cymbopogon spp. and Mentha arvensis with Conventional Antibiotics. Agronomy 2023, 13, 1091. [Google Scholar] [CrossRef]
- Thakker, A.M.; Sun, D. Sustainable application of novel herbs on cotton fabrics as bio–mordants and colourants. Environ. Sci. Pollut. Res. 2022, 29, 47598–47616. [Google Scholar] [CrossRef]
- Otaviano, B.T.H.; Sannomiya, M.; de Queiroz, R.S.; Sánchez, A.A.C.; Freeman, H.S.; Mendoza, L.E.R.; da Costa, S.M. Natural dye extracted from pomegranate peel: Physicochemical characterization, dyeing of cotton fabric, color fastness, and photoprotective properties. Fibers Polym. 2023, 24, 1321–1332. [Google Scholar] [CrossRef]
- Shaban, S.; Vats, A.K.; Pandey, S.S. Bifacial dye–sensitized solar cells utilizing visible and nir dyes: Implications of dye adsorption behaviour. Molecules 2023, 28, 2784. [Google Scholar] [CrossRef]
- Ali, N.F.; El–Khatib, E.M.; Bassyouni, F.A. Utilization and characterization of natural products pretreatment and dyeing wool fabric by natural dyes with economical methods. J. Text. Eng. Fash. Technol. 2022, 8, 178–183. [Google Scholar] [CrossRef]
- Geetha, P.; Dhanya, M.; Sankaralingam, S.; Sugapriya, M.P.; Vasthi, G.R.; Mahendran, S.; Balasundaram, H. Extraction and applications of natural dye from the flower of Tagetes erecta. L in different fabrics and focus on antimicrobial activity. Res. J. Pharm. Technol. 2022, 15, 1287. [Google Scholar]
- Sutlović, A.; Brlek, I.; Ljubić, V.; Glogar, M.I. Optimization of dyeing process of cotton fabric with cochineal dye. Fibers Polym. 2020, 21, 555–563. [Google Scholar] [CrossRef]
- Naik, N.M.; Krishnaveni, M.; Mahadevswamy, M.; Bheemanna, M.; Nidoni, U.; Kumar, V.; Tejashri, K. Characterization of phyto–components with antimicrobial traits in supercritical carbon dioxide and soxhlet Prosopis juliflora leaves extract using GC–MS. Sci. Rep. 2023, 13, 4064. [Google Scholar] [CrossRef]
- Asghar, A.; Tajammal, A.; Ashiq, S.; Hussain, S.; Ahmad, M.; Sian, K.; Bodlah, M.A. Eco–friendly dye of olive fruit peel and its color fastness applications on wool/silk fabrics. Pol. J. Environ. Stud. 2023, 32, 1995–1999. [Google Scholar] [CrossRef]
- Kabish, A.K.; Abate, M.T.; Alemar, Z.A.; Girmay, S. The importance of natural indigo dye and its revitalization and ethiopian potential for indigo growing. Adv. Mater. Sci. Eng. 2023, 2023, 2135014. [Google Scholar] [CrossRef]
- Bhouri, N.; Ltaief, S.; Bhouri, N.; Ben Abdessalem, S. Optimization of a green dyeing process using natural dyes extracted from corchorus olitorius leaves. J. Nat. Fibers. 2023, 20, 2170946. [Google Scholar] [CrossRef]
- Castillo–Suárez, L.A.; Sierra–Sánchez, A.G.; Linares–Hernández, I.; Martínez–Miranda, V.; Teutli–Sequeira, E.A. A critical review of textile industry wastewater: Green technologies for the removal of indigo dyes. Int. J. Environ. Sci. Technol. 2023, 20, 10553–10590. [Google Scholar] [CrossRef] [PubMed]
- Periyasamy, A.P.; Periyasami, S. Critical review on sustainability in denim: A step toward sustainable production and consumption of denim. ACS Omega 2023, 8, 4472–4490. [Google Scholar] [CrossRef]
- Yadav, S.; Tiwari, K.S.; Gupta, C.; Tiwari, M.K.; Khan, A.; Sonkar, S.P. A brief review on natural dyes, pigments: Recent advances and future perspectives. Results Chem. 2023, 5, 100733. [Google Scholar] [CrossRef]
- Khajeh Mehrizi, M.; Jokar, M.; Shahi, Z. The coloration of polyester fabric with Prangos ferulacea natural dye: New approaches toward a cleaner production. Pigm. Resin Technol. 2023, 52, 377–382. [Google Scholar] [CrossRef]
- El Sayed, N.A.; El–Bendary, M.A.; Ahmed, O.K. A sustainable approach for linen dyeing and finishing with natural lac dye through chitosan bio–mordanting and microwave heating. J. Eng. Fibers Fabr. 2023, 18, 15589250231155882. [Google Scholar] [CrossRef]
- Mahboob, M.; Adeel, S.; Bakraat, S.; Ahamd, T.; Ahamd, T.; Ozomay, M.; Mia, R.; Mirnezhad, S.; Zuber, M. Assisted santalin extraction from Pterocarpus santalinus for mordanted woolen yarn dyeing. Sustain. Chem. Pharm. 2023, 35, 101224. [Google Scholar] [CrossRef]
- Syafaatullah, A.Q.; Mahfud, M. Optimization extraction of Indigofera tinctoria L. using microwave–assisted extraction. Conf. Ser. Mater. Sci. Eng. 2021, 1053, 012131. [Google Scholar] [CrossRef]
- Ji, X.; Zhao, Z.; Ren, Y.; Xu, F.; Liu, J. Dyeing properties, color gamut, and color evaluation of cotton fabrics dyed with Phellodendron amurense rupr.(amur cork tree bark). Molecules 2023, 28, 2220. [Google Scholar] [CrossRef]
- Phan, P.T.; Hong, J.; Tran, N.; Le, T.H. The properties of microwave–assisted synthesis of metal–organic frameworks and their applications. Nanomaterials 2023, 13, 352. [Google Scholar] [CrossRef]
- Jabar, J.M.; Ogunsade, A.F.; Odusote, Y.A.; Yılmaz, M. Utilization of nigerian mango (Mangifera indica L) leaves dye extract for silk fabric coloration: Influence of extraction technique, mordant and mordanting type on the fabric color attributes. Indus. Crop. Prod. 2023, 193, 116235. [Google Scholar] [CrossRef]
- Haji, A.; Shahmoradi Ghaheh, F.; Indrie, L. Pomegranate fallen leaves as a source of natural dye for mordant-free dyeing of wool. Color. Technol. 2022, 139, 165–170. [Google Scholar] [CrossRef]
- Hosseinnezhad, M.; Gharanjig, K.; Iamin, H.; Rouhani, S.; Adeel, S. Environmentally dyeing of wool yarns using of combination of myrobalan and walnut husk as bio–mordants. Prog. Color Color. Coat. 2023, 16, 197–205. [Google Scholar]
- Phromphen, P. Optimization of marigold flower dye using banana peel as a biomordant. J. Nat. Fibers 2023, 20, 2153193. [Google Scholar] [CrossRef]
- Nazir, F.; Siddique, A.; Nazir, A.; Javed, S.; Hussain, T.; Abid, S. Eco-friendly dyeing of cotton using waste-derived natural dyes and mordants. Color. Technol. 2022, 138, 684–692. [Google Scholar] [CrossRef]
- Shahmoradi Ghaheh, F.; Moghaddam, M.K.; Tehrani, M. Comparison of the effect of metal mordants and bio-mordants on the colorimetric and antibacterial properties of natural dyes on cotton fabric. Color. Technol. 2021, 137, 689–698. [Google Scholar] [CrossRef]
- Baaka, N.; Khiari, R.; Haji, A. Ecofriendly dyeing of textile materials with natural colorants from date palm fiber Fibrillium. Sustainability 2023, 15, 1688. [Google Scholar] [CrossRef]
- Islam, M.R.; Khan, A.N.N.; Mahmud, R.U.; Haque, S.M.N.; Khan, M.M.I. Sustainable dyeing of jute–cotton union fabrics with onion skin (Allium cepa) dye using banana peel (Musa) and guava leaves (Psidium guajava) extract as biomordants. Pigm. Resin Technol. 2022. [CrossRef]
- El–Khatib, E.M.; Ali, N.F.; El–Mohamedy, R.S.R. Influence of Neem oil pretreatment on the dyeing and antimicrobial properties of wool and silk fibers with some natural dyes. Arab. J. Chem. 2020, 13, 1094–1104. [Google Scholar] [CrossRef]
- Wylie, M.R.; Scott Merrell, D. The antimicrobial potential of the neem tree Azadirachta indica. Front. Pharmacol. 2022, 13, 891535. [Google Scholar] [CrossRef]
- Baby, A.R.; Freire, T.B.; Marques, G.D.A.; Rijo, P.; Lima, F.V.; Carvalho, J.C.M.D.; Morocho–Jácome, A.L. Azadirachta indica (Neem) as a Potential natural active for dermocosmetic and topical products: A narrative review. Cosmetics 2022, 9, 58. [Google Scholar] [CrossRef]
- Altayb, H.N.; Yassin, N.F.; Hosawi, S.; Kazmi, I. In–vitro and in–silico antibacterial activity of Azadirachta indica (Neem), methanolic extract, and identification of Beta. d–Mannofuranoside as a promising antibacterial agent. BMC Plant Bio. 2022, 22, 1–14. [Google Scholar]
- Chrysargyris, A.; Goumenos, C.; Tzortzakis, N. Use of medicinal and aromatic plant residues for partial peat substitution in growing media for Sonchus oleraceus production. Agronomy 2023, 13, 1074. [Google Scholar] [CrossRef]
- Gomaa, S.K.; Zaki, R.A.; Wahba, M.I.; Taleb, M.A.; El–Refai, H.A.; El–Fiky, A.F.; El–Sayed, H. Green method for improving performance attributes of wool fibres using immobilized proteolytic thermozyme. 3 Biotech. 2022, 12, 254. [Google Scholar] [CrossRef] [PubMed]
- Sanchez Ramirez, D.O.; Vineis, C.; Cruz–Maya, I.; Tonetti, C.; Guarino, V.; Varesano, A. Wool keratin nanofibers for bioinspired and sustainable use in biomedical field. J. Funct. Biomater. 2022, 14, 5. [Google Scholar] [CrossRef] [PubMed]
- Aazou, N.; Nadi, A.; Cherkaoui, O.; Gmouh, S. Study and characterization of Moroccan wool fibers for the development of non–woven products. Conf. Ser. Mater. Sci. Eng. 2023, 1266, 012016. [Google Scholar] [CrossRef]
- Adeel, S.; Anjum, F.; Zuber, M.; Hussaan, M.; Amin, N.; Ozomay, M. Sustainable extraction of colourant from harmal seeds (Peganum harmala) for dyeing of bio–mordanted wool fabric. Sustainability 2023, 14, 12226. [Google Scholar] [CrossRef]
- Wang, M.; Yi, N.; Fang, K.; Zhao, Z.; Xie, R.; Chen, W. Deep colorful antibacterial wool fabrics by high–efficiency pad dyeing with insoluble curcumin. Chem. Eng. J. 2023, 452, 139121. [Google Scholar] [CrossRef]
- Průša, D.; Šuhajda, K.; Žajdlík, T.; Svobodová, K.; Šťastník, S.; Hobzova, K.; Venkrbec, V. Effect of microwave radiation on the compressive strength of solid ceramic brick. Buildings 2023, 13, 1018. [Google Scholar] [CrossRef]
- Elmahaishi, M.F.; Ismail, I.; Muhammad, F.D. A review on electromagnetic microwave absorption properties: Their materials and performance. J. Mater. Res. Technol. 2022, 20, 2188–2220. [Google Scholar] [CrossRef]
- Stanfield, L.D.; Powell, A.W.; Horsley, S.A.R.; Sambles, J.R.; Hibbins, A.P. Microwave demonstration of Purcell effect enhanced radiation efficiency. Sci. Rep. 2023, 13, 5065. [Google Scholar] [CrossRef]
- Ibrahim, N.A.; Hala, A.; Mohamed, A.; Abdel–Aziz, S.; Basma, M.E. A green approach for modification and functionalization of wool fabric using bio–and nano–technologies. Clean Technol. Environ. Policy 2022, 24, 3287–3302. [Google Scholar] [CrossRef]
- Xue, Z. Effect of microwave pretreatment on dyeing performance of wool fabric. J. Text. Eng. Fash. Technol. 2017, 1, 217–222. [Google Scholar] [CrossRef][Green Version]
- Norambuena–Contreras, J.; Garcia, A. Self–healing of asphalt mixture by microwave and induction heating. Mater. Des. 2016, 106, 404–414. [Google Scholar] [CrossRef]
- Zhang, Y.; Rather, L.J.; Li, Q. Recent advances in the surface modification strategies to improve functional finishing of cotton with natural colourants—A review. J. Clean. Prod. 2022, 335, 130313. [Google Scholar] [CrossRef]
- AL–Khateeb, D.S.M. Extraction dyes from two natural plants olive leaves and beta vulgaris and the uses in dyeing textile. J. Phys. Conf. Ser. 2019, 1294, 062109. [Google Scholar] [CrossRef]
- Mulder, R.; Morshed, M.N.; Seipel, S.; Norén, U.; Niit, E.; Nierstrasz, V. Study on hydraulic spray atomizing system as a new resource–efficient dyeing–finishing method for wool fabric. Sci. Rep. 2022, 12, 21814. [Google Scholar] [CrossRef] [PubMed]
- Rehman, A.; Irfan, M.; Hameed, A.; Saif, M.J.; Qayyum, M.A.; Farooq, T. Chemical–free dyeing of cotton with functional natural dye: A pollution–free and cleaner production approach. Front. Environ. Sci. 2022, 115, 848245. [Google Scholar] [CrossRef]
- Adeel, S.; Habiba, M.; Kiran, S.; Iqbal, S.; Abrar, S.; Hassan, C.M. Utilization of colored extracts for the formulation of ecological friendly plant–based green products. Sustainability 2022, 14, 11758. [Google Scholar] [CrossRef]
- Mesrar, F.E.; Tachallait, H.; Cherkaoui, O.; Bougrin, K.; Benhida, R. Green and sustainable dyeing of wool with madder plant of the Moroccan flora. IOP Conf. Ser. Mater. Sci. Eng. 2023, 1266, 012015. [Google Scholar] [CrossRef]
- Vankar, P.S.; Gangwar, A. Natural dyeing mediated by atmospheric air pressure plasma treatment of polyester. Pigm. Resin Technol. 2023. [Google Scholar] [CrossRef]




| Radiation Used | Powder Amount (g) | Volume (mL) | Dyeing Temperature (°C) | Dyeing Time (min) | Table Salt (g/100 mL) |
|---|---|---|---|---|---|
| Microwave | 2 | 10 | 25 | 25 | 0 |
| 4 | 20 | 35 | 35 | 1 | |
| 6 | 30 | 45 | 45 | 3 | |
| 8 | 40 | 55 | 55 | 5 | |
| 10 | 50 | 65 | 65 | 7 | |
| 60 | 75 | 75 | 9 | ||
| 70 | 85 | 85 | 10 |
| Source | Type III Sum of Squares | Df | Mean Square | F | p-Value |
|---|---|---|---|---|---|
| Corrected Model | 13.185 | 9 | 1.465 | 4.217 | 0.004 |
| Intercept | 126.958 | 1 | 126.958 | 365.478 | 0.000 |
| Sample course | 5.909 | 4 | 1.477 | 4.252 | 0.012 |
| Time | 7.276 | 5 | 1.455 | 4.189 | 0.009 |
| Error | 6.948 | 20 | 0.347 | ||
| Total | 147.091 | 30 | |||
| Corrected Total | 20.133 | 29 |
| Mordant Concentration | K/S | L* | a* | b* | Mordant Concentration | K/S | L* | a* | b* |
|---|---|---|---|---|---|---|---|---|---|
| Al 5% (Pre) | 4.0798 | 61.81 | 12.24 | 27.21 | T. A 1% (Pre) | 2.9228 | 58.86 | 5.35 | 17.47 |
| Al 7% (Post) | 1.9339 | 68.03 | 6.52 | 21.02 | T. A 5% (Post) | 3.7146 | 52.79 | 7.00 | 17.47 |
| Al 5% (Meta) | 1.8577 | 73.18 | 10.67 | 28.03 | T. A 5% (Meta) | 3.7450 | 50.01 | 6.58 | 14.07 |
| Fe 5% (Pre) | 4.1340 | 62.51 | 8.06 | 27.04 | Acacia 5% (Pre) | 3.6193 | 56.11 | 13.99 | 20.24 |
| Fe 5% (Post) | 3.8795 | 69.23 | 8.89 | 33.98 | Acacia 5% (Post) | 3.2125 | 57.08 | 14.24 | 19.97 |
| Fe 3% (Meta) | 2.5213 | 66.19 | 5.32 | 21.52 | Acacia 3% (Meta) | 3.8085 | 56.89 | 15.24 | 22.91 |
| Co 5% (Pre) | 3.7763 | 63.70 | 11.52 | 27.81 | Pomegranate 7% (Pre) | 4.6298 | 67.59 | 8.21 | 25.79 |
| Co 3% (Post) | 2.5504 | 65.54 | 9.69 | 22.08 | Pomegranate 5% (Post) | 5.6319 | 60.26 | 10.56 | 25.08 |
| Co 5% (Meta) | 3.1093 | 60.75 | 9.99 | 21.29 | Pomegranate 3% (Meta) | 7.0519 | 59.37 | 10.88 | 27.55 |
| Sn 3% (Pre) | 2.0064 | 56.32 | 7.76 | 12.20 | Henna 7% (Pre) | 6.2985 | 55.38 | 11.12 | 27.46 |
| Sn 3% (Post) | 1.6422 | 62.14 | 9.73 | 15.22 | Henna 5% (Post) | 4.2884 | 61.60 | 11.41 | 27.85 |
| Sn 5% (Meta) | 0.4971 | 84.86 | 2.48 | 10.41 | Henna 7% (Meta) | 10.427 | 46.63 | 6.05 | 22.01 |
| Cu 7% (Pre) | 0.6167 | 80.49 | 0.46 | 7.88 | Turmeric 7% (Pre) | 6.0265 | 59.25 | 9.25 | 28.02 |
| Cu 3% (Post) | 0.5680 | 80.83 | 0.21 | 7.64 | Turmeric 5% (Post) | 13.285 | 57.52 | 11.30 | 47.29 |
| Cu 3% (Meta) | 1.2408 | 69.96 | 5.56 | 12.69 | Turmeric 3%(Meta) | 15.567 | 56.52 | 9.53 | 50.41 |
| Mordant Concentration | LF | WF | RF | DCF | PF | |||
|---|---|---|---|---|---|---|---|---|
| c.s | c.c | DRF | WRF | Acidic | Alkaline | |||
| Control | 3/4 | 3 | 3/4 | 3/4 | 3/4 | 3/4 | 3/4 | 3/4 |
| Al 5% (Pre) | 5 | 4/5 | 4/5 | 5 | 4 | 5 | 5 | 5 |
| Al 7% (Post) | 5 | 4/5 | 4/5 | 5 | 4/5 | 4/5 | 5 | 5 |
| Al 5% (Meta) | 5 | 4/5 | 4/5 | 5 | 4/5 | 4/5 | 5 | 5 |
| Fe 5% (Pre) | 5 | 4/5 | 4/5 | 5 | 4/5 | 5 | 4/5 | 5 |
| Fe 5% (Post) | 5 | 4/5 | 4/5 | 5 | 4/5 | 5 | 4/5 | 5 |
| Fe 3% (Meta) | 5 | 4/5 | 4/5 | 5 | 4/5 | 5 | 4/5 | 5 |
| Co 5% (Pre) | 4/5 | 4 | 4 | 4/5 | 4 | 4/5 | 4/5 | 5 |
| Co 3% (Post) | 4/5 | 4 | 4 | 4/5 | 4 | 4/5 | 5 | 4/5 |
| Co 5% (Meta) | 4/5 | 4 | 4 | 4/5 | 4 | 4/5 | 5 | 4/5 |
| Sn 3% (Pre) | 4/5 | 4 | 4 | 4/5 | 4 | 5 | 5 | 4/5 |
| Sn 3% (Post) | 4/5 | 4 | 4 | 4/5 | 4 | 5 | 5 | 4/5 |
| Sn 5% (Meta) | 5 | 4 | 4 | 4/5 | 4 | 5 | 5 | 4/5 |
| Cu 7% (Pre) | 4/5 | 4 | 4 | 4/5 | 4 | 4/5 | 5 | 5 |
| Cu 3% (Post) | 5 | 4 | 4 | 4/5 | 4 | 4/5 | 5 | 5 |
| Cu 3% (Meta) | 5 | 4 | 4 | 4/5 | 4 | 4/5 | 4/5 | 4/5 |
| T. A 1% (Pre) | 5 | 4/5 | 4/5 | 5 | 4/5 | 5 | 4/5 | 4/5 |
| T. A 5% (post) | 5 | 4/5 | 4/5 | 5 | 4/5 | 5 | 4/5 | 4/5 |
| T. A 5% (Meta) | 5 | 4/5 | 4/5 | 5 | 4/5 | 5 | 5 | 5 |
| Acacia 5% (Pre) | 5 | 4/5 | 4/5 | 5 | 4/5 | 4/5 | 5 | 5 |
| Acacia 5% (Post) | 5 | 4/5 | 4/5 | 5 | 4/5 | 4/5 | 5 | 5 |
| Acacia 3% (Meta) | 4/5 | 4/5 | 4/5 | 5 | 4/5 | 4/5 | 5 | 5 |
| Pomegranate 7% (Pre) | 4/5 | 4/5 | 4/5 | 5 | 4/5 | 4/5 | 5 | 4/5 |
| Pomegranate 5%(Post) | 5 | 4/5 | 4/5 | 5 | 4/5 | 5 | 5 | 4/5 |
| Pomegranate 3%(Meta) | 5 | 4/5 | 4/5 | 5 | 4/5 | 5 | 5 | 4/5 |
| Henna 7% (Pre) | 4/5 | 4/5 | 4/5 | 5 | 4/5 | 5 | 5 | 5 |
| Henna 5% (Post) | 5 | 4/5 | 4/5 | 5 | 4/5 | 5 | 5 | 5 |
| Henna 7% (Meta) | 5 | 4/5 | 4/5 | 5 | 4/5 | 4/5 | 5 | 5 |
| Turmeric 7% (Pre) | 4/5 | 4/5 | 4/5 | 4/5 | 4 | 4/5 | 4/5 | 4/5 |
| Turmeric 5% (Post) | 4/5 | 4/5 | 4/5 | 4/5 | 4/5 | 4/5 | 4/5 | 4/5 |
| Turmeric 3%(Meta) | 4/5 | 4/5 | 4/5 | 4/5 | 4/5 | 4/5 | 4/5 | 4/5 |
Disclaimer/Publisher’s Note: The statements, opinions and data contained in all publications are solely those of the individual author(s) and contributor(s) and not of MDPI and/or the editor(s). MDPI and/or the editor(s) disclaim responsibility for any injury to people or property resulting from any ideas, methods, instructions or products referred to in the content. |
© 2023 by the authors. Licensee MDPI, Basel, Switzerland. This article is an open access article distributed under the terms and conditions of the Creative Commons Attribution (CC BY) license (https://creativecommons.org/licenses/by/4.0/).
Share and Cite
Adeel, S.; Zuber, M.; Kınık, M.; Zor, A.; Büyükkol, S.; Kahraman, A.D.; Ozomay, M.; Döl, A.; Lehimler, Z.; Khattak, S.P. Green Application of Isolated Colorant from Neem Bark for Mordant-Coated Wool: Optimization of Dyeing and Mordanting for Shade Development. Coatings 2023, 13, 1639. https://doi.org/10.3390/coatings13091639
Adeel S, Zuber M, Kınık M, Zor A, Büyükkol S, Kahraman AD, Ozomay M, Döl A, Lehimler Z, Khattak SP. Green Application of Isolated Colorant from Neem Bark for Mordant-Coated Wool: Optimization of Dyeing and Mordanting for Shade Development. Coatings. 2023; 13(9):1639. https://doi.org/10.3390/coatings13091639
Chicago/Turabian StyleAdeel, Shahid, Muhammad Zuber, Mustafa Kınık, Aydın Zor, Semih Büyükkol, Ayşe Derya Kahraman, Meral Ozomay, Attila Döl, Zafer Lehimler, and Shahnaz Parveen Khattak. 2023. "Green Application of Isolated Colorant from Neem Bark for Mordant-Coated Wool: Optimization of Dyeing and Mordanting for Shade Development" Coatings 13, no. 9: 1639. https://doi.org/10.3390/coatings13091639
APA StyleAdeel, S., Zuber, M., Kınık, M., Zor, A., Büyükkol, S., Kahraman, A. D., Ozomay, M., Döl, A., Lehimler, Z., & Khattak, S. P. (2023). Green Application of Isolated Colorant from Neem Bark for Mordant-Coated Wool: Optimization of Dyeing and Mordanting for Shade Development. Coatings, 13(9), 1639. https://doi.org/10.3390/coatings13091639

