Increased Electromagnetic Wave Absorption through Controlled Sonication Processing on BaFe11.2Mg0.4Al0.4O19 Nanoparticles
Abstract
1. Introduction
2. Materials and Methods
3. Results and Discussions
3.1. Synthesis of BaFe11.2Mg0.4Al0.4O19 through Mechanical Alloying
3.2. Scanning Electron Microscopy Results
3.3. High-Power Ultrasonic Irradiation Process Parameters
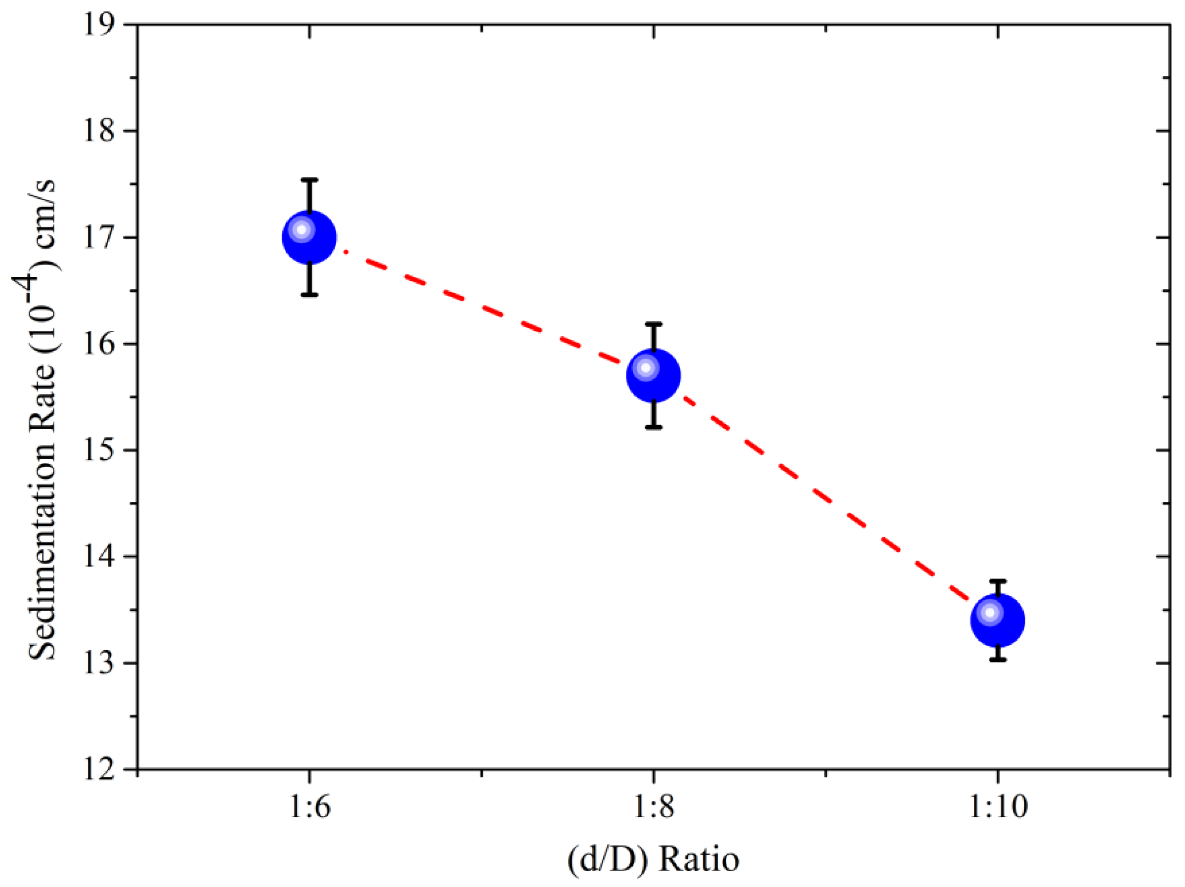
3.3.1. Effect of d/D Ratio on Particle Size Reduction
3.3.2. Effect of Sonication Process Particle Density on Particle Size Reduction
3.3.3. Effect of Surfactant Type in Preventing Agglomeration
3.3.4. Effect of Surfactant Concentration on Preventing Agglomeration
3.3.5. Effect of Amplitude on The Effectiveness of Particle Size Reduction
3.3.6. Effect of Sonication Time on Particle Size Reduction
3.4. Analysis of Vector Network Analyzer
3.5. Magnetic Properties of Mg-Al-Doped Barium Hexaferrite
4. Conclusions
Author Contributions
Funding
Institutional Review Board Statement
Informed Consent Statement
Data Availability Statement
Acknowledgments
Conflicts of Interest
References
- Al-Mattarneh, H. Development and characterization of microwave absorber composite material. Int. J. Eng. Technol. 2018, 7, 54–58. [Google Scholar] [CrossRef]
- Handoko, E.; Budi, S.; Sugihartono, I.; Marpaung, M.A.; Jalil, Z.; Taufiq, A.; Alaydrus, M. Microwave absorption performance of barium hexaferrite multi-nanolayers. Mater. Express 2020, 10, 1328–1336. [Google Scholar] [CrossRef]
- Gultom, G.; Rianna, M.; Sebayang, P.; Ginting, M. The effect of Mg-Al binary doped barium hexaferrite for enhanced microwave absorption performance. Case Stud. Therm. Eng. 2020, 18, 100580. [Google Scholar] [CrossRef]
- Yustanti, E.; Trenggono, A.; Manaf, A. Physical and Microwave Absorption Characteristics of High Powered. Int. J. Technol. 2020, 11, 310–321. [Google Scholar] [CrossRef]
- Rianna, M.; Sembiring, T.; Kurniawan, C.; Setiadi, E.A.; Simbolon, S.; Ginting, M.; Sebayang, P. Microstructure and magnetic properties of BaFe12-2xMgxAlxO19 for microwave absorbing materials. Int. J. Appl. Eng. Res. 2017, 12, 6586–6590. [Google Scholar]
- Soman, V.V.; Nanoti, V.M.; Kulkarni, D.K. Dielectric and magnetic properties of Mg–Ti substituted barium hexaferrite. Ceram. Int. 2013, 39, 5713–5723. [Google Scholar] [CrossRef]
- Seyyed Afghahi, S.S.; Jafarian, M.; Salehi, M.; Atassi, Y. Improvement of the performance of microwave X band absorbers based on pure and doped Ba-hexaferrite. J. Magn. Magn. Mater. 2017, 421, 340–348. [Google Scholar] [CrossRef]
- Singh, J.; Singh, C.; Bai, Y.; Kaur, D.; Bindra Narang, S.; James Raju, K.C.; Dhruv, P.N.; Jotania, R.; Joseph, A.; Joshi, R. Role of phase, grain morphology and impedance properties in tailoring of Barium Strontium hexaferrites for microwave absorber/attenuator applications. Mater. Sci. Eng. B Solid-State Mater. Adv. Technol. 2022, 281, 115679. [Google Scholar] [CrossRef]
- Hu, F.; Nan, H.; Wang, M.; Lin, Y.; Yang, H.; Qiu, Y.; Wen, B. Construction of core-shell BaFe12O19@MnO2 composite for effectively enhancing microwave absorption performance. Ceram. Int. 2021, 47, 16579–16587. [Google Scholar] [CrossRef]
- Lin, Y.; Liu, Y.; Dai, J.; Wang, L.; Yang, H. Synthesis and microwave absorption properties of plate-like BaFe12O19@Fe3O4 core-shell composite. J. Alloys Compd. 2018, 739, 202–210. [Google Scholar] [CrossRef]
- Nikmanesh, H.; Moradi, M.; Bordbar, G.H.; Shams Alam, R. Effect of multi dopant barium hexaferrite nanoparticles on the structural, magnetic, and X-Ku bands microwave absorption properties. J. Alloys Compd. 2017, 708, 99–107. [Google Scholar] [CrossRef]
- Rianna, M.; Situmorang, M.; Kurniawan, C.; Tetuko, A.P.; Setiadi, E.A.; Ginting, M.; Sebayang, P. The effect of Mg-Al additive composition on microstructure, magnetic properties, and microwave absorption on BaFe12−2xMgxAlxO19 (x = 0–0.5) material synthesized from natural iron sand. Mater. Lett. 2019, 256, 126612. [Google Scholar] [CrossRef]
- Kagdi, A.R.; Solanki, N.P.; Carvalho, F.E.; Meena, S.S.; Bhatt, P.; Pullar, R.C.; Jotania, R.B. Influence of Mg substitution on structural, magnetic and dielectric properties of X-type barium–zinc hexaferrites Ba2Zn2−xMgxFe28O46. J. Alloys Compd. 2018, 741, 377–391. [Google Scholar] [CrossRef]
- Chen, Z.; Mu, D.; Liu, T.; He, Z.; Zhang, Y.; Yang, H.; Ouyang, J. PANI/BaFe12O19@Halloysite ternary composites as novel microwave absorbent. J. Colloid Interface Sci. 2021, 582, 137–148. [Google Scholar] [CrossRef] [PubMed]
- Chokprasombat, K.; Lohmaah, A.; Pinitsoontorn, S.; Sirisathitkul, C. Effects of bismuth and bismuth-copper substitutions on structure, morphology, and magnetic properties of sol-gel derived barium hexaferrites. J. King Saud Univ.-Sci. 2022, 34, 101682. [Google Scholar] [CrossRef]
- Nag, A.; Bose, R.S.C.; Venu, K.S.; Singh, H. Influence of particle size on magnetic and electromagnetic properties of hexaferrite synthesised by sol-gel auto combustion route. Ceram. Int. 2022, 48, 15303–15313. [Google Scholar] [CrossRef]
- Suthar, M.; Roy, P.K. Structural, electromagnetic, and Ku-band absorption characterization of La-Mg substituted Y-type barium hexaferrite for EMI shielding application. Mater. Sci. Eng. B Solid-State Mater. Adv. Technol. 2022, 283, 115801. [Google Scholar] [CrossRef]
- Rostami, M.; Jafarpour, M.; Majles Ara, M.H. An investigation on the microwave absorption properties of Co–Al–Ti substituted barium hexaferrite-MWCNT nanocomposites. J. Alloys Compd. 2021, 872, 159656. [Google Scholar] [CrossRef]
- Mahdiani, M.; Soofivand, F.; Salavati-Niasari, M. Investigation of experimental and instrumental parameters on properties of PbFe12O19 nanostructures prepared by sonochemical method. Ultrason. Sonochem. 2018, 40, 271–281. [Google Scholar] [CrossRef]
- Almessiere, M.A.; Slimani, Y.; Demir Korkmaz, A.; Baykal, A.; Albetran, H.; Saleh, T.A.; Sertkol, M.; Ercan, I. A study on the spectral, microstructural, and magnetic properties of Eu–Nd double-substituted Ba0.5Sr0.5Fe12O19 hexaferrites synthesized by an ultrasonic-assisted approach. Ultrason. Sonochem. 2020, 62, 104847. [Google Scholar] [CrossRef]
- Almessiere, M.A.; Slimani, Y.; Guner, S.; Aldakhil, S.; Korkmaz, A.D.; Sertkol, M.; Gungunes, H.; Yasin, G.; Baykal, A. Ultrasonic synthesis, magnetic and optical characterization of Tm3+ and Tb3+ ions co-doped barium nanohexaferrites. J. Solid State Chem. 2020, 286, 121310. [Google Scholar] [CrossRef]
- Georgieva, B.; Kolev, S.; Krezhov, K.; Ghelev, C.; Kovacheva, D.; Vertruyen, B.; Closset, R.; Tran, L.M.; Babij, M.; Zaleski, A.J.; et al. Structural and magnetic characterization of Y-type hexaferrite powders prepared by sol-gel auto-combustion and sonochemistry. J. Magn. Magn. Mater. 2019, 477, 131–135. [Google Scholar] [CrossRef]
- Houbi, A.; Aldashevich, Z.A.; Atassi, Y.; Bagasharova Telmanovna, Z.; Saule, M.; Kubanych, K. Microwave absorbing properties of ferrites and their composites: A review. J. Magn. Magn. Mater. 2021, 529, 167839. [Google Scholar] [CrossRef]
- Ji, R.; Yang, M.; Lv, J.; Wang, Z.; Shi, Y.; Song, X.; Xie, A.; Liu, J.; Zhang, M. Carboxylation-induced polyaniline morphology on surfaces of barium hexaferrite nano particles with enhanced microwave absorbing properties. J. Alloys Compd. 2021, 883, 160839. [Google Scholar] [CrossRef]
- Nicolson, A.M.; Ross, G. Measurement of the Intrinsic Properties of Materials by Time-Domain Techniques. IEEE Trans. Instrum. Meas. 1970, 19, 377–382. [Google Scholar] [CrossRef]
- Hessien, M.M.; Radwan, M.; Rashad, M.M. Enhancement of magnetic properties for the barium hexaferrite prepared through ceramic route. J. Anal. Appl. Pyrolysis 2007, 78, 282–287. [Google Scholar] [CrossRef]
- Suslick, K.S. Sonochemistry. In Comprehensive Coordination Chemistry II; Elsevier Ltd.: Amsterdam, The Netherlands, 2003; Volume 1, pp. 731–739. ISBN 9780080437484. [Google Scholar]
- Suslick, K.S.; Price, G.J. Applications Of Ultrasound To Materials Chemistry. Annu. Rev. Mater. Sci. 1999, 29, 295–326. [Google Scholar] [CrossRef]
- Manaf, A.; Fahmi, A.A.; Yustanti, E. The effect of diameter ratio between transducers and reactor in sonication-assisted synthesis of Ba0.7Sr0.3TiO3 and Ba0.3Sr0.7TiO3 nanoparticles. In Proceedings of the International Symposium on Current Progress in Mathematics and Sciences 2015 (ISCPMS 2015), Depok, Indonesia, 3–4 November 2015; Mart, T., Triyono, D., Eds.; AIP Publishing: Depok, Indonesia, 2016; Volume 1729, pp. 020038-1–020038-4. [Google Scholar]
- Yustanti, E.; Hafizah, M.A.E.; Manaf, A. Exploring the Effect of Particle Concentration and Irradiation Time in the Synthesis of Barium Strontium Titanate (BST) Ba(1−X)SrXTiO3 (X:0-1) Nanoparticles by High Power Ultrasonic Irradiation. Int. J. Technol. 2016, 7, 1016–1025. [Google Scholar] [CrossRef]
- Yustanti, E.; Hafizah, M.A.E.; Manaf, A. Surfactant-Assisted Synthesis of Ba0.7Sr0.3TiO3 Nanoparticles by Mechanical Alloying and Ultrasonic Irradiation. In Proceedings of the International Conference on Engineering, Science and Nanotechnology 2016 (ICESNANO 2016), Solo, Indonesia, 3–5 August 2016; American Institute of Physics: Solo, Indonesia, 2017; Volume 1788, pp. 030119-1–030119-4. [Google Scholar]
- Fitriana, K.N.; Hafizah, M.A.E.; Manaf, A. Synthesis and Magnetic Characterization of Mn-Ti Substituted SrO.6Fe2-xMnx/2Tix/2O3 (x = 0.0–1.0) Nanoparticles by Combined Destruction Process. Int. J. Technol. 2017, 4, 644–650. [Google Scholar] [CrossRef]
- Fitriana, K.N.; Hafizah, M.A.E.; Manaf, A. Structural Modification of Strontium Hexaferrite Through Destruction Process and Ionic Substitution. AIP Conf. Proc. 2016, 1725, 1–6. [Google Scholar]
- Ratoarinoro; Contamine, F.; Wilhelm, A.; Berlan, J.; Delmas, H. Power Measurement in Sonochemistry. Ultrason. Sonochem. 1995, 2, S43–S47. [Google Scholar] [CrossRef]
- Duan, Y.; Guan, H. Microwave Absorbing Materials; CRC Press: Boca Raton, FL, USA, 2016; ISBN 9789814745109. [Google Scholar]
- Kumar, A.; Agarwala, V.; Singh, D. Effect of particle size of BaFe12O19 on the microwave absorption Characteristics in X-band. Prog. Electromagn. Res. M 2013, 29, 223–236. [Google Scholar] [CrossRef]
- Inoue, A.; Kong, F. Soft Magnetic Materials. Encycl. Smart Mater. 2021, 5, 10–23. [Google Scholar] [CrossRef]
- Taryana, Y.; Wahyu, Y.; Manaf, A.; Manawan, M.; Adi, W.A. Structural and microwave absorption properties of BaFe(12–2x) SnxZnxO19 (x=0.05–1.0) ceramic magnets. Materialia 2022, 23, 101455. [Google Scholar] [CrossRef]
- Shanon, R.D. Revised Effective Ionic Radii and Systematic Studies of Interatomie Distances in Halides and Chaleogenides. Acta Crystallogr. 1976, A32, 751–767. [Google Scholar] [CrossRef]
- Bsoul, I.; Mahmood, S.H.; Lehlooh, A.F. Structural and magnetic properties of BaFe12-2xTixRuxO19. J. Alloys Compd. 2010, 498, 157–161. [Google Scholar] [CrossRef]

















| Sample | A | R | D | S | SC | ST |
|---|---|---|---|---|---|---|
| Code | Amplitude | Ratio d/D | Density | Surfactant | Surfac. Conc. | Sonic. Time |
| A | 55 | 1:06 | 5/250 | 0 | 0 | 6 |
| B | 55 | 1:08 | 5/250 | 0 | 0 | 6 |
| C | 55 | 1:10 | 5/250 | 0 | 0 | 6 |
| D | 55 | 1:10 | 5/200 | 0 | 0 | 6 |
| E | 55 | 1:10 | 5/150 | 0 | 0 | 6 |
| F | 55 | 1:10 | 5/100 | 0 | 0 | 6 |
| G | 55 | 1:10 | 5/250 | non-ionic | 0 | 6 |
| H | 55 | 1:10 | 5/250 | amphoteric | 0 | 6 |
| I | 55 | 1:10 | 5/250 | cationic | 0 | 6 |
| J | 55 | 1:10 | 5/250 | anionic | 0 | 6 |
| K | 55 | 1:10 | 5/250 | non-ionic | 0 | 8 |
| L | 55 | 1:10 | 5/250 | non-ionic | 1 | 8 |
| M | 55 | 1:10 | 5/250 | non-ionic | 0.1 | 8 |
| N | 55 | 1:10 | 5/250 | non-ionic | 0.01 | 8 |
| O | 45 | 1:10 | 5/250 | non-ionic | 0.01 | 8 |
| P | 35 | 1:10 | 5/250 | non-ionic | 0.01 | 8 |
| Q | 55 | 1:10 | 5/250 | non-ionic | 0.01 | 4 |
| R | 55 | 1:10 | 5/250 | non-ionic | 0.01 | 2 |
| S | 55 | 1:10 | 5/250 | non-ionic | 0.01 | 0 |
| Description | BHF | Mg-Al Doped BHF |
|---|---|---|
| Goodness of fit | 1.16 | 1.26 |
| Chemical formula | BaFe12O19 | BaFe12O19 |
| Calculated density (g/cm3) | 5.29 | 5.31 |
| Crystal system | Hexagonal | Hexagonal |
| Space group | P63/mmc | P63/mmc |
| Crystallite size (Å) | 956.2 | 950.9 |
| Lattice parameters (Å) | ||
| a, b | 5.89 | 5.87 |
| c | 23.21 | 23.19 |
| α, β (deg.) | 90 | 90 |
| γ (deg.) | 120 | 120 |
| Volume of cell (Å3) | 696.52 | 695.39 |
| Ionic | Electronegativity | Ionic Radius (Å) | ||
|---|---|---|---|---|
| IV (Tetrahedral) | V (Trigonal) | VII (Octahedral) | ||
| Fe3+ | 1.83 | 0.49 | 0.58 | 0.65 |
| Mg2+ | 1.31 | 0.57 | 0.66 | 0.72 |
| Al3+ | 1.61 | 0.39 | 0.48 | 0.353 |
Publisher’s Note: MDPI stays neutral with regard to jurisdictional claims in published maps and institutional affiliations. |
© 2022 by the authors. Licensee MDPI, Basel, Switzerland. This article is an open access article distributed under the terms and conditions of the Creative Commons Attribution (CC BY) license (https://creativecommons.org/licenses/by/4.0/).
Share and Cite
Yustanti, E.; Noviyanto, A.; Chotimah, L.C.; Saputra, M.A.R.; Randa, M.; Manawan, M. Increased Electromagnetic Wave Absorption through Controlled Sonication Processing on BaFe11.2Mg0.4Al0.4O19 Nanoparticles. Coatings 2022, 12, 1367. https://doi.org/10.3390/coatings12091367
Yustanti E, Noviyanto A, Chotimah LC, Saputra MAR, Randa M, Manawan M. Increased Electromagnetic Wave Absorption through Controlled Sonication Processing on BaFe11.2Mg0.4Al0.4O19 Nanoparticles. Coatings. 2022; 12(9):1367. https://doi.org/10.3390/coatings12091367
Chicago/Turabian StyleYustanti, Erlina, Alfian Noviyanto, Laila Chusnul Chotimah, Muhamad Abdur Rais Saputra, Maulana Randa, and Maykel Manawan. 2022. "Increased Electromagnetic Wave Absorption through Controlled Sonication Processing on BaFe11.2Mg0.4Al0.4O19 Nanoparticles" Coatings 12, no. 9: 1367. https://doi.org/10.3390/coatings12091367
APA StyleYustanti, E., Noviyanto, A., Chotimah, L. C., Saputra, M. A. R., Randa, M., & Manawan, M. (2022). Increased Electromagnetic Wave Absorption through Controlled Sonication Processing on BaFe11.2Mg0.4Al0.4O19 Nanoparticles. Coatings, 12(9), 1367. https://doi.org/10.3390/coatings12091367

