Calcium Phosphate Cement Promotes Odontoblastic Differentiation of Dental Pulp Cells In Vitro and In Vivo
Abstract
:1. Introduction
2. Materials and Methods
2.1. Morphological Analysis of CPC and MTA
2.2. In Vitro Experiments
2.2.1. Evaluation of Antibacterial Activity
2.2.2. Cell Isolation and Culture
2.2.3. Extract Medium Preparation: CPC Extract (CPCe) and MTA Extract (MTAe)
2.2.4. Cell Proliferation Assay
2.2.5. Alizarin Red Staining (ARS)
2.2.6. Real-Time Quantitative Polymerase Chain Reaction (RT-qPCR)
2.3. In Vivo Experiments
2.3.1. Direct Pulp Capping Assay
2.3.2. Sample Preparation
2.3.3. Immunohistochemistry (IHC)
2.4. Statistical Analysis
3. Results
3.1. Surface Morphology of the Cements
3.2. Antibacterial Activity
3.3. Effect of CPCe on Viability and Proliferation of hDPCs
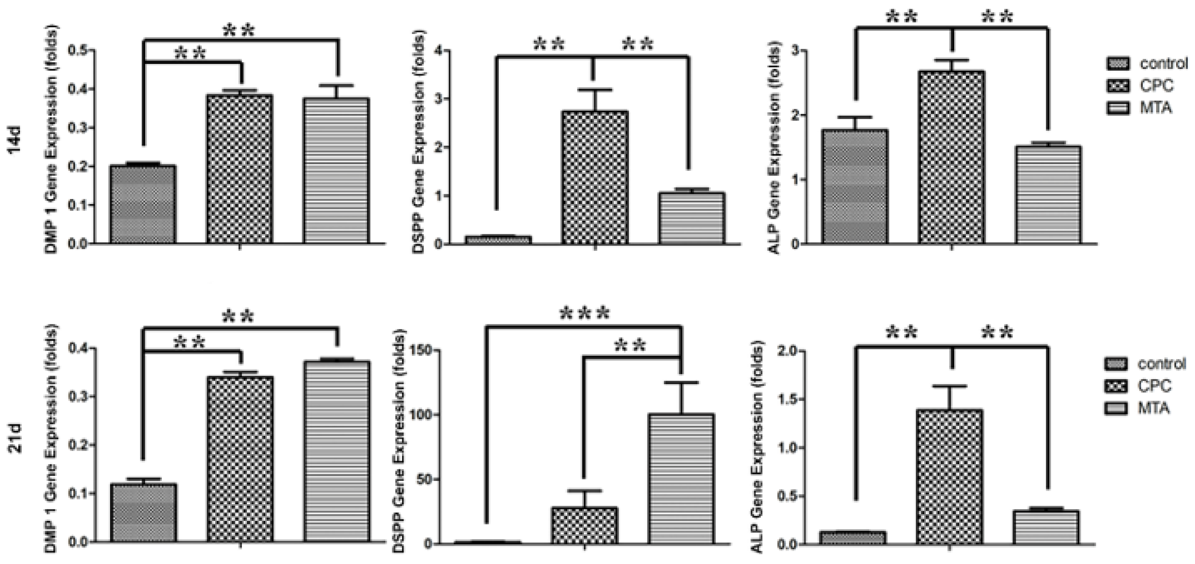
3.4. Effects of CPCe on the Odontoblastic Differentiation of hDPCs
3.5. CPC Stimulated Reparative Dentinogenesis in Rat Molars
4. Discussion
5. Conclusions
Author Contributions
Funding
Institutional Review Board Statement
Informed Consent Statement
Data Availability Statement
Acknowledgments
Conflicts of Interest
References
- Bjorndal, L.; Simon, S.; Tomson, P.L.; Duncan, H.F. Management of deep caries and the exposed pulp. Int. Endod. J. 2019, 52, 949–973. [Google Scholar] [CrossRef] [PubMed]
- Hilton, T.J.; Ferracane, J.L.; Mancl, L.; Northwest Practice-based Research Collaborative in Evidence-based D. Comparison of CaOH with MTA for direct pulp capping: A PBRN randomized clinical trial. J. Dent. Res. 2013, 92 (Suppl. S7), 16S–22S. [Google Scholar] [CrossRef] [PubMed] [Green Version]
- Zhang, W.; Yelick, P.C. Tooth repair and regeneration: Potential of dental stem cells. Trends Mol. Med. 2021, 27, 501–511. [Google Scholar] [CrossRef] [PubMed]
- Lee, B.S.; Lin, H.P.; Chan, J.C.; Wang, W.C.; Hung, P.H.; Tsai, Y.H.; Lee, Y.L. A novel sol-gel-derived calcium silicate cement with short setting time for application in endodontic repair of perforations. Int. J. Nanomed. 2018, 13, 261–271. [Google Scholar] [CrossRef] [Green Version]
- Hoshikawa, A.; Fukui, N.; Fukuda, A.; Sawamura, T.; Hattori, M.; Nakamura, K.; Oda, H. Quantitative analysis of the resorption and osteoconduction process of a calcium phosphate cement and its mechanical effect for screw fixation. Biomaterials 2003, 24, 4967–4975. [Google Scholar] [CrossRef]
- Wang, X.; Yu, Y.; Ji, L.; Geng, Z.; Wang, J.; Liu, C. Calcium phosphate-based materials regulate osteoclast-mediated osseointegration. Bioact. Mater. 2021, 6, 4517–4530. [Google Scholar] [CrossRef]
- Moradian-Oldak, J.G.A. Biomineralization of enamel and dentin mediated by matrix proteins. J. Dent. Res. 2021, 100, 1020–1029. [Google Scholar] [CrossRef]
- Lee, S.K.; Lee, S.K.; Lee, S.I.; Park, J.H.; Jang, J.H.; Kim, H.W.; Kim, E.C. Effect of calcium phosphate cements on growth and odontoblastic differentiation in human dental pulp cells. J. Endod. 2010, 36, 1537–1542. [Google Scholar] [CrossRef]
- Gu, Y.X.X.; Zhuang, R.; Weir, M.D.; Oates, T.W.; Bai, Y.; Zhao, L.; Xu, H.H.K. A biphasic calcium phosphate cement enhances dentin regeneration by dental pulp stem cells and promotes macrophages M2 phenotype in vitro. Tissue Eng. Part A 2021, 27, 1113–1127. [Google Scholar] [CrossRef]
- Shirakata, Y.; Yoshimoto, T.; Goto, H.; Yonamine, Y.; Kadomatsu, H.; Miyamoto, M.; Nakamura, T.; Hayashi, C.; Izumi, Y. Favorable periodontal healing of 1-wall infrabony defects after application of calcium phosphate cement wall alone or in combination with enamel matrix derivative: A pilot study with canine mandibles. J. Periodontol. 2007, 78, 889–898. [Google Scholar] [CrossRef]
- Qiu, G.; Wu, H.; Huang, M.; Ma, T.; Schneider, A.; Oates, T.W.; Weir, M.D.; Xu, H.H.K.; Zhao, L. Novel calcium phosphate cement with biofilm-inhibition and platelet lysate delivery to enhance osteogenesis of encapsulated human periodontal ligament stem cells. Mater. Sci. Eng. C Mater. Biol. Appl. 2021, 128, 112306. [Google Scholar] [CrossRef] [PubMed]
- Schickert, S.L.; Jansen, J.A.; Bronkhorst, E.M.; van den Beucken, J.J.; Leeuwenburgh, S.C. Stabilizing dental implants with a fiber-reinforced calcium phosphate cement: An in vitro and in vivo study. Acta Biomater. 2020, 110, 280–288. [Google Scholar] [CrossRef] [PubMed]
- Esteki, P.J.M.; Tahmourespour, A. In vitro antimicrobial activity of mineral trioxide aggregate, Biodentine, and calcium-enriched mixture cement against Enterococcus faecalis, Streptococcus mutans, and Candida albicans using the agar diffusion technique. Dent. Res. J. 2021, 18, 3. [Google Scholar]
- Sun, N.; Yin, S.; Lu, Y.; Zhang, W.; Jiang, X. Graphene oxide-coated porous titanium for pulp sealing: An antibacterial and dentino-inductive restorative material. J. Mater. Chem. B 2020, 8, 5606–5619. [Google Scholar] [CrossRef] [PubMed]
- Bossu, M.; Mancini, P.; Bruni, E.; Uccelletti, D.; Preziosi, A.; Rulli, M.; Relucenti, M.; Donfrancesco, O.; Iaculli, F.; Di Giorgio, G.; et al. Biocompatibility and Antibiofilm Properties of Calcium Silicate-Based Cements: An In Vitro Evaluation and Report of Two Clinical Cases. Biology 2021, 10, 470. [Google Scholar] [CrossRef] [PubMed]
- Wu, S.; Lei, L.; Zhang, H.; Liu, J.; Weir, M.D.; Schneider, A.; Zhao, L.; Liu, J.; Xu, H.H.K. Nanographene oxide-calcium phosphate to inhibit Staphylococcus aureus infection and support stem cells for bone tissue engineering. J. Tissue Eng. Regen. Med. 2020, 14, 1779–1791. [Google Scholar] [CrossRef]
- Al-Qarni, F.; Weir, M.; Melo, M.A.; Al-Dulaijan, Y.; Almulhim, K.S.; Xu, H.H.K. Novel calcium phosphate ion-rechargeable and antibacterial adhesive to inhibit dental caries. Clin. Oral Investig. 2022, 26, 313–323. [Google Scholar] [CrossRef]
- Hakki, S.S.; Bozkurt, S.B.; Hakki, E.E.; Belli, S. Effects of mineral trioxide aggregate on cell survival, gene expression associated with mineralized tissues, and biomineralization of cementoblasts. J. Endod. 2009, 35, 513–519. [Google Scholar] [CrossRef]
- Yasuda, Y.; Ogawa, M.; Arakawa, T.; Kadowaki, T.; Saito, T. The effect of mineral trioxide aggregate on the mineralization ability of rat dental pulp cells: An in vitro study. J. Endod. 2008, 34, 1057–1060. [Google Scholar] [CrossRef]
- Carvalho, F.B.; Barbosa, A.F.; Zanin, F.A.; Brugnera Junior, A.; Silveira Junior, L.; Pinheiro, A.L. Use of laser fluorescence in dental caries diagnosis: A fluorescence x biomolecular vibrational spectroscopic comparative study. Braz. Dent. J. 2013, 24, 59–63. [Google Scholar] [CrossRef]
- Babb, R.; Chandrasekaran, D.; Neves, V.C.M.; Sharpe, P.T. Axin2-expressing cells differentiate into reparative odontoblasts via autocrine Wnt/beta-catenin signaling in response to tooth damage. Sci. Rep. 2017, 7, 3102. [Google Scholar] [CrossRef] [PubMed] [Green Version]
- Xia, Y.; Chen, H.; Zhang, F.; Bao, C.; Weir, M.D.; Reynolds, M.A.; Ma, J.; Gu, N.; Xu, H.H.K. Gold nanoparticles in injectable calcium phosphate cement enhance osteogenic differentiation of human dental pulp stem cells. Nanomedicine 2018, 14, 35–45. [Google Scholar] [CrossRef] [PubMed]
- Wang, M.C.; Tu, H.F.; Chang, K.W.; Lin, S.C.; Yeh, L.Y.; Hung, P.S. The molecular functions of Biodentine and mineral trioxide aggregate in lipopolysaccharide-induced inflamed dental pulp cells. Int. Endod. J. 2021, 54, 1317–1327. [Google Scholar] [CrossRef] [PubMed]
- Primus, C.M.; Tay, F.R.; Niu, L.N. Bioactive tri/dicalcium silicate cements for treatment of pulpal and periapical tissues. Acta Biomater. 2019, 96, 35–54. [Google Scholar] [CrossRef]
- Mao, B.; Xie, Y.; Yang, H.; Yu, C.; Ma, P.; You, Z.; Tsauo, C.; Chen, Y.; Cheng, L.; Han, Q. Casein phosphopeptide-amorphous calcium phosphate modified glass ionomer cement attenuates demineralization and modulates biofilm composition in dental caries. Dent. Mater. J. 2021, 40, 84–93. [Google Scholar] [CrossRef]
- Kaur, M.; Singh, H.; Dhillon, J.S.; Batra, M.; Saini, M. MTA versus Biodentine: Review of literature with a comparative analysis. J. Clin. Diagn. Res. 2017, 11, ZG01–ZG05. [Google Scholar] [CrossRef]
- Morotomi, T.; Washio, A.; Kitamura, C. Current and future options for dental pulp therapy. Jpn. Dent. Sci. Rev. 2019, 55, 5–11. [Google Scholar] [CrossRef]
- Lodoso-Torrecilla, I.; Van Den Beucken, J.; Jansen, J.A. Calcium phosphate cements: Optimization toward biodegradability. Acta Biomater. 2021, 119, 6985. [Google Scholar] [CrossRef]
- Wong, S.K.; Wong, Y.H.; Chin, K.Y.; Ima-Nirwana, S. A review on the enhancement of calcium phosphate cement with biological materials in bone defect healing. Polymers 2021, 13, 3075. [Google Scholar] [CrossRef]
- Wu, J.; Liu, F.; Wang, Z.; Liu, Y.; Zhao, X.; Fang, C.; Leung, F.; Yeung, K.W.K.; Wong, T.M. The development of a magnesium-releasing and long-term mechanically stable calcium phosphate bone cement possessing osteogenic and immunomodulation effects for promoting bone fracture regeneration. Front. Bioeng. Biotechnol. 2021, 9, 803723. [Google Scholar] [CrossRef]
- Arora, S.; Cooper, P.R.; Ratnayake, J.T.; Friedlander, L.T.; Rizwan, S.B.; Seo, B.; Hussaini, H.M. A critical review of in vitro research methodologies used to study mineralization in human dental pulp cell cultures. Int. Endod. J. 2022, 55, 3–13. [Google Scholar] [CrossRef] [PubMed]
- Suzuki, S.; Haruyama, N.; Nishimura, F.; Kulkarni, A.B. Dentin sialophosphoprotein and dentin matrix protein-1: Two highly phosphorylated proteins in mineralized tissues. Arch. Oral Biol. 2012, 57, 1165–1175. [Google Scholar] [CrossRef] [PubMed] [Green Version]
- Gallinetti, S.; Mestres, G.; Canal, C.; Persson, C.; Ginebra, M.P. A novel strategy to enhance interfacial adhesion in fiber-reinforced calcium phosphate cement. J. Mech. Behav. Biomed. Mater. 2017, 75, 495–503. [Google Scholar] [CrossRef] [PubMed] [Green Version]
- Meyer, F.; Amaechi, B.T.; Fabritius, H.O.; Enax, J. Overview of calcium phosphates used in biomimetic oral care. Open Dent. J. 2018, 12, 406–423. [Google Scholar] [CrossRef]
- Tran, X.V.; Gorin, C.; Willig, C.; Baroukh, B.; Pellat, B.; Decup, F.; Vital, S.O.; Chaussain, C.; Boukpessi, T. Effect of a calcium-silicate-based restorative cement on pulp repair. J. Dent. Res. 2012, 91, 1166–1171. [Google Scholar] [CrossRef]
- Aryal, Y.P.; Yeon, C.Y.; Kim, T.Y.; Lee, E.S.; Sung, S.; Pokharel, E.; Kim, J.Y.; Choi, S.Y.; Yamamoto, H.; Sohn, W.J.; et al. Facilitating reparative dentin formation using apigenin local delivery in the exposed pulp cavity. Front. Physiol. 2021, 12, 773878. [Google Scholar] [CrossRef]
- Saito, K.; Nakatomi, M.; Ohshima, H. Dentin matrix protein 1 compensates for lack of osteopontin in regulating odontoblastlike cell differentiation after tooth injury in mice. J. Endod. 2020, 46, 89–96. [Google Scholar] [CrossRef]
- Shigetani, Y.; Yoshiba, K.; Kuratate, M.; Takei, E.; Yoshiba, N.; Yamanaka, Y.; Ohshima, H.; Okiji, T. Temporospatial localization of dentine matrix protein 1 following direct pulp capping with calcium hydroxide in rat molars. Int. Endod. J. 2015, 48, 573–581. [Google Scholar] [CrossRef]
- Lu, Y.Y.L.; Yu, S.; Zhang, S.; Xie, Y.; Mckee, M.D.; Li, Y.C.; Kong, J.; Eick, J.D.; Dallas, S.L.; Feng, J.Q. Rescue of Odontogenesis in Dmp1-deficient mice by targeted reexpression of DMP1 reveals roles for DMP1 in early odontogenesis and dentin apposition in vivo. Dev. Biol. 2007, 303, 191–201. [Google Scholar] [CrossRef] [Green Version]
- Yamada, M.; Nagayama, M.; Miyamoto, Y.; Kawano, S.; Takitani, Y.; Tanaka, M.; Ehara, M.; Nakao, J.; Ochiai, T.; Shibukawa, Y.; et al. Mineral trioxide aggregate (MTA) upregulates the expression of DMP1 in direct pulp capping in the rat molar. Materials 2021, 14, 4640. [Google Scholar] [CrossRef]
- Ginebra, M.P.; Canal, C.; Espanol, M.; Pastorino, D.; Montufar, E.B. Calcium phosphate cements as drug delivery materials. Adv. Drug Deliv. Rev. 2012, 64, 1090–1110. [Google Scholar] [CrossRef] [PubMed]
- Thein-Han, W.; Xu, H.H. Prevascularization of a gas-foaming macroporous calcium phosphate cement scaffold via coculture of human umbilical vein endothelial cells and osteoblasts. Tissue Eng. Part A 2013, 19, 1675–1685. [Google Scholar] [CrossRef] [PubMed] [Green Version]






| Gene | Forward Primer | Reverse Primer |
|---|---|---|
| DMP1 | ACATCAACCTGATTTTTGAGACTT | GGGTCTTCATTTGCCAAGGG |
| DSPP | TGGCGATGCAGGTCACAAT | CCATTCCCACTAGGACTCCCA |
| ALP | TGGCTTCAGGTCAAGAGGCT | GGGTTCTCCTCCTCAACTGG |
| GAPDH | GGAGCGAGATCCCTCCAAAAT | GGCTGTTGTCATACTTCTCATGG |
Publisher’s Note: MDPI stays neutral with regard to jurisdictional claims in published maps and institutional affiliations. |
© 2022 by the authors. Licensee MDPI, Basel, Switzerland. This article is an open access article distributed under the terms and conditions of the Creative Commons Attribution (CC BY) license (https://creativecommons.org/licenses/by/4.0/).
Share and Cite
Huang, H.; Luo, L.; Li, L.; Guan, Y.; Yan, Y.; Jiang, Z.; Jiang, B. Calcium Phosphate Cement Promotes Odontoblastic Differentiation of Dental Pulp Cells In Vitro and In Vivo. Coatings 2022, 12, 543. https://doi.org/10.3390/coatings12040543
Huang H, Luo L, Li L, Guan Y, Yan Y, Jiang Z, Jiang B. Calcium Phosphate Cement Promotes Odontoblastic Differentiation of Dental Pulp Cells In Vitro and In Vivo. Coatings. 2022; 12(4):543. https://doi.org/10.3390/coatings12040543
Chicago/Turabian StyleHuang, Haiyan, Linjuan Luo, Lefeng Li, Yun Guan, Yanhong Yan, Zhen Jiang, and Beizhan Jiang. 2022. "Calcium Phosphate Cement Promotes Odontoblastic Differentiation of Dental Pulp Cells In Vitro and In Vivo" Coatings 12, no. 4: 543. https://doi.org/10.3390/coatings12040543
APA StyleHuang, H., Luo, L., Li, L., Guan, Y., Yan, Y., Jiang, Z., & Jiang, B. (2022). Calcium Phosphate Cement Promotes Odontoblastic Differentiation of Dental Pulp Cells In Vitro and In Vivo. Coatings, 12(4), 543. https://doi.org/10.3390/coatings12040543

