Next Article in Journal
Development of an Improved YOLOv7-Based Model for Detecting Defects on Strip Steel Surfaces
Next Article in Special Issue
Improvement of Piezoelectricity of (Bi0.5Na0.5)0.94Ba0.06TiO3 Ceramics Modified by a Combination of Porosity and Sm3+ Doping
Previous Article in Journal
Effect of Grain Sizes on the Friction and Wear Behavior of Dual-Phase Microstructures with Similar Macrohardness and Composition
Previous Article in Special Issue
Metastable Phase Formation, Microstructure, and Dielectric Properties in Plasma-Sprayed Alumina Ceramic Coatings
 
 
Font Type:
Arial Georgia Verdana
Font Size:
Aa Aa Aa
Line Spacing:
Column Width:
Background:
Article

Enhanced Energy Storage Performance of AgNbO3:xCeO2 by Synergistic Strategies of Tolerance Factor and Density Regulations

1
Key Laboratory of Analytical Science and Technology of Hebei Province, College of Chemistry and Materials Science, Hebei University, Baoding 071002, China
2
Department, Baoding Green Yijia Environmental Protection Technology Ltd., Baoding 071002, China
*
Authors to whom correspondence should be addressed.
Coatings 2023, 13(3), 534; https://doi.org/10.3390/coatings13030534
Submission received: 8 February 2023 / Revised: 27 February 2023 / Accepted: 27 February 2023 / Published: 28 February 2023
(This article belongs to the Special Issue High-Performance Dielectric Ceramic for Energy Storage Capacitors)

Abstract

AgNbO3-based ceramics have been widely studied as ideal lead-free materials. Herein, AgNbO3:xCeO2 (x = 0, 1, 2 mol%) ceramics were successfully prepared by the conventional solid-state reaction method. The optimization of energy storage properties is ascribed to the enhanced antiferroelectric (AFE) stability and the increased breakdown strength (Eb). The reduction of the tolerance factor leads to the enhancement of AFE stability. In addition, the enhancement of Eb is due to the increase of actual density, which is achieved through the regulation of CeO2 amount and grinding procedure in the experimental process. A high recoverable energy density (Wrec) of 5.04 J/cm3 and an energy efficiency (η) of 46.2% were achieved in AgNbO3:0.01CeO2 ceramics under an applied electric field up to 390 kV/cm. A higher η of 55.4% was obtained in AgNbO3:0.02CeO2 components. This research provides guidance for finding ceramic materials with comprehensive energy storage properties.

1. Introduction

Subject to the energy crisis and environmental problems caused by economic development, people have begun to vigorously develop sustainable energy [1,2]. Among various measures, addressing the issue of electrical energy storage is the key to efficiently using energy. Batteries, electrochemical capacitors, and dielectric capacitors are commonly used energy storage devices today [3,4,5]. Compared with other devices, dielectric capacitors have the characteristics of higher power density, fast charge and discharge capability, and long cycle life. However, the low energy density and energy efficiency of dielectric ceramics limit its application in many fields [5,6,7].
Theoretically, the energy storage performance can be calculated for dielectrics by the following equations [8].
W = 0 P max E d P
W rec = P max P r E d P
η = W rec W × 100 % = W rec W rec + W loss × 100 %
where W, Wrec, Wloss, η, Pr, Pmax, and E represent energy storage density, recoverable energy density, energy loss density, energy storage efficiency, remanent polarization, maximum polarization, and applied electric field, respectively,. It is clear that the key to obtaining dielectric energy storage materials with high performance is to achieve high Pmax, low Pr, and high dielectric breakdown strength (Eb). Compared with linear dielectric materials and ferroelectric (FE) materials, antiferroelectric (AFE) materials with relatively high energy storage density have become a research hotspot in recent years [9,10,11]. The earliest discovered AFE material was lead zirconate (PbZrO3), followed by the discovery of Pb(ZrxTi1−x)O3 (PZT) materials with specific compositions and PbHfO3-based ceramics. Although lead-based materials currently provide Wrec up to 11 J/cm3, the use of lead poses an environmental hazard. Hence lead-based materials are gradually abandoned [12,13]. Silver niobate AFE material is expected to become a strong competitor to replace lead-based materials. AgNbO3 is a material with abundant phase transitions at elevated temperatures, including M1, M2, M3, O, T, and C phases. Among them, the O (orthorhombic), T (tetragonal), and C (cubic) phases are paraelectric. M2 and M3 are antiferroelectric phases, and M1 is a ferrielectric phase. The phase transition between M phases is mainly related to cation displacement, while the transition among M, O, T, and C phases is related to oxygen octahedral tilting [14,15].
In recent years, AgNbO3 (AN) based ceramic capacitors have been extensively studied due to their high Pmax and greenness. However, many properties of pure AgNbO3 limit its energy storage density and energy storage efficiencies, such as weak ferroelectricity at room temperature, low FE-AFE phase transition electric field (EA), large hysteresis (ΔE), and low breakdown strength (Eb) [16,17]. Moreover, large Pr will also limit its energy storage efficiency. Thus, it is of vital importance to stabilize the antiferroelectric (AFE) phase of AgNbO3. Goldschmidt tolerance factor (t) is a key index to assess the phase stability of the perovskite structure.
t = R A + R B / 2 R B + R O
where RA, RB, and RO represent the radii of A-site ions, B-site ions, and oxygen ions, respectively. When t > 1, the ferroelectric phase is more stable, while when t < 1, the antiferroelectric phase is more stable [18,19,20,21]. In order to obtain a decreased t, doping modification is a common method. The introduction of smaller radius ions at the A-site and larger radius ions at the B-site can effectively reduce t, thereby enhancing the AFE stability. Song et al. [18] introduced BiMnO3 into AgNbO3 and obtained a Wrec of 2.4 J/cm3 under the influence of enhanced AFE stability. Han et al. [19] doped Sr2+ into AgNbO3 and obtained a Wrec of 2.9 J/cm3 at a low applied electric field of 190 kV/cm. As an aliovalent doping ion, it will induce A-site vacancies, and its presence will refine the grain size to achieve a higher breakdown strength. Later, the doping of lanthanide elements such as Gd3+ [20] and Sm3+ [21] further increased the breakdown strength. In addition, the phase transition field of EA enhances with the increase of doping concentration owing to the enhanced AFE stability. The combination of the two factors resulted in Wrec of 4.5 J/cm3 and 5.2 J/cm3, respectively. In addition to adjusting the tolerance factor, Zhao et al. [8] reported the reduction of B-site cation polarizability also contributes to enhanced AFE stability. In the same year, they prepared AgNbO3-0.1wt%WO3 and achieved the Wrec of 3.3 J/cm3 [22]. The co-doping of A-site ions and B-site ions can also effectively optimize energy storage performance. Shang et al. [23] constructed Ag0.97Nd0.015Nb0.985Hf0.015O3 ceramic and realized a Wrec of 3.94 J/cm3 under 235 kV/cm. Han et al. [24] introduced Sm3+ (A-site) and Ta5+ (B-site) into AgNbO3 simultaneously and obtained a Wrec of 4.87 J/cm3.
Defect engineering is thought to be an effective method to optimize energy storage performance. The enhanced properties can be attributed to lattice distortion caused by doping ions with unequal radii into the materials. Zhang et al. [25] doped Sr2+ into (Bi0.5Na0.5)TiO3 based on A-site vacancy engineering and introduced Sr0.85Bi0.1ZrO3 (SBZ) into (Bi0.5Na0.5)0.7Sr0.3TiO3 (BNST). The presence of Sr2+ effectively suppresses Pr and significantly strengthens relaxation characteristics, and thus a high Wrec of 3.53 J/cm3 and a high η of 87.15% was obtained in the ceramic. Aliovalent A-site engineering has also been widely applied in AgNbO3-based ceramics. Relevant studies have shown that A-site vacancies due to the aliovalent doping are conducive to enhancing polarization. Luo et al. [26] introduced Ca2+ into AgNbO3 and found that Ca2+ doping can produce A-site vacancy. The polarizability and dielectric constant increase monotonically with increasing Ca2+ from 1 mol% to 4 mol%. This is similar to “soft” doping in ferroelectric materials. The Pmax was enhanced to 39.6 μC/cm2, and a Wrec of 3.55 J/cm3 under 220 kV/cm was obtained in Ag0.92Ca0.04NbO3 ceramics. In addition, they reached the same conclusion for La3+-doped ceramics, and a Wrec of 3.12 J/cm3 was achieved in Ag0.94La0.02NbO3 ceramics [27].
Moreover, the enhancement of the Eb also plays a vital role in the enhancement of the energy storage density. Eb is an important parameter for analyzing energy storage performance, which is affected by factors such as porosity, grain size, and defects [28,29]. Theoretically, ceramics with dense microstructure are more accessible to obtain higher Eb [30]. This is attributed to the fact that the gas existing in voids possesses a low dielectric permittivity, which causes the voids to need to bear a higher local electric field. However, with the increase of the applied electric field, a local breakdown can easily occur due to the lower Eb of gas [4]. The commonly used strategies are liquid phase sintering and pressure-assisted sintering for reducing porosity and increasing density. Xu et al. [31] added BaCu(B2O5) (BCB) with a melting point of 850 °C on the basis of AN ceramics with (Sr0.7Bi0.2) HfO3. It was found that the sintering temperature was effectively reduced, and all components have high relative densities (>98%), which indicated that BCB significantly promoted the compactness of ceramics during sintering. Moreover, a remarkable Wrec of 6.1 J/cm3 and a relatively high η of 73% were simultaneously obtained in 0.055SBH-modified AN ceramic with 1 mol% BCB addition under an applied electric field of 330 kV/cm. Pressure-assisted sintering is characterized by the application of external pressure during sintering, which facilitates the mass transport of the grains and, thus, promotes densification. Wu et al. [32] prepared Ba0.3Sr0.7TiO3 ceramic samples by means of spark plasma sintering and observed lower porosity and fewer defects in the SPS samples, which greatly enhanced the breakdown strength. Fang et al. [33] adopted hot pressing sintering to increase the breakdown strength of TiO2-SiO2-Al2O3-based ceramics to 77.5 kV/cm, which is 1.8 times that of traditional sintered samples. It is found that the increase in density is an important reason for the increase in breakdown strength. However, the unknown dosage of sintering additives limits its application to a certain extent. Although methods such as spark plasma technology and hot-press sintering can obtain products which possess high density, their production costs are relatively high. From the perspective of improving the density of ceramics, this experiment designs a unique microstructure with uneven grains. Through the regulation of the synthesis process, it is expected to achieve the purpose of filling the gaps with grains to increase the degree of densification.
In this study, AgNbO3:xCeO2 ceramic samples were synthesized by the conventional solid-state reaction method, and enhanced AFE stability was obtained by reducing the tolerance factor. Ce4+ (r = 1.14 Å, CN = 12) has a smaller radius than Ag+ (r = 1.48 Å, CN = 12) [34], and the lower t will be obtained after the substitution process, as well as a more stable AFE phase. Then, the silver vacancy generated by the substitution process could enlarge the polarization. A new strategy to increase the density of ceramic samples was proposed, that is, by adjusting the grinding time to achieve the heterogeneous grain size. Small-sized grains are used to fill in the gaps between large-sized grains. The effective increase in density contributes to the enhancement of Eb. In this paper, the phase structure, microstructure, dielectric properties, and energy storage properties of AN modified by excess CeO2 were measured and discussed.

2. Experimental Section

2.1. Materials Preparation

The AgNbO3:xCeO2 (x = 0, 1, 2 mol%, abbreviated as ANCex: ANCe0, ANCe1, ANCe2, respectively) ceramics were synthesized by conventional solid-state reaction method. Ag2O (99.7%, Shanghai Aladdin Biochemical Technology Co., Ltd.), Nb2O5 (99.99%, Shanghai Aladdin Biochemical Technology Co., Ltd., Shanghai, China), and CeO2 (99.99%, Shanghai Aladdin Biochemical Technology Co., Ltd., Shanghai, China) were used as raw materials, and they were mixed by planetary ball milling technology. For pure substances, Ag2O and Nb2O5 raw materials were first weighed according to half of the stoichiometric ratio, and they were ball milled at 300 rpm for 12 h with absolute ethanol and zirconia balls as the medium. Subsequently, the other half of the stoichiometric ratio of oxide raw materials were added to continue the 12-h ball milling process at 300 rpm. The doped components, such as the doped oxide CeO2, were introduced and ball milled for 12 h at 300 rpm in the beginning, and other oxides were weighed and added in the same way as pure substances. Then, the well-mixed and dried powders were calcined at 900 °C for 6 h in an oxygen environment. After grinding and refining, the powders were subjected to the same process of secondary ball milling. The samples obtained by ball milling were dried, mixed with a 5% mass fraction of polyvinyl alcohol and pressed into pellets with a diameter of 8 mm. A series of ceramic samples were obtained by sintering at 1090–1140 °C for 6 h in an oxygen environment.

2.2. Characterization

The density of bulk ceramics was measured by the Archimedes drainage method. The AX124ZH electronic scale and its density measuring module produced by the American Ohaus Company (Parsippany, NJ, USA)were used to measure the density. The phase structure of the ceramic powders was characterized by an X-ray diffractometer (XRD, D8 Advance A25, Bruker, Saarbruken, Germany) with monochromatic Cu Kα radiation (λ = 1.5405 Å). The XRD patterns were obtained in the 2θ range from 20° to 70°. The surface morphology of bulk ceramics was observed via field emission scanning electron microscopy (SEM, JSM-7500F, JEOL LTD, Tokyo, Japan). It is worth noting that the ceramic samples need to be ground, polished, and thermally etched for 40 min at a temperature below the sintering temperature before testing. Energy Dispersive Spectrometer (EDS, PHENOM PROX, Eindhoven, The Netherlands) is used in conjunction with SEM, and it was used to analyze the element type in the SEM topography of ceramic samples. The grain size distribution of the ceramic samples was determined by the software Nano Measurer (version 1.2.5) based on the measured electron microscope images. The dielectric properties of the ceramics were measured by LCR automatic tester (TH2827A; Changzhou Tong hui Electronics Co., Ltd. Changzhou, China) and dielectric test systems (DPTS20005P1; Yanhe Technology Co., Ltd. Wuhan, China) in the temperature range of 20–450 °C, with the frequency at 10 kHz. It should be noted that both the front and back sides of the samples used for characterization need to be coated with silver electrodes. The energy storage performance of the samples was characterized by the ferroelectric tester. The polarization-electric field loops of the ceramic samples were measured at 10 Hz in silicone oil by a ferroelectric testing system (Radiant Technologies, Albuquerque, NM, USA). The ceramic samples for testing needed to be coated with symmetrical silver electrodes and ground to about 0.1 mm in thickness.

3. Results and Discussion

The XRD patterns of the ANCex are presented in Figure 1a. The details of the relevant peaks are highlighted in the magnified section, as shown in Figure 1b. After comparing with the standard PDF#70-4738, it can be seen that all components possess a pure perovskite structure. It means that Ce4+ diffuses successfully into the AgNbO3 lattice. According to the enlarged pictures, the (020), (114), and (220) diffraction peaks moved to higher angles with increasing doping amounts. The shift of the diffraction peak to the right roots in the fact that Ce4+ with a smaller radius replaces Ag+ to make the crystal lattice shrink. Since the ionic radius of Ce4+ (r = 1.14 Å, CN = 12) is much lower than Ag+ (r = 1.48 Å, CN = 12) at the A-site, conversely, the ionic radius of Ce4+ at another coordination number (r = 0.87 Å, CN = 6) is much larger than Nb5+ (r = 0.64 Å, CN = 6). Thus, when a solid solution is formed, the lattice volume is reduced by an A-site substitution.
Figure 2a–c presents the SEM images of the ceramics. It can be found that all samples have the characteristics of grain size heterogeneity. The coexistence of large-sized and small-sized grains is attributed to the particularity of the synthesis process. Due to the different milling sequences, for ANCe0, half of the Ag2O and Nb2O5 were milled for 24 h, and the other half of the raw material was only milled for 12 h. While for ANCe1 and ANCe2, all the CeO2 were ball-milled for 24 h, and the rest were the same as ANCe0. The special ball milling method affects the degree of mixing of raw materials, resulting in differences in grain size. Figure 2e–h shows the molar percentage of each substance when Nb is used as a reference based on EDS results. For ANCe0, it can be observed in Figure 2e–f that the large grains and small grains contain the same elements, which demonstrates the successful synthesis of silver niobate. Figure 2g–h displays that both sites contain Ag, Nb, and Ce elements. EDS results show that Ce4+ was successfully incorporated into the AgNbO3 lattice. The grain size distribution was measured using the software Nano Measurer and displayed in Figure 3. For the purpose of better evaluating the variation trend of small and large-size grains, the analysis of the grain size distribution was carried out for grains above 10 μm and below 10 μm, respectively. The grain size distribution of the small particles shown in Figure 3a–f corresponds to that of the large grains. For the small grains of the ANCe0 component, the value of the most probable grain size (MPGS) according to Gauss fitting is 2.5 μm. Clearly, after Ce4+ doping, the MPGS of small grains increased from 2.5 μm in ANCe0 to 4.5 μm in ANCe2, while the MPGS of large grains remained basically unchanged. These results indicate that Ce4+ can promote the growth of small grains to a certain extent. In addition, the growth of these small grains has a squeezing effect on the large grains, which inhibits the abnormal growth of the large grains, contributing to the constant profile of large grains. The XRD results show that with the introduction of CeO2, Ce4+ replaced Ag+ at the A-site. The substitution of Ce4+ for Ag+ resulted in the formation of A-site vacancies. These A-site vacancies can promote the diffusion of ions and the transport of substances during the sintering process and therefore promote the growth of grains. This can well explain the results of grain size distribution. The actual density of the ceramics was determined by the Archimedes method according to formula (5).
ρ = M 1 M 2 M 1 ( ρ 0 ρ L ) + ρ L
where ρ is the density of the sample to be measured, M1 and M2 are the measured mass of the sample in air and distilled water, ρ0 is the density of distilled water (1 g/cm3), and ρL is the density of air (0.0012 g/cm3). As shown in Figure 2d, the densities of ANCex ceramics for x = 0, 1, 2 mol% are 6.51, 6.57, and 6.39 g/cm3, respectively. It is clear that the ANCe1 component has the highest density value. In this component, the sizes of large and small particles match well, and the small particles have filled the gaps between the large particles as much as possible. The compensation of the holes makes the density significantly enhanced. Interestingly, a more homogeneous grain distribution was obtained in the composition of ANCe2, along with a reduced actual density. In virtue of the growth of small particles, there were not enough small particles to fill the gaps between large particles, thus accounting for the decreased densification. Weibull distribution was adopted to define the Eb values of the ANCex ceramics, as shown in Figure 4. In order to ensure the accuracy of the data, it is usually necessary to prepare at least 8-10 samples for breakdown measurement. It can be seen that all components show a linear relationship with a large β value, indicating the validity of the Weibull distribution [5,35]. Eb increased to 390 kV/cm when the doping amount was 1 mol%, which is 1.7 times that of the ANCe0 component. When the doping amount reached 2 mol%, Eb was almost consistent with ANCe0. Eb is considered a key parameter to measure energy storage performance. In this research, the composition of ANCe1 achieved the highest degree of densification, which is one of the crucial factors endowing the composition with a relatively high breakdown strength of 390 kV/cm. While for the ANCe2 component, the decrease of Eb is due to the increase of porosity. In the ANCe2 component, due to the growth of small particles, there were not enough small particles to fill the gaps between the large particles. This resulted in an increase in porosity.
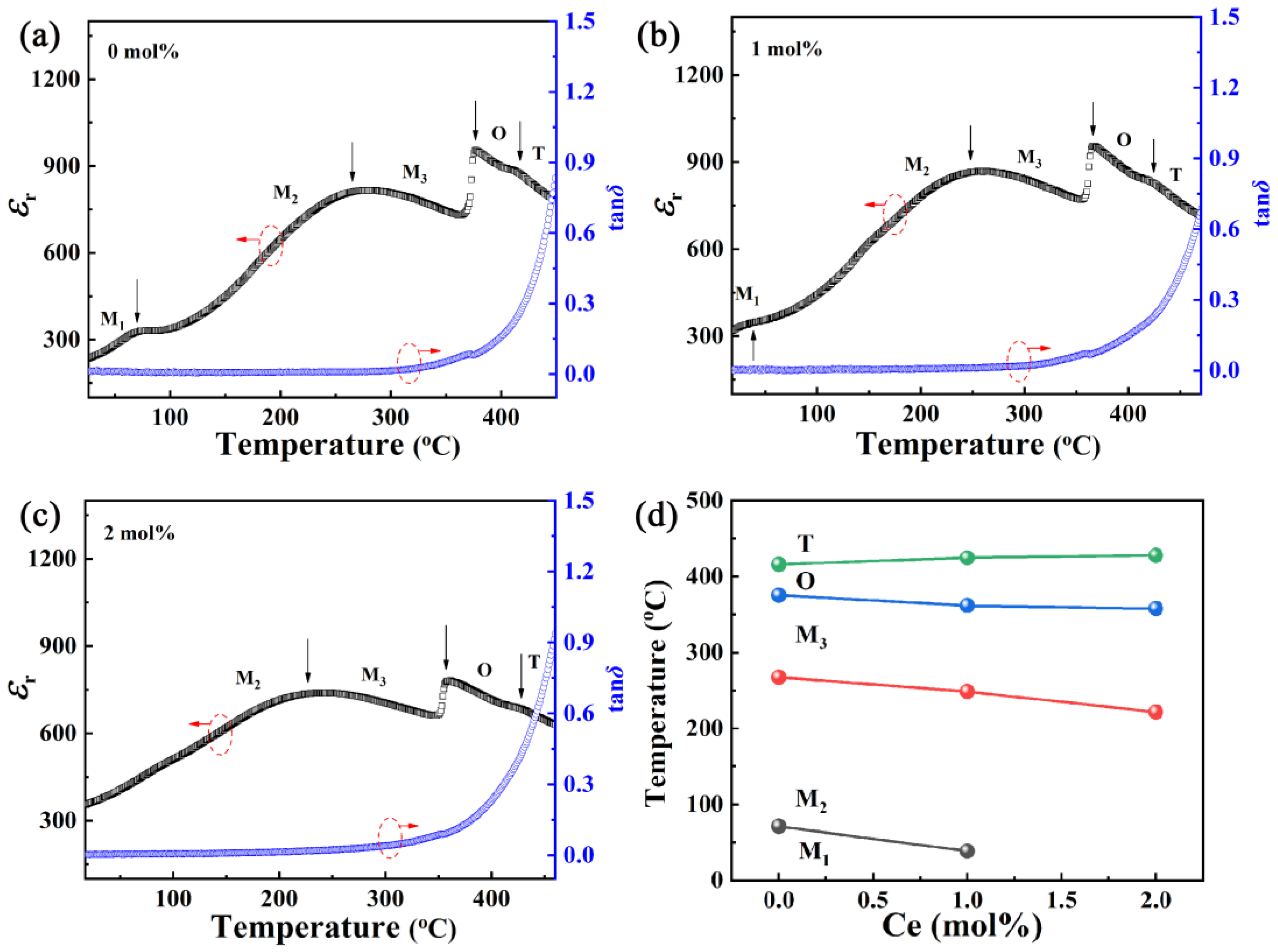
For exploring the effect of CeO2 addition on the temperature of the phase transition of ANCex ceramics, Figure 5a–c depicts the dielectric constant ( ε r ) and dielectric loss (tan δ ) of all samples at 10 kHz as a function of temperature over the range of 20–450 °C. The anomalous dielectric peaks in the trend chart are caused by the transformation of the phase structure of the ceramic components during the heating process. The four dielectric anomalies corresponding to ANCe0 are related to the phase transitions of M1-M2, M2-M3, M3-O, and O-T, respectively [36]. After doping Ce4+, the individual phase transition temperature obviously shifted to a lower temperature. For a detailed analysis of the change in phase transition temperature, the phase diagram of each component was drawn according to the corresponding values in the figure, as shown in Figure 5d. It is clear that with the increase of Ce content, TM1−M2 decreased from 71 °C of ANCe0 to 38 °C of ANCe1, and the M2 phase of ANCe2 existed at room temperature, indicating the enhanced stability of the antiferroelectric phase at lower temperatures. TM2-M3 decreased gradually, while TM3-O and TO-T remained basically unchanged, which manifests that the ceramic components exhibit antiferroelectricity in a wider temperature range. The enhancement of antiferroelectricity originates from the lower tolerance factor value. When t < 1, the AFE phase is more stable. According to formula (4), the substitution of small-radius Ce4+ (r = 1.14 Å, CN = 12) for large-radius Ag+ (r = 1.48 Å, CN = 12) can effectively reduce the tolerance factor, thereby enhancing the antiferroelectricity of ceramic components. It can be observed from Figure 5a–c that the dielectric peaks corresponding to TM2-M3 gradually widened, and a diffuse phase transition occurred, indicating enhanced relaxation characteristics. Moreover, all samples exhibited a low dielectric loss in the range from room temperature to 450 °C. This is thought to be associated with the high electrical insulation, which is conducive to achieving high Eb.
To explore the effect of the introduction of Ce4+ on the energy storage performance, the unipolar polarization loops of ANCex ceramics under their respective maximum tolerable electric fields were tested and displayed in Figure 6a. The results demonstrate that when the doping content was greater than or equal to 1 mol%, the ceramic samples exhibited typical double hysteresis loop characteristics. The P-E loops of the ceramic samples became narrower after doping Ce4+, which is beneficial for obtaining better energy storage performance. The relevant energy storage data, such as polarization, phase transition electric field, and energy storage density determined according to the P-E loops of the ANCex ceramic composition, are listed in Table 1. With the introduction of Ce4+, Pmax first increased and then decreased. The high Pmax obtained in the ANCe1 component is correlated with the achievement of high Eb. Meanwhile, the presence of A-site vacancies can also contribute to a high Pmax value. Numerous studies have found that polarization intensity is largely affected by cation vacancies, and the essence is that the existence of cation vacancies facilitates the steering of electric dipoles [22,37,38]. The reduction in Pmax of the ANCe2 component is because its Eb is much lower than ANCe1—limiting the phase transition of the component from the AFE phase to the FE phase. For the ANCe2 ceramic, its lower density, compared to ANCe1, results in a smaller Eb. The Pr of ceramic samples decreased monotonically with the increasing doping amount, which is attributed to the increasing relaxation behavior. The enhanced relaxation characteristics are reflected in the gradually widening dielectric peaks. This has been discussed in the dielectric properties section. A smaller Pr is effective in reducing the hysteresis loss of the ceramic samples, leading to a higher η. The phase transition electric field is also an important index used to measure the stability of antiferroelectricity. With the introduction of Ce4+, EF displayed an overall downward trend. This result implies that the phase transition from the antiferroelectric phase to the ferroelectric phase can be induced at a lower electric field. In contrast, the monotonically increasing trend of EA reflects the small hysteresis from the FE phase to the AFE phase with Ce4+ doping. The increase of EA indicates enhanced AFE stability, which is achieved by the decrease of t after the incorporation of Ce4+. These states reduce the ΔE (EA-EF) value significantly by upshifting EA and downshifting EF simultaneously. With the increase of the Ce4+ doping amount, ΔE decreased gradually and promoted the acquisition of high η. Combined with low Pr and small ΔE, the ANCe2 component has a slimmer hysteresis loop and, thus, a higher η. Figure 6d shows the trend of energy storage density and energy storage efficiency calculated from the P-E loops. For ANCe1 ceramic, with the substitution of small-radius Ce4+ (r = 1.14 Å, CN = 12) for large-radius Ag+ (r = 1.48 Å, CN = 12), the average radius of the A-site ion is significantly reduced compared with ANCe0. This suggests that the tolerance factor t is reduced and the antiferroelectricity is enhanced. As can be seen, a superior Wrec of 5.04 J/cm3 and a η of 46.2% are obtained under an applied electric field of 390 kV/cm for ANCe1 ceramics, in virtue of the perfect combination of the Pmax, Eb, and EA. The energy storage density of this component is 1.9 times higher than that of ANCe0, suggesting that the introduction of Ce4+ is conducive to optimizing energy storage performance. For the ANCe2 component, its Pmax is limited by the smaller Eb, thus exhibiting a relatively low Wrec. However, its smaller Pr and lower ΔE make it achieve a higher η of 55.4%. In general, the introduction of CeO2 benefits lower t value and Pr, as well as a more stable AFE phase. Samples show different performances depending on the amount added. A small amount of CeO2-doping is conducive to obtaining higher Pmax and Eb, while a high concentration of CeO2-doping is prone to decrease Pr and ΔE. This affords a step forward for dielectric materials with comprehensive energy storage properties.

4. Conclusions

In this research, the Wrec of AgNbO3:xCeO2 ceramics was improved in the following four aspects. It consists of enhancing AFE stability by reducing t, reducing Pr by enhancing relaxation characteristics, increasing Pmax by introducing A-site vacancy, and enlarging the Eb by achieving a higher density of ceramics. The phase transition temperature TM1-M2 gradually moved to a lower temperature, which further confirms the enhanced AFE stability. Moreover, the gradual widening of dielectric peaks verifies the enhancement of relaxation behavior. Additionally, the enhancement of Eb up to 390 kV/cm is derived from the increase in density, which is essentially due to the filling effect of small grains on the gaps between large grains. The ANCex ceramics were successfully fabricated by the conventional solid-state reaction method. This effect is achieved by the regulation of CeO2 amount and the grinding procedure, and thus a higher degree of densification is realized in ANCe1 ceramic. Therefore, a high Wrec of 5.04 J/cm3 and a η of 46.2% were achieved in the ANCe1 component owing to the combined effect of the increased Pmax, EA, and Eb. Moreover, a relatively high η of 55.4% that was obtained in ANCe2 composition attributed to the lower Pr and smaller ΔE. These results indicate that the components with different doping amounts have outstanding properties in different fields and provide guidance for us to search for ceramic materials with comprehensive energy storage properties.

Author Contributions

All authors contributed to the conception and design of the study. Data curation, F.H.; Formal analysis, W.W.; Methodology, T.F.; Resources, G.L.; Supervision, J.W.; Writing—original draft, K.A. All authors have read and agreed to the published version of the manuscript.

Funding

This work is funded by the National Natural Science Foundation of China (Grant No.51302061), the Natural Science Foundation of Hebei province (Grant No.E2014201076 and E2020201021), and the Research Innovation Team of the College of Chemistry and Environmental Science of Hebei University (Grant No. hxkytd2102).

Institutional Review Board Statement

Not applicable.

Informed Consent Statement

Not applicable.

Data Availability Statement

Not applicable.

Conflicts of Interest

The authors declare no conflict of interest.

References

  1. Yao, Z.H.; Song, Z.; Hao, H.; Yu, Z.; Cao, M.; Zhang, S.; Lanagan, M.; Liu, H.X. Homogeneous/Inhomogeneous-Structured Dielectrics and their Energy-Storage Performances. Adv. Mater. 2017, 29, 1601727. [Google Scholar] [CrossRef]
  2. Ibn-Mohammed, T.; Randall, C.; Mustapha, K.; Guo, J.; Walker, J.; Berbano, S.; Koh, S.; Wang, D.; Sinclair, D.; Reaney, I.M. Decarbonising ceramic manufacturing: A techno-economic analysis of energy efficient sintering technologies in the functional materials sector. J. Eur. Ceram. Soc. 2019, 39, 5213–5235. [Google Scholar] [CrossRef]
  3. Yao, K.; Chen, S.; Rahimabady, M.; Mirshekarloo, M.; Yu, S.; Tay, F.; Sritharan, T.; Lu, L. Nonlinear Dielectric Thin Films for High-Power Electric Storage With Energy Density Comparable With Electrochemical Supercapacitors. IEEE Trans. Ultrason. Ferroelectr. Freq. Control 2011, 58, 1968–1974. [Google Scholar] [CrossRef]
  4. Zhao, P.Y.; Cai, Z.; Chen, L.; Wu, L.; Huan, Y.; Guo, L.; Li, L.; Wang, H.; Wang, X.H. Ultra-high energy storage performance in lead-free multilayer ceramic capacitors via a multiscale optimization strategy. Energy Environ. Sci. 2020, 13, 4882–4890. [Google Scholar] [CrossRef]
  5. Yang, L.T.; Kong, X.; Li, F.; Hao, H.; Cheng, Z.; Liu, H.; Li, J.; Zhang, S.J. Perovskite lead-free dielectrics for energy storage applications. Prog. Mater. Sci. 2019, 102, 72–108. [Google Scholar] [CrossRef]
  6. Yang, Z.T.; Du, H.; Jin, L.; Poelman, D. High-performance lead-free bulk ceramics for electrical energy storage applications: Design strategies and challenges. J. Mater. Chem. A 2021, 9, 18026–18085. [Google Scholar] [CrossRef]
  7. Fan, Z.H.; Zhang, Y.; Jiang, Y.; Luo, Z.; He, Y.; Zhang, Q.F. Polymer composites with high energy density and charge-discharge efficiency at high temperature using aluminum oxide particles. J. Mater. Res. Technol. 2022, 18, 4367–4374. [Google Scholar] [CrossRef]
  8. Zhao, L.; Liu, Q.; Gao, J.; Zhang, S.; Li, J.F. Lead-Free Antiferroelectric Silver Niobate Tantalate with High Energy Storage Performance. Adv. Mater. 2017, 29, 1701824. [Google Scholar] [CrossRef]
  9. Luo, N.N.; Han, K.; Cabral, M.; Liao, X.; Zhang, S.; Liao, C.; Zhang, G.; Chen, X.; Feng, Q.; Li, J.; et al. Constructing phase boundary in AgNbO3 antiferroelectrics: Pathway simultaneously achieving high energy density and efficiency. Nat. Commun. 2020, 11, 4824. [Google Scholar] [CrossRef]
  10. Liu, Z.; Lu, T.; Ye, J.; Wang, G.; Dong, X.; Withers, R.; Liu, Y. Antiferroelectrics for Energy Storage Applications: A Review. Adv. Mater. Technol. 2018, 3, 1800111. [Google Scholar] [CrossRef]
  11. Dan, Y.; Xu, H.; Zou, K.; Zhang, Q.; Lu, Y.; Chang, G.; Huang, H.; He, Y.B. Energy storage characteristics of (Pb,La)(Zr,Sn,Ti)O3 antiferroelectric ceramics with high Sn content. Appl. Phys. Lett. 2018, 113, 063902. [Google Scholar] [CrossRef]
  12. Liu, X.H.; Li, Y.; Sun, N.; Hao, X.H. High energy-storage performance of PLZS antiferroelectric multilayer ceramic capacitors. Inorg. Chem. Front. 2020, 7, 756–764. [Google Scholar] [CrossRef]
  13. Zeng, M.S.; Liu, J.; Li, H.Q. Structural and dielectric properties of (1 − x)(Sr0.7Pb0.15Bi0.1)TiO3-x(Bi0.5Na0.5)TiO3 energy storage ceramic capacitors. J. Alloys Compd. 2021, 861, 158535. [Google Scholar] [CrossRef]
  14. Levin, I.; Woicik, J.; Llobet, A.; Tucker, M.; Krayzman, V.; Pokorny, J.; Reaney, I.M. Displacive Ordering Transitions in Perovskite-Like AgNb1/2Ta1/2O3. Chem. Mater. 2010, 22, 4987–4995. [Google Scholar] [CrossRef]
  15. Tian, Y.; Jin, L.; Hu, Q.; Yu, K.; Zhuang, Y.; Viola, G.; Abrahams, I.; Xu, Z.; Wei, X.; Yan, H.X. Phase transitions in tantalum-modified silver niobate ceramics for high power energy storage. J. Mater. Chem. A 2019, 7, 834–842. [Google Scholar] [CrossRef]
  16. Xu, Y.H.; Wang, G.; Tian, Y.; Yan, Y.; Liu, X.; Feng, Y.J. Crystal structure and electrical properties of AgNbO3-based lead-free ceramics. Ceram. Int. 2016, 42, 18791–18797. [Google Scholar] [CrossRef]
  17. Tian, Y.; Jin, L.; Zhang, H.; Xu, Z.; Wei, X.; Politova, E.; Stefanovich, S.; Tarakina, N.; Abrahams, I.; Yan, H.X. High energy density in silver niobate ceramics. J. Mater. Chem. A 2016, 4, 17279–17287. [Google Scholar] [CrossRef]
  18. Song, A.Z.; Song, J.; Lv, Y.; Liang, L.; Wang, J.; Zhao, L. Energy storage performance in BiMnO3-modified AgNbO(3)anti-ferroelectric ceramics. Mater. Lett. 2019, 237, 278–281. [Google Scholar] [CrossRef]
  19. Han, K.; Luo, N.; Mao, S.; Zhuo, F.; Chen, X.; Liu, L.; Hu, C.; Zhou, H.; Wang, X.; Wei, Y.Z. Realizing high low-electric-field energy storage performance in AgNbO3 ceramics by introducing relaxor behaviour. J. Mater. 2019, 5, 597–605. [Google Scholar] [CrossRef]
  20. Li, S.; Nie, H.; Wang, G.; Xu, C.; Liu, N.; Zhou, M.; Cao, F.; Dong, X.L. Significantly enhanced energy storage performance of rare-earth-modified silver niobate lead-free antiferroelectric ceramics via local chemical pressure tailoring. J. Mater. Chem. C 2019, 7, 1551–1560. [Google Scholar] [CrossRef]
  21. Luo, N.N.; Han, K.; Zhuo, F.; Xu, C.; Zhang, G.; Liu, L.; Chen, X.; Hu, C.; Zhou, H.; Wei, Y.Z. Aliovalent A-site engineered AgNbO3 lead-free antiferroelectric ceramics toward superior energy storage density. J. Mater. Chem. A 2019, 7, 15450. [Google Scholar] [CrossRef]
  22. Zhao, L.; Gao, J.; Liu, Q.; Zhang, S.; Li, J.F. Silver Niobate Lead-Free Antiferroelectric Ceramics: Enhancing Energy Storage Density by B-Site Doping. Acs Appl. Mater. Interfaces 2018, 10, 819–826. [Google Scholar] [CrossRef] [PubMed]
  23. Shang, M.; Ren, P.; Ren, D.; Wang, X.; Lu, X.; Yan, F.; Zhao, G.Y. Enhanced energy storage performances under moderate electric field in aliovalent A/B-site co-doped AgNbO3. Mater. Res. Bull. 2023, 157, 112008. [Google Scholar] [CrossRef]
  24. Han, K.; Luo, N.; Mao, S.; Zhuo, F.; Liu, L.; Peng, B.; Chen, X.; Hu, C.; Zhou, H.; Wei, Y.Z. Ultrahigh energy-storage density in A-/B-site co-doped AgNbO3 lead-free antiferroelectric ceramics: Insight into the origin of antiferroelectricity. J. Mater. Chem. A 2019, 7, 26293–26301. [Google Scholar] [CrossRef]
  25. Zhang, F.B.; Dai, Z.; Liu, W.; Wei, Y.; Xi, Z.; Ren, X.B. Improvement of dielectric and energy storage properties in Sr0.85Bi0.1ZrO3 modified (Bi0.5Na0.5)(0.7)Sr0.3TiO3 lead-free ceramics. J. Alloys Compd. 2022, 908, 164577. [Google Scholar] [CrossRef]
  26. Luo, N.N.; Han, K.; Zhuo, F.; Liu, L.; Chen, X.; Peng, B.; Wang, X.; Feng, Q.; Wei, Y.Z. Design for high energy storage density and temperature-insensitive lead-free antiferroelectric ceramics. J. Mater. Chem. C 2019, 7, 4999–5008. [Google Scholar] [CrossRef]
  27. Luo, N.N.; Han, K.; Liu, L.; Peng, B.; Wang, X.; Hu, C.; Zhou, H.; Feng, Q.; Chen, X.; Wei, Y.Z. Lead-free Ag1-3xLaxNbO3 antiferroelectric ceramics with high-energy storage density and efficiency. J. Am. Ceram. Soc. 2019, 102, 4640–4647. [Google Scholar] [CrossRef]
  28. Song, Z.; Liu, H.; Zhang, S.; Wang, Z.; Shi, Y.; Hao, H.; Cao, M.; Yao, Z.; Yu, Z.Y. Effect of grain size on the energy storage properties of (Ba0.4Sr0.6)TiO3 paraelectric ceramics. J. Eur. Ceram. Soc. 2014, 34, 1209–1217. [Google Scholar] [CrossRef]
  29. Ahmed, A.S.; Kansy, J.; Zarbout, K.; Moya, G.; Liebault, J.; Goeuriot, D. Microstructural origin of the dielectric breakdown strength in alumina: A study by positron lifetime spectroscopy. J. Eur. Ceram. Soc. 2005, 25, 2813–2816. [Google Scholar] [CrossRef]
  30. Touzin, M.; Goeuriot, D.; Fitting, H.; Guerret-Piecourt, C.; Juve, D.; Treheux, D. Relationships between dielectric breakdown resistance and charge transport in alumina materials—Effects of the microstructure. J. Eur. Ceram. Soc. 2007, 27, 1193–1197. [Google Scholar] [CrossRef]
  31. Xu, Y.H.; Yang, Z.; Xu, K.; Tian, J.; Zhang, D.; Zhan, M.; Tian, H.; Cai, X.; Zhang, B.; Yan, Y.; et al. Enhanced energy-storage performance in silver niobate-based dielectric ceramics sintered at low temperature. J. Alloys Compd. 2017, 37, 2099–2104. [Google Scholar] [CrossRef]
  32. Wu, Y.J.; Huang, Y.; Wang, N.; Li, J.; Fu, M.; Chen, X.M. Effects of phase constitution and microstructure on energy storage properties of barium strontium titanate ceramics. J. Eur. Ceram. Soc. 2017, 37, 2099–2104. [Google Scholar] [CrossRef]
  33. Fang, Z.Q.; Chen, Y.; Li, X.; Huang, W.; Xia, L.; Shen, Y.; Wang, G.; Dong, X.L. Enhanced dielectric breakdown strength in TiO2-SiO2-Al2O3 based ceramics prepared through hot-press assisted liquid phase sintering. J. Eur. Ceram. Soc. 2019, 39, 4817–4823. [Google Scholar] [CrossRef]
  34. Shannon, R.D. Revised effective ionic radii and systematic studies of interatomic distances in halides and chalcogenides. Acta crystallographica section A: Crystal physics, diffraction, theoretical and general crystallography. Acta Cryst. 1976, 32, 751–767. [Google Scholar] [CrossRef]
  35. Yang, Z.T.; Du, H.; Li, J.; Hu, Q.; Wang, H.; Li, Y.; Wang, J.; Gao, F.; Qu, S.B. Realizing high comprehensive energy storage performance in lead-free bulk ceramics via designing an unmatched temperature range. J. Mater. Chem. A 2019, 7, 27256–27266. [Google Scholar] [CrossRef]
  36. Li, L.; Spreitzer, M.; Suvorov, D. The microstructure, dielectric abnormalities, polar order and microwave dielectric properties of Ag(Nb1-xTax)O3 (x = 0–0.8) ceramics. J. Eur. Ceram. Soc. 2016, 36, 3347–3354. [Google Scholar] [CrossRef]
  37. Li, F.; Zhang, S.; Damjanovic, D.; Chen, L.; Shrout, T.R. Local Structural Heterogeneity and Electromechanical Responses of Ferroelectrics: Learning from Relaxor Ferroelectrics. Adv. Funct. Mater. 2018, 28, 1801504. [Google Scholar] [CrossRef]
  38. Tian, Y.; Jin, L.; Zhang, H.; Xu, Z.; Wei, X.; Viola, G.; Abrahams, I.; Yan, H.X. Phase transitions in bismuth-modified silver niobate ceramics for high power energy storage. J. Mater. Chem. A 2017, 5, 17525–17531. [Google Scholar] [CrossRef]
Figure 1. (a) XRD patterns, (b) the enlarged part of diffraction peaks around 32° of ANCex ceramics.
Figure 1. (a) XRD patterns, (b) the enlarged part of diffraction peaks around 32° of ANCex ceramics.
Coatings 13 00534 g001
Figure 2. SEM images, the actual density, and EDS results of ANCex ceramics. SEM images of (a) ANCe0, (b) ANCe1 and (c) ANCe2 ceramics, and (d) The actual density of ANCex ceramics. EDS results of (e,f) ANCe0 and (g,h) ANCe2 ceramics.
Figure 2. SEM images, the actual density, and EDS results of ANCex ceramics. SEM images of (a) ANCe0, (b) ANCe1 and (c) ANCe2 ceramics, and (d) The actual density of ANCex ceramics. EDS results of (e,f) ANCe0 and (g,h) ANCe2 ceramics.
Coatings 13 00534 g002
Figure 3. Grain size distribution of ANCex ceramics. Grain size distribution of small particles of (a) ANCe0, (b) ANCe1, and (c) ANCe2 ceramics. Grain size distribution of big particles of (d) ANCe0, (e) ANCe1, and (f) ANCe2 ceramics.
Figure 3. Grain size distribution of ANCex ceramics. Grain size distribution of small particles of (a) ANCe0, (b) ANCe1, and (c) ANCe2 ceramics. Grain size distribution of big particles of (d) ANCe0, (e) ANCe1, and (f) ANCe2 ceramics.
Coatings 13 00534 g003
Figure 4. Weibull distribution of dielectric breakdown strength (Eb) for ANCex ceramics.
Figure 4. Weibull distribution of dielectric breakdown strength (Eb) for ANCex ceramics.
Coatings 13 00534 g004
Figure 5. Temperature dependence of the dielectric constant ( ε r ) and dielectric loss (tan δ ) of (a)ANCe0, (b) ANCe1, and (c) ANCe2 ceramics. (d) Phase diagram of the ANCex ceramics. (The red circles and arrows point to the axes corresponding to the data and black arrows point to the phase transition temperature).
Figure 5. Temperature dependence of the dielectric constant ( ε r ) and dielectric loss (tan δ ) of (a)ANCe0, (b) ANCe1, and (c) ANCe2 ceramics. (d) Phase diagram of the ANCex ceramics. (The red circles and arrows point to the axes corresponding to the data and black arrows point to the phase transition temperature).
Coatings 13 00534 g005
Figure 6. Energy storage properties of ANCex ceramics. (a) Unipolar P-E loops, (b) Pmax, Pr and PmaxPr, (The red and black circles and arrows point to the P axis, and the blue circles and arrows point to the PmaxPr axis.) (c) EA, EF and EAEF, (The red and black circles and arrows point to the E axis, and the blue circles and arrows point to the EFEA axis.) and (d) Wtotal, Wrec and η. ((The purple and blue circles and arrows point to the W axis, and the red circles and arrows point to the η axis.)
Figure 6. Energy storage properties of ANCex ceramics. (a) Unipolar P-E loops, (b) Pmax, Pr and PmaxPr, (The red and black circles and arrows point to the P axis, and the blue circles and arrows point to the PmaxPr axis.) (c) EA, EF and EAEF, (The red and black circles and arrows point to the E axis, and the blue circles and arrows point to the EFEA axis.) and (d) Wtotal, Wrec and η. ((The purple and blue circles and arrows point to the W axis, and the red circles and arrows point to the η axis.)
Coatings 13 00534 g006
Table 1. Parameters related to energy storage properties of ANCex samples.
Table 1. Parameters related to energy storage properties of ANCex samples.
SamplesPm (μC/cm2)Pr (μC/cm2)EF (kV/cm) EA (kV/cm)ΔE (kV/cm)Wrec (J/cm3)η (%)
ANCe048.119.3166651011.7322.9
ANCe167.28.114372715.0446.2
ANCe251.94.615590653.9855.4
Disclaimer/Publisher’s Note: The statements, opinions and data contained in all publications are solely those of the individual author(s) and contributor(s) and not of MDPI and/or the editor(s). MDPI and/or the editor(s) disclaim responsibility for any injury to people or property resulting from any ideas, methods, instructions or products referred to in the content.

Share and Cite

MDPI and ACS Style

An, K.; Li, G.; Fan, T.; Huang, F.; Wang, W.; Wang, J. Enhanced Energy Storage Performance of AgNbO3:xCeO2 by Synergistic Strategies of Tolerance Factor and Density Regulations. Coatings 2023, 13, 534. https://doi.org/10.3390/coatings13030534

AMA Style

An K, Li G, Fan T, Huang F, Wang W, Wang J. Enhanced Energy Storage Performance of AgNbO3:xCeO2 by Synergistic Strategies of Tolerance Factor and Density Regulations. Coatings. 2023; 13(3):534. https://doi.org/10.3390/coatings13030534

Chicago/Turabian Style

An, Ke, Gang Li, Tingting Fan, Feng Huang, Wenlin Wang, and Jing Wang. 2023. "Enhanced Energy Storage Performance of AgNbO3:xCeO2 by Synergistic Strategies of Tolerance Factor and Density Regulations" Coatings 13, no. 3: 534. https://doi.org/10.3390/coatings13030534

APA Style

An, K., Li, G., Fan, T., Huang, F., Wang, W., & Wang, J. (2023). Enhanced Energy Storage Performance of AgNbO3:xCeO2 by Synergistic Strategies of Tolerance Factor and Density Regulations. Coatings, 13(3), 534. https://doi.org/10.3390/coatings13030534

Note that from the first issue of 2016, this journal uses article numbers instead of page numbers. See further details here.

Article Metrics

Back to TopTop