Growth Response, Enrichment Effect, and Physiological Response of Different Garden Plants under Combined Stress of Polycyclic Aromatic Hydrocarbons and Heavy Metals
Abstract
1. Introduction
2. Materials and Methods
2.1. Materials
2.2. Methods
2.2.1. Stress Treatment in Pot Experiment
2.2.2. Determination of Contents
- (1)
- Plant morphological index
- (2)
- Contents of Cd and Pyr in plants and soil
- (3)
- Plant physiological indicators
2.3. Statistical Analysis of Data
3. Results
3.1. Growth Response of Different Ornamental Plants under Compound Stress
3.1.1. Analysis of Changes in Main Apparent Ornamental Characteristics of Plants
3.1.2. Effect of Cd-Pyr Compound Treatment on Plant Height
3.1.3. Effects of Cd-Pyr Compound Treatment on Related Indices of Leaves and Flowers
3.1.4. Effect of Cd-Pyr Compound Treatment on Biomass
3.2. Enrichment Characteristics of Cd and Pyr in Different Ornamental Plants
3.2.1. Absorption of Pollutants by Aboveground Parts of Five Plants
3.2.2. Changes in Pollutant Levels in Potted Soil of the Five Plants
3.2.3. Enrichment Coefficient of Pollutants in Aboveground Parts of the Five Plants
3.3. Trends of Different Physiological Indices with Time
3.3.1. Effects of Cd-Pyr Compound Treatment on SOD, POD, and CAT Activities and MDA Content
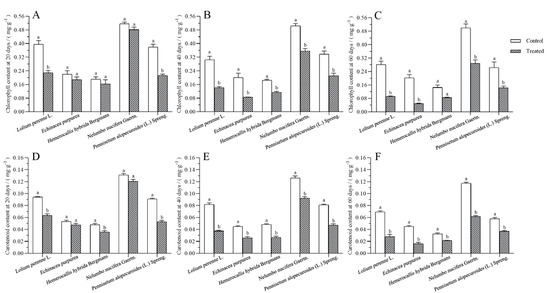
3.3.2. Effect of Cd-Pyr Compound Treatment on Chlorophyll and Carotenoid Contents
4. Conclusions and Discussion
Author Contributions
Funding
Institutional Review Board Statement
Informed Consent Statement
Data Availability Statement
Conflicts of Interest
References
- Jaishankar, M.; Tseten, T.; Anbalagan, N.; Mathew, B.B.; Beeregowda, K.N. Toxicity, mechanism and health effects of some heavy metals. Interdiscip. Toxicol. 2014, 7, 60–72. [Google Scholar] [CrossRef]
- Hu, H.; Jin, Q.; Kavan, P. A study of heavy metal pollution in China: Current status, pollution-control policies and countermeasures. Sustainability 2014, 6, 5820–5838. [Google Scholar] [CrossRef]
- Statistics, D.O.I. China Industrial Economy Statistical Yearbook; China Statistic Press: Beijing, China, 2011. [Google Scholar]
- Wang, T.; Li, B.; Liao, H.; Li, Y. Spatiotemporal distribution of atmospheric polycyclic aromatic hydrocarbon emissions during 2013-2017 in mainland China. Sci. Total Environ. 2021, 789, 148003. [Google Scholar] [CrossRef]
- Yang, C.; Zeng, Q.; Wang, Y.; Liao, B.; Sun, J.; Shi, H.; Chen, X. Simultaneous elution of polycyclic aromatic hydrocarbons and heavy metals from contaminated soil by two amino acids derived from Β-cyclodextrins. J. Environ. Sci. 2010, 22, 1910–1915. [Google Scholar] [CrossRef]
- Cameselle, C.; Chirakkara, R.A.; Reddy, K.R. Electrokinetic-enhanced phytoremediation of soils: Status and opportunities. Chemosphere 2013, 93, 626–636. [Google Scholar] [CrossRef] [PubMed]
- Ye, M.; Sun, M.; Kengara, F.O.; Wang, J.; Ni, N.; Wang, L.; Song, Y.; Yang, X.; Li, H.; Hu, F.; et al. Evaluation of soil washing process with carboxymethyl-Β-cyclodextrin and carboxymethyl chitosan for recovery of pahs/heavy metals/fluorine from metallurgic plant site. J. Environ. Sci. 2014, 26, 1661–1672. [Google Scholar] [CrossRef] [PubMed]
- Sumiahadi, A.; Acar, R. A review of phytoremediation technology: Heavy metals uptake by plants. In IOP Conference Series: Earth and Environmental Science; IOP Publishing: Bristol, UK, 2018; p. 012023. [Google Scholar] [CrossRef]
- Gieron, Z.; Sitko, K.; Zieleznik-Rusinowska, P.; Szopinski, M.; Rojek-Jelonek, M.; Rostanski, A.; Rudnicka, M.; Malkowski, E. Ecophysiology of arabidopsis arenosa, a new hyperaccumulator of Cd and Zn. J. Hazard Mater. 2021, 412, 125052. [Google Scholar] [CrossRef]
- Rajput, V.; Minkina, T.; Semenkov, I.; Klink, G.; Tarigholizadeh, S.; Sushkova, S. Phylogenetic analysis of hyperaccumulator plant species for heavy metals and polycyclic aromatic hydrocarbons. Environ. Geochem. Health 2021, 43, 1629–1654. [Google Scholar] [CrossRef]
- Baker, A.J.M.; McGrath, S.P.; Sidoli, C.M.D.; Reeves, R.D. The possibility of in situ heavy metal decontamination of polluted soils using crops of metal-accumulating plants. Resour. Conserv. Recycl. 1994, 11, 41–49. [Google Scholar] [CrossRef]
- Sun, Y.; Zhou, Q.; Xu, Y.; Wang, L.; Liang, X. Phytoremediation for Co-contaminated soils of benzo[a]pyrene (B[a]P) and heavy metals using ornamental plant tagetes patula. J. Hazard Mater. 2011, 186, 2075–2082. [Google Scholar] [CrossRef]
- Xiao, N.; Liu, R.; Jin, C.; Dai, Y. Efficiency of five ornamental plant species in the phytoremediation of polycyclic aromatic hydrocarbon (pah)-contaminated soil. Ecol. Eng. 2015, 75, 384–391. [Google Scholar] [CrossRef]
- Sun, Y.; Zhou, Q. Uptake and translocation of benzo[a]pyrene (B[a]P) in two ornamental plants and dissipation in soil. Ecotoxicol. Environ. Safety 2016, 124, 74–81. [Google Scholar] [CrossRef]
- Asgari Lajayer, B.; Khadem Moghadam, N.; Maghsoodi, M.R.; Ghorbanpour, M.; Kariman, K. Phytoextraction of heavy metals from contaminated soil, water and atmosphere using ornamental plants: Mechanisms and efficiency improvement strategies. Environ. Sci. Pollut. Res. 2019, 26, 8468–8484. [Google Scholar] [CrossRef] [PubMed]
- Wu, J.; Yang, M.; Xiong, L.; Wang, C.; Ta, N. Health-oriented vegetation community design: Innovation in urban green space to support respiratory health. Landsc. Urban Plan. 2021, 205, 103973. [Google Scholar] [CrossRef]
- Liu, Z.; Chen, W.; He, X. Evaluation of hyperaccumulation potentials to cadmium (Cd) in six ornamental species (compositae). Int. J. Phytoremediation 2018, 20, 1464–1469. [Google Scholar] [CrossRef]
- Jeelani, N.; Yang, W.; Xu, L.; Qiao, Y.; An, S.; Leng, X. 2 phytoremediation potential of acorus calamus in soils co-contaminated with cadmium and polycyclic aromatic hydrocarbons. Sci. Rep. 2017, 7, 8028. [Google Scholar] [CrossRef]
- Guo, H.; Hong, C.; Chen, X.; Xu, Y.; Liu, Y.; Jiang, D.; Zheng, B. Different growth and physiological responses to cadmium of the three miscanthus species. PLoS ONE 2016, 11, e0153475. [Google Scholar] [CrossRef]
- Jiang, N.; Li, Z.; Yang, J.; Zu, Y. Responses of antioxidant enzymes and key resistant substances in perennial ryegrass (Lolium perenne L.) to cadmium and arsenic stresses. BMC Plant Biol. 2022, 22, 145. [Google Scholar] [CrossRef]
- Luo, H.; Li, H.; Zhang, X.; Fu, J. Antioxidant responses and gene expression in perennial ryegrass (Lolium perenne L.) under cadmium stress. Ecotoxicology 2011, 20, 770–778. [Google Scholar] [CrossRef]
- Wei, S.; Pan, S. Phytoremediation for soils contaminated by phenanthrene and pyrene with multiple plant species. J. Soils Sediments 2010, 10, 886–894. [Google Scholar] [CrossRef]
- Gan, S.; Lau, E.V.; Ng, H.K. Remediation of soils contaminated with polycyclic aromatic hydrocarbons (pahs). J. Hazard Mater. 2009, 172, 532–549. [Google Scholar] [CrossRef] [PubMed]
- D’Orazio, V.; Ghanem, A.; Senesi, N. Phytoremediation of pyrene contaminated soils by different plant species. CLEAN-Soil Air Water. 2013, 41, 377–382. [Google Scholar] [CrossRef]
- Li, G.; Wang, Z.; Lv, Y.; Jia, S.; Chen, F.; Liu, Y.; Huang, L. Effect of culturing ryegrass (Lolium perenne L.) on Cd and pyrene removal and bacteria variations in Co-contaminated soil. Environ. Technol. Innov. 2021, 24, 101963. [Google Scholar] [CrossRef]
- Xiao, R.; Shen, F.; Du, J.; Li, R.; Lahori, A.H.; Zhang, Z. Screening of native plants from wasteland surrounding a Zn smelter in Feng County China, For phytoremediation. Ecotoxicol. Environ. Saf. 2018, 162, 178–183. [Google Scholar] [CrossRef]
- Liu, Y.; Pan, X. Ecotope-based urban post-industrial landscape design. IERI Procedia 2014, 9, 185–189. [Google Scholar] [CrossRef]
- Yu, K.J. The culture that has been ignored, the beauty of weeds-Qijiang Park in Zhongshan City. New Archit. 2001, 5, 18–21. [Google Scholar]
- Dykyjová, D.; Ondok, P.J.; Hradecká, D. Growth rate and development of the root/shoot ratio in reedswamp macrophytes grown in winter hydroponic cultures. Folia Geobot. 1972, 7, 259–268. [Google Scholar] [CrossRef]
- Morison, J.I.L.; Gifford, R.M. Plant growth and water use with limited water supply in high CO2 concentrations. II. Plant dry weight, partitioning and water use efficiency. Aust. J. Plant Physiol. 1984, 11, 375–384. [Google Scholar] [CrossRef]
- Kos, V.; Budič, B.; Hudnik, V.; Lobnik, F.; Zupan, M. Determination of heavy metal concentrations in plants exposed to different degrees of pollution using ICP-AES. Anal. Bioanal. Chem. 1996, 354, 648–652. [Google Scholar] [CrossRef]
- Moor, C.; Lymberopoulou, T.; Dietrich, V.J. Determination of heavy metals in soils, sediments and geological materials by ICP-AES and ICP-MS. Mikrochim. Acta 2001, 136, 123–128. [Google Scholar] [CrossRef]
- Huang, X.-D.; El-Alawi, Y.; Penrose, D.M.; Glick, B.R.; Greenberg, B.M. A multi-process phytoremediation system for removal of polycyclic aromatic hydrocarbons from contaminated soils. Environ. Pollut. 2004, 130, 465–476. [Google Scholar] [CrossRef] [PubMed]
- Li, H.; Luo, Y.M.; Song, J.; Wu, L.H.; Christie, P. Degradation of benzo[a]pyrene in an experimentally contaminated pad-dysoil by vetiver grass (Vetiveria Zizanioides). Environ. Geochem. Health 2006, 28, 183–188. [Google Scholar] [CrossRef] [PubMed][Green Version]
- Beauchamp, C.; Fridovich, I. Superoxide dismutase: Improved assays and an assay applicable to acrylamide gels. Anal. Biochem. 1971, 44, 276–287. [Google Scholar] [CrossRef]
- Zhou, W.; Zhao, D.; Lin, X. Effects of waterlogging on nitrogen accumulation and alleviation of waterlogging damage by application of nitrogen fertilizer and mixtalol in winter rape (Brassica napus L.). J. Plant Growth Regul. 1997, 16, 47–53. [Google Scholar] [CrossRef]
- Pütter, J. Peroxidases. In Methods of Enzymatic Analysis, 2nd ed.; Bergmeyer, H.U., Ed.; Academic Press: Cambridge, MA, USA, 1974; pp. 685–690. [Google Scholar]
- Rodrigo, C.; Rodrigo, M.; Alvarruiz, A.; FrÍGola, A.N.A. Thermal inactivation at high temperatures and regeneration of green asparagus peroxidase. J. Food Prot. 1996, 59, 1065–1071. [Google Scholar] [CrossRef]
- Cantarello, C.; Volpe, V.; Azzolin, C.; Bertea, C. Modulation of enzyme activities and expression of genes related to primary and secondary metabolism in response to UV-B stress in cucumber (Cucumis Sativus L.). J. Plant Interact. 2005, 1, 151–161. [Google Scholar] [CrossRef]
- Kumar, G.N.M.; Knowles, N.R. Changes in lipid peroxidation and lipolytic and free-radical scavenging enzyme activities during aging and sprouting of potato (solanum tuberosum) seed-tubers. Plant Physiol. 1993, 102, 115–124. [Google Scholar] [CrossRef]
- Sartory, D.P.; Grobbelaar, J.U. Extraction of chlorophyll a from freshwater phytoplankton for spectrophotometric analysis. Hydrobiologia 1984, 114, 177–187. [Google Scholar] [CrossRef]
- Zeb, A.; Imran, M. Carotenoids pigments, phenolic composition and antioxidant activity of oxalis corniculata leaves. Food Biosci. 2019, 32, 100472. [Google Scholar] [CrossRef]
- Wang, X.; Wang, Y.; Zhao, X.; Chen, B.; Kong, N.; Shangguan, L.; Zhang, X.; Xu, Y.; Hu, F. The association between phenanthrene and nutrients uptake in lotus cultivar ‘Zhongguo Hong Beijing’. Environ. Sci. Pollut. Res. 2022, 1–9. [Google Scholar] [CrossRef]
- Interstate Technology and Regulatory Council (ITRC). Phytotechnology Technical and Regulatory Guidance Document. 2001. Available online: www.itrcweb.org (accessed on 22 July 2022).







| Latin Name | Family | Lifecycles | Planting Ranges | Flowering Plants (Yes/No) | Main Ornamental Parts | Purchase Source |
|---|---|---|---|---|---|---|
| Lolium perenne L. | Poaceae | Perennials | Widely planted in the north and south | Yes | Used as forage grass or cool-season lawn grass, etc. | Shandong Huazhu Agriculture Co., Ltd., Shandong, China |
| Muhlenbergia capillaris (Lam.) Trin. | Poaceae | Perennials | Shanghai, Hangzhou, and other places in China | Yes | Flowers | Shandong Huazhu Agriculture Co., Ltd., Shandong, China |
| Pennisetum alopecuroides (L.) Spreng. | Poaceae | Perennials | From Northeast and North China to East China, Central South, and Southwest China | Yes | Inflorescences | Shandong Huazhu Agriculture Co., Ltd., Shandong, China |
| Tagetes erecta L. | Asteraceae | Annuals | All over China | Yes | Flowers | Shandong Huazhu Agriculture Co., Ltd., Shandong, China |
| Echinacea purpurea | Asteraceae | Perennials | Many places in China | Yes | Flowers | Shandong Huazhu Agriculture Co., Ltd., Shandong, China |
| Hemerocallis hybrida Bergmans | Liliaceae | Perennials | Many places such as Beijing, Shanghai, Heilongjiang, and Jiangsu | Yes | Flowers | Shandong Huazhu Agriculture Co., Ltd., Shandong, China |
| Iris sibirica L. | Iridaceae | Perennials | Many places in China | Yes | Flowers | Shandong Huazhu Agriculture Co., Ltd., Shandong, China |
| Viola tricolor L. | Violaceae | Bienni or perennials | Widely planted in the north and south | Yes | Flowers | Shandong Huazhu Agriculture Co., Ltd., Shandong, China |
| Leucanthemum maximum (Ramood) DC. | Asteraceae | Bienni or perennials | Many places in China | Yes | Flowers | Shandong Huazhu Agriculture Co., Ltd., Shandong, China |
| Nelumbo nucifera ‘Fenguiren’ | Nelumbonaceae | Perennials | In most parts of China | Yes | Flowers and leaves | Nanjing Yilianyuan Flower Co., Ltd., Nanjing, China |
| Soil Type | pH | Organic Matter/g·kg−1 | Nitrogen (N)/mg·kg−1 | Phosphorus (P)/mg·kg−1 | Cd/mg·kg−1 | Pyr/mg·kg−1 | Cation Exchangeable Capacity (CEC)/cmol·kg−1 |
|---|---|---|---|---|---|---|---|
| Yellow brown soil | 6.93 ± 1.32 a | 22.45 ± 4.37 | 180.2 ± 17.4 | 71.4 ± 14.3 | 0.09 ± 0.02 | 0.04 ± 0.01 | 24.22 ± 3.43 |
| Physiologic Indexes of Plant | Determination Method | Interval Days |
|---|---|---|
| SOD activity | Nitrogen blue tetrazole method [35,36] | 20 days |
| POD activity | Guaiacol method [37,38] | 20 days |
| CAT activity | Ultraviolet absorption method [39] | 20 days |
| MDA content | Thiobarbituric acid method [40] | 20 days |
| The content of chlorophyll and carotenoids | Ethanol extraction method [41,42] | 20 days |
| Tested Plant | Group | Leaf Area/cm2 | Leaf Number | Flowering Number | Diameter/cm | ||||||||||||
|---|---|---|---|---|---|---|---|---|---|---|---|---|---|---|---|---|---|
| 0 Days | 20 Days | 40 Days | 60 Days | 0 Days | 20 Days | 40 Days | 60 Days | 0 Days | 20 Days | 40 Days | 60 Days | 0 Days | 20 Days | 40 Days | 60 Days | ||
| Lolium perenne L. | Control | 166.98 ± 7.40 a | 198.04 ± 6.42 a | 178.17 ± 7.38 a | 157.87 ± 4.01 a | / | / | / | / | / | / | / | / | / | / | / | / |
| Treated | 169.35 ± 5.39 a | 189.49 ± 6.37 a | 157.82 ± 5.93 b | 139.45 ± 6.45 b | / | / | / | / | / | / | / | / | / | / | / | / | |
| Echinacea purpurea | Control | 271.05 ± 9.81 a | 321.99 ± 11.23 a | 232.29 ± 16.36 a | 185.99 ± 6.04 a | 23.7 ± 0.3 a | 23.7 ± 0.9 a | 19.3 ± 0.9 a | 15.0 ± 0.6 a | 0 | 0 | 1.7 ± 0.3 a | 2.0 ± 0.1 a | 0 | 0 | 9.63 ± 0.44 a | 20.20 ± 1.17 a |
| Treated | 252.95 ± 16.39 a | 341.74 ± 4.54 a | 198.43 ± 6.58 a | 113.08 ± 7.39 b | 18.3 ± 0.9 b | 20.0 ± 0.6 b | 15.7 ± 0.3 b | 6.3 ± 0.9 b | 0 | 0 | 0.3 ± 0.3 b | 0.7 ± 0.3 a | 0 | 0 | 2.21 ± 2.21 a | 6.59 ± 3.30 b | |
| Hemerocallis hybrida Bergmans | Control | 226.23 ± 12.18 a | 224.49 ± 4.14 a | 221.66 ± 5.66 a | 225.04 ± 4.94 a | 7.7 ± 0.7 a | 6.7 ± 0.7 a | 7.3 ± 0.3 a | 6.7 ± 0.3 a | / | / | / | / | / | / | / | / |
| Treated | 201.32 ± 9.02 a | 184.55 ± 6.76 b | 182.69 ± 10.67 b | 169.08 ± 9.64 b | 7.7 ± 0.3 a | 7.3 ± 0.7 a | 8.3 ± 0.3 a | 7.0 ± 0.6 a | / | / | / | / | / | / | / | / | |
| Nelumbo nucifera Gaertn. | Control | 149.57 ± 10.39 a | 469.07 ± 5.58 a | 326.30 ± 8.43 a | 224.72 ± 13.30 a | 11.0 ± 0.6 a | 16.7 ± 0.9 a | 10.3 ± 0.7 a | 7.3 ± 0.3 a | 0 | 0 b | 1.3 ± 0.3 a | 0 | 0 | 0 b | 10.43 ± 0.23 a | 0 |
| Treated | 165.61 ± 8.85 a | 466.56 ± 9.12 a | 269.00 ± 12.78 b | 249.56 ± 17.16 a | 10.0 ± 0.6 a | 13.0 ± 0.6 b | 9.3 ± 0.3 a | 6.0 ± 0.6 a | 0 | 1.7 ± 0.3 a | 0.3 ± 0.3 a | 0 | 0 | 3.88 ± 0.15 a | 1.61 ± 1.61 b | 0 | |
| Pennisetum alopecuroides (L.) Spreng. | Control | 336.30 ± 7.71 a | 374.22 ± 7.10 a | 367.09 ± 6.64 a | 385.28 ± 6.66 a | / | / | / | / | / | / | / | / | / | / | / | / |
| Treated | 333.38 ± 10.78 a | 334.39 ± 3.90 b | 340.29 ± 2.58 b | 326.26 ± 5.24 b | / | / | / | / | / | / | / | / | / | / | / | / | |
| Tested Plant | Group | SOD Activity/(U·g−1) | POD Activity/(U·g−1) | CAT Activity/(U·g−1) | MDA Content/(nmol·g−1) | ||||||||
|---|---|---|---|---|---|---|---|---|---|---|---|---|---|
| 20 Days | 40 Days | 60 Days | 20 Days | 40 Days | 60 Days | 20 Days | 40 Days | 60 Days | 20 Days | 40 Days | 60 Days | ||
| Lolium perenne L. | Control | 187.16 ± 8.32 b | 301.60 ± 54.78 b | 366.08 ± 21.47 b | 362.32 ± 17.54 b | 381.28 ± 30.78 b | 364.40 ± 29.99 b | 137.77 ± 19.24 b | 175.70 ± 27.08 b | 170.85 ± 14.48 b | 4.47 ± 0.32 b | 4.02 ± 0.32 b | 4.14 ± 0.33 b |
| Treated | 316.17 ± 38.46 a | 766.17 ± 32.90 a | 665.15 ± 39.80 a | 579.94 ± 12.13 a | 688.24 ± 30.62 a | 590.83 ± 9.11 a | 244.17 ± 32.73 a | 285.31 ± 26.19 a | 268.15 ± 21.93 a | 6.50 ± 0.37 a | 13.74 ± 0.41 a | 9.28 ± 0.51 a | |
| Echinacea purpurea | Control | 279.60 ± 21.43 b | 419.83 ± 36.68 b | 427.83 ± 13.18 b | 353.01 ± 13.75 b | 405.73 ± 18.19 b | 403.44 ± 28.63 a | 200.17 ± 36.48 b | 213.61 ± 26.44 a | 215.79 ± 13.73 a | 1.56 ± 0.36 b | 1.56 ± 0.32 b | 2.31 ± 0.20 b |
| Treated | 440.05 ± 52.74 a | 590.02 ± 19.03 a | 587.00 ± 18.87 a | 553.96 ± 16.26 a | 625.21 ± 41.55 a | 275.62 ± 40.14 b | 347.16 ± 38.46 a | 162.98 ± 21.71 a | 111.34 ± 13.78 b | 4.22 ± 0.36 a | 6.70 ± 0.32 a | 12.31 ± 0.58 a | |
| Hemerocallis hybrida Bergmans | Control | 575.13 ± 16.10 a | 597.42 ± 10.47 b | 581.71 ± 19.68 a | 385.10 ± 12.76 b | 464.56 ± 27.63 b | 456.73 ± 38.77 a | 222.62 ± 32.58 a | 285.57 ± 16.48 a | 289.81 ± 21.15 a | 3.64 ± 0.31 b | 5.28 ± 0.41 b | 4.96 ± 0.35 b |
| Treated | 541.09 ± 42.34 a | 818.22 ± 60.31 a | 508.25 ± 13.35 b | 550.05 ± 38.10 a | 708.02 ± 16.53 a | 482.62 ± 29.87 a | 294.28 ± 39.70 a | 244.49 ± 14.58 b | 176.61 ± 22.94 b | 10.03 ± 0.29 a | 14.97 ± 0.52 a | 15.00 ± 0.50 a | |
| Nelumbo nucifera Gaertn. | Control | 484.45 ± 23.92 b | 680.02 ± 21.97 b | 572.74 ± 21.69 b | 567.49 ± 40.94 b | 616.63 ± 30.45 b | 536.53 ± 14.34 b | 356.37 ± 38.80 a | 379.35 ± 51.18 b | 385.71 ± 64.57 b | 3.32 ± 0.31 b | 3.27 ± 0.45 b | 4.83 ± 0.35 b |
| Treated | 673.96 ± 33.63 a | 899.17 ± 37.96 a | 950.14 ± 32.90 a | 736.24 ± 75.06 a | 884.88 ± 14.58 a | 962.77 ± 45.13 a | 413.88 ± 41.54 a | 503.08 ± 39.17 a | 520.51 ± 35.08 a | 8.64 ± 0.23 a | 12.42 ± 0.35 a | 14.52 ± 0.90 a | |
| Pennisetum alopecuroides (L.) Spreng. | Control | 400.05 ± 33.13 b | 551.27 ± 38.19 b | 535.72 ± 26.69 b | 433.60 ± 46.48 a | 482.50 ± 32.99 b | 588.23 ± 18.52 a | 178.63 ± 21.30 b | 231.12 ± 33.20 b | 244.72 ± 40.30 b | 2.86 ± 0.31 b | 5.13 ± 0.27 b | 5.10 ± 0.33 b |
| Treated | 569.88 ± 25.97 a | 799.61 ± 47.96 a | 801.45 ± 46.85 a | 474.42 ± 25.55 a | 686.95 ± 27.29 a | 645.97 ± 45.60 a | 300.68 ± 40.80 a | 378.55 ± 23.41 a | 359.69 ± 10.30 a | 12.86 ± 0.38 a | 12.54 ± 0.45 a | 15.31 ± 0.67 a | |
Publisher’s Note: MDPI stays neutral with regard to jurisdictional claims in published maps and institutional affiliations. |
© 2022 by the authors. Licensee MDPI, Basel, Switzerland. This article is an open access article distributed under the terms and conditions of the Creative Commons Attribution (CC BY) license (https://creativecommons.org/licenses/by/4.0/).
Share and Cite
Peng, S.; Jin, Y.; Chen, Y.; Wu, C.; Wang, Y.; Wang, X.; Jin, Q.; Xu, Y. Growth Response, Enrichment Effect, and Physiological Response of Different Garden Plants under Combined Stress of Polycyclic Aromatic Hydrocarbons and Heavy Metals. Coatings 2022, 12, 1054. https://doi.org/10.3390/coatings12081054
Peng S, Jin Y, Chen Y, Wu C, Wang Y, Wang X, Jin Q, Xu Y. Growth Response, Enrichment Effect, and Physiological Response of Different Garden Plants under Combined Stress of Polycyclic Aromatic Hydrocarbons and Heavy Metals. Coatings. 2022; 12(8):1054. https://doi.org/10.3390/coatings12081054
Chicago/Turabian StylePeng, Shan, Yingzhi Jin, Yiqin Chen, Chunman Wu, Yanjie Wang, Xiaowen Wang, Qijiang Jin, and Yingchun Xu. 2022. "Growth Response, Enrichment Effect, and Physiological Response of Different Garden Plants under Combined Stress of Polycyclic Aromatic Hydrocarbons and Heavy Metals" Coatings 12, no. 8: 1054. https://doi.org/10.3390/coatings12081054
APA StylePeng, S., Jin, Y., Chen, Y., Wu, C., Wang, Y., Wang, X., Jin, Q., & Xu, Y. (2022). Growth Response, Enrichment Effect, and Physiological Response of Different Garden Plants under Combined Stress of Polycyclic Aromatic Hydrocarbons and Heavy Metals. Coatings, 12(8), 1054. https://doi.org/10.3390/coatings12081054
