Mixed-Alkali Effect and Correlation to Glass Structure in Ionically Conductive P2O5-Al2O3-Na2O-K2O Glass System
Abstract
1. Introduction
2. Materials and Methods
3. Results & Discussion
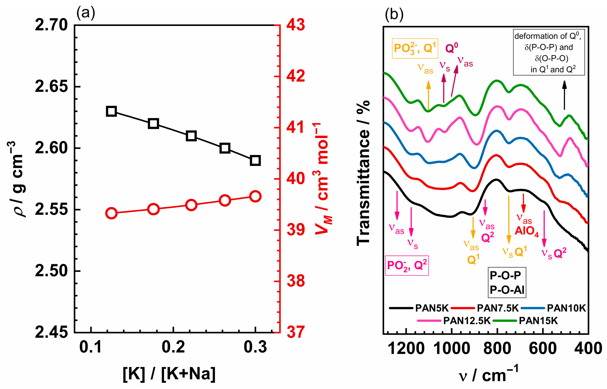
3.1. Physical Properties and Structure of Glasses
| ν/cm−1 | Assignation | References |
|---|---|---|
| 1150–1300 | νas (PO−) and νs (PO−) in Q2 | [6,35,36,37,38,39,40] |
| 1060–1150 | νas (PO−) in Q1 | [6,35,38,39,40] |
| 965–1060 | νas (PO−) and νs (PO−) in Q0 | [6,35,39,40,42] |
| 810–960 | νas (P–O–P)/ν(P–O–Al) connecting PO4 tetrahedra in Q2 and Q1 with AlO4 tetrahedra | [6,33,34,35,39,41,42,43] |
| 690–750 | superposition of signals νs (P–O–P)/ν(P–O–Al) in Q1 units and νas/s (O–Al–O) in AlO4 tetrahedra | [6,7,33,34,35,36,39,40,41,43,44,45] |
| 630 | νs (P–O–P) in Q2 | [33,34,35,36,38,39,41,42,43] |
| <630 | bending (O–P–O/P–O–P) in Q2/Q1, deformation modes Q0 and stretching modes of octahedral AlO6 | [6,35,36,38,39,40,41,42,43,44] |
3.2. Ionic Conductivity-Long Range Transport (DC)
3.3. Scaling Properties of Conductivity Spectra and the Short-Range Transport
3.4. Depolarization Measurements
4. Conclusions
Author Contributions
Funding
Institutional Review Board Statement
Informed Consent Statement
Data Availability Statement
Acknowledgments
Conflicts of Interest
References
- Bingham, P.A.; Hand, R.J.; Hannant, O.M.; Forder, S.D.; Kilcoyne, S.H. Effects of Modifier Additions on the Thermal Properties, Chemical Durability, Oxidation State and Structure of Iron Phosphate Glasses. J. Non-Cryst. Solids 2009, 355, 1526–1538. [Google Scholar] [CrossRef]
- Manupriya; Thind, K.S.; Singh, K.; Sharma, G.; Rajendran, V. Influence of Addition of Al2O3 on Physical, Structural, Acousticaland in-Vitro Bioactive Properties of Phosphate Glasses. Phys. Status Solidi Appl. Mater. Sci. 2009, 206, 1447–1455. [Google Scholar] [CrossRef]
- Narayanan, M.K.; Shashikala, H.D. Thermal and Optical Properties of BaO-CaF2-P2O5 Glasses. J. Non-Cryst. Solids 2015, 422, 6–11. [Google Scholar] [CrossRef]
- Moguš-Milanković, A.; Gajović, A.; Šantić, A.; Day, D.E. Structure of Sodium Phosphate Glasses Containing Al2O3 and/or Fe2O3. Part I. J. Non-Cryst. Solids 2001, 289, 204–213. [Google Scholar] [CrossRef]
- Filho, J.C.; Zilio, S.C.; Messias, D.N.; Pilla, V.; Almeida Silva, A.C.; Dantas, N.O.; Andrade, A.A. Effects of Aluminum Substitution by Potassium in the P2O5–Al2O3–Na2O–K2O Phosphate Glasses. J. Alloys Compd. 2020, 815, 152359. [Google Scholar] [CrossRef]
- Moreau, F.; Durán, A.; Muñoz, F. Structure and Properties of High Li2O-Containing Aluminophosphate Glasses. J. Eur. Ceram. Soc. 2009, 29, 1895–1902. [Google Scholar] [CrossRef]
- Pershina, S.V.; Raskovalov, A.A.; Antonov, B.D.; Yaroslavtseva, T.V.; Reznitskikh, O.G.; Baklanova, Y.V.; Pletneva, E.D. Extreme Behavior of Li-Ion Conductivity in the Li2O-Al2O3-P2O5 Glass System. J. Non-Cryst. Solids 2015, 430, 64–72. [Google Scholar] [CrossRef]
- Souissi, F.Z.; Ettoumi, H.; Barré, M.; Toumi, M. Preparation and Electrical Conductivity of Potassium Phosphate Glasses Containing Al2O3. J. Non-Cryst. Solids 2018, 481, 585–589. [Google Scholar] [CrossRef]
- Calahoo, C.; Xia, Y.; Zhou, R. Influence of Glass Network Ionicity on the Mixed-Alkali Effect. Int. J. Appl. Glass Sci. 2020, 11, 396–414. [Google Scholar] [CrossRef]
- Behrends, F.; Eckert, H. Mixed-Alkali Effects in Aluminophosphate Glasses: A Re-Examination. J. Phys. Chem. C 2011, 3, 17175–17183. [Google Scholar] [CrossRef]
- Viviani, D.; Faivre, A.; Levelut, C.; Smaïhi, M. Structural Change in Li and Na Aluminophosphate Glasses: Evidence of a “Structural Mixed Alkali Effect. J. Phys. Chem. B 2006, 110, 7281–7288. [Google Scholar] [CrossRef] [PubMed]
- Faivre, A.; Viviani, D.; Phalippou, J. Mixed Alkali Effect in Li and Na Aluminophosphate Glasses: Influence of the Cation Environment. Solid State Ion. 2005, 176, 325–332. [Google Scholar] [CrossRef]
- Crovace, M.C.; Soares, V.O.; Rodrigues, A.C.M.; Peitl, O.; Raucci, L.M.S.C.; de Oliveira, P.T.; Zanotto, E.D. Understanding the Mixed Alkali Effect on the Sinterability and in Vitro Performance of Bioactive Glasses. J. Eur. Ceram. Soc. 2021, 41, 4391–4405. [Google Scholar] [CrossRef]
- Kojima, S. Mixed-Alkali Effect in Borate Glasses: Thermal, Elastic, and Vibrational Properties. Solids 2020, 1, 16–30. [Google Scholar] [CrossRef]
- Lodesani, F.; Menziani, M.C.; Hijiya, H.; Takato, Y.; Urata, S.; Pedone, A. Structural Origins of the Mixed Alkali Effect in Alkali Aluminosilicate Glasses: Molecular Dynamics Study and Its Assessment. Sci. Rep. 2020, 10, 2906. [Google Scholar] [CrossRef]
- Onodera, Y.; Takimoto, Y.; Hijiya, H.; Taniguchi, T.; Urata, S.; Inaba, S.; Fujita, S.; Obayashi, I.; Hiraoka, Y.; Kohara, S. Origin of the Mixed Alkali Effect in Silicate Glass. NPG Asia Mater. 2019, 11, 75. [Google Scholar] [CrossRef]
- Wilkinson, C.J.; Potter, A.R.; Welch, R.S.; Bragatto, C.; Zheng, Q.; Bauchy, M.; Affatigato, M.; Feller, S.A.; Mauro, J.C. Topological Origins of the Mixed Alkali Effect in Glass. J. Phys. Chem. B 2019, 123, 7482–7489. [Google Scholar] [CrossRef]
- Tsuchida, J.E.; Ferri, F.A.; Pizani, P.S.; Martins Rodrigues, A.C.; Kundu, S.; Schneider, J.F.; Zanotto, E.D. Ionic Conductivity and Mixed-Ion Effect in Mixed Alkali Metaphosphate Glasses. Phys. Chem. Chem. Phys. 2017, 19, 6594–6600. [Google Scholar] [CrossRef]
- Swenson, J.; Adams, S. Mixed Alkali Effect in Glasses. Phys. Rev. Lett. 2003, 90, 155507. [Google Scholar] [CrossRef]
- Ngai, K.L.; Wang, Y.; Moynihan, C.T. The Mixed Alkali Effect Revisited: The Importance of Ion-Ion Interactions. J. Non-Cryst. Solids 2002, 307–310, 999–1011. [Google Scholar] [CrossRef]
- Maass, P. Towards a Theory for the Mixed Alkali Effect in Glasses. J. Non-Cryst. Solids 1999, 255, 35–46. [Google Scholar] [CrossRef]
- Day, D.E. Mixed Alkali Glasses—Their Properties and Uses. J. Non-Cryst. Solids 1976, 21, 343–372. [Google Scholar] [CrossRef]
- Bunde, A.; Maass, P. Transport Anomalies in Glasses. Phys. A Stat. Mech. Appl. 1993, 200, 80–94. [Google Scholar] [CrossRef]
- Bunde, A.; Ingram, M.D.; Maass, P.; Ngai, K.L. Mixed Alkali Effects in Ionic Conductors: A New Model and Computer Simulations. J. Non-Cryst. Solids 1991, 131–133, 1109–1112. [Google Scholar] [CrossRef]
- Bunde, A.; Ingram, M.D.; Maass, P. The Dynamic Structure Model for Ion Transport in Glasses. J. Non-Cryst. Solids 1994, 172–174, 1222–1236. [Google Scholar] [CrossRef]
- Bunde, A.; Ingram, M.D.; Russ, S. A New Interpretation of the Dynamic Structure Model of Ion Transport in Molten and Solid Glasses. Phys. Chem. Chem. Phys. 2004, 6, 3663–3668. [Google Scholar] [CrossRef]
- Dyre, J.C.; Maass, P.; Roling, B.; Sidebottom, D.L. Fundamental Questions Relating to Ion Conduction in Disordered Solids. Rep. Prog. Phys. 2009, 72, 046501. [Google Scholar] [CrossRef]
- Swenson, J.; Matic, A.; Karlsson, C.; Börjesson, L.; Meneghini, C.; Howells, W.S. Random Ion Distribution Model: A Structural Approach to the Mixed-Alkali Effect in Glasses. Phys. Rev. B—Condens. Matter Mater. Phys. 2001, 63, 1–4. [Google Scholar] [CrossRef]
- Faivre, A.; Despetis, F.; Duffours, L.; Colombel, P. Effect of CaO and Al2O3 Addition on the Properties of K2O–Na2O–P2O5 Glass System. Int. J. Appl. Glass Sci. 2019, 10, 162–171. [Google Scholar] [CrossRef]
- Brow, R.K. Nature of Alumina in Phosphate Glass: I, Properties of Sodium Aluminophosphate Glass. J. Am. Ceram. Soc. 1993, 76, 913–918. [Google Scholar] [CrossRef]
- Wegner, S.; van Wüllen, L.; Tricot, G. The Structure of Aluminophosphate Glasses Revisited: Application of Modern Solid State NMR Strategies to Determine Structural Motifs on Intermediate Length Scales. J. Non-Cryst. Solids 2008, 354, 1703–1714. [Google Scholar] [CrossRef]
- Cramer, C.; Brückner, S.; Gao, Y.; Funke, K. Ion Dynamics in Mixed Alkali Glasses. Phys. Chem. Chem. Phys. 2002, 4, 3214–3218. [Google Scholar] [CrossRef]
- Stefanovsky, S.V.; Stefanovsky, O.I.; Kadyko, M.I.; Presniakov, I.A.; Myasoedov, B.F. The Effect of Fe2O3 Substitution for Al2O3 on the Phase Composition and Structure of Sodium-Aluminum-Iron Phosphate Glasses. J. Non-Cryst. Solids 2015, 425, 138–145. [Google Scholar] [CrossRef]
- Stefanovsky, S.V.; Stefanovsky, O.I.; Kadyko, M.I. FTIR and Raman Spectroscopic Study of Sodium Aluminophosphate and Sodium Aluminum-Iron Phosphate Glasses Containing Uranium Oxides. J. Non-Cryst. Solids 2016, 443, 192–198. [Google Scholar] [CrossRef]
- Moustafa, Y.M.; El-Egili, K. Infrared Spectra of Sodium Phosphate Glasses. J. Non-Cryst. Solids 1998, 240, 144–153. [Google Scholar] [CrossRef]
- Attafi, Y.; Liu, S. Conductivity and Dielectric Properties of Na2O-K2O-Nb2O5-P2O5 Glasses with Varying Amounts of Nb2O5. J. Non-Cryst. Solids 2016, 447, 74–79. [Google Scholar] [CrossRef]
- Chu, C.M.; Wu, J.J.; Yung, S.W.; Chin, T.S.; Zhang, T.; Wu, F.B. Optical and Structural Properties of Sr-Nb-Phosphate Glasses. J. Non-Cryst. Solids 2011, 357, 939–945. [Google Scholar] [CrossRef]
- Rair, D.; Rochdi, A.; Majjane, A.; Jermoumi, T.; Chahine, A.; Touhami, M.E. Synthesis and Study by FTIR, 31P NMR and Electrochemical Impedance Spectroscopy of Vanadium Zinc Phosphate Glasses Prepared by Sol–Gel Route. J. Non-Cryst. Solids 2016, 432, 459–465. [Google Scholar] [CrossRef]
- Ferraa, S.; Barebita, H.; Moutataouia, M.; Nimour, A.; Elbadaoui, A.; Baach, B.; Guedira, T. Effect of Barium Oxide on Structural Features and Thermal Properties of Vanadium Phosphate Glasses. Chem. Phys. Lett. 2021, 765, 138304. [Google Scholar] [CrossRef]
- Sene, F.F.; Martinelli, J.R.; Gomes, L. Synthesis and Characterization of Niobium Phosphate Glasses Containing Barium and Potassium. J. Non-Cryst. Solids 2004, 348, 30–37. [Google Scholar] [CrossRef]
- Belkébir, A.; Rocha, J.; Esculcas, A.P.; Berthet, P.; Gilbert, B.; Gabelica, Z.; Llabres, G.; Wijzen, F.; Rulmont, A. Structural Characterisation of Glassy Phases in the System Na2O-Al2O3-P2O5 by MAS and Solution NMR, EXAFS and Vibrational Spectroscopy. Spectrochim. Acta—Part Mol. Biomol. Spectrosc. 1999, 55, 1323–1336. [Google Scholar] [CrossRef]
- Moutataouia, M.; Iaataren, J.; Lamire, M. Effect of Mixed Iron and Sodium on the Thermal Stability and Spectroscopic Properties of Vanadium Phosphate Glasses. Glass Phys. Chem. 2020, 46, 497–509. [Google Scholar] [CrossRef]
- Choudhary, B.P.; Singh, N.B. Characterization of Fe3+-Doped Silver Phosphate Glasses. Bull. Mater. Sci. 2016, 39, 1651–1663. [Google Scholar] [CrossRef]
- Assem, E.E.; Elmehasseb, I. Structure, Magnetic, and Electrical Studies on Vanadium Phosphate Glasses Containing Different Oxides. J. Mater. Sci. 2011, 46, 2071–2076. [Google Scholar] [CrossRef]
- Khodadadi, A.; Farahmandjou, M.; Yaghoubi, M. Investigation on Synthesis and Characterization of Fe-Doped Al2O3 Nanocrystals by New Sol-Gel Precursors. Mater. Res. Express 2019, 6, 025029. [Google Scholar] [CrossRef]
- Žic, M. An Alternative Approach to Solve Complex Nonlinear Least-Squares Problems. J. Electroanal. Chem. 2016, 760, 85–96. [Google Scholar] [CrossRef]
- Summerfield, S.; Butcher, P.N. Universal Behaviour of AC Hopping Conductivity in Disordered Systems. J. Non-Cryst. Solids 1985, 77–78, 135–138. [Google Scholar] [CrossRef]
- Šantić, A.; Nikolić, J.; Pavić, L.; Banhatti, R.D.; Mošner, P.; Koudelka, L.; Moguš-Milanković, A. Scaling Features of Conductivity Spectra Reveal Complexities in Ionic, Polaronic and Mixed Ionic-Polaronic Conduction in Phosphate Glasses. Acta Mater. 2019, 175, 46–54. [Google Scholar] [CrossRef]
- Roling, B.; Happe, A.; Funke, K.; Ingram, M.D. Carrier Concentrations and Relaxation Spectroscopy: New Information from Scaling Properties of Conductivity Spectra in Ionically Conducting Glasses. Phys. Rev. Lett. 1997, 78, 2160–2163. [Google Scholar] [CrossRef]
- Kumar, M.M.; Ye, Z.G. Deviations from the Summerfield Scaling in the Piezoelectric PbZr0.57Ti0.43O3. arXiv 2005. e-prints. [Google Scholar]
- Baranovskii, S.D.; Cordes, H. On the Conduction Mechanism in Ionic Glasses. J. Chem. Phys. 1999, 111, 7546–7557. [Google Scholar] [CrossRef]
- Murugavel, S.; Roling, B. Ac Conductivity Spectra of Alkali Tellurite Glasses: Composition-Dependent Deviations from the Summerfield Scaling. Phys. Rev. Lett. 2002, 89, 195902. [Google Scholar] [CrossRef] [PubMed]
- Roling, B.; Martiny, C.; Murugavel, S. Ionic Conduction in Glass: New Information on the Interrelation between the “Jonscher Behavior” and the “Nearly Constant-Loss Behavior” from Broadband Conductivity Spectra. Phys. Rev. Lett. 2001, 87, 085901. [Google Scholar] [CrossRef] [PubMed]
- Sidebottom, D.L. Universal Approach for Scaling the Ac Conductivity in Ionic Glasses. Phys. Rev. Lett. 1999, 82, 3653–3656. [Google Scholar] [CrossRef]
- Sklepić, K.; Banhatti, R.D.; Tricot, G.; Mošner, P.; Koudelka, L.; Moguš-Milanković, A. Insights from Local Network Structures and Localized Diffusion on the Ease of Lithium Ion Transport in Two Mixed Glass-Former Systems. J. Phys. Chem. C 2017, 121, 17641–17657. [Google Scholar] [CrossRef]
- Mariappan, C.; Roling, B. Investigation of Bioglass–Electrode Interfaces after Thermal Poling. Solid State Ion. 2008, 179, 671–677. [Google Scholar] [CrossRef]
- Hong, C.-M.; Day, D.E. Thermally Stimulated Polarization and Depolarization Current (TSPC/TSDC) Techniques for Studying Ion Motion in Glass. J. Mater. Sci. 1979, 14, 2493–2499. [Google Scholar] [CrossRef]










| Glass | Composition (mol%) P2O5-Al2O3-Na2O-K2O | [K/K+Na] Ratio | Density (g cm−3) | Tg (°C) | VM (cm3 mol−1) | NV (K+ + Na+) × 10−22 (cm−3) | Molar O/P Ratio | |||
|---|---|---|---|---|---|---|---|---|---|---|
| PAN5K | 40.0 | 20.0 | 35.0 | 5.0 | 0.12 | 2.63 | 413 | 39.33 | 1.23 | 3.75 |
| PAN7.5K | 40.0 | 17.5 | 35.0 | 7.5 | 0.18 | 2.62 | 409 | 39.41 | 1.30 | 3.69 |
| PAN10K | 40.0 | 15.0 | 35.0 | 10.0 | 0.22 | 2.61 | 404 | 39.49 | 1.37 | 3.63 |
| PAN12.5K | 40.0 | 12.5 | 35.0 | 12.5 | 0.26 | 2.60 | 395 | 39.58 | 1.45 | 3.56 |
| PAN15K | 40.0 | 10.0 | 35.0 | 15.0 | 0.30 | 2.59 | 381 | 39.66 | 1.52 | 3.50 |
Disclaimer/Publisher’s Note: The statements, opinions and data contained in all publications are solely those of the individual author(s) and contributor(s) and not of MDPI and/or the editor(s). MDPI and/or the editor(s) disclaim responsibility for any injury to people or property resulting from any ideas, methods, instructions or products referred to in the content. |
© 2023 by the authors. Licensee MDPI, Basel, Switzerland. This article is an open access article distributed under the terms and conditions of the Creative Commons Attribution (CC BY) license (https://creativecommons.org/licenses/by/4.0/).
Share and Cite
Razum, M.; Marijan, S.; Filho, J.C.; Andrade, A.A.; Silva, A.C.A.; Dantas, N.O.; Pisk, J.; Šantić, A.; Pavić, L. Mixed-Alkali Effect and Correlation to Glass Structure in Ionically Conductive P2O5-Al2O3-Na2O-K2O Glass System. Coatings 2023, 13, 185. https://doi.org/10.3390/coatings13010185
Razum M, Marijan S, Filho JC, Andrade AA, Silva ACA, Dantas NO, Pisk J, Šantić A, Pavić L. Mixed-Alkali Effect and Correlation to Glass Structure in Ionically Conductive P2O5-Al2O3-Na2O-K2O Glass System. Coatings. 2023; 13(1):185. https://doi.org/10.3390/coatings13010185
Chicago/Turabian StyleRazum, Marta, Sara Marijan, José C. Filho, Acácio A. Andrade, Anielle C. Almeida Silva, Noelio O. Dantas, Jana Pisk, Ana Šantić, and Luka Pavić. 2023. "Mixed-Alkali Effect and Correlation to Glass Structure in Ionically Conductive P2O5-Al2O3-Na2O-K2O Glass System" Coatings 13, no. 1: 185. https://doi.org/10.3390/coatings13010185
APA StyleRazum, M., Marijan, S., Filho, J. C., Andrade, A. A., Silva, A. C. A., Dantas, N. O., Pisk, J., Šantić, A., & Pavić, L. (2023). Mixed-Alkali Effect and Correlation to Glass Structure in Ionically Conductive P2O5-Al2O3-Na2O-K2O Glass System. Coatings, 13(1), 185. https://doi.org/10.3390/coatings13010185

