Features of the Oxidation of Multilayer (TiAlCrSiY)N/(TiAlCr)N Nanolaminated PVD Coating during Temperature Annealing
Abstract
1. Introduction
2. Materials and Methods
3. Results
4. Conclusions
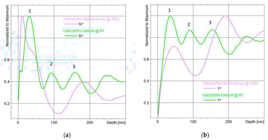
- The coefficients and rates of diffusion of the chemical elements of multilayer thin films were calculated on the basis of their depth distribution profiles. Secondary ion mass spectroscopy was used to obtain depth profiles with a high sensitivity and depth resolution.
- The effective diffusion coefficients of silicon and yttrium were determined in a multilayer nanolaminate Ti0.2Al0.55Cr0.2Si0.03Y0.02N/Ti0.25Al0.65Cr0.1N coating after annealing at a temperature of 700 °C in air.
- It had been established that the diffusion rate of Si was several times-higher than that of Y, which can be associated with a significant (about two times) difference in the sizes of the atoms between these elements.
- It had been found that the diffusion rate in near-surface volumes was lower than in the deep layers of a multilayer coating—most likely due to the formation of passivating oxide films on the surface.
- An anomaly of the preferential diffusion of Si in at-surface volumes has been established; this may be due to the lower stability of metal-nitride atomic bonds and the greater affinity of Si for oxygen compared to Y. These assumptions require their experimental or theoretical verification in the future.
Author Contributions
Funding
Institutional Review Board Statement
Informed Consent Statement
Data Availability Statement
Acknowledgments
Conflicts of Interest
References
- Fox-Rabinovich, G.; Kovalev, A.; Gershman, I.; Wainstein, D.; Aguirre, M.H.; Covelli, D.; Paiva, J.; Yamamoto, K.; Veldhuis, S. Complex Behavior of Nano-Scale Tribo-Ceramic Films in Adaptive PVD Coatings under Extreme Tribological Conditions. Entropy 2018, 20, 989. [Google Scholar] [CrossRef] [PubMed]
- Ross, I.; Rainforth, W.; Zhou, Z.; Walker, J.; Reinhard, C.; Ehiasarian, A.; Hovsepian, P.; Braun, R. Oxidation performance of nano-scale multilayer coatings on γ-TiAl. J. Phys. Conf. Ser. 2008, 126, 012022. [Google Scholar] [CrossRef]
- Fox-Rabinovitch, G.; Dosbaeva, G.; Kovalev, A.; Gershman, I.; Yamamoto, K.; Locks, E.; Paiva, J.; Konovalov, E.; Veldhuis, S. Enhancement of Multi-Scale Self-Organization Processes during Inconel DA 718 Machining through the Optimization of TiAlCrSiN/TiAlCrN Bi-Nano-Multilayer Coating Characteristics. Materials 2022, 15, 1329. [Google Scholar] [CrossRef] [PubMed]
- PalDey, S.; Deevi, S. Single layer and multilayer wear resistant coatings of (Ti, Al)N. Mater. Sci. Eng. 2003, A342, 79. [Google Scholar] [CrossRef]
- Xiao, B.; Li, H.; Mei, H.; Zuo, F.; Wu, Z.; Wang, Q. A study of oxidation behavior of AlTiN-and AlCrN-based multilayer coatings. Surf. Coat. 2017. [CrossRef]
- Lee, D.; Kim, M.H.; Lee, Y.; Kwon, S. High Temperature Oxidation of TiCrN Coatings Deposited on a Steel Substrate by Ion Plating. Surf. Coat. Technol. 2001, 141, 232–239. [Google Scholar] [CrossRef]
- Chen, Y.-I.; Lin, N.-Y.; Ke, Y.-E. Oxidation Behavior of Ta–Al Multilayer Coatings. Coatings 2019, 9, 810. [Google Scholar] [CrossRef]
- Brova, M.J.; Alat, E.; Pauley, M.A.; Sherbondya, R.; Motta, A.T.; Douglas, E. Wolf. Undoped and ytterbium-doped titanium aluminum nitride coatings for improved oxidation behavior of nuclear fuel cladding. Surf. Coat. Technol. 2017, 331, 163–171. [Google Scholar] [CrossRef]
- Wu, Z.; Qi, Z.; Zhu, F.; Liu, B.; Wang, Z. Influences of Y addition on mechanical properties and oxidation resistance of CrN coating. Phys. Procedia 2013, 50, 150–155. [Google Scholar] [CrossRef]
- Athmani, M.; AL-Rjoub, A.; Cavaleiro, D.; Chala, A. Microstructural, mechanical, thermal stability and oxidation behavior of TiSiN/CrVxN multilayer coatings deposited by D.C. reactive magnetron sputtering. Surf. Coat. Technol. 2018. [Google Scholar] [CrossRef]
- Fukumoto, N.; Ezura, H.; Suzuki, T. Synthesis and oxidation resistance of TiAlSiN and multilayer TiAlSiN/CrAlN coating. Surf. Coat. Technol. 2009, 204, 902–906. [Google Scholar] [CrossRef]
- Yamamoto, K.; Kujime, S.; Fox-Rabinovich, G. Effect of alloying element (Si, Y) on properties of AIP deposited (Ti, Cr, Al)N coating. Surf. Coat. Technol. 2008, 203, 579–583. [Google Scholar] [CrossRef]
- Guo, F.; Wang, J.; Du, Y.; Holec, D.; Ou, P.; Zhou, H.; Chen, L.; Kong, Y. Structural evolution of oxygen on the surface of TiAlN: Ab initio molecular dynamics simulations. Appl. Surf. Sci. 2019, 470, 520–525. [Google Scholar] [CrossRef]
- Kovalev, A.; Wainstein, D.; Fox-Rabinovich, G.; Veldhuisb, S.; Yamamoto, K. Features of self-organization in nanostructuring PVD coatings on a base of polyvalent metal nitrides under severe tribological conditions. Surf. Interface Anal. 2008, 40, 1–4. [Google Scholar] [CrossRef]
- Fox-Rabinovich, G.; Beake, B.; Yamamoto, K.; Aguirre, M.H.; Veldhuis, S.C.; Dosbaeva, G.; Elfizy, A.; Biksa, A.; Shuster, S.L. Structure, properties and wear performance of nano-multilayered TiAlCrSiYN/TiAlCrN coatings during machining of Ni-based aerospace superalloys. Surf. Coat. Technol. 2010, 204, 3698–3706. [Google Scholar] [CrossRef]
- Fox-Rabinovich, G.; Yamamoto, K.; Beake, B.D.; Kovalev, A.I.; Aguirre, M.H.; Veldhuis, S.C.; Dosbaeva, C.K.; Wainstein, D.L.; Biksa, A.; Rashkovskiy, A. Emergent behavior of nano-multilayered coatings during dry high-speed machining of hardened tool steels. Surf. Coat. Technol. 2010, 204, 3425–3435. [Google Scholar] [CrossRef]
- Fox-Rabinovich, G.; Gershman, I.; Yamamoto, K.; Aguirre, M.H. Surface/interface phenomena in nano-multilayer coating under severing tribological conditions. Surf. Interface Anal. 2017, 49, 584–593. [Google Scholar] [CrossRef]
- Bokstein, B.S. Diffusion in metals, course of lectures; Moscow: Metallurgy, Moscow, 1978; pp. 189–195. [Google Scholar]
- Liu, J.; He, L.; Xu, Z. Defect generation mechanism in magnetron sputtered metal filmson PMMA substrates. J. Mater. Sci. Mater. Electron. 2019, 30, 14847–14854. [Google Scholar] [CrossRef]
- Chen, F.-S.; King, A. Misorientation effects upon diffusion induced grain boundary migration in the copper-zinc system. Acta Metall. 1988, 36, 2827–2839. [Google Scholar]






| Y | Si | ||||
|---|---|---|---|---|---|
| Time | N Peak | FWHM | FWHM | ||
| X, nm | ΔX, nm | X, nm | ΔX, nm | ||
| 0 min, RT | 1 | 35 | 0 | 35 | 0 |
| 2 | 29 | 0 | 28 | 0 | |
| 3 | 35 | 0 | 36 | 0 | |
| 15 min | 1 | 43 | 8 | 44 | 9 |
| 2 | 37 | 8 | 36 | 8 | |
| 3 | 42 | 7 | 44 | 8 | |
| 30 min | 1 | 48 | 13 | 51 | 16 |
| 2 | 40 | 11 | 42 | 14 | |
| 3 | 44 | 9 | 49 | 13 | |
| 45 min | 1 | 51 | 16 | 60 | 25 |
| 2 | 44 | 15 | 57 | 29 | |
| Time | N Peak | Y | Si | ||
|---|---|---|---|---|---|
| D, m2/s | D Average, m2/s | D, m2/s | D Average, m2/s | ||
| 15 | 1 | 8.4 × 10−20 | 8.9 × 10−20 | 1.3 × 10−19 | 1.1 × 10−19 |
| 2 | 1.0 × 10−19 | 1.0 × 10−19 | |||
| 3 | 7.9 × 10−20 | 1.0 × 10−19 | |||
| 30 | 1 | 1.4 × 10−19 | 1.0 × 10−19 | 2.1 × 10−19 | 1.7 × 10−19 |
| 2 | 9.8 × 10−20 | 1.6 × 10−19 | |||
| 3 | 6.5 × 10−20 | 1.4 × 10−19 | |||
| 45 | 1 | 1.4 × 10−19 | 1.3 × 10−19 | 3.4 × 10−19 | 3.9 × 10−19 |
| 2 | 1.2 × 10−19 | 4.5 × 10−19 | |||
Disclaimer/Publisher’s Note: The statements, opinions and data contained in all publications are solely those of the individual author(s) and contributor(s) and not of MDPI and/or the editor(s). MDPI and/or the editor(s) disclaim responsibility for any injury to people or property resulting from any ideas, methods, instructions or products referred to in the content. |
© 2023 by the authors. Licensee MDPI, Basel, Switzerland. This article is an open access article distributed under the terms and conditions of the Creative Commons Attribution (CC BY) license (https://creativecommons.org/licenses/by/4.0/).
Share and Cite
Kovalev, A.I.; Vakhrushev, V.O.; Konovalov, E.P.; Fox-Rabinovich, G.S.; Wainstein, D.L.; Dmitrievskii, S.A.; Mukhsinova, A.D. Features of the Oxidation of Multilayer (TiAlCrSiY)N/(TiAlCr)N Nanolaminated PVD Coating during Temperature Annealing. Coatings 2023, 13, 287. https://doi.org/10.3390/coatings13020287
Kovalev AI, Vakhrushev VO, Konovalov EP, Fox-Rabinovich GS, Wainstein DL, Dmitrievskii SA, Mukhsinova AD. Features of the Oxidation of Multilayer (TiAlCrSiY)N/(TiAlCr)N Nanolaminated PVD Coating during Temperature Annealing. Coatings. 2023; 13(2):287. https://doi.org/10.3390/coatings13020287
Chicago/Turabian StyleKovalev, Anatoly Ivanovich, Vladimir Olegovich Vakhrushev, Egor Pavlovich Konovalov, German Simonovich Fox-Rabinovich, Dmitry Lvovich Wainstein, Stanislav Alekseevich Dmitrievskii, and Alise Denisovna Mukhsinova. 2023. "Features of the Oxidation of Multilayer (TiAlCrSiY)N/(TiAlCr)N Nanolaminated PVD Coating during Temperature Annealing" Coatings 13, no. 2: 287. https://doi.org/10.3390/coatings13020287
APA StyleKovalev, A. I., Vakhrushev, V. O., Konovalov, E. P., Fox-Rabinovich, G. S., Wainstein, D. L., Dmitrievskii, S. A., & Mukhsinova, A. D. (2023). Features of the Oxidation of Multilayer (TiAlCrSiY)N/(TiAlCr)N Nanolaminated PVD Coating during Temperature Annealing. Coatings, 13(2), 287. https://doi.org/10.3390/coatings13020287

