Low-Threshold Optical Bistability Based on Photonic Crystal Fabry–Perot Cavity with Three-Dimensional Dirac Semimetal
Abstract
1. Introduction
2. Theoretical Model and Method
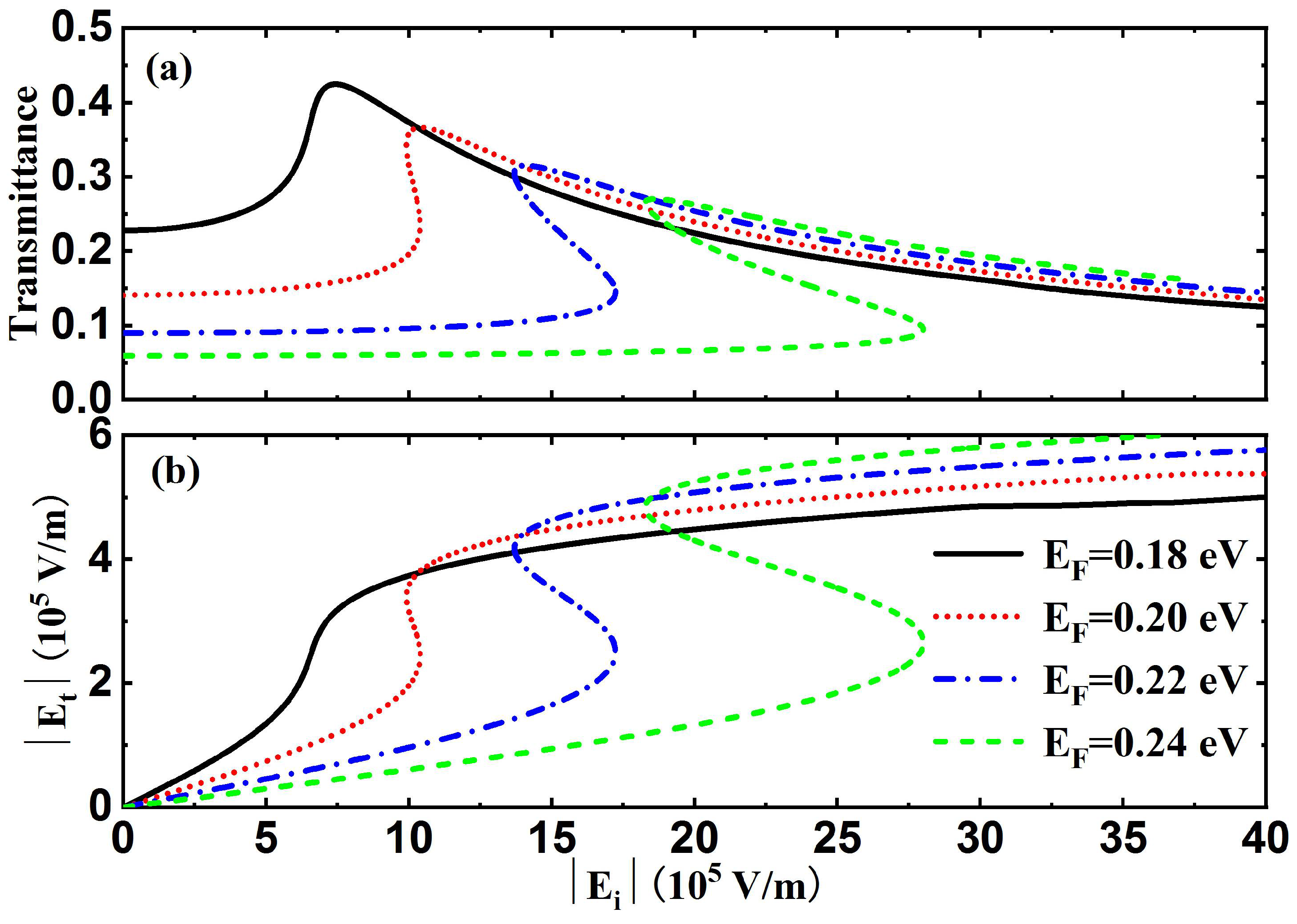
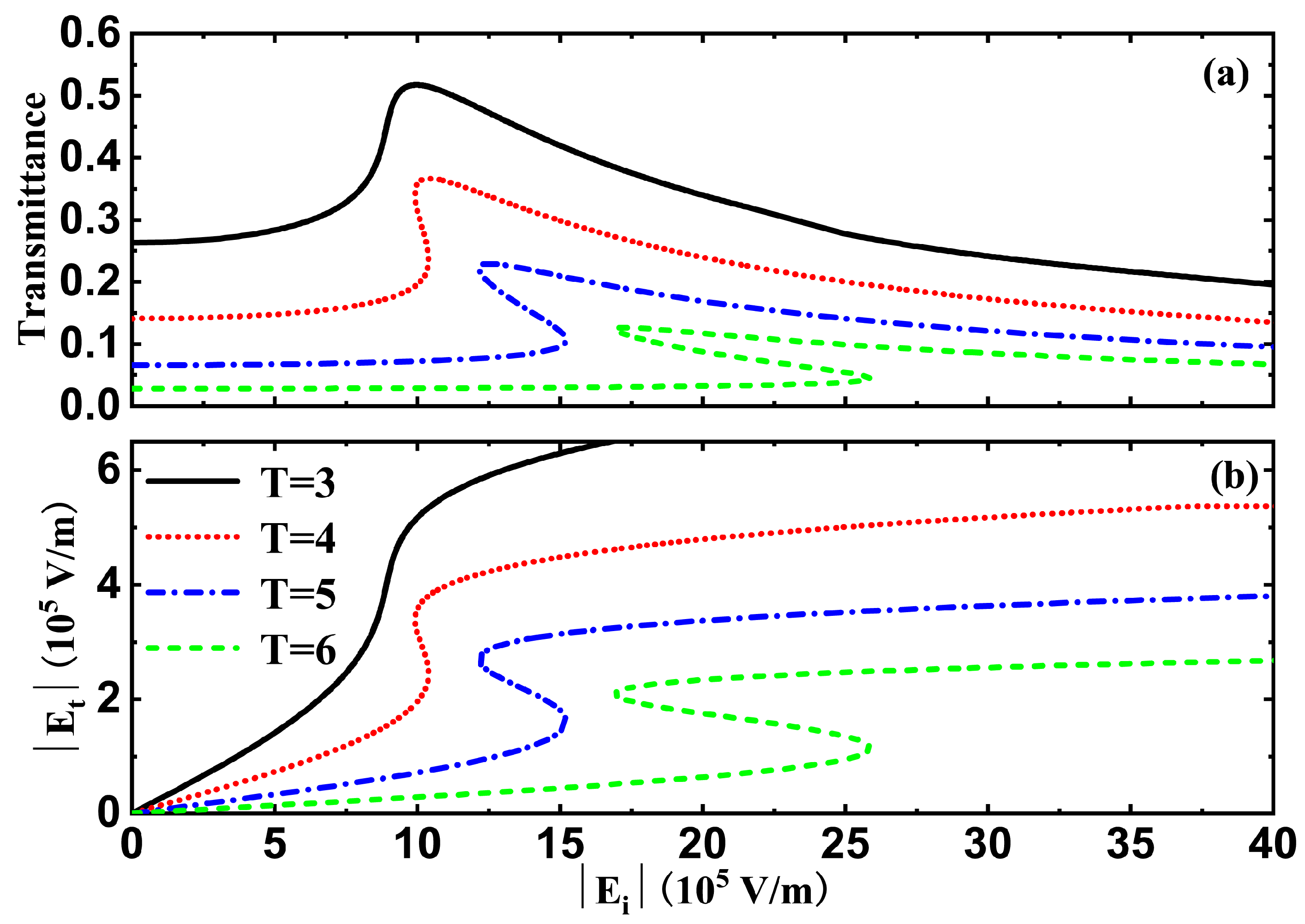
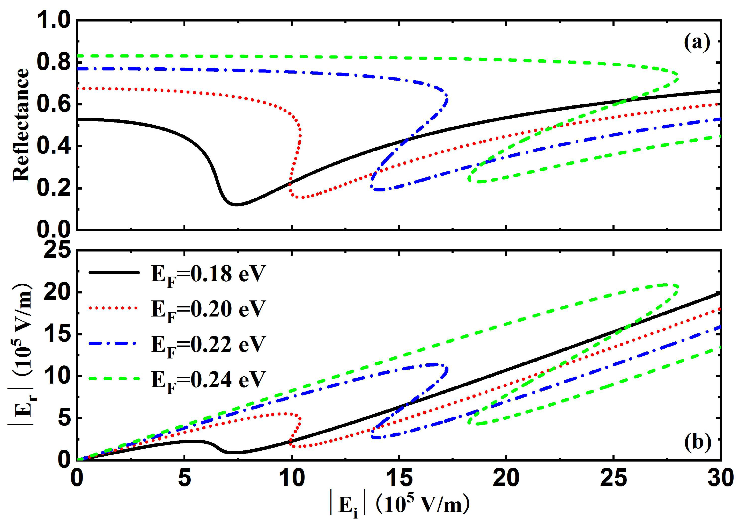
3. Results and Discussions
4. Conclusions
Author Contributions
Funding
Institutional Review Board Statement
Informed Consent Statement
Data Availability Statement
Conflicts of Interest
References
- Hu, X.; Jiang, P.; Ding, C.; Yang, H.; Gong, Q. Picosecond and low-power all-optical switching based on an organic photonic-bandgap microcavity. Nat. Photonics 2008, 2, 185–189. [Google Scholar] [CrossRef]
- Yanik, M.F. All-optical transistor action with bistable switching in a photonic crystal cross-waveguide geometry. Opt. Lett. 2003, 28, 2506–2508. [Google Scholar] [CrossRef] [PubMed]
- Shen, W.; Zhou, G.; Du, J.; Zhou, L.; Xu, K.; He, Z. High-speed silicon microring modulator at the 2 μm waveband with analysis and observation of optical bistability. Photonics Res. 2022, 10, A35–A42. [Google Scholar] [CrossRef]
- Li, Y.N.; Chen, Y.Y.; Wan, R.G.; Yan, H.W. Dynamical switching and memory via incoherent pump assisted optical bistability. Phys. Lett. A 2019, 383, 2248–2254. [Google Scholar] [CrossRef]
- Zhang, W.L.; Jiang, Y.; Zhu, Y.Y.; Wang, F.; Rao, Y.J. All-optical bistable logic control based on coupled Tamm plasmons. Opt. Lett. 2013, 38, 4092–4095. [Google Scholar] [CrossRef] [PubMed]
- Masaya, N.; Akihiko, S.; Satoshi, M.; Goh, K.; Eiichi, K.; Takasumi, T. Optical bistable switching action of Si high-Q photonic-crystal nanocavities. Opt. Express 2005, 13, 2678–2687. [Google Scholar]
- Maksimov, D.N.; Bogdanov, A.A.; Bulgakov, E.N. Optical bistability with bound states in the continuum in dielectric gratings. Phys. Rev. A 2020, 102, 033511. [Google Scholar] [CrossRef]
- Chen, P.Y.; Farhat, M.; Alu, A. Bistable and self-tunable negative-index metamaterial at optical frequencies. Phys. Rev. Lett. 2011, 106, 105503. [Google Scholar] [CrossRef]
- Xing, P.; Ma, D.; Kimerling, L.C.; Agarwal, A.M.; Tan, D.T.H. High efficiency four wave mixing and optical bistability in amorphous silicon carbide ring resonators. APL Photonics 2020, 5, 076110. [Google Scholar] [CrossRef]
- Sakoda, K. Optical Properties of Photonic Crystals; Springer: Berlin, Germany, 2005. [Google Scholar]
- Zhang, Y.; Zhao, Y.; Lv, R. A review for optical sensors based on photonic crystal cavities. Sensor Actuat. A Phys. 2015, 233, 374–389. [Google Scholar] [CrossRef]
- Chen, X.; Chardin, C.; Makles, K.; Car, C.; Chua, S.; Braive, R.; Robert-Philip, I.; Briant, T.; Cohadon, P.F.; Heidmann, A. High-finesse Fabry-Perot cavities with bidimensional Si3N4 photonic-crystal slabs. Light-Sci. Appl. 2017, 6, 16190. [Google Scholar] [CrossRef] [PubMed]
- Liu, J.T.; Liu, N.H.; Li, J.; Li, X.J.; Huang, J.H. Enhanced absorption of graphene with one-dimensional photonic crystal. Appl. Phys. Lett. 2012, 101, 666. [Google Scholar] [CrossRef]
- Qi, D.; Wang, X.; Cheng, Y.; Chen, F.; Liu, L.; Gong, R. Quasi-periodic photonic crystal Fabry-Perot optical filter based on Si/SiO2 for visible-laser spectral selectivity. J. Phys. D Appl. Phys. 2018, 51, 225103. [Google Scholar] [CrossRef]
- Yacomotti, A.M.; Monnier, P.; Raineri, F.; Ben Bakir, B.; Seassal, C.; Raj, R.; Levenson, J.A. Fast thermo-optical excitability in a two-dimensional photonic crystal. Phys. Rev. Lett. 2006, 97, 143904. [Google Scholar] [CrossRef] [PubMed]
- Parandin, F.; Bagheri, N. Design of a 2× 1 multiplexer with a ring resonator based on 2D photonic crystals. Results Opt. 2023, 11, 100375. [Google Scholar] [CrossRef]
- Seraj, Z.; Soroosh, M.; Alaei-Sheini, N. Ultra-compact ultra-fast 1-bit comparator based on a two-dimensional nonlinear photonic crystal structure. Appl. Opt. 2020, 59, 811–816. [Google Scholar] [CrossRef]
- Yacomotti, A.M.; Raineri, F.; Vecchi, G.; Monnier, P.; Raj, R.; Levenson, A.; Ben Bakir, B.; Seassal, C.; Letartre, X.; Viktorovitch, P.; et al. All-optical bistable band-edge Bloch modes in a two-dimensional photonic crystal. Appl. Phys. Lett. 2006, 88, 231107. [Google Scholar] [CrossRef]
- Azadpour, F.; Bahari, A. All-optical bistability based on cavity resonances in nonlinear photonic crystal slab-reflector-based Fabry–Perot cavity. Opt. Commun. 2019, 437, 297–302. [Google Scholar] [CrossRef]
- Donnelly, C.; Tan, D.T. Ultra-large nonlinear parameter in graphene-silicon waveguide structures. Opt. Express 2014, 22, 22820–22830. [Google Scholar] [CrossRef]
- Falkovsky, L.A. Optical properties of graphene. J. Phys. Conf. Ser. 2008, 129, 012004. [Google Scholar] [CrossRef]
- Gullans, M.; Chang, D.E.; Koppens, F.H.L.; de Abajo, F.G.; Lukin, M.D. Single-photon nonlinear optics with graphene plasmons. Phys. Rev. Lett. 2013, 111, 247401. [Google Scholar] [CrossRef] [PubMed]
- Zhang, H.; Virally, S.; Bao, Q.; Ping, L.K.; Massar, S.; Godbout, N.; Kockaert, P. Z-scan measurement of the nonlinear refractive index of graphene. Opt. Lett. 2012, 37, 1856–1858. [Google Scholar] [CrossRef]
- Jiang, T.; Kravtsov, V.; Tokman, M.; Belyanin, A.; Raschke, M.B. Ultrafast coherent nonlinear nanooptics and nanoimaging of graphene. Nat. Nanotechnol. 2019, 14, 838–843. [Google Scholar] [CrossRef] [PubMed]
- Hendry, E.; Hale, P.J.; Moger, J.; Savchenko, A.K.; Mikhailov, S.A. Coherent nonlinear optical response of graphene. Phys. Rev. Lett. 2010, 105, 097401. [Google Scholar] [CrossRef]
- Long, X.; Bao, Y.W.; Yuan, H.X.; Zhang, H.Y.; Dai, X.Y.; Li, Z.F.; Jiang, L.Y.; Xiang, Y.J. Low threshold optical bistability based on topological edge state in photonic crystal heterostructure with Dirac semimetal. Opt. Express 2022, 30, 20847–20858. [Google Scholar] [CrossRef]
- Wan, X.; Turner, A.M.; Vishwanath, A.; Savrasov, S.Y. Topological semimetal and Fermi-arc surface states in the electronic structure of pyrochlore iridates. Phy. Rev. B 2011, 83, 205101. [Google Scholar] [CrossRef]
- Orlita, M.; Basko, D.M.; Zholudev, M.S.; Teppe, F.; Knap, W.; Gavrilenko, V.I.; Mikhailov, N.N.; Dvoretskii, S.A.; Neugebauer, P.; Faugeras, C.; et al. Observation of three-dimensional massless Kane fermions in a zinc-blende crystal. Nature 2014, 10, 233–238. [Google Scholar] [CrossRef]
- Young, S.M.; Zaheer, S.; Teo, J.C.; Kane, C.L.; Mele, E.J.; Rappe, A.M. Dirac semimetal in three dimensions. Phys. Rev. Lett. 2012, 108, 140405. [Google Scholar] [CrossRef]
- Wang, Z.J.; Sun, Y.; Chen, X.Q.; Cesare, F.; Xu, G.; Weng, H.M.; Dai, X.; Fang, Z. Dirac semimetal and topological phase transitions in A3 Bi (A = Na, K, Rb). Phys. Rev. B 2012, 85, 195320. [Google Scholar] [CrossRef]
- Wang, Z.; Weng, H.; Wu, Q.; Dai, X.; Fang, Z. Three-dimensional Dirac semimetal and quantum transport in Cd3As2. Phys. Rev. B 2013, 88, 125427. [Google Scholar] [CrossRef]
- Li, Q.; Kharzeev, D.E.; Zhang, C.; Huang, Y.; Pletikosić, I.; Fedorov, A.V.; Zhong, R.D.; Schneeloch, J.A.; Gu, G.D.; Valla, T. Chiral magnetic effect in ZrTe5. Nat. Phys. 2016, 12, 550–554. [Google Scholar] [CrossRef]
- Zhang, C.L.; Xu, S.Y.; Belopolski, I.; Yuan, Z.J.; Lin, Z.Q.; Tong, B.B.; Bian, G.; Alidoust, N.; Lee, C.C.; Huang, S.M.; et al. Signatures of the Adler–Bell–Jackiw chiral anomaly in a Weyl fermion semimetal. Nat. Commun. 2016, 7, 10735. [Google Scholar] [CrossRef] [PubMed]
- Shekhar, C.; Nayak, A.K.; Sun, Y.; Schmidt, M.; Nicklas, M.; Leermakers, I.; Zeitler, U.; Skourski, Y.; Wosnitza, J.; Liu, Z.; et al. Extremely large magnetoresistance and ultrahigh mobility in the topological Weyl semimetal candidate NbP. Nat. Phys. 2015, 11, 645–649. [Google Scholar] [CrossRef]
- Narayanan, A.; Watson, M.D.; Blake, S.F.; Bruyant, N.; Drigo, L.; Chen, Y.L.; Prabhakaran, D.; Yan, B.; Felser, C.; Kong, T.; et al. Linear magnetoresistance caused by mobility fluctuations in n-doped Cd3As2. Phys. Rev. Lett. 2015, 114, 117201. [Google Scholar] [CrossRef] [PubMed]
- He, L.P.; Hong, X.C.; Dong, J.K.; Pan, J.; Zhang, Z.; Zhang, J.; Li, S.Y. Quantum transport evidence for the three-dimensional Dirac semimetal phase in Cd3As2. Phys. Rev. Lett. 2014, 113, 246402. [Google Scholar] [CrossRef]
- Politano, A.; Chiarello, G.; Ghosh, B.; Sadhukhan, K.; Kuo, C.N.; Lue, C.S.; Vittorio, P.; Amit, A. 3D Dirac plasmons in the type-II Dirac semimetal PtTe2. Phys. Rev. Lett. 2018, 121, 086804. [Google Scholar] [CrossRef]
- Liu, Z.K.; Zhou, B.; Zhang, Y.; Wang, Z.J.; Weng, H.M.; Prabhakaran, D.; Mo, S.-K.; Shen, Z.X.; Fang, Z.; Dai, X.; et al. Discovery of a three-dimensional topological Dirac semimetal, Na3Bi. Science 2014, 343, 864–867. [Google Scholar] [CrossRef]
- Chen, R.Y.; Gu, G.D.; Zhang, S.J.; Schneeloch, J.A.; Zhang, C.; Li, Q.; Wang, N.L. Optical spectroscopy study of three dimensional Dirac semimetal ZrTe5. Phys. Rev. B 2015, 92, 075107. [Google Scholar] [CrossRef]
- Liang, T.; Gibson, Q.; Ali, M.N.; Liu, M.; Cava, R.J.; Ong, N.P. Ultrahigh mobility and giant magnetoresistance in the Dirac semimetal Cd3As2. Nat. Mater. 2015, 14, 280–284. [Google Scholar] [CrossRef]
- Veldhorst, M.; Snelder, M.; Hoek, M.; Gang, T.; Guduru, V.K.; Wang, X.L.; Zeitler, U.; van der Wiel, W.G.; Golubov, A.A.; Hilgenkamp, H.; et al. Josephson supercurrent through a topological insulator surface state. Nat. Mater. 2012, 11, 417–421. [Google Scholar] [CrossRef]
- Neupane, M.; Xu, S.-Y.; Sankar, R.; Alidoust, N.; Bian, G.; Liu, C.; Belopolski, I.; Chang, T.-R.; Jeng, H.-T.; Lin, H.; et al. Observation of a three-dimensional topological Dirac semimetal phase in high-mobility Cd3As2. Nature 2014, 5, 3786. [Google Scholar] [CrossRef] [PubMed]
- Wang, T.L.; Cao, M.Y.; Zhang, Y.P.; Zhang, H.Y. Tunable polarization-nonsensitive electromagnetically induced transparency in Dirac semimetal metamaterial at terahertz frequencies. Opt. Mater. Express 2019, 9, 1562–1576. [Google Scholar] [CrossRef]
- Ooi, K.J.; Ang, Y.S.; Zhai, Q.; Tan, D.T.; Ang, L.K.; Ong, C.K. Nonlinear plasmonics of three-dimensional Dirac semimetals. APL Photonics 2019, 4, 034402. [Google Scholar] [CrossRef]
- Jiang, L.Y.; Guo, J.; Wu, L.M.; Dai, X.Y.; Xiang, Y.J. Manipulating the optical bistability at terahertz frequency in the Fabry-Perot cavity with graphene. Opt. Express 2015, 23, 31181–31191. [Google Scholar] [CrossRef] [PubMed]







Disclaimer/Publisher’s Note: The statements, opinions and data contained in all publications are solely those of the individual author(s) and contributor(s) and not of MDPI and/or the editor(s). MDPI and/or the editor(s) disclaim responsibility for any injury to people or property resulting from any ideas, methods, instructions or products referred to in the content. |
© 2023 by the authors. Licensee MDPI, Basel, Switzerland. This article is an open access article distributed under the terms and conditions of the Creative Commons Attribution (CC BY) license (https://creativecommons.org/licenses/by/4.0/).
Share and Cite
Li, F.; Xu, J.; Li, J.; Peng, Y.; He, M. Low-Threshold Optical Bistability Based on Photonic Crystal Fabry–Perot Cavity with Three-Dimensional Dirac Semimetal. Coatings 2023, 13, 936. https://doi.org/10.3390/coatings13050936
Li F, Xu J, Li J, Peng Y, He M. Low-Threshold Optical Bistability Based on Photonic Crystal Fabry–Perot Cavity with Three-Dimensional Dirac Semimetal. Coatings. 2023; 13(5):936. https://doi.org/10.3390/coatings13050936
Chicago/Turabian StyleLi, Fengyu, Jiao Xu, Jianbo Li, Yuxiang Peng, and Mengdong He. 2023. "Low-Threshold Optical Bistability Based on Photonic Crystal Fabry–Perot Cavity with Three-Dimensional Dirac Semimetal" Coatings 13, no. 5: 936. https://doi.org/10.3390/coatings13050936
APA StyleLi, F., Xu, J., Li, J., Peng, Y., & He, M. (2023). Low-Threshold Optical Bistability Based on Photonic Crystal Fabry–Perot Cavity with Three-Dimensional Dirac Semimetal. Coatings, 13(5), 936. https://doi.org/10.3390/coatings13050936

