Abstract
Since the world’s energy demands are growing rapidly, there is a constant need for new energy systems. One of the cleanest, most abundant, and renewable natural resources available is solar energy; therefore, the development of surfaces with high absorption of solar radiation is increasing. To achieve the best efficiency, such surfaces are coated with spectrally selective coatings, which are strongly influenced by the pigments and resin binders. Spectrally selective paints have a very specific formulation, and since the applied dry coatings should exhibit high spectral selectivity, i.e., high solar absorptivity and low thermal emissivity, the rheological properties of liquid paints are of great importance. In the present work, we studied the effect of the rheological properties of liquid thickness-insensitive spectrally selective (TISS) paints on the spectral selectivity and adhesion of dry coatings on a polymeric substrate. The results showed that the functional and adhesion properties of dry coating on polymeric substrates is strongly dependent on the rheological properties of the binder and catalyst used for the preparation of the liquid paints. It was shown that the paints with good spectral selective properties (thermal emissivity eT < 0.36 and solar absorptivity aS > 0.92) and good adhesion (5B) can be prepared for polymer substrates.
1. Introduction
In many countries around the world, hot water for domestic purposes is obtained electrically. However, the electrical energy capacity is limited due to increased usage. The increasing prices for electrical and conventional energy such as gas and oil, together with the unpredictability of prices and fossil resources, has led to increased development of other energy systems, among which the cleanest, most abundant, and renewable natural resource available is solar energy. At present, the general trend of solar thermal systems is towards simple solar systems with high quality standards and a long lifetime. To achieve this, the materials used should exhibit the best characteristics. Due to their advantages in terms of low cost, variability of properties over a wide range, processing, and specific weight, polymeric materials are very promising candidates for solar collector systems [1,2]. Most polymeric materials are used for unglazed solar collectors, and only a few polymer-based glazed water collectors have been developed and introduced into the market [3]. The main problems for polymeric materials are long-term stability, solar–thermal conversion efficiency, and high stagnation temperatures. One of the drawbacks of the polymer absorbers is also their safety. Recently, special emphasis has been dedicated to fire safety management [4] and the development of multifunctional spectrally selective coatings providing flame retardancy, which are eco-friendly [5]. However, the operating temperatures of collectors for domestic hot water applications and “solar combi-systems” (space heating in combination with domestic hot water preparation) in private residences range from 20 °C to 80 °C; thus, by an appropriate collector system design, including, e.g., overheating protection glazing, plastic materials could be excellent candidate materials [3].
Thickness-insensitive spectrally selective (TISS) paints are usually formulated by inserting metallic flakes and absorbing pigments into binder system [6]. The absorbing pigments (mixed inorganic oxides) are responsible for providing solar absorbance, while metallic flakes act as reflectors of the infrared radiation. The metal flakes change the optical properties throughout the solar and thermal region, and therefore influence the spectral selectivity of the coating. The benefit of such coatings is that they can be applied on substrates other than metal, such as, for example, polymeric substrates, while still providing good spectral selectivity. However, spectral selectivity depends strongly on the microstructure of all pigments in the dry coating, especially on the position and orientation of metal flakes [3,7,8,9]. To achieve the best performance of solar thermal absorbers, i.e., the highest absorptivity, the applied coating is usually black. However, in addition to high solar absorbance, black solar coatings are strong emitters of thermal (infra-red) radiation. At high temperatures, such absorbers produce substantial heat losses from the front cover of the solar collector. For the reduction of the collector heat losses, the optical properties of the coatings should be selective. This means that the coatings should exhibit high absorptance for solar radiation, but low emittance for thermal radiation. Good selective surfaces are expected to achieve average absorptance higher than 0.95, and average thermal emittance around 0.1 or lower [10]. These values are achievable with metal substrates, but are very difficult to achieve when using the polymeric surface of the collector. Since the adhesion of the coating on the polymeric substrate is difficult to achieve, at least some form of pre-treatment of the polymeric surface is usually necessary to ensure satisfactory adhesion of the coating.
As with many other paints, TISS liquid paints can also be applied on various substrates using several application techniques (spraying, coil coating, brushing, etc.). Regardless of the selected technique, the paints are subjected to complex flow conditions during use. Among the many processing conditions, the rheological behavior of liquid paint is the most important characteristic governing the behavior of the coating during application. The importance of the rheological properties of liquid paints for the optical and functional properties of dry coating has already been confirmed [5,10,11,12,13,14]. It has been shown that although two liquid solar paints exhibited similar shear thinning flow behavior with the same value of apparent shear viscosity at a specific shear rate, the homogeneity and optical properties of the dry coatings were tremendously diverse [11,12]. The results showed that rather than flow characteristics with a certain viscosity value, the whole rheological characterization, i.e., the viscoelastic properties, are of great importance [11]. To achieve the best final performance of the applied coating, the rheological properties of the liquid paint under the complex conditions encountered during the application must be considered. One of the most used parameters for the rheological characterization of liquid paint is viscosity, which could be independent of the shear conditions (Newtonian fluids). Most paints used in the various industrial processes exhibit more complex rheological properties, such as a strong shear rate dependence of viscosity (i.e., shear thinning, shear thickening), and very often also time dependence (thixotropy). During the storage, preparation and application of the liquid paint, various processes (mixing, spraying, leveling, etc.) occur in which the paint is subjected to a wide range of shear rate values [14]. After preparation, the paint is stored in the vessel, where no shear is applied. During mixing and pumping, the paint is exposed to shear rates between 1 and 100 s−1 or even higher, i.e., in the nip region of roll coaters (up to 105 s−1) or spraying (up to 106 s−1). The final dry coating is formed after the liquid paint has been applied on the substrate. The process is often referred to as leveling, which is performed in the range of shear rates between 10−2 and 1 s−1. The process of leveling is especially important for achieving the best functionality of dry coating, i.e., spectral selectivity. Oh et al. [13] showed that loosely paced structure in wet coating state and more porous dried coating structure could be achieved when the motion of the particles in the structure formation of the coating components is restricted during the drying of the liquid paint on the substrate. Leveling could also be tailored by increasing the duration of the process, which is achieved for example when decreasing the amount of thickener or with the use of a lower amount of crosslinker or a weaker catalyst. The process of leveling tendencies of a liquid paint can be predicted by rheological characterization using a three-step test. The first step of low shear or low deformation is followed by immediate application of high shear or high deformation comparable to application, which is again followed by immediate application of low-shear motion and the measurement of the resultant viscosity/viscoelastic behavior of the paint over a period of several minutes. Due to the complex nature and non-Newtonian behavior of TISS paints and the extreme changes of shear rates during different steps from storage in the vessel through to application and final leveling on the substrate, a detailed rheological characterization over a wide range of shear rates is essential. It has already been reported in the literature that the rheological properties strongly influence the microstructure of the coating formed after the application. Shen et al. [12] showed that rheological characterization confirmed that the addition of co-binder increases the interactions between coating components, leading to better optical performance of the applied coatings.
Spectrally selective paints for solar absorbers are complex systems, and have attracted interest since the introduction of the concept of spectral selectivity [7,8,9,14]. However, to the best of our knowledge, there are very few investigations in the literature focused on the rheological properties of these paints during the preparation, application, and formation of dry coatings on a substrate. In the present work, we studied the rheological properties and spectral selectivity of TISS paints with various binder systems for the application on the polymeric substrates. In addition to this, the adhesion properties of the applied coatings on polymeric substrates were determined. Special emphasis was placed on determining the influence of rheological properties of the liquid paint on the final spectral selectivity and adhesion characteristics of dry coating. Among various binders, one was selected for further investigation of the influence of two different catalysts on the rheological properties, spectral selectivity, and adhesion, which were determined at various concentrations of catalyst added to the liquid paints.
2. Materials and Methods
All thickness-insensitive spectrally selective paints were prepared for application on high-density polyethylene (HDPE) polymer substrates with a spray gun. Liquid paints were prepared using a standard procedure in which large Al flakes (>50 μm) served as reflectors, enabling low emittance, while much smaller (<1 μm) black Mn-Fe pigment (SH-444) with a spinel structure provided high solar absorbance. Three fluoropolymer resin binders (Lumiflon 200, Lumiflon 9716 and Lumiflon 9721, Asahi Glass Co., Ltd., Tokyo, Japan) were used to prepare TISS paints following the same procedure. The pigment was mixed with a specific binder in a high-speed dissolver (Dispermat CNF2 (VMA-GETZMAN GMBH, D)). After the dispersion was prepared, it was milled in a ball mill by using glass balls with diameter 3 mm at 4000 rpm for 2 h. Two different commercially available polyisocyanate catalysts based on hexamethylene diisocyanate (HDI): Desmodur N75 and Desmodur N3300, both supplied by Covestro AG, Leverkusen, Germany, were used as catalysts for the final composition of the TISS paint. Desmodur N75, based on aliphatic HDI biuret, was chosen, as it exhibits much lower viscosity ~225 mPa·s (25 °C) than aliphatic HDI Desmodur N3300, for which, according to the producer, the viscosity is ~3000 mPa·s (25 °C). The reaction between isocyanate catalyst and lumiflon binder is explained elsewhere [15].
Prior to the application, liquid paints were characterized with a rotational controlled rate rheometer (Physica MCR302, Anton Paar, Graz, Austria), equipped with a cone and plate sensor system (CP 50/2°). Standard rotational flow tests were performed with a triangular method by changing the shear rate from 0–500–0 s−1. Oscillatory stress sweep tests at a constant frequency of oscillation (1 Hz) were used to determine the linear viscoelastic range (LVR). Frequency tests were performed at constant small deformation in LVR by decreasing the frequency from 20 to 0.01 Hz. In addition to standard rotational and oscillatory tests, time tests were performed to simulate the three steps to which the paint is subjected: storage in the container, deposition on the substrate, and the formation of the dry coating. In the 1st and the 3rd step, the paint is subjected to conditions with no shear; therefore, these two steps were performed at constant small deformation in LVR, while in the 2nd step—during the application—the paint is subjected to high deformation; therefore, high stress was applied in this step under oscillatory conditions. All rheological measurements were performed at a constant temperature T = 23 °C, which was also the temperature of the application of the paints on the substrate.
The spectrally selective properties of the paint coatings were determined from the infrared (IR) reflectance spectra. Reflectance in the visible (VIS) and near infrared (NIR) ranges was measured on a Perkin Elmer Lambda 950 UV/VIS/NIR spectrometer (PerkinElmer Inc., Waltham, MA, USA) with an integrating sphere (module 150 mm), while the reflectivity spectra in the middle IR spectral range were obtained on a Bruker IFS66/S spectrometer (Bruker Corporation, Billerica, MA, USA) equipped with an integrating sphere (OPTOSOL), using a gold plate as a standard for diffuse reflectance. Solar absorptance (as) and thermal emittance (eT) values were determined from the reflectance spectra using a standard procedure [16]. The solar absorptance as is theoretically defined as a weighted fraction between absorbed radiation and incoming solar radiation. It was calculated according to [16]:
where λ is wavelength, R(λ) reflectance, and S(λ) direct normal solar irradiance. It is defined according to ISO standard 9845-1 (1992), where an air mass is 1.5. Thermal emittance eT is a weighted fraction between emitted radiation and the Planck black body distribution r(λ,T) [16]:
The values of eT were calculated at 350 K, which is close to operating temperature of solar collectors. Emissivity and absorptivity values were determined by a set of samples, e.g., for a certain operating condition, 5 samples were sprayed and spectral selectivity was determined for each of the samples. The single value was then determined as an average of these measurements. The accuracy of the spectral selectivity was within ±2%.
After the preparation, liquid paints were deposited on polymeric substrates by a laboratory spraying gun.
3. Results and Discussion
3.1. Rheological Characterization
3.1.1. Binders
Before the preparation of TISS paints, rheological characterization of all three fluoropolymer binders was performed. The results show that in the shear rate range examined, the binders L9716 and L9721 exhibited Newtonian flow behavior with viscosity 4.5 Pa·s for L9716 and 3.9 Pa·s for L9721, respectively. In contrast to that, the binder L200 exhibited almost one order of magnitude higher consistency with non-Newtonian shear thinning flow behavior.
Three different fluoropolymer binders L200, L9716 and L9721 were milled with the same amount of black pigment (SH-444). After the milling, the so-prepared pastes were rheologically characterized under destructive and non-destructive conditions. The results of the destructive shear conditions showed that, in contrast to the flow behavior of the binders without black pigment (Figure 1), all three pastes exhibited shear thinning behavior (Figure 2). The addition of the pigment led to particle–particle interactions and interactions between the binder and the black pigment. It is clear that in all of the pastes, some pigment particles agglomerated, resulting in a 1st Newtonian plateau with constant high zero-shear viscosity. As shear rate increased, the particles started to de-agglomerate, and the viscosity strongly decreased with increasing shear stress. At this point the pigment particles were deagglomerated and well distributed inside the binder. Similarly to the binders, the flow behavior of the paste L200-444 significantly deviated from the other two. This paste exhibited the highest consistency; moreover, the presence of yield stress could be clearly observed at around 100 Pa. During the measurements by the triangular method, all pastes exhibited a hysteresis loop, indicating the time-dependent behavior of the pastes. Time dependency was the most pronounced for the paste with the binder L9716, while the paste L200-444 exhibited the lowest hysteresis, indicating that the structure had the lowest time dependency.
Figure 1.
Flow characteristics of the binders used for the preparation of TISS paints.
Figure 2.
Flow characteristics of the pastes prepared by the binders with black pigment.
In addition to the flow characteristics, the viscoelastic properties of the pastes were determined under non-destructive oscillatory conditions in the linear viscoelastic range, which was previously determined with stress sweep tests at a constant frequency of 1 Hz. Similarly to what was determined with the flow tests, the frequency tests (Figure 3) showed that the highest consistency, i.e., the values of dynamic moduli (elastic G′ and viscous G″ contribution to viscoelastic behavior) was observed for the paste with the L200 binder. At high frequencies, i.e., short times, the particles of black pigment were trapped inside the chains of the binder, and there was no time for them to sediment. Under these conditions, the prepared pastes exhibited a relatively stable structure. However, at lower frequencies, i.e., longer times, the chains of the polymer binder started to orientate and align, which enabled the particles to move between the chains, and they started to settle. Under such conditions, the pastes lost their stability, and the viscous contribution started to increase, while the elastic modulus remained constant. The increase in viscous contribution was the most clearly observed for the pastes with L200 binder. Despite this paste having the highest consistency, it could be concluded that the interactions of the particles with this binder at longer times were the weakest.
Figure 3.
Oscillatory frequency tests in linear viscoelastic range for the binders with black pigment.
During its lifetime and application, the liquid paint is subjected to various conditions, from rest during storage to high shear during application, and again low shear during leveling after application on the substrate. To simulate such conditions, non-destructive conditions of linear viscoelastic response were applied in the first and third steps of the experiment, while destructive conditions of high shear were applied in the second step. The results (Figure 4) showed that during the first step (rest during the storage), the binders L200 and L9716 exhibited the structure of a strong gel with extreme prevalence of the elastic modulus G′ over the viscous one G″. For the binder L200, the prevalence of the elastic modulus can be observed during all three steps of the experiment. Such behavior is not preferable for, e.g., spraying applications, since during the application at high shear the paint does not flow but exhibits the properties close to solid or gel. Consequently, the homogeneous application of this paint on the substrate is unlikely. To use this binder for spraying application the addition of rheological additives for increasing viscous character at high shear would be necessary. On the contrary, the binder L9716 exhibited a stable structure at rest and liquid-like characteristics at high shear therefore we do not expect any problems during the application. However, due to the sudden recovery of the dynamic moduli to initial values at the last step of the experiment some inhomogeneities during the process of leveling on the substrate could be expected. The binder L9721 exhibited the structure of a weak gel at rest and good flow characteristics during the application; however, a higher decrease in the viscosity in this step would be preferable. Similar has already been published for TISS coatings on metal substrates [11].
Figure 4.
Three-step time test for various binders with black pigment: 1st step: constant low deformation in linear viscoelastic range (γ = 1%, ω = 1 Hz); 2nd step: constant high deformation in the range of destructive shear conditions (γ = 100%, ω = 1 Hz); 3rd step: constant low deformation (γ = 1%, ω = 1 Hz), the same as in 1st step.
3.1.2. TISS Liquid Paints
Thickness-insensitive spectrally selective (TISS) coatings were prepared by using all three of the above-mentioned binders milled with the same black pigment. All TISS paints were two-component systems, prepared by following the same procedure with the identical addition of the same additives and catalyst Desmodur N75. Rheological characterization was performed for all liquid paints prior to the application on the HDPE substrates using the spraying technique. The viscosity curves under destructive shear conditions (Figure 5) showed that all three TISS liquid paints exhibited shear thinning flow behavior. For all the paints, the first Newtonian plateau could be observed in the range of low shear stresses. The highest viscosity in this range was observed for the paint with L9716 binder. As the shear stress increased, the particles inside the paint started to align in the direction of flow, resulting in decreasing viscosity. The decrease in viscosity was less pronounced for the paint with L200 binder. Consequently, the viscosity of this paint in the range of high shear stresses was the highest. As shear stress started to decrease in the second step of the triangular flow experiment, the viscosity increased, with different values from those during increasing shear stress. A noticeable hysteresis can be observed for all three paints, indicating the time-dependent behavior of all paints. Due to the higher viscosity of the binder L200, the TISS paint prepared with this binder exhibited the highest viscosity, which was more pronounced especially at higher shear rates.
Figure 5.
Viscosity curves of TISS paints, prepared with binders L200, L9716 and L9721. All liquid paints were measured after the addition of catalyst Desmodur N75.
The results of the oscillatory tests, performed under non-destructive conditions of low deformation (in the range of linear viscoelastic response at γ = 1 %, Figure 6), showed that at longer times, none of the liquid paints exhibited a tendency towards sedimentation; however, for the paint with the L9721 binder (TISS-L9721-444) a small increase of dynamic moduli could be observed at lower frequencies, which was attributed to the drying of the paint due to the long duration of the experiment.
Figure 6.
Oscillatory tests—frequency dependence of dynamic moduli for TISS liquid paints, prepared with various binders (L200, L9716 in L9721) and black pigment (Black-444). All liquid paints were measured after the addition of catalyst Desmodur N75.
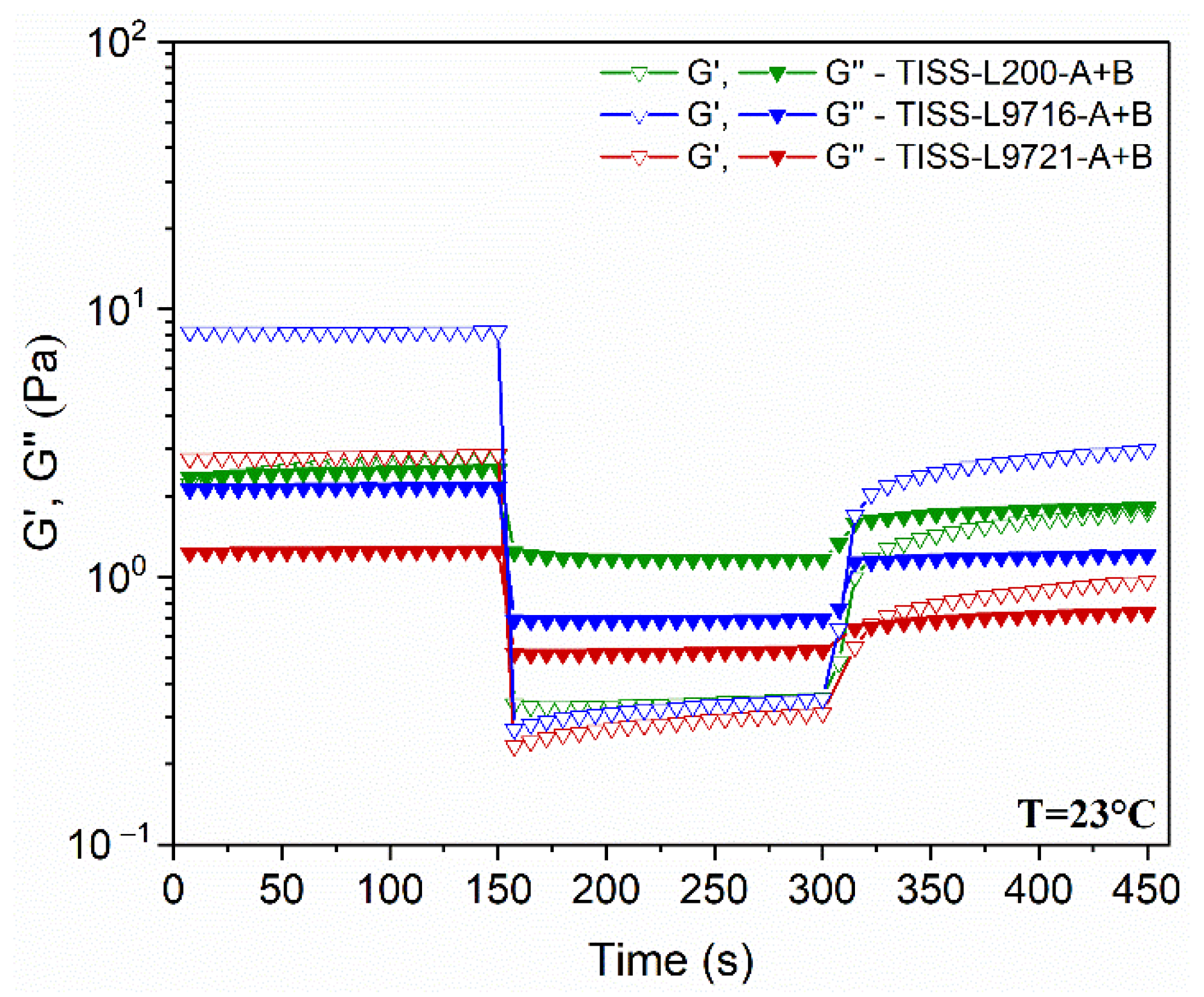
Time tests, explained above, showed that all liquid paints exhibited a stable structure at the state of rest and appropriate flow characteristics under high shear during the application process (Figure 7). During the formation of the dry coating on the substrate (step 3), some inhomogeneities could be expected using the paints TISS-L9716-A+B and TISS-L9721-A+B, since the recovery to the initial values is almost immediate after decreasing the stress to the initial values. On the other hand, during the leveling of the paint TISS-L200-A+B, homogeneous final dry coating on the substrate could be expected.
Figure 7.
Three-step time test for TISS liquid paints, prepared with various binders (L200, L9716 in L9721) and black pigment: 1st step: constant low deformation in linear viscoelastic range (γ = 1%, ω = 1 Hz); 2nd step: constant high deformation in the range of destructive conditions (γ = 100%, ω = 1 Hz); 3rd step: constant low deformation (γ = 1%, ω = 1 Hz), the same as in 1st step. All liquid paints were measured after the addition of catalyst Desmodur N75.
3.1.3. The Influence of the Type and Concentration of Catalysts
Since TISS paint coatings prepared with fluoropolymer binder L200 turned out to be very promising for application on polymeric substrates, further optimization of the paint was performed with this binder. The influence of the type and concentration of catalyst was determined with two commercially available catalysts: Desmodur N75 and Desmodur N3300. The catalysts were added in three different proportions: 1:1.1; 1:1.3 and 1:1.5. The rheological tests were performed with the aim of defining the best catalyst and the appropriate concentration of its addition for obtaining the paint with the best rheological characteristics for application on the polymeric substrate.
The N75 and N3300 catalysts are aliphatic polyisocyanates. N75 is an HDI dimer, while N3300 is an HDI trimer. It has been reported in the literature [17] that both catalysts enable excellent appearance, UV resistance, and long pot life open time, and both meet current VOC regulations for key end-use markets. Although both catalysts exhibit good performance, the chemical resistance and mechanical properties of dry coating are better when using N3300, while N75 enables better adhesion, impact and flexibility and slower drying of the coating. During curing, the isocyanate groups from the catalyst react with hydroxyl groups from the Lumiflon binder. However, the mixing ratio of the components should be precisely determined to achieve the correct stoichiometry of the co-reactants. If the NCO/OH ratio is too low, some OH groups remain unreacted, leading to increased flexibility, better adhesion to substrates, and reduced solvent and chemical resistance [17]. On the other hand, if the NCO/OH ratio is too high, some NCO groups remain unreacted, resulting in a longer time for drying and surface hardening. However, the formed coating is harder, and solvent and chemical resistance is increased, while the flexibility is decreased and the adhesion to the substrate is reduced.
The results of flow tests (Figure 8) revealed that the type of the catalyst influenced the dependence of the viscosity on shear rate. In the same range of shear stresses, the decrease in viscosity with increasing shear stress was steeper when the catalyst Desmodur N3300 was used. With the use of this catalyst, the viscosity at lower shear was higher (compared to the TISS paints with the catalyst Desmodur N75), indicating the greater stability of the structure of this paint at rest. However, the values of the viscosity at high shear were more comparable, indicating that similar characteristics during the application of the paints could be expected. Whereas the type of the catalyst influenced the flow behavior of the TISS paints, the effect of the concentration was almost negligible. Small increases in the viscosity could be observed when higher concentrations of catalyst were added; however, the shape of the curves remained similar.
Figure 8.
Flow curves of TISS paint coatings, prepared with the binder L200 and various concentrations of two catalysts Desmodur N75 and Desmodur N3300, respectively.
Similar results were also obtained with oscillatory frequency tests (Figure 9). Significant influence was observed using different types of catalyst, whereas the effect of the concentration was less important. The prevalence of elastic modulus over the viscous one and the fact that there is no dependency of either modulus on frequency of oscillation demonstrate that the structure of the paints with the catalyst Desmodur N3300 is relatively stable and no or only a small tendency towards sedimentation could be expected over longer durations. On the other hand, the paints with the catalyst Desmodur N75 exhibited a more liquid-like structure with lower values of dynamic moduli; hence, some tendency towards sedimentation could already be expected on a short time scale.
Figure 9.
Oscillatory tests: frequency dependency of dynamic moduli for TISS paints, prepared with fluoropolymer binder L200 and various concentrations of two catalysts Desmodur N75 and Desmodur N3300, respectively.
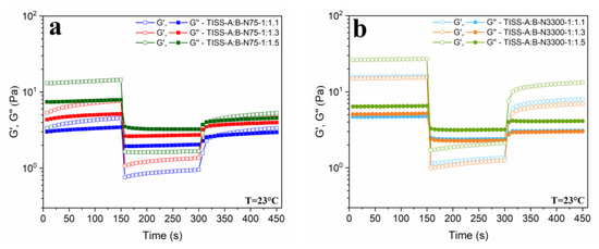
The results of three-step time tests for the prepared TISS paints (Figure 10) showed that the paints with N3300 catalyst exhibited high consistency and stable structure at rest. During application, the rheological properties of these paints were suitable for successful application, since the viscous contribution prevailed over the elastic one. However, after the application, the recovery of these paints was fast, with the domination of the elastic modulus indicating fast, solid-like behavior and possible inhomogeneities in the dry coating on the substrate. The rheological behavior of the paints with N75 catalyst was similar, with different relaxation behavior in the third step of the experiment. After the high shear applied in the second step, the recovery of the structure in the third step was slower, with elastic modulus slightly prevailing over the viscous one. This indicates that there was enough time for the structure of these to form a homogeneous dry coating. Moreover, the structure of the paint was viscoelastic, with almost equal contribution of the elastic and viscous parts, enabling the formation of a uniform and smooth dry coating. According to these results, it could be expected that the coating with N75 catalyst would enable the formation of a better and more homogeneous dry coating compared to the catalyst N3300.
Figure 10.
Three-step time test for TISS paints, prepared with fluoropolymer binder L200 and various concentrations of two catalysts: (a) Desmodur N75 and (b) Desmodur N3300, respectively: 1st step: constant low deformation in linear viscoelastic range; 2nd step: constant high deformation in the range of destructive conditions; 3rd step: constant low deformation, similar as in 1st step.
Moreover, due to the high flexibility of polymeric substrates, the coatings applied to such substrates should exhibit a viscoelastic structure with elongation comparable to that of a plastic substrate. If the structure of the applied coating is too stiff, with a high prevalence of elastic modulus, any dynamic deformation of the substrate will lead to premature adhesion failure of the applied coating. The results of the rheological three-step tests of TISS paints prepared with two catalysts at various concentrations (Figure 10) showed that all the paints prepared with N75 catalyst exhibited similar values of G′ and G″ in the third step of the experiment, indicating the flexible viscoelastic structure of the coating after application. On the other hand, the elastic modulus of the paints prepared with N3300 catalysts strongly prevailed over the viscous one in the third step of the experiment, indicating that a more elastic and brittle structure of the applied coating could be expected.
3.2. Adhesion and Spectral Selectivity
In addition to the rheological characterization of liquid paints, dry coatings on the polymeric substrate were characterized by the determination of the functionality of the coating, i.e., spectral selectivity with solar absorptivity and thermal emissivity values. Moreover, the quality of the applied coatings, i.e., the adhesion, was examined using cross-cut tests. These tests were performed by cutting the surface of the coating with a special several-bladed knife. After the cutting, a sticky tape was glued on the surface and peeled-off. If there were no marks on the tape, the adhesion of the paint on the substrate was good, while marks left on the sticky tape indicated a loss of cohesion. The results were evaluated according to the DIN EN ISO 2409 standard as follows:
5B (ISO Class 0): Edges of cut are completely smooth; none of the squares of the lattice are detached.
4B (ISO Class 1): Detachment of small flakes at the intersection of the cuts; max 5% of the cross-cut area is affected.
3B (ISO Class 2): Flaked along the edges and/or intersection of the cuts; affected cross-cut area: 5%–15%.
2B (ISO Class 3): Squares are partly/wholly damaged; affected cross-cut area: 15%–35%.
1B (ISO Class 4): Squares are partly/wholly detached; affected cross-cut area: 35%–65%.
For all the coatings studied in the present research, the cross-cut areas of the coatings and the black marks left on the sticky tape after its removal were scanned and the average values are presented in Table 1 and Table 2. Figure 11 presents photographs of the cross-cut tests for two coatings with different catalysts. From Figure 11 it can be clearly seen that the adhesion of the coatings on the polymeric substrate was acceptable for both catalysts used.
Table 1.
Comparison of thermal emittance (eT), solar absorbance (aS) and adhesion to polymeric substrate of TISS coatings, prepared with the binder L200 and various concentrations of catalyst Desmodur N3300.
Table 2.
Comparison of thermal emittance (eT), solar absorbance (aS) and adhesion to polymeric substrate of TISS coatings, prepared with the binder L200 and various concentrations of catalyst Desmodur N75.
Figure 11.
Photograph of cross-cut tests for two TISS coatings onto the polymeric substrate, prepared with the binder L200 and different catalysts: (a) Desmodur N75 and (b) Desmodur N3300.
As can be seen from the results, the solar absorptivity was above 0.91 for all of the coatings prepared using N3300 catalyst. However, these coatings also exhibited very high thermal emissivity (eT > 0.35) and relatively weak adhesion (3B). Very good adhesion of dry coatings was achieved by the application of the paints with the lowest amount of N75 catalyst. Moreover, all the coatings, prepared by using this catalyst, also exhibited good spectral selectivity—the difference between as and eT was higher than 0.5 for all samples.
3.3. Morphology of the Applied TISS Paints
The morphological structure of the applied TISS paint on the substrate is presented in Figure 12. It can be seen from the figure that proper distribution of the metal flakes and black pigment in the binder is crucial for high solar absorptivity (smaller black pigments) and low thermal emissivity (larger Al flakes). Figure 12a presents the structure of the applied sample A:B-N3300-1:1.5. It can be seen from the Figure that Al flakes were completely covered with the binder with black pigment, which was homogeneously distributed inside the binder. Due to the complete coverage of the flakes, thermal emissivity of the coating was high (the highest of all samples prepared); however due to good distribution of black pigment inside the binder, solar absorptivity was high (higher than 0.92). However, appropriate distribution of all components in liquid TISS paint led to high spectral selectivity. This can be observed in Figure 12b, which presents the morphology of the sample A:B-N75-1:1.1. This coating exhibited the highest solar absorptivity and the lowest thermal emissivity of all samples prepared (Table 1 and Table 2).
Figure 12.
SEM micrographs of two TISS paints with (a) binder completely covering the flakes (A:B-N3300-1:1.5) and (b) proper distribution of the components (A:B-N75-1:1.1).
4. Conclusions
In the present work, three different fluoropolymer binders L200, L9716 and L9721 were used for the preparation of black thickness-insensitive spectrally selective (TISS) paints which are, due to incorporation of metal flakes and pigment particles inside polymer binder, suitable for polymer solar absorbers. However, the adhesion of these paints on polymer substrates is usually inferior. To achieve good adhesion of the liquid paint and optimal spectrally selective properties of dry coating, which strongly depend on the distribution of the particles in the polymer binder, systematic research needs to be performed, and the rheological properties carefully determined. For this reason, our study focused on the rheological characterization of binders, pastes, and TISS liquid paints, together with the effect of two polyisocyanate hardeners. Moreover, the adhesion of dry coatings was evaluated with peel-off tests, while spectral selectivity was determined on the basis of solar absorptivity and thermal emissivity measurements.
The results showed that two binders exhibited Newtonian flow behavior, while the behavior of the binder L200 was slightly shear thinning. The addition of the same concentration of pigment particles to the binders changed the flow behavior of the binders towards significant shear thinning. The particle–particle interactions of pigment particles were the highest for the L9716 binder, since the shear thinning effect was the most significant for the paste with this binder. Strong agglomeration of the particles at rest was observed with high zero-shear viscosity, while de-agglomeration occurred when the shear increased. However, when the applied shear decreased, the re-agglomeration was slower, as the viscosity did not recover to its initial state.
For TISS paints, the results showed that the liquid paints exhibited shear thinning, time-dependent flow behavior with noticeable yield stress. Due to the higher viscosity of the binder L200, the TISS paint prepared with this binder exhibited the highest viscosity in the range of high shear stress. Three-step tests of the prepared TISS paints showed that for the paints TISS-L9716-A+B and TISS-L9721-A+B the recovery of the structure to its initial values was almost immediate; therefore, during the formation of the dry coating on the substrate, some inhomogeneities could be expected using these paints. On the other hand, the results of the recovery process—leveling of the paint with L200 binder (TISS-L200-A+B)—a homogeneous final dry coating on the substrate could be expected.
The comparison of the two catalysts used for the preparation of final liquid two-component TISS paints showed that the coatings with N75 catalyst enable the formation of a better and more homogeneous dry coating compared to the catalyst N3300. Moreover, the results showed that the rheological properties strongly depended on the type of catalyst, while the effect of the catalyst’s concentration was almost negligible. A small increase in viscosity was observed when higher concentrations of catalyst were added; however, the shape of the viscosity curves remained similar.
The results of spectral selectivity showed that, compared to Desmodur N3300, the catalyst Desmodur N75 (A:B-N75-1:1.1) enabled slightly lower eT values (eT = 0.353) and better adhesion to the HDPE polymer surface. It was also observed that the spectral selectivity (aS − eT) with increasing concentration of catalyst decreased from 0.550 to 0.469 for N3300, while the spectral selectivity for the coatings with N75 catalyst was higher than 0.508 for all the paints prepared, regardless of the concentration of the hardener.
The obtained results confirmed that the rheological properties of liquid TISS paints are extremely important for achieving homogeneous dry solar coatings with good adhesion on polymer substrates. It was shown that only proper rheological properties of liquid paint enable the correct distribution of the metal flakes and black pigment in the binder during the application, which is crucial for the best functionality of dry coating, i.e., high solar absorptivity and low thermal emissivity.
Author Contributions
Conceptualization, L.S.P. and M.M.; methodology, M.M., M.K.G. and L.S.P.; formal analysis, M.M. and M.K.G.; investigation, M.M., M.K.G. and L.S.P.; writing—original draft preparation, L.S.P.; writing—review and editing, M.M., M.K.G. and L.S.P.; visualization, M.M., M.K.G. and L.S.P.; supervision, L.S.P.; project administration, L.S.P. All authors have read and agreed to the published version of the manuscript.
Funding
The authors acknowledge the financial support from the Slovenian Research Agency (research core funding No. P2-0264 and P2-0393).
Institutional Review Board Statement
Not applicable.
Informed Consent Statement
Not applicable.
Data Availability Statement
Not applicable.
Conflicts of Interest
The authors declare no conflict of interest. The funders had no role in the design of the study; in the collection, analyses, or interpretation of data; in the writing of the manuscript, or in the decision to publish the results.
References
- Carlsson, B.; Persson, H.; Meir, M.; Rekstad, J. A total cost perspective on use of polymeric materials in solar collectors—Importance of environmental performance on suitability. Appl. Energy 2014, 125, 10–20. [Google Scholar] [CrossRef]
- Meir, M.; Murtnes, E.; Dursun, A.; Rekstad, J. Polymeric Solar Collectors or Heat Pump?—Lessons Learned from Passive Houses in Oslo. Energy Procedia 2014, 48, 914–923. [Google Scholar] [CrossRef] [Green Version]
- Kahlen, S.; Wallner, G. Aging Behavior of Polymeric Materials for Solar Thermal Absorber Applications. In ISES Solar World Congress 2007, ISES 2007; Springer: Berlin/Heidelberg, Germany, 2009; Volume 1, pp. 519–523. ISBN 978-3-540-75996-6. [Google Scholar]
- Schulz, J.; Kent, D.; Crimi, T.; Glockling, J.L.D.; Hull, T.R. A Critical Appraisal of the UK’s Regulatory Regime for Combustible Façades. Fire Technol. 2021, 57, 261–290. [Google Scholar] [CrossRef]
- Štirn, Ž.; Čolović, M.; Vasiljević, J.; Šobak, M.; Žitko, G.; Čelan Korošin, N.; Simončič, B.; Jerman, I. Effect of bridged DOPO/polyurethane nanocomposites on solar absorber coatings with reduced flammability. Sol. Energy 2022, 231, 104–114. [Google Scholar] [CrossRef]
- Orel, B.; Spreizer, H.; Vuk, A.; Fir, M.; Merlini, D.; Vodlan, M.; Köhl, M. Selective paint coatings for coloured solar absorbers: Polyurethane thickness insensitive spectrally selective (TISS) paints (Part II). Sol. Energy Mater. Sol. Cells 2007, 91, 108–119. [Google Scholar] [CrossRef]
- Sung, L.-P.; Nadal, M.E.; McKnight, M.E.; Marx, E.; Laurenti, B. Optical reflectance of metallic coatings: Effect of aluminum flake orientation. J. Coat. Technol. 2002, 74, 55–63. [Google Scholar] [CrossRef]
- Gunde, M.K.; Orel, Z.C.; Hutchins, M.G. The influence of paint dispersion parameters on the spectral selectivity of black-pigmented coatings. Sol. Energy Mater. Sol. Cells 2003, 80, 239–245. [Google Scholar] [CrossRef]
- Kirchner, E.; Houweling, J. Measuring flake orientation for metallic coatings. Prog. Org. Coat. 2009, 64, 287–293. [Google Scholar] [CrossRef]
- Slemenik Perše, L.; Mihelčič, M.; Orel, B. Rheological and optical properties of solar absorbing paints with POSS-treated pigments. Mater. Chem. Phys. 2015, 149, 368–377. [Google Scholar] [CrossRef]
- Perše, L.S.; Bizjak, A.; Orel, B. The role of rheological properties and spraying parameters on the spectral selectivity of Thickness Insensitive Spectrally Selective (TISS) paint coatings. Sol. Energy Mater. Sol. Cells 2013, 110, 115–125. [Google Scholar] [CrossRef]
- Shen, Z.; Rajabi-Abhari, A.; Oh, K.; Lee, S.; Chen, J.; He, M.; Lee, H.L. The Effect of a Polymer-Stabilized Latex Cobinder on the Optical and Strength Properties of Pigment Coating Layers. Polymers 2021, 13, 568. [Google Scholar] [CrossRef] [PubMed]
- Oh, K.; Lee, J.-H.; Im, W.; Rajabi Abhari, A.; Lee, H.L. Role of Cellulose Nanofibrils in Structure Formation of Pigment Coating Layers. Ind. Eng. Chem. Res. 2017, 56, 9569–9577. [Google Scholar] [CrossRef]
- Cohu, O.; Magnin, A. Rheology and flow of paints in roll coating processes. Surf. Coat. Int. 1997, 80, 102–107. [Google Scholar] [CrossRef]
- Mihelčič, M.; Gaberšček, M.; Salzano de Luna, M.; Lavorgna, M.; Giuliani, C.; Di Carlo, G.; Surca, A.K. Effect of silsesquioxane addition on the protective performance of fluoropolymer coatings for bronze surfaces. Mater. Des. 2019, 178, 107860. [Google Scholar] [CrossRef]
- Hutchins, M.G. Spectrally selective materials for efficient visible, solar and thermal radiation control. In Solar Thermal Technologies for Buildings; Santamouris, M., Ed.; James & James: London, UK, 2003; ISBN 9781315074467. [Google Scholar]
- Chen, A.T.; Wojcik, R.T. Polyurethane coatings for metal and plastic substrates. Met. Finish. 2010, 108, 108–121. [Google Scholar] [CrossRef]
Publisher’s Note: MDPI stays neutral with regard to jurisdictional claims in published maps and institutional affiliations. |
© 2022 by the authors. Licensee MDPI, Basel, Switzerland. This article is an open access article distributed under the terms and conditions of the Creative Commons Attribution (CC BY) license (https://creativecommons.org/licenses/by/4.0/).











