Preparation of Chitosan-Modified Nano-Silver Solution Microcapsules and Their Effects on Antibacterial Properties of Waterborne Coatings
Abstract
1. Introduction
2. Materials and Methods
2.1. Materials of Test
2.2. Preparation of Chitosan-Modified Nano-silver Solution
2.3. Preparation of Chitosan-Modified Nano-Silver Solution Microcapsules
2.4. Preparation of Antibacterial Coating
2.5. Testing and Characterization
2.5.1. Testing and Characterization of Microcapsules
2.5.2. Performance Characterization of Antibacterial Coating
2.5.3. Testing and Characterization of Antibacterial Properties of Coating
3. Results and Discussion
3.1. Analysis of Output and Coverage of Microcapsules in Orthogonal Tests
3.2. Analysis of Single-Factor Test Results of Microcapsules
3.2.1. Analysis of Output and Coverage Rate
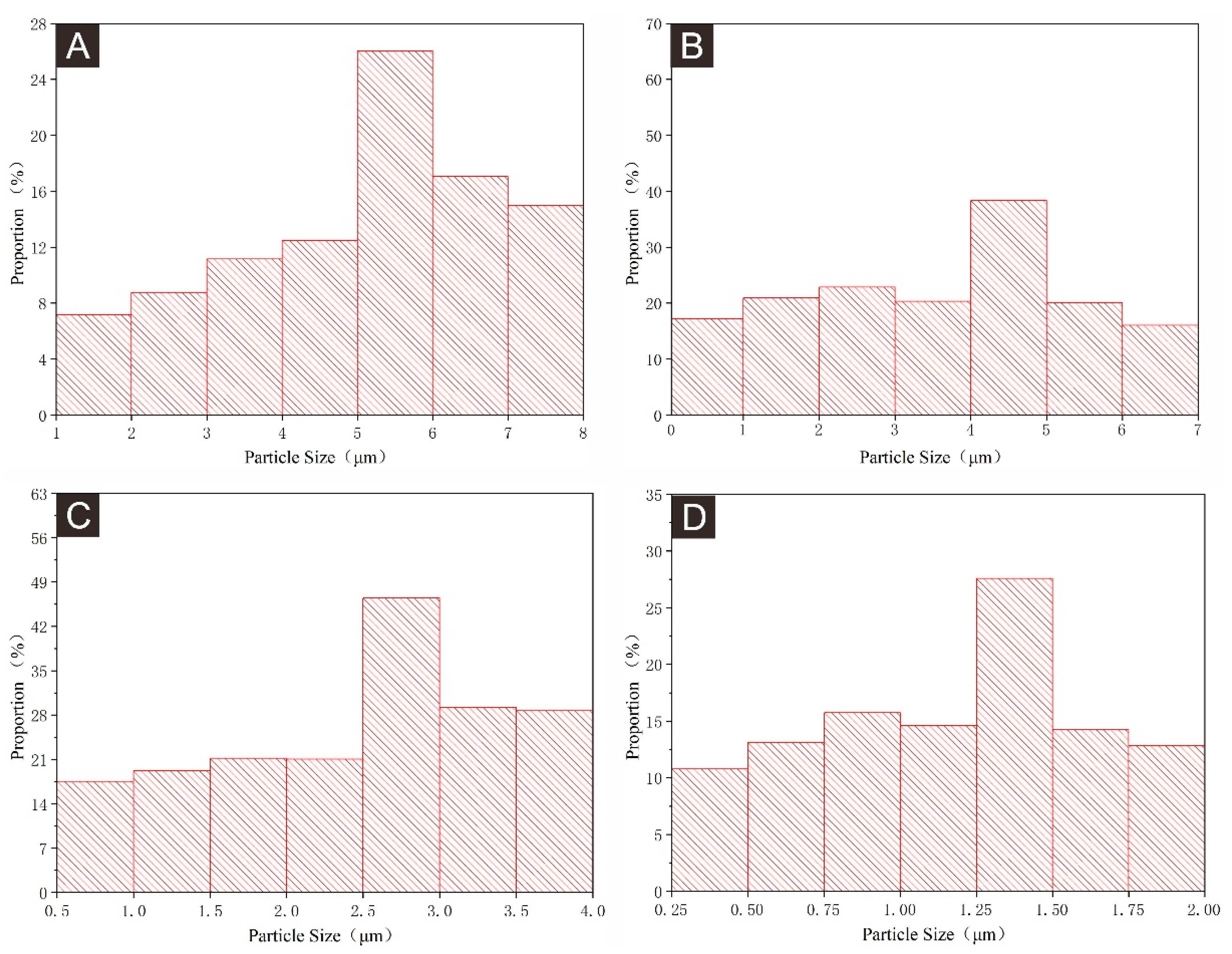
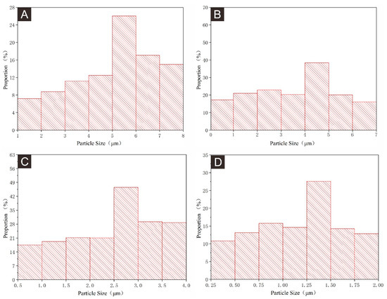
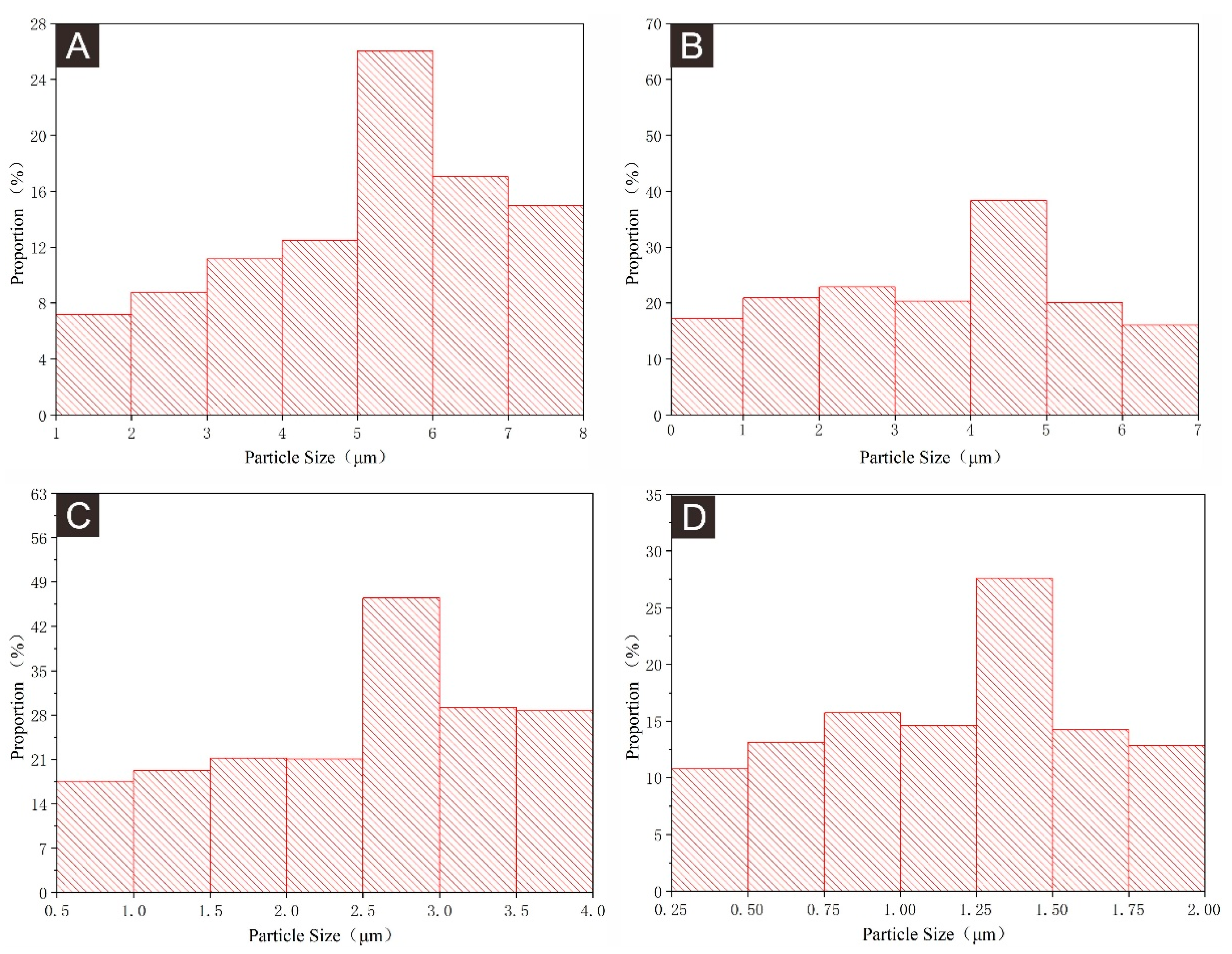
3.2.2. Analysis of Microscopic Morphology
3.2.3. Analysis of Chemical Composition of Microcapsules
3.3. Analysis of Optical Properties of Antibacterial Coating
3.3.1. Effect of Microcapsules with Different Emulsifier Concentrations on Gloss
3.3.2. Effect of Microcapsules with Different Emulsifier Concentrations on Color Difference
3.3.3. Effect of Microcapsules with Different Emulsifier Concentrations on Light Transmission
3.4. Analysis of the Mechanical Properties of Antibacterial Coating
3.5. Effect of Microcapsules with Different Emulsifier Concentrations on Antibacterial Properties
3.6. Comparison Analysis Before and After Antibacterial Tests
4. Conclusions
Author Contributions
Funding
Institutional Review Board Statement
Informed Consent Statement
Data Availability Statement
Conflicts of Interest
References
- Hu, W.G.; Liu, N.; Xu, L.; Guan, H.Y. Study on cold/warm sensation of materials used in desktop of furniture. Wood Res. Slovak. 2020, 65, 497–506. [Google Scholar] [CrossRef]
- Luo, Z.Y.; Xu, W.; Wu, S.S. Performances of Green Velvet Material (PLON) Used in Upholstered Furniture. Bioresources 2023, 18, 5108–5119. [Google Scholar] [CrossRef]
- Luo, Y.R.; Xu, W. Optimization of Panel Furniture Plates Rework Based on Intelligent Manufacturing. Bioresources 2023, 18, 5198–5208. [Google Scholar] [CrossRef]
- Hu, W.G.; Luo, M.Y.; Hao, M.M.; Tang, B.; Wan, C. Study on the effects of selected factors on the diagonal tensile strength of oblique corner furniture joints constructed by wood dowel. Forests 2023, 14, 1149. [Google Scholar] [CrossRef]
- Singh, A.P.; Kim, Y.S.; Chavan, R.R. Relationship of wood cell wall ultrastructure to bacterial degradation of wood. Iawa J. 2019, 40, 845–870. [Google Scholar] [CrossRef]
- Xu, W.; Chen, P.; Yang, Y.; Wang, X.; Liu, X. Effects of freezing and steam treatments on the permeability of Populus tomentosa. Mater. Werkst. 2021, 52, 907–915. [Google Scholar] [CrossRef]
- Yang, Y.Q.; Xu, W.; Liu, X.; Wang, X.D. Study on permeability of cunninghamia lanceolata based on steam treatment and freeze treatment. Wood Res. 2021, 66, 721–731. [Google Scholar] [CrossRef]
- Li, R.R.; Fang, L.; Xu, W.; Xiong, X.; Wang, X.D. Effect of laser irradiation on the surface wettability of poplar wood. Sci. Adv. Mater. 2019, 11, 655–660. [Google Scholar] [CrossRef]
- Wang, J.J.; Lu, Y.Z.; Chu, Q.D.; Ma, C.L.; Cai, L.R.; Shen, Z.H.; Chen, H. Facile construction of superhydrophobic surfaces by coating fluoroalkylsilane/silica composite on a modified hierarchical structure of wood. Polymers 2022, 12, 813. [Google Scholar] [CrossRef]
- Rosu, L.; Varganici, C.D.; Mustata, F.; Rosu, D.; Rosca, I.; Rusu, T. Epoxy coatings based on modified vegetable oils for wood surface protection against fungal degradation. ACS Appl. Mater. Inter. 2020, 12, 14443–14458. [Google Scholar] [CrossRef]
- Hu, W.G.; Yu, R.Z. Mechanical and acoustic characteristics of four wood species subjected to bending load. Maderas-Cienc. Tecnol. 2023, 25, 39. [Google Scholar]
- Hu, W.G.; Yu, R.Z.; Luo, M.Y.; Konukcu, A.C. Study on tensile strength of single dovetail joint: Experimental, numerical, and analytical analysis. Wood Mater. Sci. Eng. 2022, 17, 2155875. [Google Scholar] [CrossRef]
- Zhang, S.W.; Yu, A.X.; Song, X.Q.; Liu, X.Y. Synthesis and characterization of waterborne UV-curable polyurethane nanocomposites based on the macromonomer surface modification of colloidal silica. Prog. Org. Coat. 2013, 76, 1032–1039. [Google Scholar] [CrossRef]
- Zafar, F.; Ghosal, A.; Sharmin, E.; Chaturvedi, R.; Nishat, N. A review on cleaner production of polymeric and nanocomposite coatings based on waterborne polyurethane dispersions from seed oils. Prog. Org. Coat. 2019, 131, 259–275. [Google Scholar] [CrossRef]
- Jiang, G.F.; Li, X.F.; Che, Y.L.; Lv, Y.; Liu, F.; Wang, Y.Q.; Zhao, C.C.; Wang, X.J. Antibacterial and anticorrosive properties of CuZnO@RGO waterborne polyurethane coating in circulating cooling water. Environ. Sci. Pollut. Res. 2019, 26, 9027–9040. [Google Scholar] [CrossRef]
- Zare, E.N.; Padil, V.V.T.; Mokhtari, B.; Venkateshaiah, A.; Waclawek, S.; Cernik, M.; Tay, F.R.; Varma, R.S.; Makvandi, P. Advances in biogenically synthesized shaped metal- and carbon-based nanoarchitectures and their medicinal applications. Adv. Colloid Interfac. 2020, 283, 102236. [Google Scholar] [CrossRef]
- Matineh, G.; Ali, Z.; Reza, M.; Zahra, B.T.; Milad, A.; Ehsan, N.Z.; Tarun, A.; Vinod, V.T.P.; Babak, M.; Filippo, R.; et al. Functionalization of Polymers and Nanomaterials for Biomedical Applications: Antimicrobial Platforms and Drug Carriers. Prosthesis 2020, 2, 117–139. [Google Scholar]
- Harvey, A.L. Natural products in drug discovery. Drug Discov. Today 2008, 13, 894–901. [Google Scholar] [CrossRef]
- Li, L.; Lu, Y.A.; Chen, Y.; Bian, J.Y.; Wang, L.; Li, L. Antibacterial Chitosan-Gelatin Microcapsules Modified with Green-Synthesized Silver Nanoparticles for Food Packaging. J. Renew. Mater. 2023, 11, 291–307. [Google Scholar] [CrossRef]
- Wahab, M.A.; Li, L.M.; Matin, M.A.; Karim, M.R.; Aijaz, M.O.; Alharbi, H.F.; Abdala, A.; Haque, R. Silver Micro-Nanoparticle-Based Nanoarchitectures: Synthesis Routes, Biomedical Applications, and Mechanisms of Action. Polymers 2021, 13, 2870. [Google Scholar] [CrossRef]
- Tang, S.H.; Zheng, J. Antibacterial Activity of Silver Nanoparticles: Structural Effects. Adv. Healthc. Mater. 2018, 7, 1701503. [Google Scholar] [CrossRef] [PubMed]
- Ciriminna, R.; Albo, Y.; Pagliaro, M. New Antivirals and Antibacterials Based on Silver Nanoparticles. ChemMedChem 2020, 15, 1619–1623. [Google Scholar] [CrossRef] [PubMed]
- Hamad, A.; Khashan, K.S.; Hadi, A. Silver Nanoparticles and Silver Ions as Potential Antibacterial Agents. J. Inorg. Organomet. Polym. Mater. 2020, 30, 4811–4828. [Google Scholar] [CrossRef]
- Joy, F.; Devasia, J.; Nizam, A.; Lakshmaiah, V.V.; Krishna, S.B.N. Fungi-Templated Silver Nanoparticle Composite: Synthesis, Characterization, and Its Applications. Appl. Sci. 2023, 13, 2158. [Google Scholar] [CrossRef]
- Pan, P.; Yan, X.X. Preparation of Antibacterial Nanosilver Solution Microcapsules and Their Impact on the Performance of Andoung Wood Surface Coating. Polymers 2023, 15, 1722. [Google Scholar] [CrossRef]
- Anuj, S.A.; Gajera, H.P.; Hirpara, D.G.; Golakiya, B.A. Bacterial membrane destabilization with cationic particles of nano-silver to combat efflux-mediated antibiotic resistance in Gram-negative bacteria. Life Sci. 2019, 230, 178–187. [Google Scholar] [CrossRef] [PubMed]
- Vatcharakajon, P.; Sornsaket, A.; Choengpanya, K.; Susawaengsup, C.; Sornsakdanuphap, J.; Boonplod, N.; Bhuyar, P.; Dangtungee, R. Silver Nano Chito Oligomer Hybrid Solution for the Treatment of Citrus Greening Disease (CGD) and Biostimulants in Citrus Horticulture. Horticulturae 2023, 9, 725. [Google Scholar] [CrossRef]
- El-Shamy, O.A.A.; Deyab, M.A. Novel anticorrosive coatings based on nanocomposites of epoxy, chitosan, and silver. Mate. Lett. 2023, 330, 133298. [Google Scholar] [CrossRef]
- Nian, L.Y.; Xie, Y.; Sun, X.Y.; Wang, M.J.; Cao, C.J. Chitosan quaternary ammonium salt/gelatin-based biopolymer film with multifunctional preservation for perishable products. Int. J. Biol. Macromol. 2023, 228, 286–298. [Google Scholar] [CrossRef]
- Wichai, S.; Chuysinuan, P.; Chaiarwut, S.; Ekabutr, P.; Supaphol, P. Development of bacterial cellulose/alginate/chitosan composites incorporating copper (II) sulfate as an antibacterial wound dressing. J. Drug. Deliv. Sci. Tec. 2019, 51, 662–671. [Google Scholar] [CrossRef]
- Samadzadeh, M.; Boura, S.H.; Peikari, M.; Kasiriha, S.M.; Ashrafi, A. A review on self-healing coatings based on micro/nanocapsules. Prog. Org. Coat. 2010, 68, 159–164. [Google Scholar] [CrossRef]
- Yan, X.X.; Peng, W.W. Preparation of microcapsules of urea formaldehyde resin coated waterborne coatings and their effect on properties of wood crackle coating. Coatings 2020, 10, 764. [Google Scholar] [CrossRef]
- Yan, X.X.; Peng, W.W.; Qian, X.Y. Effect of water-based acrylic acid microcapsules on the properties of paint film for furniture surface. Appl. Sci. 2021, 11, 7586. [Google Scholar] [CrossRef]
- Garcia, A.; Schlangen, E.; van de Ven, M.; Sierra-Beltran, G. Preparation of capsules containing rejuvenators for their use in asphalt concrete. J. Hazard. Mater. 2010, 184, 603–611. [Google Scholar] [CrossRef] [PubMed]
- GB/T 11186.3-1989; Methods for Measuring the Colour of Paint Films. Part III: Calculation of Colour Differences. Standardization Administration of the People’s Republic of China: Beijing, China, 1990.
- GB/T 9754-2007; Paints and Varnishes-Determination of Specular Gloss of Non-Metallic Paint Films at 20°, 60° and 85°. Standardization Administration of the People’s Republic of China: Beijing, China, 2007.
- GB/T 6739-2006; Paint and Varnishes-Determination of Film Hardness by Pencil Test. Standardization Administration of the People’s Republic of China: Beijing, China, 2006.
- GB/T 4893.9-2013; Test of Surface Coatings of Furniture—Part 9: Determination of Resistance to Impact. Standardization Administration of the People’s Republic of China: Beijing, China, 2013.
- GB/T 4893.4-2013; Test of Surface Coatings of Furniture—Part 4: Determination of Adhesion-Cross Cut. Standardization Administration of the People’s Republic of China: Beijing, China, 2013.
- GB/T 21866-2008; Test Method and Effect for Antibacterial Capability of Paints Film. Standardization Administration of the People’s Republic of China: Beijing, China, 2008.
- GB 18580-2001; Indoor Decorating and Refurbishing Materials—Limit of Formal Dehyde Emission of Wood Based Panels and Finishing Products. Standardization Administration of the People’s Republic of China: Beijing, China, 2001.
- Jaroensaensuai, J.; Wongsasulak, S.; Yoovidhya, T.; Devahastin, S.; Rungrassamee, W. Improvement of Moist Heat Resistance of Ascorbic Acid through Encapsulation in Egg Yolk-Chitosan Composite: Application for Production of Highly Nutritious Shrimp Feed Pellets. Animals 2022, 12, 2384. [Google Scholar] [CrossRef]
- Uetsuji, Y.; Fukui, N.; Yagi, T.; Nakamura, Y. The effect of number of chemical bonds on intrinsic adhesive strength of a silane coupling agent with metals: A first-principles study. J. Mater. Res. 2022, 37, 923–932. [Google Scholar] [CrossRef]
- Lai, Y.K.; Tang, Y.X.; Gong, J.J.; Gong, D.G.; Chi, L.F.; Lin, C.J.; Chen, Z. Transparent superhydrophobic/superhydrophilic TiO2-based coatings for self-cleaning and anti-fogging. J. Mater. Chem. 2012, 22, 7420–7426. [Google Scholar] [CrossRef]
- Yu, Z.H.; Yan, Z.Y.; Zhang, F.H.; Wang, J.X.; Shao, Q.; Murugadoss, V.; Alhadhrami, A.; Mersal, G.A.M.; Ibrahim, M.M.; El-Bahy, Z.M.; et al. Waterborne acrylic resin co-modified by itaconic acid and γ-methacryloxypropyl triisopropoxidesilane for improved mechanical properties, thermal stability, and corrosion resistance. Prog. Org. Coat. 2022, 168, 106875. [Google Scholar] [CrossRef]
- Li, J.H.; Zhuang, S.L. Antibacterial activity of chitosan and its derivatives and their interaction mechanism with bacteria: Current state and perspectives. Eur. Polym. J. 2020, 138, 109984. [Google Scholar] [CrossRef]
- Fan, Q.W.; Fan, X.J.; Fu, P.; Li, Y.; Zhao, Y.X.; Hua, D.L. Anaerobic digestion of wood vinegar wastewater using domesticated sludge: Focusing on the relationship between organic degradation and microbial communities (archaea, bacteria, and fungi). Bioresour. Technol. 2022, 347, 126384. [Google Scholar] [CrossRef]
- Ban, Z.J.; Zhang, J.L.; Li, L.; Luo, Z.S.; Wang, Y.J.; Yuan, Q.P.; Zhou, B.; Liu, H.D. Ginger essential oil-based microencapsulation as an efficient delivery system for the improvement of Jujube (Ziziphus jujuba Mill.) fruit quality. Food Chem. 2020, 306, 125628. [Google Scholar] [CrossRef] [PubMed]
- Rosano, G.L.; Morales, E.S.; Ceccarelli, E.A. New tools for recombinant protein production in Escherichia coli: A 5-year update. Protein Sci. 2019, 28, 1412–1422. [Google Scholar] [CrossRef] [PubMed]
- Bayer, A.S.; Schneider, T.; Sahl, H.G. Mechanisms of daptomycin resistance in Staphylococcus aureus: Role of the cell membrane and cell wall. Ann. N. Y. Acad. Sci. 2013, 1277, 139–158. [Google Scholar] [CrossRef] [PubMed]














| Material | Specification | Manufacturer |
|---|---|---|
| 37.0% Formaldehyde | analytically pure | Nantong Yaoxin Chemical Co., Ltd., Nantong, China |
| Melamine | analytically pure | Shandong Yousuo Chemical Industry Technology Co., Ltd., Shandong, China |
| Triethanolamine | analytically pure | Shanxi Panlong Yihai Pharmaceutical Co., Ltd., Xi’an, China |
| Span-80 | analytically pure | Wuxi Yatai United Chemical Co., Ltd., Wuxi, China |
| Nano-silver solution | analytically pure | Tianjin Beichen Founder Reagent Factory, Tianjin, China |
| Chitosan | analytically pure | Shanghai National Medicine Reagent Co., Ltd., Shanghai, China |
| Citric acid monohydrate | analytically pure | Nanjing Quanlong Biotechnology Co., Ltd., Nanjing, China |
| Absolute ethanol | analytically pure | Guangzhou Kema Chemical Technology Co., Ltd., Guangzhou, China |
| Ethyl acetate | analytically pure | Xi’an Tianmao Chemical Co., Ltd., Xi’an, China |
| Acetic acid | analytically pure | Shanghai National Medicine Reagent Co., Ltd., Shanghai, China |
| Waterborne coating | analytically pure | Akzo Nobel Paint Co., Ltd., Guangzhou, China |
| Escherichia coli | - | Beijing Conservation Biotechnology Co., Ltd., Beijing, China |
| Staphylococcus aureus | - | Beijing Conservation Biotechnology Co., Ltd., Beijing, China |
| Nutrient broth | - | Hangzhou Chicheng Pharmaceutical Technology Co., Ltd., Hangzhou, China |
| Eluent | - | Sichuan Kelun Pharmaceutical Co., Ltd., Chengdu, China |
| Level | Wcore/Wwall | Wchitosan/Wsilver ion | Emulsifier Concentration (%) | Rotational Speed (rpm) |
|---|---|---|---|---|
| 1 | 0.75:1 | 500:1 | 1 | 400 |
| 2 | 0.80:1 | 1000:1 | 2 | 600 |
| 3 | 0.85:1 | 2000:1 | 3 | 800 |
| Sample (#) | Wcore/Wwall | Wchitosan/Wsilver ion | Emulsifier Concentration (%) | Rotational Speed (rpm) |
|---|---|---|---|---|
| 1 | 0.75:1 | 500:1 | 1 | 400 |
| 2 | 0.75:1 | 1000:1 | 2 | 600 |
| 3 | 0.75:1 | 2000:1 | 3 | 800 |
| 4 | 0.80:1 | 500:1 | 2 | 800 |
| 5 | 0.80:1 | 1000:1 | 3 | 400 |
| 6 | 0.80:1 | 2000:1 | 1 | 600 |
| 7 | 0.85:1 | 500:1 | 3 | 800 |
| 8 | 0.85:1 | 1000:1 | 1 | 600 |
| 9 | 0.85:1 | 2000:1 | 2 | 400 |
| Sample (#) | Melamine (g) | 37.0% Formaldehyde (g) | Deionized Water (g) | Nano-silver Solution (g) | Chitosan (g) | Acetic Acid (mL) | Span-80 (g) | Absolute Ethanol (g) | Rotational Speed (rpm) |
|---|---|---|---|---|---|---|---|---|---|
| 1 | 7.08 | 14.10 | 35.38 | 9 | 0.09 | 20 | 0.8 | 79.20 | 400 |
| 2 | 7.15 | 14.24 | 35.73 | 9 | 0.18 | 25 | 1.2 | 58.80 | 600 |
| 3 | 7.29 | 14.52 | 36.43 | 9 | 0.36 | 30 | 1.6 | 53.30 | 800 |
| 4 | 6.63 | 13.22 | 33.17 | 9 | 0.09 | 25 | 1.2 | 58.80 | 800 |
| 5 | 6.70 | 13.35 | 33.50 | 9 | 0.18 | 30 | 1.6 | 53.30 | 400 |
| 6 | 6.83 | 13.61 | 34.16 | 9 | 0.36 | 20 | 0.8 | 79.20 | 600 |
| 7 | 6.24 | 12.44 | 31.22 | 9 | 0.09 | 30 | 1.6 | 53.30 | 800 |
| 8 | 6.31 | 12.57 | 31.53 | 9 | 0.18 | 20 | 0.8 | 79.20 | 600 |
| 9 | 6.43 | 12.81 | 32.15 | 9 | 0.36 | 25 | 1.2 | 58.80 | 400 |
| Sample (#) | Melamine (g) | 37.0% Formaldehyde (g) | Deionized Water (g) | Nano-silver Solution (g) | Chitosan (g) | Acetic Acid (mL) | Span-80 (g) | Absolute Ethanol (g) | Rotational Speed (rpm) |
|---|---|---|---|---|---|---|---|---|---|
| 10 | 7.29 | 14.52 | 36.45 | 9 | 0.36 | 30 | 0.25 | 49.75 | 800 |
| 11 | 7.29 | 14.52 | 36.45 | 9 | 0.36 | 30 | 0.50 | 49.50 | 800 |
| 12 | 7.29 | 14.52 | 36.45 | 9 | 0.36 | 30 | 0.75 | 49.25 | 800 |
| 13 | 7.29 | 14.52 | 36.45 | 9 | 0.36 | 30 | 1.00 | 49.00 | 800 |
| 14 | 7.29 | 14.52 | 36.45 | 9 | 0.36 | 30 | 1.25 | 48.75 | 800 |
| 15 | 7.29 | 14.52 | 36.45 | 9 | 0.36 | 30 | 1.50 | 48.50 | 800 |
| 16 | 7.29 | 14.52 | 36.45 | 9 | 0.36 | 30 | 2.00 | 48.00 | 800 |
| 17 | 7.29 | 14.52 | 36.45 | 9 | 0.36 | 30 | 2.50 | 47.50 | 800 |
| Sample (#) | Wcore/Wwall | Wchitosan/Wsilver ion | Emulsifier Concentration (%) | Rotational Speed (rpm) | Output (g) |
|---|---|---|---|---|---|
| 1 | 0.75:1 | 500:1 | 1 | 400 | 8.8 |
| 2 | 0.75:1 | 1000:1 | 2 | 600 | 11.05 |
| 3 | 0.75:1 | 2000:1 | 3 | 800 | 12.55 |
| 4 | 0.80:1 | 500:1 | 2 | 800 | 11.13 |
| 5 | 0.80:1 | 1000:1 | 3 | 400 | 9.00 |
| 6 | 0.80:1 | 2000:1 | 1 | 600 | 9.44 |
| 7 | 0.85:1 | 500:1 | 3 | 600 | 8.31 |
| 8 | 0.85:1 | 1000:1 | 1 | 800 | 9.24 |
| 9 | 0.85:1 | 2000:1 | 2 | 400 | 10.46 |
| Mean 1 | 10.800 | 9.413 | 9.160 | 9.420 | - |
| Mean 2 | 9.857 | 9.763 | 10.880 | 9.600 | - |
| Mean 3 | 9.337 | 10.817 | 9.953 | 10.973 | - |
| Range | 1.463 | 1.404 | 1.720 | 1.553 | - |
| Sum of Squared Deviations | 3.302 | 3.302 | 4.446 | 4.331 | 15.28 |
| Degrees of Freedom | 2 | 2 | 2 | 2 | 8 |
| Fratio | 0.864 | 0.838 | 1.164 | 1.134 | - |
| Fcritical Value | 4.460 | 4.460 | 4.460 | 4.460 | - |
| Significance | - | - | - | - | - |
| Sample (#) | Wcore/Wwall | Wchitosan/Wsilver ion | Emulsifier Concentration (%) | Rotational Speed (rpm) | Coverage Rate (%) |
|---|---|---|---|---|---|
| 1 | 0.75:1 | 500:1 | 1 | 400 | 45 |
| 2 | 0.75:1 | 1000:1 | 2 | 600 | 44 |
| 3 | 0.75:1 | 2000:1 | 3 | 800 | 45 |
| 4 | 0.80:1 | 500:1 | 2 | 800 | 41 |
| 5 | 0.80:1 | 1000:1 | 3 | 400 | 41 |
| 6 | 0.80:1 | 2000:1 | 1 | 600 | 45 |
| 7 | 0.85:1 | 500:1 | 3 | 600 | 40 |
| 8 | 0.85:1 | 1000:1 | 1 | 800 | 44 |
| 9 | 0.85:1 | 2000:1 | 2 | 400 | 43 |
| Mean 1 | 34.667 | 32.000 | 34.667 | 33.000 | - |
| Mean 2 | 32.333 | 33.000 | 32.667 | 33.000 | - |
| Mean 3 | 32.333 | 34.333 | 32.000 | 33.333 | - |
| Range | 2.334 | 2.333 | 2.667 | 0.333 | - |
| Sum of Squared Deviations | 10.889 | 8.222 | 11.556 | 0.222 | 30.89 |
| Degrees of Freedom | 2 | 2 | 2 | 2 | 8 |
| Fratio | 1.410 | 1.065 | 1.496 | 0.029 | - |
| Fcritical Value | 4.460 | 4.460 | 4.460 | 4.460 | - |
| Significance | - | - | - | - | - |
| Sample (#) | Emulsifier Concentration (%) | Gloss of Glass Substrate (%) | Gloss of Andoung Wood (%) | ||||
|---|---|---|---|---|---|---|---|
| 20° | 60° | 85° | 20° | 60° | 85° | ||
| 10 | 0.5 | 2.03 | 6.73 | 4.00 | 4.00 | 16.63 | 15.20 |
| 11 | 1.0 | 2.23 | 7.00 | 1.87 | 1.50 | 18.17 | 5.40 |
| 12 | 1.5 | 2.77 | 9.83 | 6.40 | 4.80 | 21.20 | 27.53 |
| 13 | 2.0 | 1.77 | 14.77 | 1.90 | 5.03 | 21.23 | 23.70 |
| 14 | 2.5 | 2.93 | 10.50 | 6.97 | 3.73 | 16.90 | 18.43 |
| 15 | 3.0 | 2.30 | 7.70 | 3.10 | 2.37 | 11.03 | 9.70 |
| 16 | 4.0 | 2.00 | 6.43 | 2.30 | 4.07 | 8.27 | 10.90 |
| 17 | 5.0 | 6.10 | 5.10 | 2.10 | 5.23 | 21.03 | 29.87 |
| Substrate | Sample (#) | L | a | b | c | H | ΔE |
|---|---|---|---|---|---|---|---|
| Glass | 10 | 68.40 | 1.40 | 6.63 | 6.80 | 77.87 | 4.95 |
| 11 | 63.70 | 0.67 | 6.23 | 6.30 | 83.70 | 5.28 | |
| 12 | 66.53 | 0.70 | 6.93 | 6.97 | 83.40 | 2.61 | |
| 13 | 68.60 | 1.10 | 6.70 | 6.50 | 83.70 | 6.97 | |
| 14 | 65.23 | 0.43 | 7.43 | 7.43 | 86.33 | 3.68 | |
| 15 | 65.83 | 0.70 | 7.20 | 7.20 | 84.03 | 7.89 | |
| 16 | 66.27 | 0.77 | 6.63 | 6.67 | 83.13 | 2.91 | |
| 17 | 66.77 | 0.87 | 7.40 | 7.47 | 82.93 | 2.18 | |
| Andoung Wood | 10 | 49.93 | 12.10 | 19.90 | 23.4 | 58.53 | 24.10 |
| 11 | 47.87 | 18.9 | 21.37 | 28.53 | 48.50 | 20.30 | |
| 12 | 40.83 | 24.17 | 34.23 | 42.00 | 54.60 | 13.26 | |
| 13 | 43.30 | 19.10 | 29.90 | 32.00 | 54.83 | 18.97 | |
| 14 | 46.10 | 15.27 | 29.13 | 32.93 | 62.23 | 21.72 | |
| 15 | 45.80 | 18.33 | 26.10 | 32.00 | 54.83 | 20.88 | |
| 16 | 36.50 | 21.60 | 30.57 | 37.53 | 54.53 | 13.66 | |
| 17 | 41.90 | 23.17 | 33.97 | 41.13 | 55.57 | 14.29 |
| Sample (#) | Emulsifier Concentration (%) | Hardness (H) | Adhesion (Level) | Impact Strength (kg·cm) | Roughness (µm) |
|---|---|---|---|---|---|
| 18 | 0 | 2 | 1 | 15 | 0.38 |
| 10 | 0.5 | 3 | 3 | 27 | 3.39 |
| 11 | 1.0 | 4 | 3 | 31 | 4.49 |
| 12 | 1.5 | 4 | 2 | 25 | 3.20 |
| 13 | 2.0 | 3 | 2 | 25 | 2.89 |
| 14 | 2.5 | 3 | 2 | 24 | 2.61 |
| 15 | 3.0 | 3 | 1 | 20 | 2.55 |
| 16 | 4.0 | 3 | 1 | 20 | 2.29 |
| 17 | 5.0 | 3 | 1 | 18 | 1.74 |
Disclaimer/Publisher’s Note: The statements, opinions and data contained in all publications are solely those of the individual author(s) and contributor(s) and not of MDPI and/or the editor(s). MDPI and/or the editor(s) disclaim responsibility for any injury to people or property resulting from any ideas, methods, instructions or products referred to in the content. |
© 2023 by the authors. Licensee MDPI, Basel, Switzerland. This article is an open access article distributed under the terms and conditions of the Creative Commons Attribution (CC BY) license (https://creativecommons.org/licenses/by/4.0/).
Share and Cite
Wang, Y.; Pan, P.; Yan, X. Preparation of Chitosan-Modified Nano-Silver Solution Microcapsules and Their Effects on Antibacterial Properties of Waterborne Coatings. Coatings 2023, 13, 1433. https://doi.org/10.3390/coatings13081433
Wang Y, Pan P, Yan X. Preparation of Chitosan-Modified Nano-Silver Solution Microcapsules and Their Effects on Antibacterial Properties of Waterborne Coatings. Coatings. 2023; 13(8):1433. https://doi.org/10.3390/coatings13081433
Chicago/Turabian StyleWang, Ying, Pan Pan, and Xiaoxing Yan. 2023. "Preparation of Chitosan-Modified Nano-Silver Solution Microcapsules and Their Effects on Antibacterial Properties of Waterborne Coatings" Coatings 13, no. 8: 1433. https://doi.org/10.3390/coatings13081433
APA StyleWang, Y., Pan, P., & Yan, X. (2023). Preparation of Chitosan-Modified Nano-Silver Solution Microcapsules and Their Effects on Antibacterial Properties of Waterborne Coatings. Coatings, 13(8), 1433. https://doi.org/10.3390/coatings13081433
