Abstract
The energy of the sputtered atoms is important to control the microstructure and physical properties of thin films. In this work, we used the SRIM program to simulate the energy of sputtered atoms. We analyzed the energy distribution functions (EDFs) and the average energies of the atoms in different spatial directions for a range of target materials and Ar ion energies. The results were compared to the analytical equations for EDFs derived by Sigmund and Thompson and with experimental data from the literature. The SRIM simulations give realistic EDFs for transition metals, but not for elements lighter than Si. All EDFs show a low-energy peak positioned close to one-half of the surface binding energy and a high-energy tail decreasing as approximately E−2. We analyzed the characteristics of EDFs, specifically, the position of low- and high-energy peaks, FWHM, and the energy tail, with respect to the ion energy and position of the element in the periodic table. The low-energy peak increases with atomic number for elements within each group in the periodic table. Similar changes were observed for FWHM. For the period 5 and 6 elements, additional broad high-energy peaks were observed at emission angles above 45° when sputtered by Ar ions with 300 eV and also in some heavier elements when bombarded by 600 eV and 1200 eV ions. The transition metals in groups 4, 5, and 6 in periods 5 and 6 have the highest average energies, while the lowest average energies have elements in group 11. The results of simulations show that the average energies of sputtered atoms were inversely proportional to the sputtering yield, i.e., the higher the sputtering yield, the lower the average energy of sputtered atoms. We established an empirical equation for transition metals to estimate the average energy of sputtered atoms from the sputtering yield. The angular distribution of the average atom energy depends on the atomic number. Transition metals with 22 < Z < 72 have an anisotropic energy distribution, with the highest average energies in the 40°–70° range. For the elements in group 11, the angular distribution of the average energies is more isotropic.
1. Introduction
The deposition of thin films by sputtering has several advantages compared to deposition by evaporation [1]. One of the most important advantages is related to the energy of atoms released from the target material. Sputtered atoms have two-orders-of-magnitude higher average energies (of the order of 10 eV) than the evaporated atoms (of the order of 0.1 eV). The higher energy per atom influences the growth mechanisms, increases the density of thin films and often improves their physical properties. The energy of evaporated atoms cannot be increased, since it is fixed by the evaporation temperature. On the other hand, the energy of sputtered atoms can be controlled by varying the energy and/or angle of the impinging ions.
The energy of sputtered atoms is important for understanding the physics of sputtering, as well as for practical applications. The atom energy in different spatial directions is essential for optimizing the deposition process and producing high-quality thin films with the desired properties. Sputtered atoms arrive on the substrate at various angles and with different energies. This can have a significant effect on the condensation and growth of a film, even when sophisticated substrate rotation is employed [2]. The energy and direction of sputtered flux affect the thickness uniformity and influence the microstructure, texture, phase composition, and stresses of thin films and therefore can also affect the functional properties of the growing film. The influence of energetic species on the properties of thin films has been discussed in several works [3,4,5,6,7,8].
The role of the energetic particles on the microstructure of the thin film is best illustrated in the structure-zone diagram. In the most recent revisions of the diagram [9], the parameters that determine the microstructure are related to the kinetic energy of impinging particles (i.e., both the working gas ions and sputtered atoms and ions). The energy delivered by the energetic atoms affects the microstructure through local heating and by the displacement of atoms in the growing film. Besides the energy, the direction under which sputtered atoms arrive onto the substrate also significantly influences the thin film growth and its properties. The extreme example of the directional flux effects on the microstructure is demonstrated in the “zig-zag” thin films produced by oblique angle deposition [10].
The energy distribution of sputtered atoms is challenging to measure [11,12,13,14,15]. The energy dependence is often measured by energy-resolved mass spectrometers [16,17,18,19,20,21]; however, these instruments measure the energy of ions and not atoms. The energy distribution functions of ions measured with energy-resolved mass spectrometers cannot be simply related to the energy distribution of sputtered atoms, since ions are affected by electric fields associated with plasma distribution. The energy-resolved mass spectrometers can perform ionization of the atoms within the instrument; however, this requires modeling of ionization probability, which makes the interpretation of the data more challenging [22,23,24]. A laser-induced fluorescence has been also used to measure the velocity distributions of sputtered atoms [25,26,27,28,29,30,31]. Despite several reports on the energy distribution of sputtered atoms, experimental results are limited, and systematic measurements for a large range of materials and ion energies are missing.
The analytical expression for the energy distribution of sputtered atoms has been independently derived by Thompson [32] and Sigmund [33]. The Sigmund–Thompson energy distribution, as it is often called, has a peak close to one-half of the surface binding energy and it decreases as one over a square of the atom energy. The Sigmund–Thompson function describes the energy distribution of atoms sputtered into an entire space above the surface, while for isotropic sputtering the angular polar dependency is modeled by including a cosine factor. A few theoretical attempts have been made to account for a more sophisticated angular dependence of the energy distribution functions [12,34,35].
Another approach to determine the energy distribution of sputtered atoms and their angular dependence is to perform simulations of the sputtering process. Computer simulations based on the binary collision approximation (BCA), such as the SRIM (Stopping and Range of Ions in Matter) software package, enable simulation of sputtering for numerous ion-target combinations. The SRIM program (SRIM-2013) for each sputtered atom provides the direction and energy of the atom. From this data, one can evaluate the EDFs of sputtered atoms in the entire space above the surface or in specific directions.
In this study, we analyzed the data obtained from the SRIM simulations to determine the energy distribution of sputtered atoms and their average energies. The simulations were performed for a range of sputtered materials bombarded by Ar ions with energies of 300 eV, 600 eV and 1200 eV, which are typically encountered in DC magnetron sputtering (DCMS), high-power impulse magnetron sputtering (HiPIMS) and triode sputter deposition, respectively. The results presented here are a continuation of the analysis reported in [36], where we analyzed the sputtering yields for the same elements. In this paper, we focus on the EDFs and average energies of sputtered atoms into the entire space above the surface and in specific polar directions.
2. SRIM Simulation Details
The energy distribution of sputtered atoms was analyzed for selected light elements (i.e., B, C, Al, and Si) and transition metal elements from groups 4, 5, 6, and 11 (i.e., Ti, Zr, Hf; V, Nb, Ta; Cr, Mo, W; Cu, Ag, and Au). In [36], we analyzed the total and differential sputtering yields for the same selection of elements. For SRIM analysis we chose the target materials which are most frequently used in sputter deposition techniques. We expanded the selection to allow a discussion according to the group and period of the periodic table, since we tried to identify trends according to the position in the periodic table. To evaluate EDFs, we simulated one million Ar ions impinging perpendicularly onto the target material with energies of 300 eV, 600 eV and 1200 eV.
The sputtering was simulated using the SRIM-2013 package [37], which is based on the binary collision approximation (BCA). More details about BCA simulations can be found in [38]. The same SRIM parameters were used as described in [36]. The displacement energy, lattice binding energy and density of sputtered elements were not changed. Modified surface binding energies were used as in [36] (see Table 1 in the same reference). The simulations were run in the “detailed calculation with full damage cascades” mode.
In Figure 1 we show an example of a collision cascade caused by an Ar ion traveling through Ti. The simulation was made for the 1000 eV ion impinging normal to the surface. The Ar ion is represented by large spheres and Ti atoms by smaller spheres. The spheres show the positions at which binary collisions occur, either between the ion and the atom or between the recoiled atom and another atom of the solid. It can be seen that the cascade of this ion results in the emission of two Ti atoms from the surface with energies of 27 eV and 37 eV. Note that the recoiled particles lose significant energy, due to interactions between the electrons of the projectile and electrons of the solid. These losses are continuous as the projectile travels through the matter. A detailed description of elastic and inelastic energy losses is provided in [38].
Figure 1.
An example of a collision cascade caused by impinging Ar ion (large spheres) in the Ti target (smaller spheres). Data was evaluated from SRIM simulation for Ar ion impinging normal to the surface with an energy of 1000 eV. The color scale shows the energy of the Ar ion and Ti atoms. Two Ti atoms are emitted from the surface of the solid.
2.1. The Energy Distribution Function of Sputtered Atoms
From the SRIM data, one can evaluate the energy distribution functions in the entire space above the surface (total EDF) or in specific directions (angular EDFs). We evaluated the EDFs by counting the number of sputtered atoms in 1 eV energy bins. Such energy resolution was selected to minimize statistical fluctuations in the number of sputtered atoms.
The angular EDFs were obtained by analyzing the energies of atoms sputtered into a particular spatial region. The 10° polar angle intervals were selected for the evaluation; therefore, we present EDFs at the mean values of polar angles (i.e., 5°, 15°, 25°, etc.).
The total energy distribution function (total EDF) of sputtered atoms does not depend on the spatial direction, and is defined as
where N is the number of sputtered atoms with the energy E.
The angular energy distribution function (angular EDF) into a particular solid angle of the sphere (dω) depends on the spatial direction; therefore, it is defined as:
The total energy distribution function F(E) can be obtained from the angular energy distribution functions f(E) by integrating over polar and azimuthal angles:
For isotropic sputtering, the solid angle ω (related to the area da in Figure 2) can be replaced by the solid angle integrated over the azimuth Ω (related to the area dA in Figure 2). The angular EDF can be then written as:
Figure 2.
Schematic of the geometry in the evaluation of the SRIM data. The ion impacts normal to the target surface and causes the emission of sputtered atoms in specific spatial directions [36].
Each angular EDF for the particular polar interval (θ1, θ2) should be normalized by a factor , as described in [36].
As an atom crosses the surface it is refracted away from the surface normal, due to the surface potential barrier (i.e., surface binding energy). The effect is similar to the refraction of light when traveling from the medium with a higher refractive index to the medium with a lower refractive index. The following equations describe atom refraction [39,40]:
where E′ and E″ are the kinetic energies of an atom inside and outside the solid, respectively, and Esb is the surface binding energy. The θ′ and θ″ are corresponding polar angles inside and outside the solid. The energy of the sputtered atom is reduced by the surface binding energy when the atom crosses the surface of the solid, i.e., . From the Equations (5) and (6) the following equation is obtained for the refracted angle:
The SRIM does not consider the refraction of sputtered atoms; therefore, in the evaluation of the data we performed such correction. The refractive effect is significant for low-energy atoms sputtered under large angles from the normal, and much weaker for the atoms with high energy and/or directed closer to the surface normal.
2.2. The Average Energy of Sputtered Atoms
The average energy of atoms sputtered into the entire space above the surface (i.e., hemisphere) can be calculated as:
The average energy of sputtered atoms in a particular polar angle interval Δθ (i.e., average angular energy) is defined by the following equation:
where E is the energy of sputtered atoms and f(E, Δθ) is the angular EDF of sputtered atoms in the interval Δθ.
In practice, when analyzing SRIM data, a simpler approach was used to evaluate the angular average energy. The average energy in a particular polar interval Δθ was calculated as
where EΔθ,j is the energy of each atom sputtered into the polar interval (Δθ) and NΔθ is the total number of sputtered atoms in the same interval. Hence, for a particular polar range the energies of all atoms were summed and divided by the number of atoms sputtered in the investigated polar range.
Using the same approach, the total average energy of sputtered atoms was evaluated from:
where N is the number of atoms sputtered into the hemisphere.
3. Results of SRIM Simulations
The EDF of sputtered atoms was evaluated for nitride-forming transition metals in groups 4 (Ti, Zr, Hf), 5 (V, Nb, Ta), 6 (Cr, Mo, W) and 11 (Cu, Ag, Au) and for selected lighter elements (B, C, Al and Si). The results of the SRIM simulation were processed according to the procedure described in Section 2. We analyzed the EDFs for atoms sputtered in a hemisphere (i.e., total EDF) and into specific polar intervals (i.e., angular EDF), and the corresponding average energies of sputtered particles.
3.1. Energy Distribution Functions of Sputtered Atoms
The total and angular EDFs were evaluated for 300 eV, 600 eV and 1200 eV argon ions impinging normal to the surface. Figure 3 shows an EDF in logarithmic and linear scales with labeled different features of the function. Typically, the function has a low-energy peak, located at approximately Esb/2, and an energy tail, which decreases as approximately E−2 to the maximum atom energy. In some EDFs, there can also be one or two broad high-energy peaks present. For each distribution, we evaluated the peak of EDF and the full width at half maximum (FWHM), which are more clearly visible in the linear scale (Figure 3b). The tail of EDF, the maximum energy of sputtered atoms, and the high-energy peaks are analyzed, if present. These parameters are discussed with regard to dependence on the element position in the periodic table (i.e., group and period), and dependence on the ion energy.
Figure 3.
An example of an EDF in (a) logarithmic scale and in (b) linear scale.
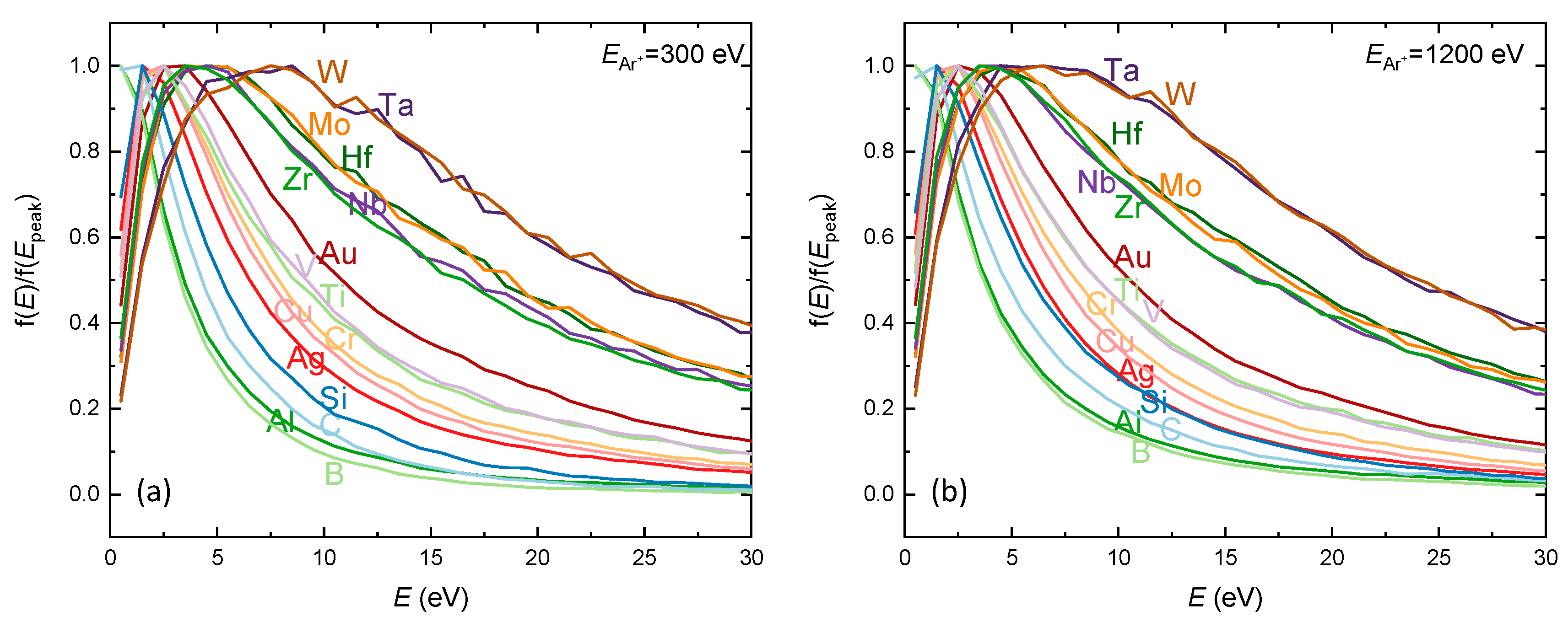
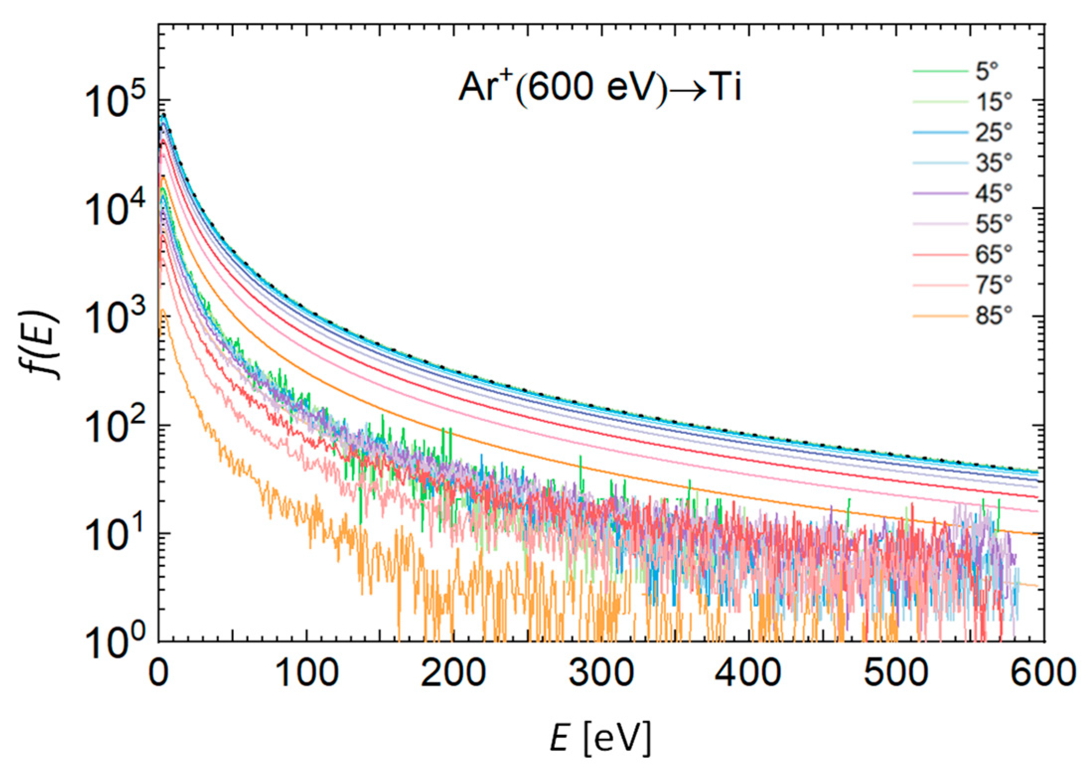
The total and angular EDFs for Ar ions impinging with 300 eV, 600 eV and 1200 eV are shown in Figure 4, Figure 5 and Figure 6, respectively. The black lines represent the total EDFs and the colored ones the angular EDFs. The angular EDFs are shown for atoms sputtered in 10° intervals (e.g., the interval between 0° and 10° is denoted as 5°). The graphs are arranged in a similar order as the elements in the periodic table. We also fitted the simulated distributions to the analytical equations for the total EDF derived by Thompson and Sigmund. These two analytical equations are discussed in more detail in Section 4. The dashed black line in the graphs shows the fit using the Thompson EDF [32] and the dotted black line using the Sigmund EDF fitted to simulated total EDFs. When fitting Sigmund and Thompson EDFs to the simulated ones, the normalization factors (AT and AS) and the power parameter in the functions were free parameters (see Section 4.1.1).
Figure 4.
EDFs for selected elements obtained from SRIM simulations and analytical functions of Sigmund and Thompson for Ar ions impinging perpendicularly on the surface with the energy of 300 eV. The simulated total EDFs are plotted with a black line, while the angular EDFs are shown in colored lines. Thompson and Sigmund EDFs are plotted with black dashed and dotted lines, respectively.
Figure 5.
EDFs for selected elements obtained from SRIM simulations and analytical functions of Sigmund and Thompson for Ar ions impinging perpendicularly on the surface with the energy of 600 eV.
Figure 6.
EDFs of selected elements obtained from SRIM simulations and analytical functions of Sigmund and Thompson for Ar ions impinging perpendicularly on the surface with the energy of 1200 eV.
3.1.1. Total Energy Distribution Functions
All total EDFs presented in Figure 4, Figure 5 and Figure 6 exhibit a low-energy peak, positioned at approximately Esb/2 and a high-energy tail decreasing as E−2. In order to compare the position of the low-energy peak and FWHMs for EDFs of different elements, we normalized the total EDFs for sputtering with 300 eV and 1200 eV Ar ions (Figure 7). The EDFs for selected materials show the same shape of EDF at 300 eV and 1200 eV, and therefore we do not present the EDFs for sputtering with 600 eV ions. Hence, the general shape of the total EDFs according to SRIM simulations (and also Sigmund and Thompson EDFs) does not change with the ion energy. The light elements in groups 13 and 14 (B, C, Al, Si) show sharper low-energy peaks than the transition elements.
Figure 7.
Normalized EDFs simulated by SRIM for sputtering with (a) 300 eV and (b) 1200 eV Ar ions.
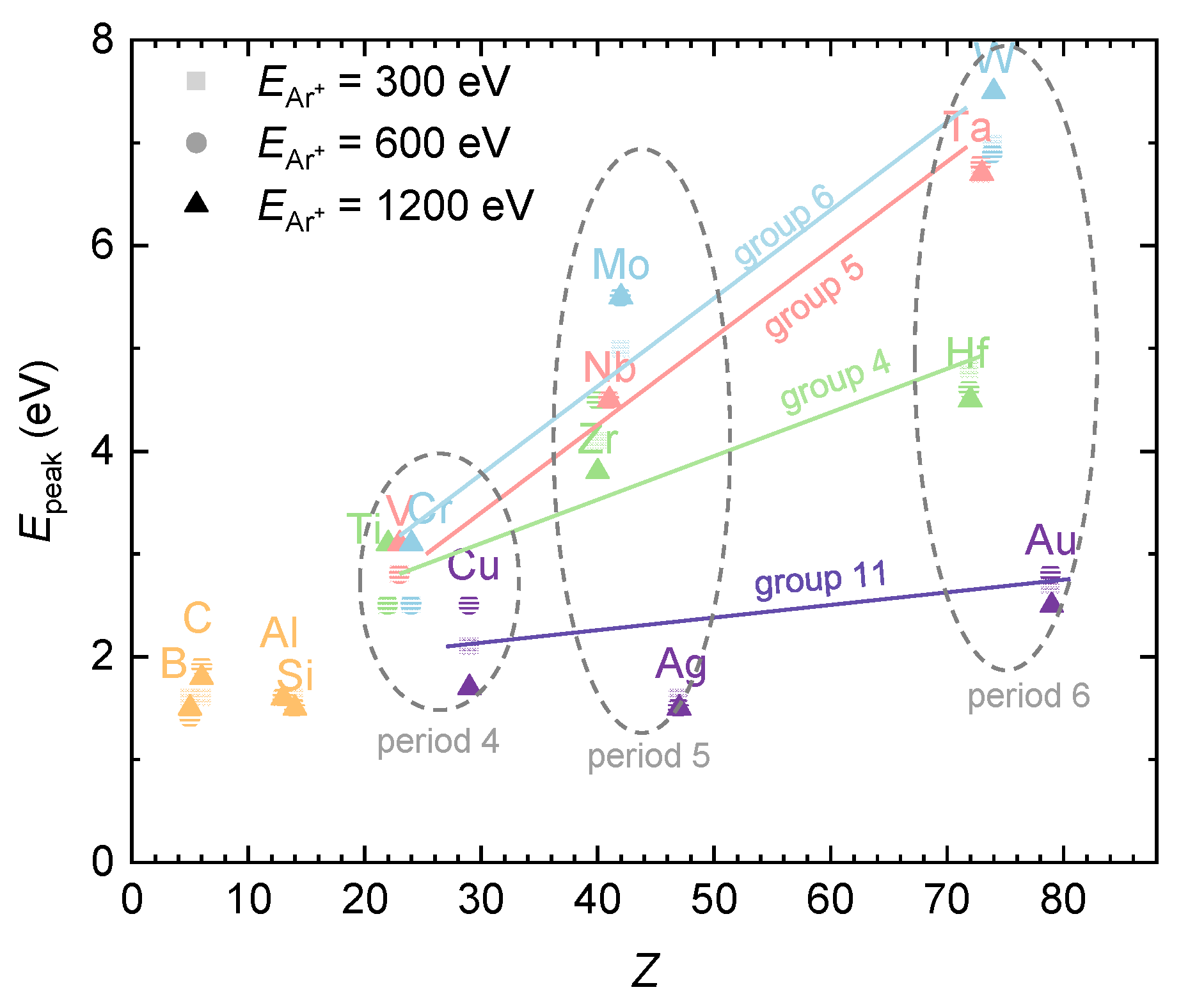
In Figure 8, we present the position of the low-energy peak depending on the atomic number. Several trends with regard to the position of the element in the periodic table can be recognized. The low-energy peak moves towards higher values with increasing atomic number for elements within individual groups. The change is the highest for elements in group 6, somewhat lower for the ones in group 5, and lower for elements in group 4. The changes are the smallest for elements in group 11. These trends are related to the values of the (modified) surface binding energy, since . When comparing elements in individual periods, the low-energy peak increases with the group in a somewhat inconsistent manner—the lowest peaks are observed in elements of group 11, and the peaks then increase sequentially with increasing group, from 4 to 6. The light elements in groups 13 and 14 do not show any specific trends. It should be mentioned that, for all elements, the peak position is practically independent of the energy of impinging Ar ions.
Figure 8.
A low-energy peak as a function of the atomic number. Elements in the same group are colored with the same color and with different shades and symbols for different energies (300 eV, 600 eV and 1200 eV Ar ions).
Figure 9 shows FWHM of investigated total EDFs. The FWHM exhibits a similar behavior as the low-energy peak, i.e., FWHM moves towards higher values with the atomic number within specific groups of the periodic table. In group 6, the FWHM increases from 9.5 eV for Cr to 26 eV for W. The increase is similar in group 5, while in group 4 slightly lower increases between periods are observed (from 10 eV to 18 eV). On the other hand, in group 11 the FWHM does not change significantly; the FWHM values are between 6 eV and 10 eV. The trends for elements in particular periods are inconsistent. For example, in period 6 the lowest value of FWHM is found for Au (group 11), while FWHM increases with the group from group 4 (Hf) to group 6 (W). Such a sequence, i.e., group 11 ⟶ 4 ⟶ 5 ⟶ 6, is observed for all three periods, not only in FWHM but also in the low-energy peak position, as discussed above. The FWHM for the same elements does not change significantly when the energy of incident Ar ions is increased from 300 eV to 1200 eV.
Figure 9.
Full width at half maximum (FWHM) as a function ofthe atomic number. Elements in the same group are colored with the same color, and with different shades and symbols for different energies (300 eV, 600 eV and 1200 eV Ar ions).
The maximum energy of sputtered atoms is another characteristic of EDFs that is also influenced by the atomic number. The cut-off of the EDFs changes significantly within individual groups, but very little within the period (see Figure 4, Figure 5 and Figure 6). Sputtered atoms in period 4 reach the highest maximum energies. The maximum energy for the elements in period 5 is lower, and the lowest is for the elements in period 6. For sputtering with 300 eV Ar ions, the maximum energies of sputtered atoms are approximately 280 eV in period 4, 240 eV in period 5 and 160 eV in period 6 (Figure 4). The maximum energy of sputtered atoms depends on the energy of ions. The ion energy dependence is related to Emax = ΛEi, which follows from the theory of Sigmund and Thompson. The maximum values of the sputtered atom energies simulated with the SRIM and with the Thompson equation are in good agreement. This applies to all transition metal elements, but not to the light elements, where the simulated EDFs reach significantly lower maximum energies than those calculated from the Sigmund and Thompson theory.
The Thompson distribution in Figure 4, Figure 5 and Figure 6 shows a significantly faster decrease in energy tail than SRIM simulations for all simulated transition elements. On the other hand, the Sigmund energy distribution decreases similarly to the SRIM simulations, but it does not decrease to zero at maximum transfer energy as in the Thompson distribution and in simulated EDFs. The EDFs simulated for light elements (B, C, Al and Si) show significantly different shapes than other elements: a high peak at low energies is followed by a fast decrease in the energy tail (Figure 4, Figure 5 and Figure 6). Sigmund and Thompson energy distribution functions for light elements have a different shape. There is a much slower decrease in the energy tail, and a much larger number of atoms have higher energies. The maximum energies of sputtered atoms for B, C, Al and Si simulated by SRIM are almost a factor of two lower than those obtained from the Thompson energy distribution.
3.1.2. Angular Energy Distribution Functions
The angular EDFs obtained from SRIM simulations are shown in Figure 4, Figure 5 and Figure 6 in colored lines, while the total EDFs are shown in black lines. In general, the shape of angular EDFs is similar to the total EDFs, although with several noticeable differences. The number of atoms at the peak position of the angular EDFs decreases with the polar emission angle. Most atoms are sputtered close to the normal direction, which was already observed in our study of differential sputtering yields (see Figure 5 in [36]). The high-energy tail decreases similarly for all emission angles, which is demonstrated in Figure 10, where angular EDFs normalized to the low-energy peak are shown for sputtered Ti and Ag atoms.
Figure 10.
Normalized angular EDFs obtained from SRIM simulations for Ti and Ag sputtered with 600 eV Ar ions. The tail of the distribution has a similar shape at different sputtering angles.
In Figure 4, which shows EDFs for sputtering with 300 eV Ar ions, a broad high-energy peak can be seen for elements in period 6 for emission angles higher than 45°. These peaks can be observed also for elements in period 5, where they are wider but less pronounced than in period 6. In the EDFs of elements in periods 5 and 6, there is also a second high-energy peak near the end of the energy tail. This second high-energy peak is very wide and extends between 100 eV and 200 eV, depending on the emission angle and sputtered material. At the emission angle of 45° it is wider than at higher angles. In some elements, the first and the second high-energy peak at 45° appear to overlap (see e.g., Zr, Nb, Mo and Hf). In period 6, the second high-energy peaks are also pronounced. For the highest emission angle (85°) in period 6, the first high-energy peak appears at approximately 40 eV and the second peak at approximately 90 eV. The position and the shape of the high-energy peaks do not change significantly within the elements of the individual period (cf. peaks in period 6). On the other hand, high-energy peaks of elements within individual groups have different widths. The heavier elements have sharper high-energy peaks than the lighter elements (compare, e.g., peaks for W and Mo), while the lightest transition metal elements do not exhibit any high-energy peaks (see EDFs for Ti, V, Cr).
The high-energy peaks are also noticeable for some elements when bombarded by Ar ions with 600 eV (see Figure 5). In period 6, the second high-energy peaks are still noticeable, while they are much less pronounced in period 5. When increasing the ion energy to 1200 eV (Figure 6) the high-energy peaks are visible only for elements in period 6, while for all other elements they are not present.
The maximum energy of sputtered atoms in angular EDFs depends significantly on the period but very little on the group, as was also observed in total EDFs. The maximum energy of sputtered atoms is the lowest for elements in period 6 and the highest for elements in period 4. For example, in period 4, the maximum energies of sputtered atoms near the surface normal are up to 580 eV, and decrease to around 500 eV at the highest emission angle for sputtering with 600 eV ions. On the other hand, for elements in period 6, the atoms sputtered near the surface normal have a maximum energy of around 350 eV and the atoms sputtered at the highest emission angle have a maximum energy of 200 eV. In general, elements within individual periods have similar angular EDFs in terms of shape, high-energy peaks and maximum atom energy, while there are considerable differences when comparing angular EDFs of elements within individual groups.
3.2. Average Energy of Sputtered Particles
The average energy can be evaluated for atoms sputtered in the entire space above the surface (i.e., hemisphere) or in particular angular intervals. The average energies of atoms sputtered in specific angular directions are relevant for comparison with experimental data. Namely, the diagnostic tool (such as the energy-resolved mass spectrometer) is usually positioned in a specific direction, and therefore measures angular EDFs and the corresponding angular average energy. In the case of isotropic sputtering, such measurements can provide a polar average energy of sputtered atoms. We first analyze the average energies of atoms sputtered into the whole hemisphere and then analyze average energies for specific polar intervals.
3.2.1. Total Average Energy of Sputtered Atoms
The total average energy of sputtered atoms was obtained from the SRIM interface by simulating normal Ar ion impingement for 100–1200 eV range in 100 eV steps. The ion energy dependence of the total average energy of sputtered atoms was fitted to the following equation:
where a and b are the fitting parameters, Emsb is the modified surface binding energy, Ei is the ion energy and Λ is the energy transfer factor. The above equation was selected as a fitting relation between the average atom energy and ion energy because it is obtained from the Sigmund distribution when evaluating the average energy of sputtered atoms (see Appendix of [41]). The Equation is discussed in more detail in Section 4. We introduce two fitting parameters, a and b, to fit the average energies of sputtered atoms. The fitting parameters for investigated materials are presented in Table 1. The coefficient of determination R2 was in all cases better than 0.97.
Table 1.
Parameters a and b obtained when fitting the total average energy to Equation (12). Other relevant parameters are included: atomic number Z, the energy transfer factor and modified surface binding energy Emsb.
Table 1.
Parameters a and b obtained when fitting the total average energy to Equation (12). Other relevant parameters are included: atomic number Z, the energy transfer factor and modified surface binding energy Emsb.
| Elem. | Z | Λ | Emsb | a | b |
|---|---|---|---|---|---|
| B | 5 | 0.670 | 2.8 | 0.82 | 1.90 |
| C | 6 | 0.711 | 3.6 | 0.77 | 1.62 |
| Al | 13 | 0.962 | 2.8 | 1.09 | 2.54 |
| Si | 14 | 0.970 | 3.8 | 0.87 | 1.76 |
| Ti | 22 | 0.992 | 5.2 | 2.18 | 3.88 |
| V | 23 | 0.985 | 5.5 | 1.93 | 2.97 |
| Cr | 24 | 0.983 | 4.9 | 1.41 | 1.47 |
| Cu | 29 | 0.948 | 4.3 | 1.15 | 0.37 |
| Zr | 40 | 0.847 | 8.3 | 2.40 | 3.34 |
| Nb | 41 | 0.841 | 9.0 | 1.87 | 1.92 |
| Mo | 42 | 0.830 | 10.0 | 1.75 | 1.85 |
| Ag | 47 | 0.789 | 3.2 | 1.59 | 1.24 |
| Hf | 72 | 0.598 | 9.5 | 1.66 | 1.56 |
| Ta | 73 | 0.593 | 13.5 | 1.36 | 0.92 |
| W | 74 | 0.587 | 14.0 | 1.26 | 0.74 |
| Au | 79 | 0.561 | 5.5 | 1.14 | 0.25 |
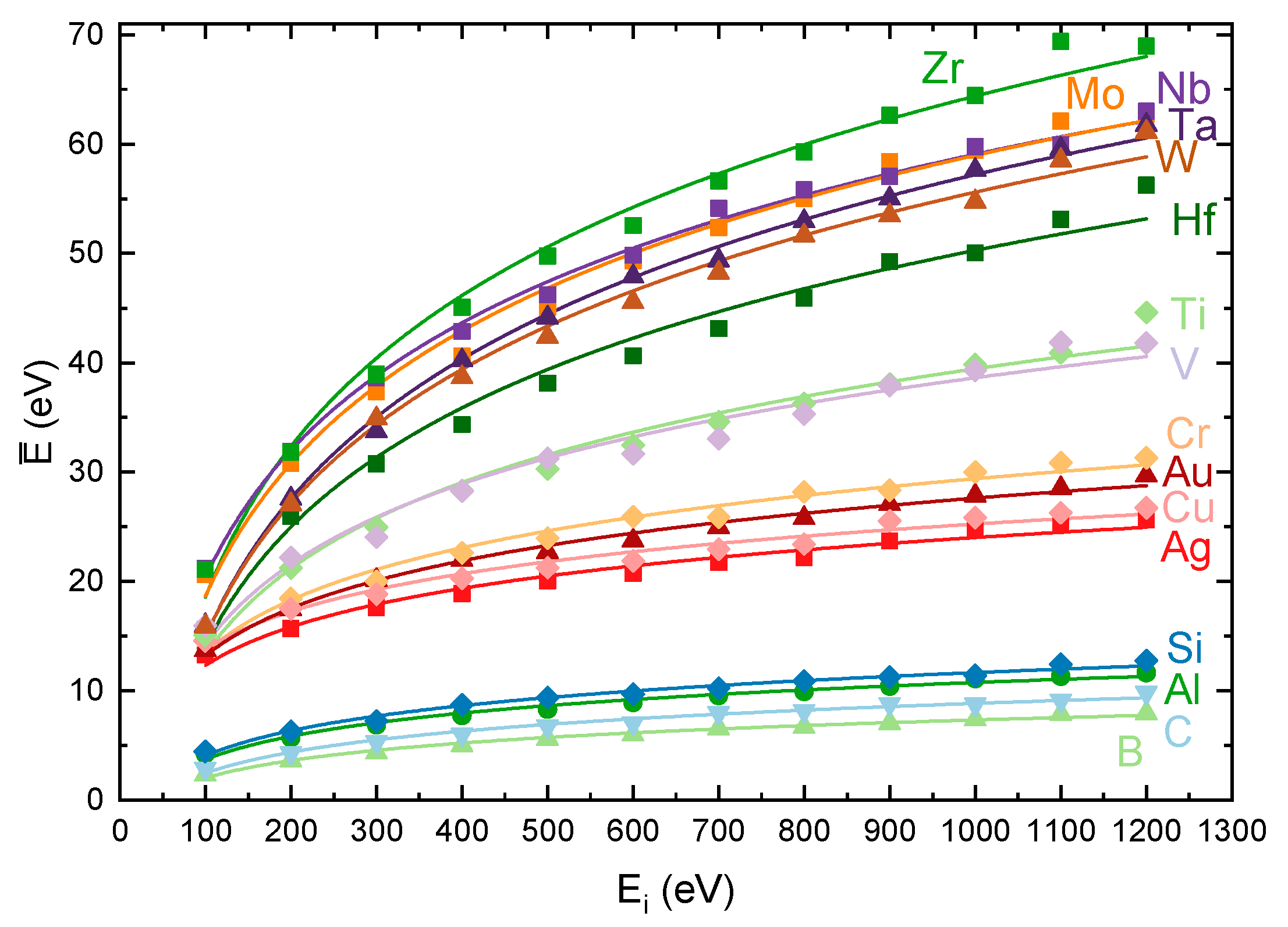
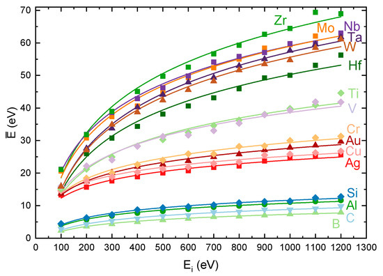
Figure 11 presents simulations of the average energies of sputtered particles and fitted curves using parameters from Table 1. The average energies follow the logarithmic function in dependence on the ion energy. For transition metals, the average energies of sputtered particles in groups 4–6 are significantly higher than in group 11. Among the elements from groups 4–6, the elements from period 5 (i.e., Zr, Nb, Mo) exhibit the highest average energies. The elements in period 6 (i.e., Hf, Ta, W) demonstrate slightly lower average energies, whereas elements in period 4 (i.e., Ti, V, Cr) display the lowest average energies among the elements of groups 4–6. Among the transition metals, elements in group 11 (i.e., Cu, Ag, Au) have the lowest average energies. The lightest elements (groups 13 and 14) have significantly lower average energies than the transition metals, according to SRIM simulations.
Figure 11.
The total average energy of sputtered atoms as a function of Ar ion energy obtained from SRIM simulations and fitted to Equation (12).
3.2.2. Angular Average Energies of Sputtered Atoms
Figure 12 presents the polar distribution of average energies for the investigated elements. The simulations were made for perpendicular Ar ion impingement with energies of 300 eV, 600 eV and 1200 eV. The shapes of the distribution are similar, regardless of the ion energy. The elements in period 4 and groups 4–6 (i.e., Ti, V, Cr) have the most directed distribution, with the highest average energies near the 65° emission angle. The elements in period 5 and groups 4–6 (i.e., Zr, Nb, Mo) have a somewhat less-directed distribution, with the highest average energies around the 55° angle. In period 6, the elements in groups 4–6 (i.e., Hf, Ta, W) have a more isotropic distribution of the average energy than in periods 4 and 5. Slightly higher average energies of sputtered atoms are found near the 45° emission angle. The shape of the polar distribution for elements in groups 11 (i.e., Cu, Ag, Au) also changes with the period—a more anisotropic distribution is visible for Cu (period 4) and the most isotropic distribution (close to circular) for Au (period 6). In general, the elements in group 11 have more isotropic distribution compared to elements in the groups 4–6. Furthermore, the heaviest elements show the most isotropic distributions for the angular average energies.
Figure 12.
Angular distribution of average energies for selected elements bombarded by Ar ions directed normal to the surface with energies of 300 eV (red), 600 eV (blue), and 1200 eV (green).
In order to more easily compare the polar distributions of average atom energies, we present the data also in the Cartesian coordinate system shown in Figure 13. The angular average energies for investigated target materials bombarded by 600 eV Ar ions are shown in Figure 13a, while in Figure 13b the same angular average energies are normalized by the value of average energy in the normal direction.
Figure 13.
Average energies of sputtered atoms as a function of emission angle obtained from SRIM simulations for Ar ions with 600 eV. (a) Absolute distributions of average energies and (b) normalized distributions.
In period 4 (Ti, V, Cr, Cu), the average atom energies show the largest variation with the emission angle (see Figure 13b). The atoms have the highest average energies in approximately 40°–70° emission angle range, depending on the sputtered material. In period 5, the differences between average energies in different emission angle ranges are lower than in period 4. In period 6 (Hf, Ta, W and Au), the differences between angular average energies are the lowest. For the light elements (B, C and Al), the SRIM simulations show that the average energies of sputtered atoms are approximately the same for all analyzed angles and are the highest for emission angles in the 0°–30° range.
In individual groups, the element with the lowest atomic number exhibits the highest differences between angular average energies for different emission angles. For example, in group 4 (Ti, Zr and Hf), the differences between average energies in specific emission angles are higher for Ti than for Zr, and are the lowest for the heaviest element, Hf. The same trend is observed also in other groups. The differences between angular average energies for different sputtering angles become lower with increasing atomic number.
4. Discussion
4.1. Energy Distribution Functions of Sputtered Atoms
4.1.1. Total Energy Distribution Functions
An analytical equation for the energy distribution function of sputtered atoms follows from the sputtering theories of Thompson [32] and Sigmund [33]. Thompson derived the following equation for the total EDF of sputtered atoms (see Equation (19) in Ref. [32]):
where E is the energy of the sputtered atoms, Esb is the surface binding energy and AT is the normalization factor. The energy transfer factor denotes the maximum energy that can be transferred between the impinging ion with mass mi and the sputtered atom with mass ms in a central head-on collision. The Equation is valid for atom energies up to the maximum transferable energy ().
Sigmund arrived at a similar equation as Thompson. In its simplest form, the Sigmund Equation for the EDF of sputtered atoms is described by the following function (see e.g., Equation (7) in [42], Chapter 1):
The full equation can be found in Chapter 2 of [39] (see Equation (2.3.16b)) and is further discussed in [43].
Note that the Thompson equation and Sigmund equation are similar, but not entirely identical. In general, both distributions have comparable shapes, with a peak close to and an energy tail, which decreases as . Nevertheless, there are a few notable differences between the two distributions. The Thompson distribution includes an additional factor . This factor influences the tail of the distribution but does not influence the low-energy part, since for low atom energies () only the first part of the equation describes the distribution. The factor causes the energy tail to curve toward zero when atom energies approach the maximum energy (). The Sigmund distribution, on the other hand, does not include such curvature of the function near the end of the energy tail. Hence, the Thompson distribution appears to provide a more detailed description of EDF of sputtered atoms. However, the Thompson distribution does not contain the surface binding energy in the numerator, which is a part of the Sigmund distribution (i.e., ). In the Thompson distribution, the parameters related to the sputtered material and impinging ion are included in the constant AT (the constant is specified in Equation (19) in the original paper by Thompson [32]). It should be emphasized that the Sigmund distribution does not depend on the energy of the impinging ions, whereas in the Thompson distribution, the ion energy affects only the tail of the distribution (i.e., ). Despite several differences between the two distributions, the general shape of the two distributions is similar, except near the energy tail. In the literature, the EDF of sputtered atoms is often called the Sigmund–Thompson distribution, which can be justified, based on the resemblance of the two functions for the most part of the distribution.
The total EDFs obtained from SRIM simulations were compared to Thompson and Sigmund EDFs, separately. In the analysis of the low-energy peak and FWHM of simulated distributions we use the term Sigmund-Thompson distribution, since both functions at lower energies are similar. In the following, we analyze and discuss different parts of total EDFs: the overall shape of distributions, the low-energy peak, FWHM, the energy tail and the maximum energy of sputtered atoms. Furthermore, we attempt to find correlations between these parameters and the element arrangement in the periodic table.
Figure 4, Figure 5 and Figure 6 in Section 3.1 show a relatively good agreement between the simulated total EDFs and analytical Sigmund and Thompson distributions. In general, the agreement is good for the transition metals but not for the investigated light elements (i.e., B, C, Al, and Si). For the transition metals, the Sigmund distribution better fits the simulated EDFs than the Thompson distribution. The largest differences are in the energy tail, where the Thompson distribution decreases faster than simulated EDFs and the Sigmund function. For lighter transition metals (i.e., Ti, V, and Cr), the differences in the energy tail are smaller than in heavier elements. The larger deviation between the Thompson distribution and simulated EDFs occurs due to fitting restrictions in the tail of the function (see Equation (13)), while the Sigmund distribution does not have such a restriction.
In the low-energy part, both analytical distributions fit well with the simulated EDFs. The position of the low-energy peaks in total EDFs simulated by SRIM are collected in Table 2, together with peak positions calculated from the Sigmund–Thompson distribution (i.e., Emsb/2). The differences between the peak positions obtained from simulated EDFs and from the Sigmund–Thompson distribution are the largest for the light elements (B, C, Al and Si). The simulated EDFs show a very narrow FWHM and a rapid decrease in the distribution after the peak, which differs significantly from the Sigmund or Thompson distributions. In our previous work [36], we analyzed the differential sputtering yields obtained from SRIM simulations. The results showed highly preferential sputtering of the light elements (B, C, Al and Si) in the normal direction. Such unrealistic spatial distribution was also observed in simulations performed by Hofsäss et al. [44]. Based on our simulations and similar findings from other works [44,45,46], we conclude that SRIM does not produce accurate simulation results for elements with Z < 14.
Table 2.
The low-energy peak positions calculated from the Sigmund–Thompson (S-T) distribution and obtained from SRIM simulations for sputtering with 300 eV, 600 eV and 1200 eV Ar ions. Element parameters: Z—atomic number, M—atomic mass, Emsb—modified surface binding energy.
The analysis of the low-energy peak positions obtained from SRIM simulations and the Sigmund–Thompson distribution show some differences (see Table 2). The peak positions from SRIM simulations show a small dependence on the ion energy. For all transition elements, the peak position for sputtering with 300 eV ions is up to 8% higher than for sputtering with 600 eV and 1200 eV ions. The peak positions for sputtering with 600 eV and 1200 eV are closer together than the peak positions for sputtering with 300 eV and 600 eV. Overall, SRIM simulations suggest that the peak position slightly decreases with Ar ion energy; however, results are ambiguous with regard to the position of the element in the periodic table. On the other hand, the peak position in the Sigmund–Thompson distribution is solely determined by the surface binding energy (i.e., the peak is close to Esb/2). Hence, according to the Sigmund and Thompson sputtering theory, the peak position does not depend on the ion energy nor on the ion mass (see e.g., Chapter 2 in [39]). In order to compare peak positions obtained by SRIM and the Sigmund–Thompson distribution, we calculated the average energy of the peak position from SRIM simulations for three analyzed ion energies: 300 eV, 600 eV and 1200 eV (see Table 2). The comparison is shown in Figure 14. In general, the correlation is good; however, the peak positions obtained by SRIM are overall about 10% lower than the peak positions from the Sigmund–Thompson distribution (note that the slope of the fit in Figure 14 is approximately 0.9). The discrepancy is larger for the light elements (B, C, Al, Si), and therefore we excluded them from the analysis.
Figure 14.
Comparison between the peak positions calculated from the Sigmund–Thompson distribution and the ones obtained from SRIM simulations.
The Sigmund–Thompson distribution predicts that the tail of the distribution decreases as . In order to verify this dependence, we fitted the Sigmund equation to the tail of simulated total EDFs where the exponent n was a free parameter. The best-fit values of n for sputtering with Ar ions of 300 eV, 600 eV and 1200 eV energy are collected in Table 3. The coefficient of determination was in all cases higher than 0.994. Results show that the fitting parameter n is almost independent of the ion energy. For all investigated target materials with Z > 14, the exponent n is close to 3, which is in agreement with the Sigmund and Thompson analytical equations.
Table 3.
The fitting parameter n for an equation . The fitting parameters were determined for Ar ions with 300 eV, 600 eV and 1200 eV.
The experimentally obtained EDFs reported in the literature do not always fit to n = 3. For example, Dembowski et al. [14] measured EDFs for Cu, V and Nb sputtered by Ar ions with 600 eV, 1000 eV and 2000 eV. For normal Ar ion incidence with 600 eV, they found that values of n = 3.3 best fitted the measurements for Cu and V and n = 2.7 for Nb. At higher energies (2 keV), the authors found a closer match to n = 2 for all three analyzed elements. For ion energies below 2.0 keV and for other angle combinations, the measurements deviated significantly from the n = 2 dependence. The authors suggested that deviations from theoretical predictions could originate from the incomplete development of the sputtering cascades.
The maximum energy of sputtered atoms is obtained from the Thompson sputtering theory as . The values of energy transfer factor (Λ) can be found in Table 3. Figure 15 shows the maximum energy calculated from and the one obtained from SRIM simulations. It can be seen that agreement between simulated and theoretical values is good for the transition metals at all ion energies (the slope of the fitted curve is close to 1). On the other hand, for light elements (B, C, Al, Si), the maximum energies of sputtered atoms obtained from SRIM simulations are significantly lower than the maximum energies calculated from . This again demonstrates that SRIM simulations for elements with Z < 14 are not reliable, as discussed earlier.
Figure 15.
The maximum energy of sputtered particles for sputtering with 300 eV, 600 eV and 1200 eV calculated with SRIM and predicted by the Thompson model.
4.1.2. Angular Energy Distribution Functions
The experimental techniques measure the atom energies only in a specific angular range. Therefore, they provide data on the angular EDFs and not on the total EDFs. For comparison between experiments and simulations, the angular EDF is more relevant than total EDF. Sigmund and Thompson sputtering theories provide an equation for the total EDF of sputtered atoms. The authors suggested adding a cosine factor to the total EDF to obtain the angular EDF; this is based on the assumption that the angular distribution of recoils is isotropic [47]. To analyze the viability of such approach, we used the Sigmund distribution with the cosine factor (i.e., ) to fit the simulated angular EDFs. We demonstrate in Figure 16 such fits for sputtering Ti with 600 eV argon ions (Sigmund angular EDFs are presented by smooth lines, and color lines correspond to simulated angular EDFs). The Sigmund function was first fitted to the total EDF and then multiplied by the cosine for investigated polar angles. It can be seen that for all polar angles the Sigmund EDFs with the cosine factor are one or two orders of magnitude higher than the simulated angular EDFs. It can be assumed that either the Sigmund cosine distribution overestimates the simulated angular EDFs or the simulated distributions underestimate the angular EDFs.
Figure 16.
Angular and total EDFs for Ti bombarded by 600 eV Ar ions.
The experimental results in the literature suggest that the Sigmund distribution overestimates the measured angular EDFs. For example, Lautenschläger et al. [17] measured angular EDFs of Ti sputtered by an Ar ion with 1 keV normal to the surface. They observed a faster decrease in the energy tail than was obtained from the Sigmund equation with a cosine factor. The authors performed SDTrimSP simulations, and obtained a reasonable fit with the experimental data. Similarly, Bundesmann et al. [18] measured angular EDFs for sputtering Ag with Ar ions of 1 keV. They also compared the measured angular EDFs to simulations performed by TRIM.SP program. In general, they found decent agreement between experimental and simulated EDFs. However, the authors noted some differences. For instance, the distributions appeared narrower, due to direct sputtering, and were more pronounced in the simulated curves than in the measured EDFs. They attributed this to non-realistic assumptions of the TRIM.SP program, such as an amorphous target with randomly distributed particles, an idealized flat surface and mono-energetic primary particles. Interestingly, they did not observe much variation in the EDFs at different polar angles when the material was bombarded by Ar ions normal to the surface. In our simulation of angular EDFs, we also see less variation in EDFs with regard to the polar angle when sputtering Ag and other transition metals with Ar ions of higher energies (e.g., 1.2 keV). More variation is observed when the material is sputtered at lower ion energies (see Figure 4). Goehlich et al. [11,13] measured angular EDFs for Al sputtered by Ar ions normal to the surface with 200 eV and 500 eV. For emission of atoms in the normal direction, the authors observed a somewhat narrower distribution than expected from the Thompson distribution (see Figure 10 in Ref. [13] and Figure 3 in Ref. [11]). The Thompson EDF was more in line with experimental data for a 60° emission angle.
In an earlier work, Eckstein [48] used TRIM.SP to investigate simulated total and angular EDFs of sputtered atoms. The simulations showed that the shape of the EDFs depends on the emission angle. At small emission angles, the EDFs showed deficiency in sputtered atoms at low and high energies, and more intensity above the maximum of the distribution (see Figure 3 in Ref. [48]). At large emission angles, the distributions showed a strong deficiency at high energies, and a surplus at low energies. This was explained by the change in angle that occurs when the particle passes through the surface, due to surface binding energy.
Angular EDFs were also investigated using a semi-empirical model developed by Stepanova and Dew [34]. The authors took into account anisotropies, by introducing the correction factor for sputtering in the sub-keV region. They also observed that the EDF was narrower around the low-energy peak when the energy of incident ions decreased. Our SRIM simulations did not show such narrowing.
Brizzolara et al. [49] measured EDFs for Cu sputtered by Ar ions with energies in the 40–1000 eV range. The angle of incidence of the Ar ion beam and emission of the sputtered particles were normal to the target surface. Measurements showed that the EDFs were comparable in shape for different sputtering energies. The Sigmund–Thompson distribution fitted well to the experimental EDFs when the energy of impinging ions was above 600 eV. When the energy of incident ions was lower than 600 eV, the distributions decreased faster and the peak shifted to the lower-energy values.
In another work, Goehlich et al. [12] observed that for normal Ar impingement, EDFs at higher emission angles broaden and the low-energy peak shifts toward higher energies. Such behavior was significant for Ti, whereas for W only weak changes in the EDFs with the emission angle were found. The broadening of EDF and shift of the low-energy peak toward higher energies with increasing emission angle were not observed in our SRIM simulations. Namely, we observe that the peak position for all transition metals remains practically unchanged for different emission angles.
A distinct feature in angular EDFs is the presence of high-energy peaks that typically exhibit a hump-like shape (see Figure 4 and Figure 5). In our simulations, such peaks are mainly observed for elements with Z > 40 when sputtered by Ar ions in the 300–600 eV energy range normal to the surface. Broad high-energy peaks have been also observed experimentally when sputtering Si [21,50], Ag [16,50], Ge [51] and Ti [12,17] by Ar and Xe ions. In these works, the authors measured angular EDFs for different incident angles of bombarding ions and for different emission angles of sputtered atoms. They observed a high-energy hump-like peak when the sum of the incident and emission angle was higher than 90°—the higher the difference, the more pronounced the peak [12]. Authors attributed the presence of high-energy peaks to the directly recoiled atoms. Namely, the directly sputtered atoms have higher energies than atoms that are sputtered after the collision cascade is fully developed. The SDTrimSP simulations performed in these works qualitatively recreated the presence of high-energy peaks, although the hump in the simulation appeared more pronounced as compared to the measurements. Some differences between the experimental and simulation results were attributed to the underestimated energy losses in the simulation program.
Goehlich et al. [12] observed experimentally the high-energy peak at approximately 45 eV for an emission angle of 60° when sputtering Ti with 225 eV Ar ions at normal incidence. However, when sputtering W at similar conditions the high-energy peak was not observed. Our SRIM simulations show the opposite: when sputtering with 300 eV Ar ions the high-energy peaks are not observed in Ti, yet the high-energy peak is present in W for emission angles higher than 55°. The high-energy peak in our SRIM simulations was positioned at approximately 100 eV for the 45° emission angle and at 40 eV for the 85° emission angle.
Our simulation of angular EDFs shows that high-energy peaks are most pronounced for sputtering with lower Ar ion energies (i.e., 300 eV). With regard to the position of elements in the periodic table, the high-energy peak starts to appear in Cu, but becomes more pronounced for heavier elements. In Zr, small and wide high-energy peaks are present for emission angles above 45°. Along period 5, these peaks become more pronounced (cf. angular EDFs for Nb, Mo and Ag in Figure 4). The high-energy peaks are most distinct in elements of period 6, where narrow and high-intensity peaks are present. The sharpest high-energy peak is observed for the highest emission angle (85°) and becomes wider as the emission angle decreases. It is present up to around 45° and disappears at lower emission angles. The position of the high-energy peak does not appear to shift significantly within each group of the periodic table (e.g., in period 6, the high-energy peak for elements from Hf to Au is at the position of around 40 eV at the 85° emission angle). In the elements of period 5, a second high-energy peak is visible and is most pronounced at the 65° emission angle. The second high-energy peak is also visible in the elements of period 6.
4.2. Average Energy of Sputtered Atoms
4.2.1. Total Average Energy of Sputtered Atoms
The total average energy of sputtered atoms is the average energy of atoms sputtered in the area above the surface. It can be calculated from the Sigmund–Thompson distribution by inserting an Equation (14) into Equation (8). The integration is performed up to the maximum atom energy (i.e., ). Detailed evaluation of the integrals can be found in the Appendix of Ref. [41]. With several reasonable simplifications, the following equation is obtained for the average energy of sputtered atoms:
Here, Ei is the energy of the incident ion, Emsb is the modified surface binding energy and Λ is the energy transfer factor. Note that the average energy of sputtered atoms only depends on the (modified) surface binding energy and maximum energy of sputtered atoms. Equation (15) is useful for comparing the theoretical average energies to the ones obtained from SRIM simulations.
Figure 17 shows a comparison between the average energies from SRIM simulations and the average energies calculated from Equation (15). In general, the average energies obtained by SRIM are higher than the analytically calculated average energies. The linear function that best fits the data is . Hence, the average energies obtained from SRIM simulations are approximately 30% higher than the theoretically predicted ones. The largest difference is observed for Zr and Nb. The accuracy of theoretical and simulated total average energies could be verified by comparing the data with the measurements from the literature. However, experimentally measured average energies are measured only in specific spatial directions, and should therefore be compared to the angular average energies. This is discussed in the next section.
Figure 17.
Comparison of the average energies obtained from SRIM simulations and the ones calculated with Equation (15) for Ar ions with 600 eV energy.
The SRIM simulations performed in this work show that elements in group 11 (Cu, Ag, Au) have the lowest total average energies. Higher total average energies are observed for the transition metals in groups 4, 5 and 6 (see Figure 11), among which the lowest average energies belong to the lightest three transition metal elements in period 4, i.e., Ti, V and Cr. In Figure 4, Figure 5 and Figure 6, the EDFs of Cu, Ag, and Au exhibit stronger (i.e., more intense) low-energy peaks and weaker high-energy tails. The opposite is the case for the elements in groups 4 and 5 (Ti, Zr, Hf; V, Nb, Ta). These elements have smaller low-energy peaks and longer high-energy tails, which results in higher average energies. The peak of total EDFs for those same elements is positioned at higher energies (see Table 2), which also results in higher average energies. The total average energy increases logarithmically with the ion energy, as shown in the SRIM simulations (Figure 11) and Sigmund–Thomspon for the average energy of sputtered atoms (see Equation (15)).
If the total average energy of sputtered atoms is plotted as a function of the total sputtering yield, then an inverse correlation can be observed for the transition metals (Figure 18). To our knowledge, in the literature there is no theoretical expression that would correlate the average energy of sputtered atoms to the sputtering yield, and therefore we provide an empirical equation that best fits our data. The average energies with dependence on sputtering yield show similar trends for sputtering with ions in the 300–1200 eV range. For the transition metals, the relation between the total average energy of sputtered atoms and the sputtering yield can be fitted to a simple function:
Figure 18.
Total average energy in dependence on sputtering yield for 600 eV Ar ions.
The numerical factors in the equation (i.e., the leading constant and the power coefficient) were obtained by fitting data to results obtained for all three ion energies, i.e., 300 eV, 600 eV and 1200 eV. For clarity, we present in Figure 18 only the results for sputtering with 600 eV argon ions. Note that in Equation (16) the total average energy of sputtered atoms is linearly dependent on the ion energy, and is approximately inversely proportional to the square root of the sputtering yield.
We emphasize that Equation (16) should be used only as a rough approximation for the expected average energies of sputtered transition metals. In Table 4 we provide the average energies of sputtered atoms for sputtering with 300 eV, 600 eV, and 1000 eV Ar ions. The table provides data for all transition metal elements from groups 4–12 of the periodic table. For the evaluation we used sputtering yields from [36].
Table 4.
Average energies of sputtered atoms calculated with Equation (16). The experimental and theoretical sputtering yields were obtained from the Supplementary Material in [36].
A possible qualitative explanation for the inverse proportionality could be the following: in elements with higher sputtering yield, the energy of the incident ions is redistributed among a larger number of atoms in the solid, and as a result the average energy of recoiled and sputtered atoms is lower. On the other hand, in the case of low sputtering yield, the energy of the incident ions is transferred to a smaller number of atoms, and consequently the average energy of the sputtered atoms is higher. Based on similar reasoning, it can be expected that Equation (16) should better describe the relationship when fully developed collision cascades are formed (i.e., at higher ion energies).
4.2.2. Angular Average Energies of Sputtered Atoms
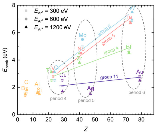
The average energy of sputtered atoms depends on the emission angle of sputtered atoms, as demonstrated in Figure 12 and Figure 13a. For transition metals, the average energies increase with the angle and reach the highest values at approximately 40°–70°, depending on the target material. The angular average energies obtained from SRIM simulations can be compared to the measured average energies from the literature. Lautenschläger et al. [17] measured angular EDFs for Ti bombarded by Ar ions with 1 keV at normal incidence using ion beam sputtering, which is also discussed in [40]. The authors measured an average energy of 26 eV at 60° emission angle, 32 eV at 70°, and 56 eV at 80°. These energies somewhat deviate from the energies from SRIM simulations obtained in this work. For Ar ion bombardment of Ti with the energy of 1.2 keV, the SRIM simulations give 40 eV at 65°, 37 eV at 75°, and 32 eV at 85°.
Feder et al. also measured and simulated the sputtering of an Ag target with Ar ions [16]. The average energies calculated from measured EDFs for sputtering with 0.5 keV and 1 keV argon ions were somewhat lower than the ones calculated in this work. For sputtering with 1 keV, the authors measured the average energy to be approximately 18 eV for emission angles higher than 60°. For sputtering with 1.2 keV, the average energy evaluated from SRIM simulations is 25.5 eV for 65° emission angle, 22.4 eV for 75°, and 19.4 eV for 85° emission angle. The authors also show that the average energy of sputtered Ag atoms does not change much with the increasing emission angle.
Angular EDFs measured for sputtering Cu, V and Nb targets with Ar ions were measured by Dembowski et al. [14]. Their experimentally determined average energies differ significantly from our simulation results. For sputtering Cu target with 600 eV normally impinging Ar ions, the authors measured 8.8 eV average energy of atoms sputtered in the normal direction, while our SRIM simulations give 19.3 eV. When sputtering V and Nb under the same sputtering angles, the authors measured 8.7 eV and 12.7 eV, respectively, while our simulations show significantly higher average energies, of 25.0 eV and 46.3 eV. The authors simulated average energies using the ACAT simulation code, and also obtained somewhat higher average energies as compared to the measured ones (see Figure 7 in Ref. [14]).
Brizzolara et al. [49] analyzed the average energies of sputtered atoms from the measured EDFs for Cu sputtered by Ar ions impinging normal to the surface in the 40–1000 eV range. The authors observed that the average kinetic energy of the sputtered Cu atoms increased with the ion energy, and that the rate of this increase was lower at higher ion energies (see Figure 7 in Ref. [49]). The average energies of normally sputtered atoms ranged from approx. 5 eV for sputtering with 200 eV argon ions to 8 eV for sputtering at 1000 eV. The dependence of the average atom energy on the ion energy only qualitatively agrees with our SRIM simulations, since we obtain about 3-times-higher total average energies (16 eV at 200 eV and around 25 eV at 1000 eV).
Semi-empirical models have been also used to calculate the average energies of sputtered atoms in dependence on the emission angle. For example, Stepanova [34] evaluated the angular dependence for Cu and W. The angular distribution at high angles differs significantly from the SRIM simulations at high angles (cf. Figure 13 in [34] and Figure 13a in this work). For Cu sputtering with 1000 eV argon ions, the energies calculated with the Stepanova model range from approx. 8 eV in the normal direction, with increasing values up to 17 eV for atoms sputtered close to the plane of the target (see Figure 15 in Ref. [40]). The SRIM simulations for sputtering with 600 eV argon ions give the average energy of 19.3 eV in the normal direction. With increasing sputtering angle, the average energy is increased to the maximum of 25.3 eV at the 55° emission angle. The average energy is then decreased at higher angles, down to 18.5 eV at the 85° emission angle. SRIM simulations show that the atoms with the highest energies are in the 40°–70° range, while the Stepanova model predicts that the most energetic atoms are sputtered close to the surface plane (i.e., emission angles above 80°).
5. Conclusions
We performed SRIM simulations to systematically analyze the energy distribution functions and average energies of sputtered atoms for relevant sputtering materials. The simulations were made for the transition metals in groups 4, 5, 6, and 11 and for the selected lighter elements (i.e., B, C, Al, and Si). Sputtering simulations were performed for Ar ions impinging normal to the surface with energies in the 300–1200 eV range. The results of simulations were compared to analytical EDFs derived by Sigmund and Thompson. Several aspects of EDFs were analyzed, including the low-energy peak, high-energy tail, high-energy peaks and maximum energy of sputtered atoms in relation to the arrangement of the elements in the periodic table.
The total EDFs obtained from SRIM and Sigmund and Thompson distributions agreed well for all transition metals, although some differences were observed in the energy tail. For the light elements (B, C, Al, and Si), the discrepancy between the simulated and analytical EDFs was considerable. The simulated EDFs for the light elements also deviated significantly from the experimental EDFs in the literature; therefore, we conclude that SRIM does not provide realistic EDFs for the elements with Z < 14. The simulations show that the shape of the total EDFs normalized to the low-energy peak does not change with the ion energy.
For all elements, the position of the low-energy peak was close to one-half of the surface binding energy, which is in agreement with the Sigmund–Thompson distribution. Comparing the elements within each period, the low-energy peak position increased with the group, except for the elements in group 11.
The FWHM of the simulated EDFs increased with the atomic number for a given group but did not significantly change with the ion energy in the 300–1200 eV range. The maximum energy of sputtered atoms showed a strong dependence on the period and only a slight dependence on the group of the periodic table. Elements in period 4 exhibited the highest maximum energies, followed by elements in period 5, and then elements in period 6. The maximum energy values obtained from SRIM simulations agreed well with those predicted by the Thompson equation for transition metal elements but differed significantly for light elements, where SRIM simulations predicted much lower energies.
The simulated angular EDFs were up to two-orders-of-magnitude lower than the ones obtained from the Sigmund–Thompson distribution with a cosine factor. Experimental results from the literature indicate that the angular Sigmund distribution overestimates the measured angular EDFs. For the elements in period 5 and 6, a broad high-energy peak was present at emission angles above 45° when sputtered with 300 eV Ar ions. The high-energy peaks were also observed for some elements in period 6 when bombarded with 600 eV ions. At an ion energy of 1200 eV, small high-energy peaks were present in the elements of period 6, while they were absent in all other elements.
In angular EDFs, the maximum energy of the sputtered atoms depends strongly on the period, but only slightly on the group, as was also observed for the total EDFs. The maximum energy of sputtered atoms decreases with the emission angle. The average energy of sputtered atoms changes logarithmically as a function of ion energy. The highest average energies were observed for transition metals in groups 4–6 and periods 5 and 6 (i.e., Zr, Nb, Mo, W, Za and Hf), and the lowest for elements in group 11. In general, the average energies obtained by SRIM were about 30% higher than the average energies calculated from the Sigmund distribution.
An inverse proportionality between the average energy of sputtered atoms and sputtering yield was observed for the transition metals. We established an empirical equation where the average energy of sputtered atoms is approximately inversely proportional to the sputtering yield, with a power of around 0.5. The average energy of sputtered atoms increases linearly with the incident Ar ion energy, according to our fitting function. Such a qualitative relationship provides an estimate for the total average energies of investigated transition metals within the 300–1200 eV energy range, and possibly for other transition metals and for higher Ar energies.
Author Contributions
Conceptualization, N.M. and M.P.; methodology, N.M. and M.P.; data curation, N.M.; validation, N.M. and M.P., formal analysis, N.M. and M.P.; visualization, N.M.; investigation, N.M. and M.P.; writing—original draft preparation, N.M. and M.P.; writing—review and editing, N.M., M.Č. and M.P.; supervision, M.Č. and M.P.; project administration, M.Č. All authors have read and agreed to the published version of the manuscript.
Funding
This research was financially supported by the Slovenian Research Agency (project J2-2509, program P2-0082). Nastja Mahne is grateful to the Slovenian Research Agency for the financial support of her PhD study.
Institutional Review Board Statement
Not applicable.
Informed Consent Statement
Not applicable.
Data Availability Statement
Data sharing is not applicable to this article.
Conflicts of Interest
The authors declare that they have no known competing financial interest or personal relationships that could have appeared to influence the work reported in this paper.
References
- Frey, H.; Khan, H.R. Handbook of Thin Film Technology; Springer Berlin Heidelberg: Berlin/Heidelberg, Germany, 2015. [Google Scholar]
- Panjan, M. Influence of substrate rotation and target arrangement on the periodicity and uniformity of layered coatings. Surf. Coat. Technol. 2013, 235, 32–44. [Google Scholar] [CrossRef]
- Petrov, I.; Adibi, F.; Greene, J.; Hultman, L.; Sundgren, J.E. Average energy deposited per atom: A universal parameter for describing ion-assisted film growth? Appl. Phys. Lett. 1993, 63, 36–38. [Google Scholar] [CrossRef]
- Greene, J.; Sundgren, J.E.; Hultman, L.; Petrov, I.; Bergstrom, D. Development of preferred orientation in polycrystalline TiN layers grown by ultrahigh vacuum reactive magnetron sputtering. Appl. Phys. Lett. 1995, 67, 2928–2930. [Google Scholar] [CrossRef]
- Musil, J.; Poláková, H.; Šuna, J.; Vlček, J. Effect of ion bombardment on properties of hard reactively sputtered Ti(Fe)Nx films. Surf. Coat. Technol. 2004, 177–178, 289–298. [Google Scholar] [CrossRef]
- Greczynski, G.; Lu, J.; Jensen, J.; Bolz, S.; Kölker, W.; Schiffers, C.; Lemmer, O.; Greene, J.E.; Hultman, L. A review of metal-ion-flux-controlled growth of metastable TiAlN by HIPIMS/DCMS co-sputtering. Surf. Coat. Technol. 2014, 257, 15–25. [Google Scholar] [CrossRef]
- Xia, J.; Liang, W.; Miao, Q.; Depla, D. The effect of energy and momentum transfer during magnetron sputter deposition of yttrium oxide thin films. Appl. Surf. Sci. 2018, 439, 545–551. [Google Scholar] [CrossRef]
- Greczynski, G.; Mráz, S.; Schneider, J.M.; Hultman, L. Metal-ion subplantation: A game changer for controlling nanostructure and phase formation during film growth by physical vapor deposition. J. Appl. Phys. 2020, 127, 180901. [Google Scholar] [CrossRef]
- Anders, A. A structure zone diagram including plasma-based deposition and ion etching. Thin Solid Film. 2010, 518, 4087–4090. [Google Scholar] [CrossRef]
- Barranco, A.; Borras, A.; Gonzalez-Elipe, A.R.; Palmero, A. Perspectives on oblique angle deposition of thin films: From fundamentals to devices. Prog. Mater Sci. 2016, 76, 59–153. [Google Scholar] [CrossRef]
- Goehlich, A.; Gillmann, D.; Döbele, H.F. Angular resolved energy distributions of sputtered atoms at low bombarding energy. Nucl. Instrum. Methods Phys. Res. Sect. B Interact. Mater. At. 2000, 164–165, 834–839. [Google Scholar] [CrossRef]
- Goehlich, A.; Niemöller, N.; Döbele, H.F. Anisotropy effects in physical sputtering investigated by laser-induced fluorescence spectroscopy. Phys. Rev. B 2000, 62, 9349–9358. [Google Scholar] [CrossRef]
- Goehlich, A.; Gillmann, D.; Döbele, H. An experimental investigation of angular resolved energy distributions of atoms sputtered from evaporated aluminum films. Nucl. Instrum. Methods Phys. Res. Sect. B Interact. Mater. At. 2001, 179, 351–363. [Google Scholar] [CrossRef]
- Dembowski, J.; Oechsner, H.; Yamamura, Y.; Urbassek, M. Energy distributions of neutral atoms sputtered from Cu, V and Nb under different bombardment and ejection angles. Nucl. Instrum. Methods Phys. Res. Sect. B Interact. Mater. At. 1986, 18, 464–470. [Google Scholar] [CrossRef]
- Betz, G.; Wien, K. Energy and angular distributions of sputtered particles. Int. J. Mass Spectrom. Ion Process. 1994, 140, 1–110. [Google Scholar] [CrossRef]
- Feder, R.; Bundesmann, C.; Neumann, H.; Rauschenbach, B. Ion beam sputtering of Ag–Angular and energetic distributions of sputtered and scattered particles. Nucl. Instrum. Methods Phys. Res. Sect. B Interact. Mater. At. 2013, 316, 198–204. [Google Scholar] [CrossRef]
- Lautenschläger, T.; Feder, R.; Neumann, H.; Rice, C.; Schubert, M.; Bundesmann, C. Ion beam sputtering of Ti: Influence of process parameters on angular and energy distribution of sputtered and backscattered particles. Nucl. Instrum. Methods Phys. Res. Sect. B Interact. Mater. At. 2016, 385, 30–39. [Google Scholar] [CrossRef]
- Bundesmann, C.; Feder, R.; Lautenschläger, T.; Neumann, H. Energy Distribution of Secondary Particles in Ion Beam Deposition Process of Ag: Experiment, Calculation and Simulation. Contrib. Plasma Phys. 2015, 55, 737–746. [Google Scholar] [CrossRef]
- Panjan, M.; Franz, R.; Anders, A. Asymmetric particle fluxes from drifting ionization zones in sputtering magnetrons. Plasma Sources Sci. Technol. 2014, 23, 025007. [Google Scholar] [CrossRef]
- Franz, R.; Clavero, C.; Kolbeck, J.; Anders, A. Influence of ionisation zone motion in high power impulse magnetron sputtering on angular ion flux and NbO x film growth. Plasma Sources Sci. Technol. 2016, 25, 015022. [Google Scholar] [CrossRef]
- Kalanov, D.; Anders, A.; Bundesmann, C. Ion beam sputtering of silicon: Energy distributions of sputtered and scattered ions. J. Vac. Sci. Technol. A 2019, 37, 051507. [Google Scholar] [CrossRef]
- Zeuner, M.; Neumann, H.; Meichsner, J. Ion energy distributions in a dc biased rf discharge. J. Appl. Phys. 1997, 81, 2985. [Google Scholar] [CrossRef]
- Benedikt, J.; Hecimovic, A.; Ellerweg, D.; von Keudell, A. Quadrupole mass spectrometry of reactive plasmas. J. Phys. D Appl. Phys 2012, 45, 403001. [Google Scholar] [CrossRef]
- Benedikt, J.; Kersten, H.; Piel, A. Foundations of measurement of electrons, ions and species fluxes toward surfaces in low-temperature plasmas. Plasma Sources Sci. Technol. 2021, 30, 033001. [Google Scholar] [CrossRef]
- Dullni, E. Laser fluorescence measurements of the flux density of titanium sputtered from an oxygen covered surface. Appl. Phys. A 1985, 38, 131–138. [Google Scholar] [CrossRef]
- Berres, W.; Rusbüldt, D.; Hintz, E.; Bay, H.L. An investigation of laser-induced fluorescence for measuring velocity distributions of neutral atoms using a CW dye laser. Appl. Phys. B 1984, 35, 83–93. [Google Scholar] [CrossRef]
- Goehlich, A. Investigation of time-of-flight and energy distributions of atoms and molecules sputtered from oxygen-covered metal surfaces by laser-aided techniques. Appl. Phys. A 2001, 72, 523–529. [Google Scholar] [CrossRef]
- Hintz, E.; Rusbüldt, D.; Schweer, B.; Bohdansky, J.; Roth, J.; Martinelli, A. The determination of the flux density of sputtered atoms by means of pulsed dye laser excited fluorescence. J. Nucl. Mater. 1980, 93, 656–663. [Google Scholar] [CrossRef]
- Husinsky, W.; Betz, G.; Girgis, I.; Viehböck, F.; Bay, H. Velocity distributions and sputtering yields of chromium atoms under argon, oxygen and carbon ion bombardment. J. Nucl. Mater. 1984, 128, 577–582. [Google Scholar] [CrossRef]
- Husinsky, W. The application of Doppler shift laser fluorescence spectroscopy for the detection and energy analysis of particles evolving from surfaces. J. Vac. Sci. Technol. B 1985, 3, 1546–1559. [Google Scholar] [CrossRef]
- Pellin, M.; Wright, R.; Gruen, D. Laser fluorescence spectroscopy of sputtered zirconium atoms. J. Chem. Phys. 1981, 74, 6448–6457. [Google Scholar] [CrossRef]
- Thompson, M.W., II. The energy spectrum of ejected atoms during the high energy sputtering of gold. Philos. Mag. 1968, 18, 377–414. [Google Scholar] [CrossRef]
- Sigmund, P. Theory of Sputtering. I. Sputtering Yield of Amorphous and Polycrystalline Targets. Phys. Rev. 1969, 184, 383. [Google Scholar]
- Stepanova, M.; Dew, S. Estimates of differential sputtering yields for deposition applications. J. Vac. Sci. Technol. A 2001, 19, 2805–2816. [Google Scholar] [CrossRef]
- Stepanova, M.; Dew, S. Anisotropic energies of sputtered atoms under oblique ion incidence. Nucl. Instrum. Methods Phys. Res. Sect. B Interact. Mater. At. 2004, 215, 357–365. [Google Scholar] [CrossRef]
- Mahne, N.; Čekada, M.; Panjan, M. Total and Differential Sputtering Yields Explored by SRIM Simulations. Coatings 2022, 12, 1541. [Google Scholar] [CrossRef]
- Ziegler, J.F.; Ziegler, M.D.; Biersack, J.P. SRIM–The stopping and range of ions in matter (2010). Nucl. Instrum. Methods Phys. Res. Sect. B Interact. Mater. At. 2010, 268, 1818–1823. [Google Scholar] [CrossRef]
- Eckstein, W. Computer Simulation of Ion-Solid Interactions; Springer Science & Business Media: Berlin/Heidelberg, Germany, 2013; Volume 10. [Google Scholar]
- Behrisch, R. Sputtering by Particle Bombardment I: Physical Sputtering of Single-Element Solids; Springer: Berlin/Heidelberg, Germany, 1981. [Google Scholar]
- Depla, D. Magnetrons, Reactive Gases and Sputtering. 2019. Available online: Lulu.com (accessed on 21 July 2023).
- Held, J.; Hecimovic, A.; von Keudell, A.; Schulz-von der Gathen, V. Velocity distribution of titanium neutrals in the target region of high power impulse magnetron sputtering discharges. Plasma Sources Sci. Technol. 2018, 27, 105012. [Google Scholar] [CrossRef]
- Behrisch, R.; Eckstein, W. Sputtering by Particle Bombardment: Experiments and Computer Calculations from Threshold to MeV Energies; Springer: Berlin/Heidelberg, Germany, 2007. [Google Scholar]
- Sigmund, P. Mechanisms and theory of physical sputtering by particle impact. Nucl. Instrum. Methods Phys. Res. Sect. B: Interact. Mater. At. 1987, 27, 1–20. [Google Scholar] [CrossRef]
- Hofsäss, H.; Zhang, K.; Mutzke, A. Simulation of ion beam sputtering with SDTrimSP, TRIDYN and SRIM. Appl. Surf. Sci. 2014, 310, 134–141. [Google Scholar] [CrossRef]
- Shulga, V.I. Note on the artefacts in SRIM simulation of sputtering. Appl. Surf. Sci. 2018, 439, 456–461. [Google Scholar] [CrossRef]
- Wittmaack, K. Reliability of a popular simulation code for predicting sputtering yields of solids and ranges of low-energy ions. J. Appl. Phys. 2004, 96, 2632–2637. [Google Scholar] [CrossRef]
- Thompson, M.W.; Colligon, J.S.; Grove, W.R. Sputtering: Past, Present and Future, W.R. Grove 150th Anniversary Issue: Papers of a Theme Issue; Royal Society: London, UK, 2004. [Google Scholar]
- Eckstein, W. Energy distributions of sputtered particles. Nucl. Instrum. Methods Phys. Res. Sect. B Interact. Mater. 1986, 18, 344–348. [Google Scholar] [CrossRef]
- Brizzolara, R.A.; Cooper, C.B.; Olson, T.K. Energy distributions of neutral atoms sputtered by very low energy heavy ions. Nucl. Instrum. Methods Phys. Res. Sect. B Interact. Mater. 1988, 35, 36–42. [Google Scholar] [CrossRef]
- Feder, R.; Frost, F.; Neumann, H.; Bundesmann, C.; Rauschenbach, B. Systematic investigations of low energy Ar ion beam sputtering of Si and Ag. Nucl. Instrum. Methods Phys. Res. Sect. B Interact. Mater. 2013, 317, 137–142. [Google Scholar] [CrossRef]
- Feder, R.; Bundesmann, C.; Neumann, H.; Rauschenbach, B. Ion beam sputtering of germanium—Energy and angular distribution of sputtered and scattered particles. Nucl. Instrum. Methods Phys. Res. Sect. B Interact. Mater. 2014, 334, 88–95. [Google Scholar] [CrossRef]
Disclaimer/Publisher’s Note: The statements, opinions and data contained in all publications are solely those of the individual author(s) and contributor(s) and not of MDPI and/or the editor(s). MDPI and/or the editor(s) disclaim responsibility for any injury to people or property resulting from any ideas, methods, instructions or products referred to in the content. |
© 2023 by the authors. Licensee MDPI, Basel, Switzerland. This article is an open access article distributed under the terms and conditions of the Creative Commons Attribution (CC BY) license (https://creativecommons.org/licenses/by/4.0/).

















