Sputtering Process of ScxAl1−xN Thin Films for Ferroelectric Applications
Abstract
1. Introduction
2. Structure and Properties of ScxAl1−xN
2.1. Structure of ScxAl1−xN
2.2. Properties of ScxAl1−xN
3. Sputtering Process for Scandium Aluminum Nitride
3.1. Deposition Parameters
3.2. Target Design
3.3. Sputtering Atmosphere
3.3.1. Sputtering Pressure
3.3.2. Gas Flow Ratio
3.4. Sputtering Power Density
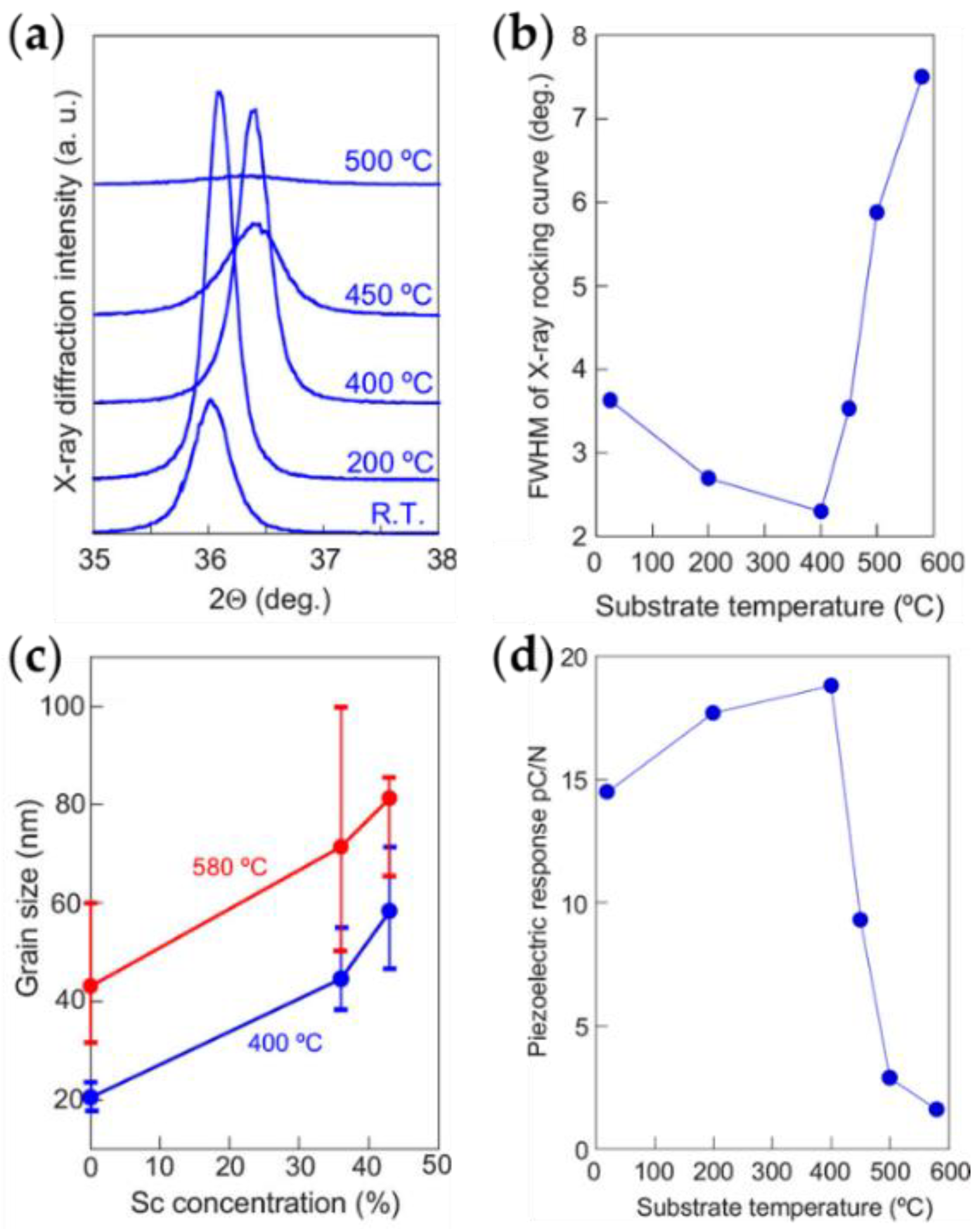
3.5. Sputtering Substrate Temperature
4. Conclusions
- (1)
- Sputtering target design is essential to ensure the Sc and Al composition in the ScxAl1−xN films. In general, single-alloy targets appear to be better when depositing films with Sc concentrations less than 30%, whereas dual co-sputtering targets are better suited for applications where concentrations exceed 30% and when the precise control of Sc content is necessary. Lastly, segmented targets are interesting in the ability to combine the advantages of both single-alloy targets and dual co-sputtering targets, but they are less applicable for industrial applications.
- (2)
- In general, sputtering pressures should be kept between 0.4–0.6 Pa to avoid the issues associated with extremely low or high pressures. Moreover, the gas flow ratio should be kept such that there is between 30% and 35% N2 present.
- (3)
- Increased sputtering power can benefit the crystal quality and electric properties of ScxAl1−xN. However, there exists a maximum power density whereupon further increase the film quality will become damaged.
- (4)
- Substrate temperature should not exceed 400 °C during the deposition of ScxAl1−xN.
Author Contributions
Funding
Institutional Review Board Statement
Informed Consent Statement
Data Availability Statement
Conflicts of Interest
References
- Piazza, G.; Felmetsger, V.; Muralt, P.; Olsson, R.H., III; Ruby, R. Piezoelectric aluminum nitride thin films for microelectromechanical systems. MRS Bull. 2012, 37, 1051–1061. [Google Scholar] [CrossRef]
- Elfrink, R.; Kamel, T.M.; Goedbloed, M.; Matova, S.; Hohlfeld, D.; Van Andel, Y.; Van Schaijk, R. Vibration energy harvesting with aluminum nitride-based piezoelectric devices. J. Micromech. Microeng. 2009, 19, 094005. [Google Scholar] [CrossRef]
- Stoppel, F.; Schröder, C.; Senger, F.; Wagner, B.; Benecke, W. AlN-based piezoelectric micropower generator for low ambient vibration energy harvesting. Procedia Eng. 2011, 25, 721–724. [Google Scholar] [CrossRef]
- Lu, Y.; Heidari, A.; Horsley, D. A High Fill-Factor Annular Array of High Frequency Piezoelectric Micromachined Ultrasonic Transducers. J. Microelectromech. Syst. 2015, 24, 904–913. [Google Scholar] [CrossRef]
- Akiyama, M.; Kamohara, T.; Kano, K.; Teshigahara, A.; Takeuchi, Y.; Kawahara, N. Enhancement of Piezoelectric Response in Scandium Aluminum Nitride Alloy Thin Films Prepared by Dual Reactive Cosputtering. Adv. Mater. 2009, 21, 593–596. [Google Scholar] [CrossRef] [PubMed]
- Tang, J.; Niu, D.; Yang, Y.; Zhou, D.; Yang, C. Preparation of ScAlN films as a function of sputtering atmosphere. J. Mater. Sci. Mater. Electron. 2016, 27, 4788–4793. [Google Scholar] [CrossRef]
- Fichtner, S.; Wolff, N.; Lofink, F.; Kienle, L.; Wagner, B. AlScN: A III–V semiconductor based ferroelectric. J. Appl. Phys. 2019, 125, 114103. [Google Scholar] [CrossRef]
- Rassay, S.; Hakim, F.; Li, C.; Forgey, C.; Choudhary, N.; Tabrizian, R. A Segmented-Target Sputtering Process for Growth of Sub-50 nm Ferroelectric Scandium–Aluminum–Nitride Films with Composition and Stress Tuning. Phys. Status Solidi (RRL) Rapid Res. Lett. 2021, 15, 2100087. [Google Scholar] [CrossRef]
- Liu, X.; Zheng, J.; Wang, D.; Musavigharavi, P.; Stach, E.A.; Olsson, R., III; Jariwala, D. Aluminum scandium nitride-based metal–ferroelectric–metal diode memory devices with high on/off ratios. Appl. Phys. Lett. 2021, 118, 202901. [Google Scholar] [CrossRef]
- Li, X.; Yang, Y.; Zhou, D.; Yang, C.; Feng, F.; Yang, J.; Hu, Q. Preparation of ScAlN films as a function of power density on Si and flexible substrate by dc reactive magnetron sputtering. J. Mater. Sci. Mater. Electron. 2016, 27, 171–176. [Google Scholar] [CrossRef]
- Zoroddu, A.; Bernardini, F.; Ruggerone, P.; Fiorentini, V. First-principles prediction of structure, energetics, formation enthalpy, elastic constants, polarization, and piezoelectric constants of AlN, GaN, and InN: Comparison of local and gradient-corrected density-functional theory. Phys. Rev. B 2001, 64, 045208. [Google Scholar] [CrossRef]
- Tasnádi, F.; Alling, B.; Höglund, C.; Wingqvist, G.; Birch, J.; Hultman, L.; Abrikosov, I.A. Origin of the anomalous piezoelectric response in wurtzite ScxAl1−xN alloys. Phys. Rev. Lett. 2010, 104, 137601. [Google Scholar] [CrossRef] [PubMed]
- Zhang, S.; Holec, D.; Fu, W.Y.; Humphreys, C.J.; Moram, M.A. Tunable optoelectronic and ferroelectric properties in Sc-based III-nitrides. J. Appl. Phys. 2013, 114, 133510. [Google Scholar] [CrossRef]
- Deng, R.; Jiang, K.; Gall, D. Optical phonon modes in Al1−xScxN. J. Appl. Phys. 2014, 115, 013506. [Google Scholar] [CrossRef]
- Ambacher, O.; Christian, B.; Feil, N.; Urban, D.F.; Elsässer, C.; Prescher, M.; Kirste, L. Wurtzite ScAlN, InAlN, and GaAlN crystals, a comparison of structural, elastic, dielectric, and piezoelectric properties. J. Appl. Phys. 2021, 130, 045102. [Google Scholar] [CrossRef]
- Lu, Y.; Reusch, M.; Kurz, N.; Ding, A.; Christoph, T.; Prescher, M.; Kirste, L.; Ambacher, O.; Žukauskaitė, A. Elastic modulus and coefficient of thermal expansion of piezoelectric Al1−xScxN (up to x = 0.41) thin films. APL Mater. 2018, 6, 076105. [Google Scholar] [CrossRef]
- Zhang, Q.; Chen, M.; Liu, H.; Zhao, X.; Qin, X.; Wang, F.; Tang, Y.; Yeoh, K.H.; Chew, K.H.; Sun, X. Deposition, Characterization, and Modeling of Scandium-Doped Aluminum Nitride Thin Film for Piezoelectric Devices. Materials 2021, 14, 6437. [Google Scholar] [CrossRef] [PubMed]
- Fu, H.; Goodrich, J.C.; Ogidi-Ekoko, O.; Tansu, N. Power electronics figure-of-merit of ScAlN. Appl. Phys. Lett. 2021, 119, 072101. [Google Scholar] [CrossRef]
- Saada, S.; Lakel, S.; Almi, K. Optical, electronic and elastic properties of ScAlN alloys in WZ and ZB phases: Prospective material for optoelectronics and solar cell applications. Superlattices Microstruct. 2017, 109, 915–926. [Google Scholar] [CrossRef]
- Deng, R.; Evans, S.; Gall, D. Bandgap in Al1−xScxN. Appl. Phys. Lett. 2013, 102, 112103. [Google Scholar] [CrossRef]
- Song, Y.; Perez, C.; Esteves, G.; Lundh, J.S.; Saltonstall, C.B.; Beechem, T.E.; Yang, J.I.; Ferri, K.; Brown, J.E.; Tang, Z.; et al. Thermal Conductivity of Aluminum Scandium Nitride for 5G Mobile Applications and Beyond. ACS Appl. Mater. Interfaces 2021, 13, 19031–19041. [Google Scholar] [CrossRef] [PubMed]
- Caro, M.A.; Zhang, S.; Riekkinen, T.; Ylilammi, M.; Moram, M.A.; Lopez-Acevedo, O.; Molarius, J.; Laurila, T. Piezoelectric coefficients and spontaneous polarization of ScAlN. J. Phys. Condens. Matter 2015, 27, 245901. [Google Scholar] [CrossRef] [PubMed]
- Olsson, R.H.; Tang, Z.; Agati, M.D. Doping of Aluminum Nitride and the Impact on Thin Film Piezoelectric and Ferroelectric Device Performance. In Proceedings of the 2020 IEEE Custom Integrated Circuits Conference (CICC), Boston, MA, USA, 22–25 March 2020. [Google Scholar]
- Felmetsger, V.; Mikhov, M.; Ramezani, M.; Tabrizian, R. Sputter Process Optimization for Al0.7Sc0.3N Piezoelectric Films. In Proceedings of the 2019 IEEE International Ultrasonics Symposium (IUS), Glasgow, UK, 6–9 October 2019. [Google Scholar]
- Liu, X.; Wang, D.; Kim, K.H.; Katti, K.; Zheng, J.; Musavigharavi, P.; Miao, J.; Stach, E.A.; Olsson, R.H., III; Jariwala, D. Post-CMOS Compatible Aluminum Scandium Nitride/2D Channel Ferroelectric Field-Effect-Transistor Memory. Nano Lett. 2021, 21, 3753–3761. [Google Scholar] [CrossRef] [PubMed]
- Tang, J.; Niu, D.; Tai, Z.; Hu, X. Deposition of highly c-axis-oriented ScAlN thin films at different sputtering power. J. Mater. Sci. Mater. Electron. 2017, 28, 5512–5517. [Google Scholar] [CrossRef]
- Akiyama, M.; Kano, K.; Teshigahara, A. Influence of growth temperature and scandium concentration on piezoelectric response of scandium aluminum nitride alloy thin films. Appl. Phys. Lett. 2009, 95, 162107. [Google Scholar] [CrossRef]
- Tominaga, T.; Takayanagi, S.; Yanagitani, T. c-Axis-tilted ScAlN films grown on silicon substrates for surface acoustic wave devices. Jpn. J. Appl. Phys. 2022, 61, SG1054. [Google Scholar] [CrossRef]
- Tominaga, T.; Takayanagi, S.; Yanagitani, T. Negative-ion bombardment increases during low-pressure sputtering deposition and their effects on the crystallinities and piezoelectric properties of scandium aluminum nitride films. J. Phys. D Appl. Phys. 2021, 55, 105306. [Google Scholar] [CrossRef]
- Wang, D.; Zheng, J.; Musavigharavi, P.; Zhu, W.; Foucher, A.C.; Trolier-McKinstry, S.E.; Stach, E.A.; Olsson, R.H. Ferroelectric Switching in Sub-20 nm Aluminum Scandium Nitride Thin Films. IEEE Electron Device Lett. 2020, 41, 1774–1777. [Google Scholar] [CrossRef]
- Dong, K.; Wang, F.; Deng, M.; Yan, S.; Zhang, K. Piezoelectric performance improvement of ScAlN film and two-port SAW resonator application. Electron. Lett. 2019, 55, 1355–1357. [Google Scholar] [CrossRef]
- Tabaru, T.; Akiyama, M. Residual stress reduction in piezoelectric Sc0.4Al0.6N films by variable-pressure sputtering from 0.4 to 1.0 Pa. Thin Solid Film. 2019, 692, 137625. [Google Scholar] [CrossRef]
- Henry, M.D.; Young, T.R.; Douglas, E.A.; Griffin, B.A. Reactive sputter deposition of piezoelectric Sc0.12Al0.88N for contour mode resonators. J. Vac. Sci. Technol. B 2018, 36, 03E104. [Google Scholar] [CrossRef]
- Lozano, M.S.; Pérez-Campos, A.; Reusch, M.; Kirste, L.; Fuchs, T.; Žukauskaitė, A.; Chen, Z.; Iriarte, G.F. Piezoelectric characterization of Sc0.26Al0.74N layers on Si (001) substrates. Mater. Res. Express 2018, 5, 036407. [Google Scholar] [CrossRef]
- Mertin, S.; Heinz, B.; Rattunde, O.; Christmann, G.; Dubois, M.A.; Nicolay, S.; Muralt, P. Piezoelectric and structural properties of c-axis textured aluminium scandium nitride thin films up to high scandium content. Surf. Coat. Technol. 2018, 343, 2–6. [Google Scholar] [CrossRef]
- Pérez-Campos, A.; Sinusía Lozano, M.; Garcia-Garcia, F.J.; Chen, Z.; Iriarte, G.F. Synthesis of ScAlN thin films on Si (100) substrates at room temperature. Microsyst. Technol. 2018, 24, 2711–2718. [Google Scholar] [CrossRef]
- Felmetsger, V.V. Sputter Technique for Deposition of AlN, ScAlN, and Bragg Reflector Thin Films in Mass Production. In Proceedings of the 2017 IEEE International Ultrasonics Symposium (IUS), Washington, DC, USA, 6–9 September 2017. [Google Scholar]
- Fichtner, S.; Wolff, N.; Krishnamurthy, G.; Petraru, A.; Bohse, S.; Lofink, F.; Chemnitz, S.; Kohlstedt, H.; Kienle, L.; Wagner, B. Identifying and overcoming the interface originating c-axis instability in highly Sc enhanced AlN for piezoelectric micro-electromechanical systems. J. Appl. Phys. 2017, 122, 035301. [Google Scholar] [CrossRef]
- Zhang, Y.; Zhu, W.; Zhou, D.; Yang, Y.; Yang, C. Effects of sputtering atmosphere on the properties of c-plane ScAlN thin films prepared on sapphire substrate. J. Mater. Sci. Mater. Electron. 2014, 26, 472–478. [Google Scholar] [CrossRef]
- Akiyama, M.; Umeda, K.; Honda, A.; Nagase, T. Influence of scandium concentration on power generation figure of merit of scandium aluminum nitride thin films. Appl. Phys. Lett. 2013, 102, 021915. [Google Scholar] [CrossRef]
- Zukauskaite, A.; Wingqvist, G.; Palisaitis, J.; Jensen, J.; Persson, P.O.; Matloub, R.; Muralt, P.; Kim, Y.; Birch, J.; Hultman, L. Microstructure and dielectric properties of piezoelectric magnetron sputtered w-ScxAl1−xN thin films. J. Appl. Phys. 2012, 111, 093527. [Google Scholar] [CrossRef]
- Höglund, C.; Bareno, J.; Birch, J.; Alling, B.; Czigany, Z.; Hultman, L. Cubic Sc1−xAlxN solid solution thin films deposited by reactive magnetron sputter epitaxy onto ScN (111). J. Appl. Phys. 2009, 105, 113517. [Google Scholar] [CrossRef]
- Höglund, C.; Birch, J.; Alling, B.; Bareño, J.; Czigány, Z.; Persson, P.O.; Wingqvist, G.; Zukauskaite, A.; Hultman, L. Wurtzite structure Sc1−xAlxN solid solution films grown by reactive magnetron sputter epitaxy: Structural characterization and first-principles calculations. J. Appl. Phys. 2010, 107, 123515. [Google Scholar] [CrossRef]
- Lei, W.W.; Liu, D.; Zhu, P.W.; Chen, X.H.; Zhao, Q.; Wen, G.H.; Cui, Q.L.; Zou, G.T. Ferromagnetic Sc-doped AlN sixfold-symmetrical hierarchical nanostructures. Appl. Phys. Lett. 2009, 95, 162501. [Google Scholar] [CrossRef]
- Akiyama, M.; Tabaru, T.; Nishikubo, K.; Teshigahara, A.; Kano, K. Preparation of scandium aluminum nitride thin films by using scandium aluminum alloy sputtering target and design of experiments. J. Ceram. Soc. Jpn. 2010, 118, 1166–1169. [Google Scholar] [CrossRef]
- Posadowski, W.; Wiatrowski, A.; Domaradzki, J.; Mazur, M. Selected properties of AlxZnyO thin films prepared by reactive pulsed magnetron sputtering using a two-element Zn/Al target. Beilstein J. Nanotechnol. 2022, 13, 344–354. [Google Scholar] [CrossRef] [PubMed]
- Berg, S.; Nyberg, T. Fundamental understanding and modeling of reactive sputtering processes. Thin Solid Film. 2005, 476, 215–230. [Google Scholar] [CrossRef]
- Moreira, M.A.; Doi, I.; Souza, J.F.; Diniz, J.A. Electrical characterization and morphological properties of AlN films prepared by dc reactive magnetron sputtering. Microelectron. Eng. 2011, 88, 802–806. [Google Scholar] [CrossRef]
- Xu, X.-H.; Wu, H.S.; Zhang, C.J.; Jin, Z.H. Morphological properties of AIN piezoelectric thin films deposited by DC reactive magnetron sputtering. Thin Solid Film. 2001, 388, 62–67. [Google Scholar] [CrossRef]
- Rodríguez-Madrid, J.G.; Iriarte, G.F.; Williams, O.A.; Calle, F. High precision pressure sensors based on SAW devices in the GHz range. Sens. Actuators A Phys. 2013, 189, 364–369. [Google Scholar] [CrossRef]
- Fujii, S.; Odawara, T.; Yamada, H.; Omori, T.; Hashimoto, K.Y.; Torii, H.; Umezawa, H.; Shikata, S. Low Propagation Loss in a One-Port SAW Resonator Fabricated on Single-Crystal Diamond for Super-High-Frequency Applications. IEEE Trans. Ultrason. Ferroelectr. Freq. Control. 2013, 60, 986–992. [Google Scholar] [CrossRef]
- Ababneh, A.; Schmid, U.; Hernando, J.; Sánchez-Rojas, J.L.; Seidel, H. The influence of sputter deposition parameters on piezoelectric and mechanical properties of AlN thin films. Mater. Sci. Eng. B 2010, 172, 253–258. [Google Scholar] [CrossRef]
- Yang, Y.; Zhou, D.; Yang, C.; Feng, F.; Yang, J.; Hu, Q. Preparation of ScAlN film on Hastelloy alloys under different sputtering power. Mater. Lett. 2015, 161, 26–28. [Google Scholar] [CrossRef]






| Property | Reported Value | [Ref] | |
|---|---|---|---|
| Structural Properties | Density (g/cm3) | 3.255–3.456; ρ(x) = 3.806x + 3.255(1 − x) − 0.298x(1 − x) | [15] |
| Elastic Modulus (GPa) | 535–269 (for x = 0–0.41) | [16] | |
| Elastic constant C11 (GPa) | 396.00–280.96; C11(x) = 285.12x + 396(1 − x) − 238.39x(1 − x) | [15] | |
| Elastic constant C12 (GPa) | 137.00–161.59; C12(x) = 180.57x + 137(1 − x) + 11.23x(1 − x) | [15] | |
| Elastic constant C13 (GPa) | 108.00–137.84; C13 = 141.70x + 108(1 − x) + 51.95x(1 − x) | [15] | |
| Poisson’s ratio | ν21 = 0.343 (when x = 0.5) | [15] | |
| Crystal structure | wurtzite/layered-hexagonal | [15] | |
| Lattice constant (Ǻ) | a = 3.0997; c = 4.59569 | [17] | |
| Optical Properties | Effective electron mass | 0.46 m0 (for x = 0.18) | [18] |
| Refractive index (visible to IR) | 2.05 | [19] | |
| Electrical Properties | Breakdown field (MV/cm) | 12.44 (for x = 0.18) | [18] |
| Mobility of electrons/holes (cm2/V-s) | 147–205 (for x = 0.18) | [18] | |
| Dielectric constant | 10.31–34.52; ε33 = 89.93x + 10.31(1 − x) − 62.48x(1 − x) | [15] | |
| Energy band gap (eV) | 4.29–6.15; Eg(x) = 6.15 − 9.32x (for x ≤ 0.2) | [20] | |
| Resistivity (1012 Ω-cm) | 1.0–3.5 | [10] | |
| Thermal Properties | Thermal conductivity (W/m-K) | 3.0–8.0 (for x = 0–0.20) | [21] |
| Coefficient of thermal expansion (×10−6/K) | 4.29–4.65 (for x = 0–0.41) | [16] | |
| Debye temperature (K) | 933 (for x = 0.18)/737 (for x = 0.25) | [18,19] | |
| Piezoelectric Properties | Piezoelectric coeff. e15 (C/m2) | −0.313–−0.135; e15 = 0.308x − 0.313(1 − x) − 0.528x(1 − x) | [15] |
| Piezoelectric coeff. e31 (C/m2) | −0.593–−0.829; e31 = −1.353x − 0.593(1 − x) + 0.576x(1 − x) | [15] | |
| Piezoelectric coeff. e33 (C/m2) | 1.471–3.642; e33 = 9.125x + 1.471(1 − x) − 6.625x(1 − x) | [15] | |
| Relative permittivity coeff. ε33 | 9.37–13.06 (for x = 0–0.26) | [22] | |
| Ferroelectric Properties | Ferroelectric switching (µC/cm2) | ~80–153 | [7,8,23] |
| Coercive field (MV/cm) | 2–5 (for x = 0.27–0.43) | [7] |
| Author [Ref] (Year of Publication) | Substrate | Sputtering Type | Power (W)/Power Density (W/cm2) | Substrate Temperature (°C) | Sputtering Pressure (Pa) | Base Pressure (Pa) | Gas Composition Ratio [N2:Ar] /%N2 | Target to Substrate Distance [mm] | Final Composition (ScxAl1−xN) | FWHM (°) | Deposition Rate (nm/min) | Film Thickness (um) | Surface Roughness (nm) |
|---|---|---|---|---|---|---|---|---|---|---|---|---|---|
| Tominaga et al. [28] (2022) | (100) Si | RF magnetron sputtering | 200/3.98 | 300 | 0.6 | 3.00 × 10−4 | 1:2/50% | 25 | x = 0.3 | 3.2–6.0 | NA | 4.0–4.5 | NA |
| Tominaga et al. [29] (2021) | (100) Si | RF magnetron sputtering | 200/3.98 | 300 | 0.14, 0.25, 0.35, 0.45, 0.56 | 2.00 × 10−4 | 1:2/50% | 25 | NA | 2.3–4.7 | NA | 1–2 | NA |
| Rassay et al. [8] (2021) | NA | DC magnetron sputtering | 2000, 3500, 5500/8.06, 4.80, 7.54 | 280 | NA | NA | 15:6, 20:3, 28:1.6/NA | NA | x = 0.22, 0.25, 0.30 | 2–2.8 | NA | 0.025–0.250 | NA |
| Liu et al. [25] (2021) | Pt/(100) Si | Pulsed DC magnetron co-sputtering | Al-target: 1000/12.34; Sc-target: 450/5.55 | 350 | NA | NA | NA | NA | x = 0.29 | NA | NA | 0.100 | NA |
| Liu et al. [9] (2021) | Pt/(100) Si | Pulsed DC magnetron co-sputtering | Al-target: 1000/12.34; Sc-target: 655/8.08 | 350 | NA | NA | 20:80/20% | NA | x = 0.36 | NA | NA | 0.200 | NA |
| Zhang et al. [17] (2021) | Mo/SiO2/AlN/SOI | DC magnetron sputtering | 7500/10.28 | 300 | 0.347 | NA | 1:3/25% | 70 | x = 0.29 | 4.13 | NA | 0.780 | NA |
| Wang et al. [30] (2020) | Pt(111)/Ti/SiO2/si | Pulsed DC magnetron co-sputtering | Al-target: 1000/12.34; Sc-target (x = 0.32): 555/6.85; Sc-target (x = 0.36): 655/8.08 | 350 | NA | 8.30 × 10−2 | 20:80/20% | 33 | x = 0.32, 0.36 | 2.7–2.8 | 15.6–16.8 | 0.2 | NA |
| Dong et al. [31] (2019) | Pt | DC magnetron sputtering | 140–190/NA | 24 | 0.3 | NA | 13:17/43.3% | NA | x = 0.175 | 0.38–0.29 | 23.3 | 0.7 | NA |
| Felmetsger et al. [24] (2019) | (100) Si | AC magnetron reactive Sputtering with segmented target | 2000–5000/NA | 24 | NA | NA | NA | NA | x = 0.3 | 1.6 | NA | 0.500–2.00 | 2.3 |
| Fichtner et al. [7] (2019) | NA | DC reactive magnetron sputter deposition | 600/NA | 400 | NA | NA | 15:7.5/NA | NA | x = 0.36 | NA | NA | 0.600 | NA |
| Tabaru et al. [32] (2019) | (100) p-Si | RF reactive magnetron sputtering | 400/8.78 | 207 | 0.4, 1.0 | 5.00 × 10−5 | 4:6/NA | 70 | x = 0.4 | 4.6, 8.5 | NA | 2.3, 2.6 | NA |
| Henry et al. [33] (2018) | (100) Si | Pulsed DC magnetron sputtering | 80, 90, 100, 110, 120/0.116, 0.127, 0.140, 0.156, 0.170 | 350 | NA | NA | 1:3, 1:4, 1:5/25%, 20%, 16.7% | NA | x = 0.12 | 1.884 | NA | 0.750 | NA |
| Lozano et al. [34] (2018) | (100) As-doped Si & (100) B-doped Si | DC reactive balanced magnetron sputtering | 300, 500, 700/3.70, 6.17, 8.64 | 24 | 0.53, 0.79, 1.06 | 1.00 × 10−2 | 1:3/25% | 45 | x = 0.26 | 2–5 | 24–90 | 1.00 | NA |
| Mertin et al. [35] (2018) | NA | Pulsed DC magnetron sputtering/co-sputtering | 30.4 cm-Target: 7500/10.34; 10 cm-Target: 200–1000/2.55–12.74 | 300–350 | NA | 1.00 × 10−5 | 1:2/33.3% | NA | x = 0, 0.1, 0.31, 0.42 | 1.2–2.0 | 12–60 | NA | NA |
| Perez-Campos et al. [36] (2017) | (100) As-doped Si & (100) B-doped Si | DC reactive balanced magnetron sputtering | 300, 500, 700, 900/3.70, 6.17, 8.64, 11.11 | 24 | 0.26, 0.53, 0.79, 1.06 | 9.99 × 10−5 | 3:9/25% | 45 | x~0.23–0.26 | 2.5–10 | 24–110 | 1.00 | NA |
| Tang et al. [26] (2017) | PT/Ti/Si | RF reactive magnetron sputtering | 100, 120, 135, 145, 160/1.05, 1.26, 1.42, 1.52, 1.68 | 600 | 0.47 | 1.50 × 10−4 | 3.4:7/32.7% | 120 | x = 0.15 | 2.38–6.55 | NA | 1.00 | 3.25–10.34 |
| Felmetsger et al. [37] (2017) | (100) Si | AC powered S-gun sputtering | 2000/NA | 350 | NA | NA | 9:3.5/NA | NA | x = 0.07 | 1.55 | NA | 1.00 | 3.3 |
| Fichtner et al. [38] (2017) | (100) c-Si | Pulsed DC reactive co-sputtering | 1000/NA | 300 | 0.21 | 5.00 × 10−5 | 15:5.3/NA | NA | x = 0.27, 0.29 | 1.7 | NA | 0.4–2 | NA |
| Li et al. [10] (2016) | (100) p-Si & Ni-Cr-Mo (Hastelloy) | DC reactive magnetron sputtering | NA/1.16–2.10 | 600 | 0.45 | 2.00 × 10−4 | 3.3:7 | NA | x = 0.43 | 1.5–11 | NA | 1.1–2.0 | 2.0–4.9 |
| Tang et al. [6] (2016) | (100) p-Si | DC reactive magnetron sputtering | 130/1.37 | 600 | 0.4, 0.8 | 2.00 × 10−4 | 30:70, 35:65, 40:60, 50:50, 60:40/30%–60% | 100 | NA | 1.7 | 16.6–21.0 | 1.50 | 3–21 |
| Zhang et al. [39] (2014) | (0001) Sapphire | DC reactive magnetron sputtering | 130/1.37 | 650 | 0.3–0.7 | 4.00 × 10−4 | 3.1:7–3.6:7/30.7%–34% | NA | NA | 2.6 | 16.67 | 1.50 | 2.65 |
| Akiyama et al. [40] (2013) | (100) n-Si | Dual RF magnetron reactive co-sputtering | NA | NA | NA | 1.20 × 10−6 | NA | NA | x = 0.41 | 1.8–7.9 | NA | 0.500–1.10 | NA |
| Zukauskaite et al. [41] (2012) | TiN(111)/Al2O3(0001)-100–200 nm | Magnetically unbalanced reactive DC magnetron sputtering | 150/7.64 | 400, 600, 800 | 0.17 | 6.00 × 10−7 | 19.8:30/NA | NA | x = 0, 0.1, 0.2, 0.3 | 1.0–2.0 | NA | 0.25 | NA |
| Akiyama et al. [29] (2010) | (100) n-Si-600 um | RF reactive magnetron sputtering | 300/6.58 | 200 | 0.3 | 5.00 × 10−5 | 3:7/30% | NA | x = 0.38 | 2.3 | NA | 0.500–1.20 | NA |
| Hoglund et al. [42] (2010) | ScN(111)/MgO(111) | Magnetron sputter epitaxy | Al-Target: 250, 230, 180, 130, 80; Sc-Target: 0, 20, 70, 120, 170 | 800 | 0.46 | 1.33 × 10−6 | NA | NA | x = 0.4, 0.32, 0.26, 0.22 | NA | 4.2 | 0.080 | NA |
| Hoglund et al. [43] (2010) | ScN(111)/MgO(111) | Magnetron sputter epitaxy | Al-Target: 0, 20, 60, 100, 140, 180, 200; Sc-Target: 200, 180, 140, 100, 60, 20, 0 | 600 | 1.2 | 1.33 × 10−6 | 0.13:1.07/NA | NA | x= 0, 0.1, 0.27, 0.49, 0.71, 0.86, 1 | NA | 5.4 | 0.05–0.06 | NA |
| Akiyama et al. [27] (2009) | (100) n-Si | Dual RF magnetron reactive co-sputtering | 0–200/0–9.87 | 27–580 | 0.25 | 1.20 × 10−6 | NA/40% | NA | x = 0–0.43 | 2.3–7.5 | NA | 0.5–1.1 | 0.3–2.7 |
| Akiyama et al. [5] (2009) | (100) n-Si | Dual RF magnetron reactive co-sputtering | 0–200/0–9.87 | 580 | 0.25 | 1.20 × 10−6 | NA/40% | NA | x = 0–0.43 | 1.8–7.9 | NA | 0.5–1.1 | NA |
| ScxAl1−xN Composition | Target Composition | Ref |
|---|---|---|
| Single-Alloy-Target | ||
| x = 0.38 | Sc:Al = 42:58 | [45] |
| NA | Sc:Al = 0.1:0.9 | [39] |
| x = 0.43 | Sc: Al = 0.1:0.9 | [10] |
| NA | Sc:Al = 1:9 | [6] |
| x = 0.23–0.26 | Sc:Al = 0.4:0.6 | [36] |
| x = 0.15 | Sc:Al = 0.15:0.85 | [26] |
| x = 0.12 | Sc:Al = 12.5:87.5 | [33] |
| x = 0.26 | Sc:Al = 0.4:0.6 | [34] |
| x = 0.1, 0.31 | Sc:Al = 6:9.5, 15:28 | [35] |
| x = 0.3 | Sc:Al = 8:92 | [24] |
| x = 0.36 | Sc:Al = 43:57 | [7] |
| x = 0.4 | Sc:Al = 43:57 | [32] |
| x = 0.29 | Sc:Al = 0.3:0.7 | [17] |
| Dual Co-Sputtering Target | ||
| x = 0, 0.1, 0.27, 0.49, 0.71, 0.86, 1 | Al (pure) and Sc (pure) | [42] |
| x = 0.36 | Al (pure) and Sc (pure) | [5] |
| NA | Al (pure) and Sc (pure) | [44] |
| x = 0.4, 0.32, 0.26, 0.22 | Al (pure) and Sc (pure) | [43] |
| x = 0, 0.1, 0.2, 0.3 | Al (pure) and Sc (pure) | [41] |
| x = 0.41 | Al (pure) and Sc (pure) | [40] |
| x = 0.27, 0.29 | Al (pure) and Sc (pure) | [38] |
| x = 0.42 | Al (pure) and Sc (pure) | [35] |
| x = 0.175 | Al (pure) and Sc (pure) | [31] |
| x = 0.32, 0.36 | Al (pure) and Sc (pure) | [30] |
| x = 0.29 | Al (pure) and Sc (pure) | [9] |
| x = 0.36 | Al(pure) and Sc (pure) | [25] |
| x = 0.3 | Al(pure) and Sc (pure) | [29] |
| x = 0.43 | Al(pure) and Sc (pure) | [28] |
| Segmented Target | ||
| x = 0.3 | Segmented Al-Sc | [24] |
| x = 0.22, 0.25, 0.30 | Segmented Al-Sc | [8] |
| Sc-Al Alloy Target | Dual Co-Sputtering Target | Sc-Al Segmented Target |
|---|---|---|
|
|
|
|
|
|
Disclaimer/Publisher’s Note: The statements, opinions and data contained in all publications are solely those of the individual author(s) and contributor(s) and not of MDPI and/or the editor(s). MDPI and/or the editor(s) disclaim responsibility for any injury to people or property resulting from any ideas, methods, instructions or products referred to in the content. |
© 2022 by the authors. Licensee MDPI, Basel, Switzerland. This article is an open access article distributed under the terms and conditions of the Creative Commons Attribution (CC BY) license (https://creativecommons.org/licenses/by/4.0/).
Share and Cite
Wall, J.M.; Yan, F. Sputtering Process of ScxAl1−xN Thin Films for Ferroelectric Applications. Coatings 2023, 13, 54. https://doi.org/10.3390/coatings13010054
Wall JM, Yan F. Sputtering Process of ScxAl1−xN Thin Films for Ferroelectric Applications. Coatings. 2023; 13(1):54. https://doi.org/10.3390/coatings13010054
Chicago/Turabian StyleWall, Jacob M., and Feng Yan. 2023. "Sputtering Process of ScxAl1−xN Thin Films for Ferroelectric Applications" Coatings 13, no. 1: 54. https://doi.org/10.3390/coatings13010054
APA StyleWall, J. M., & Yan, F. (2023). Sputtering Process of ScxAl1−xN Thin Films for Ferroelectric Applications. Coatings, 13(1), 54. https://doi.org/10.3390/coatings13010054

