Tunable Low-Threshold Optical Bistability in Optical Tamm Plasmon Superlattices
Abstract
1. Introduction
2. Theoretical Model and Method
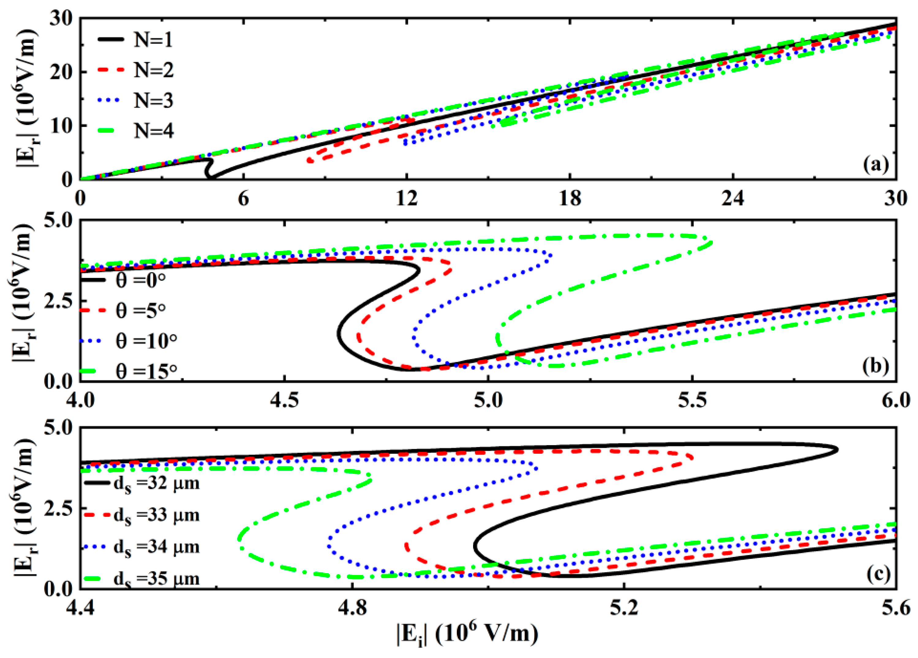
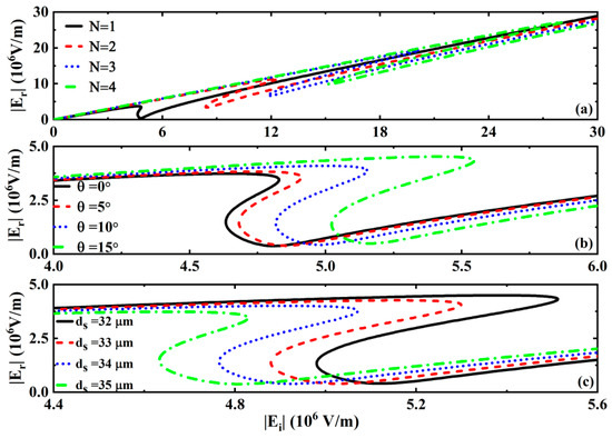
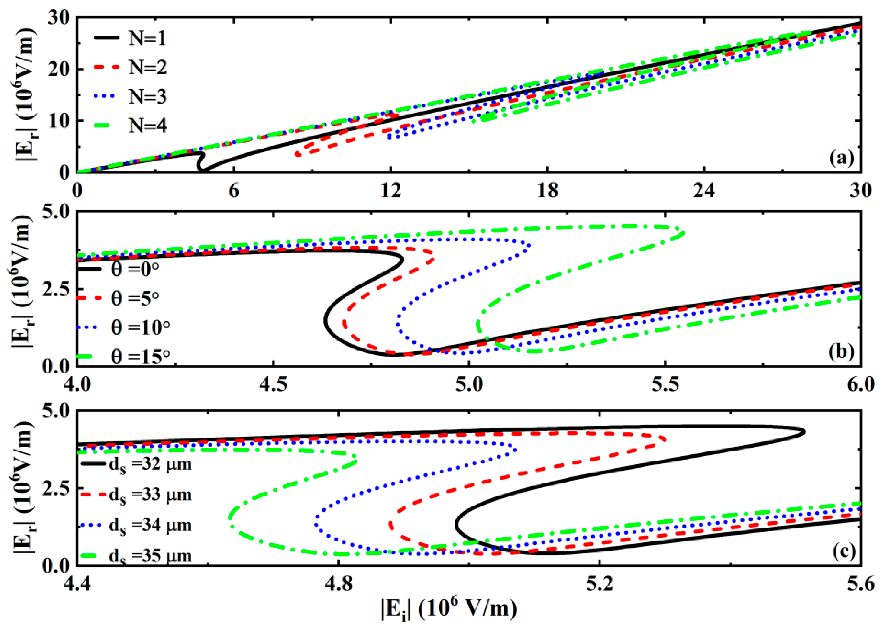
3. Results and Discussions
4. Conclusions
Author Contributions
Funding
Institutional Review Board Statement
Informed Consent Statement
Data Availability Statement
Conflicts of Interest
References
- Gibbs, H.M. Optical Bistability: Controlling Light with Light; Academic Press: Orlando, FL, USA, 1985. [Google Scholar]
- Abraham, E.; Smith, S.D. Optical bistability and related devices. Rep. Prog. Phys. 1982, 45, 815. [Google Scholar] [CrossRef]
- Hu, Y.Z.; Tong, M.Y.; Xu, Z.J.; Cheng, X.G.; Jiang, T. Spatiotemporal Terahertz Metasurfaces for Ultrafast All-Optical Switching with Electric-Triggered Bistability. Laser. Photonics. Rev. 2021, 15, 2000456. [Google Scholar] [CrossRef]
- Peng, Y.X.; Xu, J.; Dong, H.; Dai, X.Y.; Jiang, L.Y.; Qian, S.Y.; Jiang, J. Graphene-based low-threshold and tunable optical bistability in one-dimensional photonic crystal Fano resonance heterostructure at optical communication band. Opt. Exp. 2020, 28, 34948–34959. [Google Scholar] [CrossRef] [PubMed]
- Nagasaki, Y.; Gholipour, B.; Ou, J.Y.; Tsuruta, M.; Plum, E.; Macdonald, K.F.; Takahara, J.; Zheludev, N.I. Optical bistability in shape-memory nanowire metamaterial array. Appl. Phys. Lett. 2018, 113, 21105. [Google Scholar] [CrossRef]
- Gothe, H.; Valenzuela, T.; Cristiani, M.; Eschner, J. Optical bistability and nonlinear dynamics by saturation of cold Yb atoms in a cavity. Phys. Rev. A 2019, 99, 13849. [Google Scholar] [CrossRef]
- Xu, J.; Peng, Y.X.; Wang, S.P.; Jiang, J.; Qian, S.; Jiang, L. Optical bistability modulation based on the photonic crystal Fabry–Perot cavity with graphene. Opt. Lett. 2022, 47, 2125–2128. [Google Scholar] [CrossRef]
- Maksimov, D.N.; Bogdanov, A.A.; Bulgakov, E.N. Optical bistability with bound states in the continuum in dielectric gratings. Phys. Rev. A 2020, 102, 33511. [Google Scholar] [CrossRef]
- Kim, M.; Kim, S.; Kim, S. Optical bistability based on hyperbolic metamaterials. Opt. Exp. 2018, 26, 11620–11632. [Google Scholar] [CrossRef]
- Chen, X.; Zhang, J.; Wen, C.; Liu, K.; Zhu, Z.H.; Qin, S.Q.; Yuan, X. Optical nonlinearity and non-reciprocal transmission of graphene integrated metasurface. Carbon 2021, 173, 126–134. [Google Scholar] [CrossRef]
- Peng, Y.; Xu, J.; Wang, S.; Dong, H.; Xiang, Y.; Dai, X.; Jiang, L.Y. Low-threshold and tunable optical bistability based on topological edge state in one-dimensional photonic crystal heterostructure with graphene. IEEE Access 2020, 8, 196386–196393. [Google Scholar] [CrossRef]
- Geim, A.K.; Novoselov, K.S. The rise of graphene. Nat. Mater. 2007, 6, 183–191. [Google Scholar] [CrossRef] [PubMed]
- Neto, A.C.; Guinea, H.F.; Peres, N.M.R.; Novoselov, K.S.; Geim, A.K. The electronic properties of graphene. Rev. Mod. Phys. 2009, 81, 109–162. [Google Scholar] [CrossRef]
- Cheng, J.L.; Vermeulen, N.; Sipe, J.E. Third order optical nonlinearity of graphene. New J. Phys. 2014, 16, 53014. [Google Scholar] [CrossRef]
- Novoselov, K.S.; Fal’Ko, V.I.; Colombo, L.; Gellert, P.R.; Schwab, M.G.; Kim, K. A roadmap for graphene. Nature 2012, 490, 192–200. [Google Scholar] [CrossRef] [PubMed]
- Guo, J.; Jiang, L.; Jia, Y.; Dai, X.; Xiang, Y.; Fan, D. Low threshold optical bistability in onedimensional gratings based on graphene plasmonics. Opt. Exp. 2017, 25, 5972. [Google Scholar] [CrossRef]
- Dai, X.Y.; Jiang, L.Y.; Xiang, Y.J. Low threshold optical bistability at terahertz frequencies with graphene surface plasmons. Sci. Rep. 2015, 5, 12171. [Google Scholar] [CrossRef] [PubMed]
- Gan, X.T.; Wang, Y.D.; Zhang, F.L. Graphene-controlled fiber Bragg grating and enabled optical bistability. Opt. Lett. 2016, 41, 603–606. [Google Scholar] [CrossRef] [PubMed]
- Tamm, I. Über eine mögliche Art der Elektronenbindung an Kristalloberflächen. Zeitschrift. Für. Physik. 1932, 76, 849–850. [Google Scholar] [CrossRef]
- Guo, J.; Sun, Y.; Zhang, Y.; Li, H.; Jiang, H.; Chen, H. Experimental investigation of interface states in photonic crystal heterostructures. Phys. Rev. E. 2008, 78, 026607. [Google Scholar] [CrossRef]
- Kaliteevski, M.; Iorsh, I.; Brand, S.; Abram, R.A.; Chamberlain, J.M.; Kavokin, A.V. Tamm plasmon-polaritons: Possible electromagnetic states at the interface of a metal and a dielectric Bragg mirror. Phys. Rev. B. 2007, 76, 165415. [Google Scholar] [CrossRef]
- Sasin, M.E.; Seisyan, R.P.; Kalitteevski, M.A.; Brand, S.; Abram, R.A.; Chamberlain, J.M.; Egorov, A.Y.; Vasil’ev, A.P.; Mikhrin, V.S.; Kavokin, A.V. Tamm plasmon polaritons: Slow and spatially compact light. Appl. Phys. Lett. 2008, 92, 1112. [Google Scholar] [CrossRef]
- Kavokin, A.V.; Shelykh, I.A.; Malpuech, G. Lossless interface modes at the boundary between two periodic dielectric structures. Phys. Rev. B 2005, 72, 3102. [Google Scholar] [CrossRef]
- Wu, J.; Liang, Y.; Guo, J.; Jiang, L.; Dai, X.; Xiang, Y. Tunable and Multichannel Terahertz Perfect Absorber Due to Tamm Plasmons with Topological Insulators. Plasmonics 2020, 15, 83–91. [Google Scholar] [CrossRef]
- Zhang, W.L.; Siu, F.Y. Bistable switching using an optical Tamm cavity with a Kerr medium. Opt. Commun. 2010, 283, 2622–2626. [Google Scholar] [CrossRef]
- Khanikaev, A.B.; Baryshev, A.V.; Inoue, M.; Kivshar, Y.S. One-way electromagnetic Tamm states in magnetophotonic structures. Appl. Phys. Lett. 2009, 95, 11101. [Google Scholar] [CrossRef]
- Wang, X.; Jiang, X.; You, Q.; Guo, J.; Dai, X.; Xiang, Y. Tunable and multichannel terahertz perfect absorber due to Tamm surface plasmons with graphene. Photonics Res. 2017, 5, 536–542. [Google Scholar] [CrossRef]
- Zhang, W.L.; Jiang, Y.; Zhu, Y.Y.; Wang, F.; Rao, Y.J. All-optical bistable logic control based on coupled Tamm plasmons. Opt. Lett. 2013, 38, 4092–4095. [Google Scholar] [CrossRef]
- Lu, G.; Yu, K.; Wen, Z.; Chen, J. Semiconducting graphene: Converting graphene from semimetal to semiconductor. Nanoscale 2013, 5, 1353–1368. [Google Scholar] [CrossRef]
- Ohno, H.; Mendez, E.E.; Alexandrou, A.; Hong, J.M. Tamm states in superlattices. Surf. Sci. 1992, 267, 161–165. [Google Scholar] [CrossRef]
- Qiao, T.; Hu, M.; Jiang, X.; Wang, Q.; Zhu, S.; Liu, H. Generation and tunability of supermodes in tamm plasmon topological superlattices. ACS Photonics 2021, 8, 2095–2102. [Google Scholar] [CrossRef]
- Henriques, J.C.G.; Rappoport, T.G.; Bludov, Y.V.; Vasilevskiy, M.I.; Peres, N.M.R. Topological photonic Tamm states and the Su-Schrieffer-Heeger model. Phys. Rev. A 2020, 101, 43811. [Google Scholar] [CrossRef]
- Wang, L.; Cai, W.; Bie, M.; Zhang, X.; Xu, J. Zak phase and topological plasmonic Tamm states in one-dimensional plasmonic crystals. Opt. Express 2018, 26, 28963–28975. [Google Scholar] [CrossRef] [PubMed]
- Jiang, L.; Tang, J.; Xu, J.; Zheng, Z.; Dong, J.; Guo, J.; Xiang, Y. Graphene Tamm plasmons-induced low-threshold optical bistability at terahertz frequencies. Opt. Mate. Exp. 2019, 9, 139. [Google Scholar] [CrossRef]
- Bludov, Y.V.; Ferreira, A.; Peres, N.; Vasilevskiy, M.I. A primer on surface plasmon-polaritons in graphene. Int. J. Mod. Phys. B 2013, 27, 1341001. [Google Scholar] [CrossRef]
- Gorbach., A.V. Nonlinear graphene plasmonics: Amplitude equation for surface plasmons. Phys. Rev. A 2013, 87, 13830. [Google Scholar] [CrossRef]
- Peres NM, R.; Bludov, Y.V.; Santos, J.E.; Jauho, A.; Vasilevskiy, M.I. Optical bistability of graphene in the terahertz range. Phys. Rev. B 2014, 90, 125425. [Google Scholar] [CrossRef]





Disclaimer/Publisher’s Note: The statements, opinions and data contained in all publications are solely those of the individual author(s) and contributor(s) and not of MDPI and/or the editor(s). MDPI and/or the editor(s) disclaim responsibility for any injury to people or property resulting from any ideas, methods, instructions or products referred to in the content. |
© 2023 by the authors. Licensee MDPI, Basel, Switzerland. This article is an open access article distributed under the terms and conditions of the Creative Commons Attribution (CC BY) license (https://creativecommons.org/licenses/by/4.0/).
Share and Cite
Li, F.; Xu, J.; Li, W.; Li, J.; Peng, Y.; He, M. Tunable Low-Threshold Optical Bistability in Optical Tamm Plasmon Superlattices. Coatings 2023, 13, 938. https://doi.org/10.3390/coatings13050938
Li F, Xu J, Li W, Li J, Peng Y, He M. Tunable Low-Threshold Optical Bistability in Optical Tamm Plasmon Superlattices. Coatings. 2023; 13(5):938. https://doi.org/10.3390/coatings13050938
Chicago/Turabian StyleLi, Fengyu, Jiao Xu, Wei Li, Jianbo Li, Yuxiang Peng, and Mengdong He. 2023. "Tunable Low-Threshold Optical Bistability in Optical Tamm Plasmon Superlattices" Coatings 13, no. 5: 938. https://doi.org/10.3390/coatings13050938
APA StyleLi, F., Xu, J., Li, W., Li, J., Peng, Y., & He, M. (2023). Tunable Low-Threshold Optical Bistability in Optical Tamm Plasmon Superlattices. Coatings, 13(5), 938. https://doi.org/10.3390/coatings13050938

