Insights into the Electrical Characterization of Graphene-like Materials from Carbon Black
Abstract
1. Introduction
2. Materials and Methods
2.1. Materials
2.2. GL Synthesis
2.3. Structural and Morphological Characterizations
2.4. Electrical Characterization
3. Results
3.1. Elemental Analysis
3.2. Thermal Characterization
3.3. FTIR Characterization
3.4. AFM Imaging
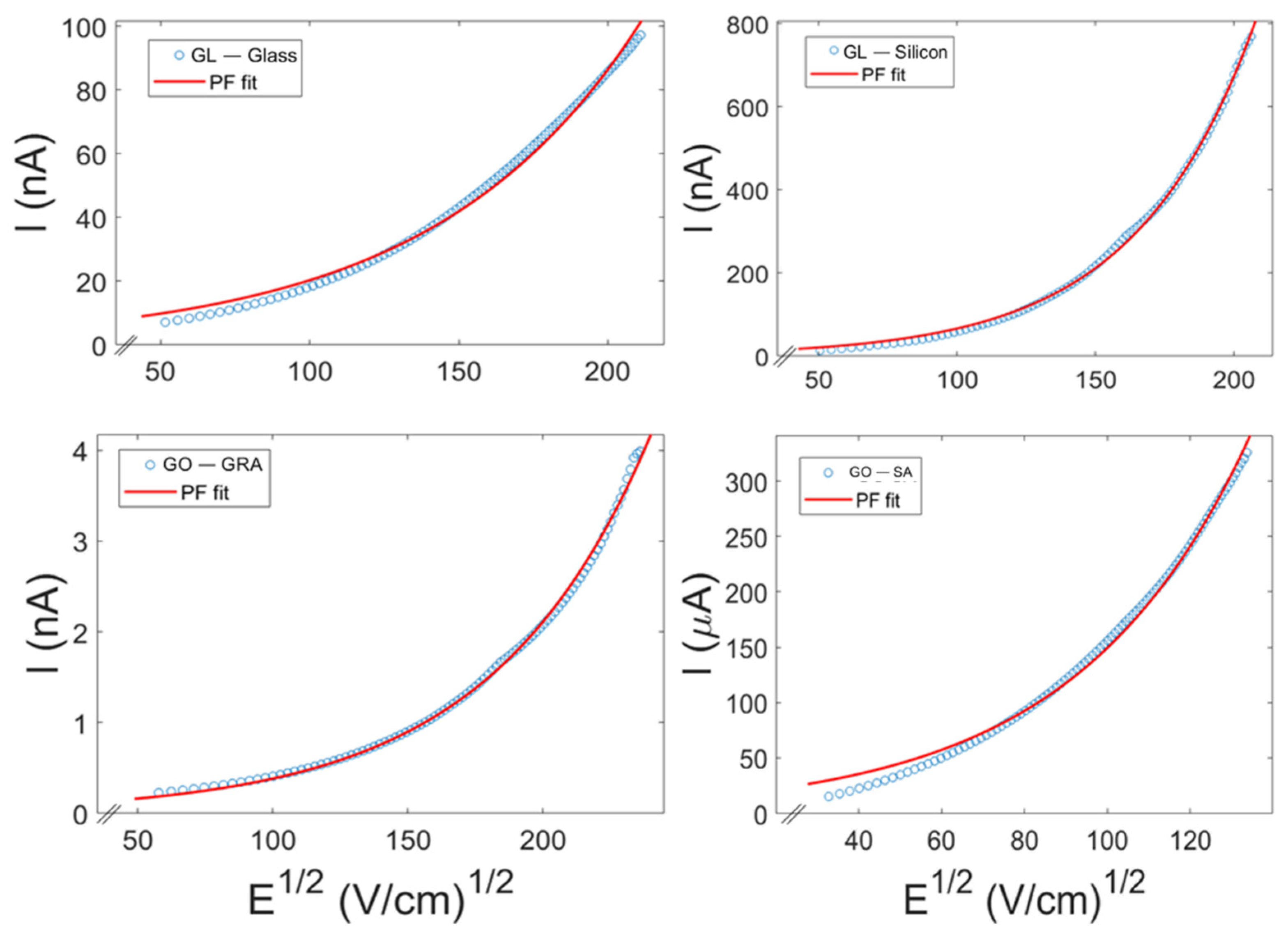
3.5. Electrical Properties
4. Conclusions
Author Contributions
Funding
Institutional Review Board Statement
Informed Consent Statement
Data Availability Statement
Acknowledgments
Conflicts of Interest
References
- Novoselov, K.S.; Geim, A.K.; Morozov, S.V.; Jiang, D.; Zhang, Y.; Dubonos, S.V.; Grigorieva, I.V.; Firsov, A.A. Electric field effect in atomically thin carbon films. Science 2004, 306, 666–669. [Google Scholar] [CrossRef] [PubMed]
- Berger, C.; Song, Z.M.; Li, X.B.; Wu, X.S.; Brown, N.; Naud, C.; Mayo, D.; Li, T.B.; Hass, J.; Marchenkov, A.N.; et al. Electronic confinement and coherence in patterned epitaxial graphene. Science 2006, 312, 1191–1196. [Google Scholar] [CrossRef] [PubMed]
- Geim, A.K.; Novoselov, K.S. The rise of graphene. Nat. Mater. 2007, 6, 183–191. [Google Scholar] [CrossRef] [PubMed]
- He, H.; Kim, K.H.; Danilov, A.; Montemurro, D.; Yu, L.; Park, Y.W.; Lombardi, F.; Bauch, T.; Moth-Poulsen, K.; Iakimov, T.; et al. Uniform doping of graphene close to the Dirac point by polymer-assisted assembly of molecular dopants. Nat. Commun. 2018, 9, 3956. [Google Scholar] [CrossRef] [PubMed]
- Avouris, P. Graphene: Electronic and Photonic Properties and Devices. Nano Lett. 2010, 10, 4285–4294. [Google Scholar] [CrossRef] [PubMed]
- Liu, N.; Fu, L.; Dai, B.; Yan, K.; Liu, X.; Zhao, R.; Zhang, Y.; Liu, Z. Universal Segregation Growth Approach to Wafer-Size Graphene from Non-Noble Metals. Nano Lett. 2011, 11, 297–303. [Google Scholar] [CrossRef] [PubMed]
- Papageorgiou, D.G.; Kinloch, I.A.; Young, R.J. Mechanical properties of graphene and graphene-based nanocomposites. Prog. Mater. Sci. 2017, 90, 75–127. [Google Scholar] [CrossRef]
- Yue, S.; Zhou, H.; Geng, D.; Sun, Z.; Arita, M.; Shimada, K.; Cheng, P.; Chen, L.; Meng, S.; Wu, K.; et al. Experimental observation of Dirac cones in artificial graphene lattices. Phys. Rev. B 2020, 102, 201401. [Google Scholar] [CrossRef]
- Heersche, H.B.; Jarillo-Herrero, P.; Oostinga, J.B.; Vandersypen, L.M.K.; Morpurgo, A.F. Bipolar supercurrent in graphene. Nature 2007, 446, 56–59. [Google Scholar] [CrossRef] [PubMed]
- Chung, C.; Kim, Y.-K.; Shin, D.; Ryoo, S.-R.; Hong, B.H.; Min, D.-H. Biomedical Applications of Graphene and Graphene Oxide. Acc. Chem. Res. 2013, 46, 2211–2224. [Google Scholar] [CrossRef] [PubMed]
- Rao, C.N.R.; Biswas, K.; Subrahmanyam, K.S.; Govindaraj, A. Graphene, the new nanocarbon. J. Mater. Chem. 2009, 19, 2457–2469. [Google Scholar] [CrossRef]
- Abergel, D.S.L.; Apalkov, V.; Berashevich, J.; Ziegler, K.; Chakraborty, T. Properties of graphene: A theoretical perspective. Adv. Phys. 2010, 59, 261–482. [Google Scholar] [CrossRef]
- Emtsev, K.V.; Bostwick, A.; Horn, K.; Jobst, J.; Kellogg, G.L.; Ley, L.; McChesney, J.L.; Ohta, T.; Reshanov, S.A.; Rohrl, J.; et al. Towards wafer-size graphene layers by atmospheric pressure graphitization of silicon carbide. Nat. Mater. 2009, 8, 203–207. [Google Scholar] [CrossRef] [PubMed]
- Li, X.S.; Cai, W.W.; An, J.H.; Kim, S.; Nah, J.; Yang, D.X.; Piner, R.; Velamakanni, A.; Jung, I.; Tutuc, E.; et al. Large-area synthesis of high-quality and uniform graphene films on copper foils. Science 2009, 324, 1312–1314. [Google Scholar] [CrossRef] [PubMed]
- Lee, S.; Lee, K.; Zhong, Z. Wafer Scale Homogeneous Bilayer Graphene Films by Chemical Vapor Deposition. Nano Lett. 2010, 10, 4702–4707. [Google Scholar] [CrossRef] [PubMed]
- Lee, Y.; Bae, S.; Jang, H.; Jang, S.; Zhu, S.-E.; Sim, S.H.; Song, Y.I.; Hong, B.H.; Ahn, J.-H. Wafer-Scale Synthesis and Transfer of Graphene Films. Nano Lett. 2010, 10, 490–493. [Google Scholar] [CrossRef]
- Gao, L.; Ni, G.-X.; Liu, Y.; Liu, B.; Castro Neto, A.H.; Ping Loh, K.P. Face-to-face transfer of wafer-scale graphene films. Nature 2014, 505, 190–194. [Google Scholar] [CrossRef] [PubMed]
- Gong, Y.; Zhang, X.; Liu, G.; Wu, L.; Geng, X.; Long, M.; Cao, X.; Guo, Y.; Li, W.; Xu, J.; et al. Layer-Controlled and Wafer-Scale Synthesis of Uniform and High-Quality Graphene Films on a Polycrystalline Nickel Catalyst. Adv. Funct. Mater. 2012, 22, 3153–3159. [Google Scholar] [CrossRef]
- Arcadio, F.; Zeni, L.; Montemurro, D.; Eramo, C.; Di Ronza, S.; Perri, C.; D’Agostino, G.; Chiaretti, G.; Porto, G.; Cennamo, N. Biochemical sensing exploiting plasmonic sensors based on gold nanogratings and polymer optical fibers. Photonics Res. 2021, 9, 1397–1408. [Google Scholar] [CrossRef]
- Vettoliere, A.; Satariano, R.; Ferraiuolo, R.; Di Palma, L.; Ahmad, H.G.; Ausanio, G.; Pepe, G.P.; Tafuri, F.; Montemurro, D.; Granata, C.; et al. Aluminum-ferromagnetic Josephson tunnel junctions for high quality magnetic switching devices. Appl. Phys. Lett. 2022, 120, 262601. [Google Scholar] [CrossRef]
- Zito, G.; Rusciano, G.; Pesce, G.; Malafronte, A.; Rocco Di Girolamo, R.; Ausanio, G.; Vecchione, A.; Sasso, A. Nanoscale engineering of two-dimensional disordered hyperuniform block-copolymer assemblies. Phys. Rev. E 2015, 92, 050601(R). [Google Scholar] [CrossRef] [PubMed]
- Trabaldo, E.; Ruffieux, S.; Andersson, E.; Arpaia, R.; Montemurro, D.; Schneiderman, J.F.; Kalaboukhov, A.; Winkler, D.; Lombardi, F.; Bauch, T. Properties of grooved Dayem bridge based YBa2Cu3O7−𝜹 superconducting quantum interference devices and magnetometers. Appl. Phys. Lett. 2020, 116, 132601. [Google Scholar] [CrossRef]
- Mahashabde, S.; Otto, E.; Montemurro, D.; de Graaf, S.; Kubatkin, S.; Danilov, A. Fast Tunable High-Q-Factor Superconducting Microwave Resonators. Phys. Rev. Appl. 2020, 14, 044040. [Google Scholar] [CrossRef]
- Baghdadi, R.; Arpaia, R.; Stepantsov, E.; Arzeo, M.; Golubev, D.; Montemurro, D.; Andersson, E.; Bauch, T.; Lombardi, F. Study of in-plane electrical transport anisotropy of a-axis oriented YBa2Cu3O7−δ nanodevices. Phys. Rev. B 2017, 95, 184505. [Google Scholar] [CrossRef]
- Park, H.-Y.; Jung, W.-S.; Kang, D.-H.; Jeon, J.; Yoo, G.; Park, Y.; Lee, J.; Jang, Y.H.; Lee, J.; Park, S.; et al. Extremely Low Contact Resistance on Graphene through n-Type Doping and Edge Contact Design Advanced. Materials 2016, 28, 864–870. [Google Scholar]
- Lee, E.J.H.; Balasubramanian, K.; Weitz, R.T.; Burghard, M.; Kern, K. Contact and edge effects in graphene devices. Nat. Nanotechnol. 2008, 3, 486–490. [Google Scholar] [CrossRef] [PubMed]
- Cusati, T.; Fiori, G.; Gahoi, A.; Passi, V.; Lemme, M.C.; Fortunelli, A.; Iannaccone, G. Electrical properties of graphene-metal contacts. Sci. Rep. 2017, 7, 5109. [Google Scholar] [CrossRef] [PubMed]
- Kunakova, G.; Surendran, A.P.; Montemurro, D.; Salvato, M.; Golubev, D.; Andzane, J.; Erts, D.; Bauch, T.; Lombardi, F. Topological insulator nanoribbon Josephson junctions: Evidence for size effects in transport properties. J. Appl. Phys. 2020, 128, 194304. [Google Scholar] [CrossRef]
- Montemurro, D.; Stornaiuolo, D.; Massarotti, D.; Ercolani, D.; Sorba, L.; Beltram, F.; Tafuri, F.; Roddaro, S. Suspended InAs nanowire Josephson junctions assembled via dielectrophoresis. Nanotechnology 2015, 26, 385302. [Google Scholar] [CrossRef] [PubMed]
- Trabaldo, E.; Pfeiffer, C.; Andersson, E.; Leonidovich, M.C.; Arpaia, R.; Montemurro, D. SQUID magnetometer based on Grooved Dayem nanobridges and a flux transformer. IEEE Trans. Appl. Supercond. 2020, 30, 9126148. [Google Scholar] [CrossRef]
- Montemurro, D.; Massarotti, D.; Lucignano, P.; Roddaro, S.; Stornaiuolo, D.; Ercolani, D.; Sorba, L.; Tagliacozzo, A.; Beltram, F.; Tafuri, F. Towards a Hybrid High Critical Temperature Superconductor Junction with a Semiconducting InAs Nanowire Barrier. J. Supercond. Nov. Magn. 2015, 28, 3429–3437. [Google Scholar] [CrossRef][Green Version]
- Satariano, R.; Parlato, L.; Vettoliere, A.; Caruso, R.; Ahmad, H.G.; Miano, A.; Di Palma, L.; Daniela Salvoni, D.; Montemurro, D.; Granata, C.; et al. Inverse magnetic hysteresis of the Josephson supercurrent: Study of the magnetic properties of thin niobium/permalloy (Fe20Ni80) interfaces. Phys. Rev. B 2021, 103, 224521. [Google Scholar] [CrossRef]
- Thilgen, C.; Diederich, F. Structural Aspects of Fullerene Chemistry. A Journey through Fullerene Chirality. Chem. Rev. 2006, 106, 5049–5135. [Google Scholar] [CrossRef]
- Mittal, G.; Dhand, V.; Rhee, K.Y.; Park, S.-J.; Lee, W.R. A review on carbon nanotubes and graphene as fillers in reinforced polymer nanocomposites. J. Ind. Eng. Chem. 2015, 21, 11–25. [Google Scholar] [CrossRef]
- Chen, W.; Yan, L.; Bangal, P.R. Chemical Reduction of Graphene Oxide to Graphene by Sulfur-Containing Compounds. J. Phys. Chem. C 2010, 114, 19885–19890. [Google Scholar] [CrossRef]
- Eigler, S.; Grimm, S.; Enzelberger-Heim, M.; Müller, P.; Hirsc, A. Graphene oxide: Efficiency of reducing agents. Chem. Commun. 2013, 49, 7391–7793. [Google Scholar] [CrossRef]
- Bhuyan, S.A.; Nizam Uddin, N.; Islam, M.; Bipasha, F.A.; Hossain, S.S. Synthesis of graphene. Int. Nano Lett. 2016, 6, 65–83. [Google Scholar] [CrossRef]
- McEuen, P.L. Carbon-based electronics. Nature 1998, 393, 15–17. [Google Scholar] [CrossRef]
- Cha, C.; Shin, S.R.; Annabi, N.; Dokmeci, M.R.; Khademhossein, A. Carbon-Based Nanomaterials: Multifunctional Materials for Biomedical Engineering. ACS Nano 2013, 7, 2891–2897. [Google Scholar] [CrossRef]
- Compton, O.C.; Nguyen, S.T. Graphene Oxide, Highly Reduced Graphene Oxide, and Graphene: Versatile Building Blocks for Carbon-Based Materials. Small 2010, 6, 711–723. [Google Scholar] [CrossRef]
- Bonavolontà, C.; Camerlingo, C.; Carotenuto, G.; De Nicola, S.; Longo, A.; Meola, C.; Boccardi, S.; Palomba, M.; Pepe, G.P.; Valentino, M. Characterization of piezoresistive properties of graphene-supported polymer coating for strain sensor applications. Sens. Actuators A Physical. 2016, 252, 26–34. [Google Scholar] [CrossRef]
- Georgakilas, V.; Perman, J.A.; Tucek, J.; Zboril, R. Broad Family of Carbon Nanoallotropes: Classification, Chemistry, and Applications of Fullerenes, Carbon Dots, Nanotubes, Graphene, Nanodiamonds, and Combined Superstructures. Chem. Rev. 2015, 115, 4744–4822. [Google Scholar] [CrossRef] [PubMed]
- Poorna, A.R.; Saravanathamizhan, R.; Balasubramanian, N. Graphene and graphene-like structure from biomass for Electrochemical Energy Storage application—A Review. Electrochem. Sci. Adv. 2021, 1, e2000028. [Google Scholar] [CrossRef]
- Safian, M.T.U.; Haron, U.S.; Ibrahim, M.M. A review on bio-based graphene derived from biomass wastes. BioResources 2020, 15, 9756. [Google Scholar] [CrossRef]
- Rabia, I.; Jan, B.M.; Ahmad, W. Advances in synthesis of graphene derivatives using industrial wastes precursors; prospects and challenges. J. Mater. Res. Technol. 2020, 9, 15924–15951. [Google Scholar]
- Octavia, V.; Ribeiro, R.S.; Diaz de Tuesta, J.L.; Gomes, H.T.; Silva, A.M.T. A systematic literature review on the conversion of plastic wastes into valuable 2D graphene-based materials. Chem. Eng. J. 2022, 428, 131399. [Google Scholar]
- Tang, Q.; Zhou, Z.; Chen, Z. Graphene-related nanomaterials: Tuning properties by functionalization. Nanoscale 2013, 5, 4541–4583. [Google Scholar] [CrossRef] [PubMed]
- Chavez-Valdez, A.; Shaffer, M.S.P.; Boccaccini, A.R. Applications of Graphene Electrophoretic Deposition. A Review. J. Phys. Chem. B 2013, 117, 1502–1515. [Google Scholar] [CrossRef] [PubMed]
- Mas-Ballesté, R.; Gómez-Navarro, C.; Gómez-Herrero, J.; Zamora, F. 2D materials: To graphene and beyond. Nanoscale 2011, 3, 20–30. [Google Scholar] [CrossRef]
- Krueger, M.; Berg, S.; Stone, D.A.; Strelcov, E.; Dikin, D.A.; Kim, J.; Cote, L.J.; Huang, J.; Kolmakov, A. Drop-Casted Self-Assembling Graphene Oxide Membranes for Scanning Electron Microscopy on Wet and Dense Gaseous Samples. ACS Nano 2011, 5, 10047–10054. [Google Scholar] [CrossRef]
- Gomez-Navarro, C.; Weitz, R.T.; Bittner, A.M.; Scolari, M.; Mews, A.; Burghard, M.; Kern, K. Electronic Transport Properties of Individual Chemically Reduced Graphene Oxide Sheets. Nano Lett. 2007, 7, 3499. [Google Scholar] [CrossRef] [PubMed]
- Khabibrakhmanov, A.I.; Sorokin, P.B. Electronic properties of graphene oxide: Nanoroads towards novel applications. Nanoscale 2022, 14, 4131–4144. [Google Scholar] [CrossRef] [PubMed]
- Venugopal, G.; Krishnamoorthy, K.; Mohan, R.; Kim, S.-J. An investigation of the electrical transport properties of graphene-oxide thin films. Mater. Chem. Phys. 2012, 132, 29–33. [Google Scholar] [CrossRef]
- Casero, E.; Parra-Alfambra, A.M.; Petit-Domínguez, M.D.; Pariente, F.; Lorenzo, E.; Alonso, C. Differentiation between graphene oxide and reduced graphene by electrochemical impedance spectroscopy (EIS). Electrochem. commun. 2012, 20, 63–66. [Google Scholar] [CrossRef]
- Zhuge, F.; Hu, B.; He, C.; Zhou, X.; Liu, Z.; Li, R.-W. Mechanism of nonvolatile resistive switching in graphene oxide thin films. Carbon 2011, 49, 3796–3802. [Google Scholar] [CrossRef]
- Wu, X.; Sprinkle, M.; Li, X.; Ming, F.; Berger, C.; de Heer, W.A. Epitaxial-Graphene/Graphene-Oxide Junction: An Essential Step towards Epitaxial Graphene Electronics. Phys. Rev. Lett. 2008, 101, 026801. [Google Scholar] [CrossRef]
- Kim, T.W.; Gao, Y.; Acton, O.; Yip, H.L.; Ma, H.; Chen, H.; Jen, A.K.Y. Graphene oxide nanosheets based organic field effect transistor for nonvolatile memory applications. Appl. Phys. Lett. 2010, 97, 023310. [Google Scholar] [CrossRef]
- Alfè, M.; Gargiulo, V.; Di Capua, R.; Chiarella, F.; Rouzaud, J.N.; Vergara, A.; Ciajolo, A. Wet Chemical Method for Making Graphene-like Films from Carbon Black. ACS Appl. Mater. Interfaces 2012, 4, 4491–4498. [Google Scholar] [CrossRef]
- Alfè, M.; Spasiano, D.; Gargiulo, V.; Vitiello, G.; Di Capua, R.; Marotta, R. TiO2/graphene-like photocatalysts for selective oxidation of 3-pyridine-methanol to vitamin B3 under UV/solar simulated radiation in aqueous solution at room conditions: The effect of morphology on catalyst performances. Appl. Catal. A Gen 2014, 487, 91–99. [Google Scholar] [CrossRef]
- Alfè, M.; Gargiulo, V.; Di Capua, R. Tuning the surface morphology of self-assembled graphene-like thin films through pH variation. Appl. Surf. Sci. 2015, 353, 628–635. [Google Scholar] [CrossRef]
- Papari, G.P.; Gargiulo, V.; Alfè, M.; Di Capua, R.; Pezzella, A.; Andreone, A. THz spectroscopy on graphene-like materials for bio-compatible devices. J. Appl. Phys. 2017, 121, 145107. [Google Scholar] [CrossRef]
- Olivi, M.; Alfè, M.; Gargiulo, V.; Valle, F.; Mura, F.; Di Giosia, M.; Rapino, S.; Palleschi, C.; Uccelletti, D.; Fiorito, S. Antimicrobial properties of graphene-like nanoparticles: Coating effect on Staphylococcus aureus. J. Nanopart. Res. 2016, 18, 358. [Google Scholar] [CrossRef]
- D’Amora, M.; Alfe, M.; Gargiulo, V.; Silvia Giordani, S. Graphene-Like Layers from Carbon Black: In Vivo Toxicity Assessment. Nanomaterials 2020, 10, 1472. [Google Scholar] [CrossRef] [PubMed]
- Alfe, M.; Minopoli, G.; Tartaglia, M.; Gargiulo, V.; Caruso, U.; Pepe, G.P.; Ausanio, G. Coating of flexible PDMS substrates through Matrix-Assisted Pulsed Laser Evaporation (MAPLE) with a new-concept biocompatible graphenic material. Nanomaterials 2022, 12, 3663. [Google Scholar] [CrossRef]
- Gargiulo, V.; Alfè, M.; Di Capua, R.; Togna, A.R.; Cammisotto, V.; Fiorito, S.; Musto, A.; Navarra, A.; Parisi, S.; Pezzella, A. Supplementing π-Systems: Eumelanin and Graphene-Like Integration Towards High Conductive Material for Mammalian Cell Culture Bio-interface. J. Mater. Chem. B 2015, 3, 5070–5079. [Google Scholar] [CrossRef] [PubMed]
- Di Capua, R.; Gargiulo, V.; Alfè, M.; De Luca, G.M.; Skála, T.; Mali, G.; Pezzella, A. Eumelanin Graphene-Like Integration: The Impact on Physical Properties and Electrical Conductivity. Front. Chem. 2019, 7, 121. [Google Scholar] [CrossRef] [PubMed]
- Gargiulo, V.; Alfano, B.; Di Capua, R.; Alfè, M.; Vorokhta, M.; Polichetti, T.; Massera, E.; Miglietta, M.L.; Schiattarella, C.; Di Francia, G. Graphene-like layers as promising chemiresistive sensing material for detection of alcohols at low concentration. J. Appl. Phys. 2018, 123, 024503. [Google Scholar] [CrossRef]
- Villani, F.; Loffredo, F.; Alfano, B.; Miglietta, M.L.; Verdoliva, L.; Alfè, M.; Gargiulo, V.; Polichetti, T. Graphene-Like Based-Chemiresistors Inkjet-Printed onto Paper Substrate. In Sensors: Lecture Notes in Electrical Engineering; Andò, B., Baldini, F., Di Natale, C., Ferrari, V., Marletta, V., Marrazza, G., Militello, V., Miolo, G., Rossi, M., Scalise, L., et al., Eds.; Springer International Publishing: Cham, Switzerland, 2019; Volume 539, pp. 337–343. [Google Scholar]
- Yao, Y.; Chen, X.; Zhu, J.; Zeng, B.; Wu, Z.; Li, X. The effect of ambient humidity on the electrical properties of graphene oxide films. Nanoscale Res. Lett. 2012, 7, 363. [Google Scholar] [CrossRef]
- Travlou, N.A.; Singh, K.; Rodríguez-Castellón, E.; Bandosz, T.J. Cu–BTC MOF–graphene-based hybrid materials as low concentration ammonia sensors. J. Mater. Chem. A 2015, 3, 11417–11429. [Google Scholar] [CrossRef]
- Mahrous, S.; Hanfy, T.A. Poole–Frenkel conduction in polyvinyl chloride stabilized with dibutylin laurate–maleate. Curr. Appl. Phys. 2004, 4, 461–464. [Google Scholar] [CrossRef]
- Santos, E.J.G.; Kaxiras, E. Electric-field dependence of the effective dielectric constant in graphene. Nano Lett. 2013, 13, 898–902. [Google Scholar] [CrossRef]
- Reed, J.P.; Uchoa, B.; Joe, Y.I.; Gan, Y.; Casa, D.; Fradkin, E.; Abbamonte, P. The Effective Fine-Structure Constant of Freestanding Graphene Measured in Graphite. Science 2010, 330, 805–808. [Google Scholar] [CrossRef]
- Wang, Y.; Brar, V.W.; Shytov, A.V.; Wu, Q.; Regan, W.; Tsai, H.Z.; Zettl, A.; Levitov, L.S.; Crommie, M.F. Mapping Dirac quasiparticles near a single Coulomb impurity on graphene. Nat. Phys. 2012, 8, 653–657. [Google Scholar] [CrossRef]
- Hwang, C.; Siegel, D.A.; Mo, S.-K.; Regan, W.; Ismach, A.; Zhang, Y.; Zettl, A.; Lanzara, A. Fermi velocity engineering in graphene by substrate modification. Sci. Rep. 2012, 2, 590. [Google Scholar] [CrossRef]
- Bostwick, A.; Speck, F.; Seyller, T.; Horn, K.; Polini, M.; Asgari, R.; MacDonald, A.H.; Rotenberg, E. Observation of Plasmarons in Quasi-Freestanding Doped Graphene. Science 2010, 328, 999–1002. [Google Scholar] [CrossRef]
- Farivar, F.; Yap, P.L.; Hassan, K.; Tung, T.T.; Tran, D.N.H.; Pollard, A.J.; Losic, D. Unlocking thermogravimetric analysis (TGA) in the fight against “Fake graphene” materials. Carbon 2021, 179, 505–513. [Google Scholar] [CrossRef]
- Arnal, C.; Alfè, M.; Gargiulo, V.; Ciajolo, A.; Alzueta, M.U.; Millera, A.; Bilbao, R. Characterization of soot. In Cleaner Combustion: Green Energy and Technology, 1st ed.; Battin-Leclerc, F., Simmie, J., Blurock, E., Eds.; Springer: London, UK, 2003; pp. 333–362. [Google Scholar]
- Silverstein, R.M.; Webster, F.X.; Kiemle, D.J. Spectrometric Identification of Organic Compounds, 4th ed.; Wiley: Hoboken, NJ, USA, 2008. [Google Scholar]
- Al-Gaashani, R.; Najjar, A.; Zakari, Y.; Mansour, S.; Atieh, M.A. XPS and structural studies of high-quality graphene oxide and reduced graphene oxide prepared by different chemical oxidation methods. Ceram. Int. 2019, 45, 14439–14448. [Google Scholar] [CrossRef]
- Nayak, L.; Mohanty, S.; Nayak, S.K.; Ramadoss, A. A review on inkjet printing of nanoparticle inks for flexible electronics. J. Mater. Chem. C 2019, 7, 8771–8795. [Google Scholar] [CrossRef]
- Jastrzebska, M.M.; Isotalo, H.; Paloheimo, J.; Stubb, H. Electrical conductivity of synthetic DOPA-melanin polymer for different hydration states and temperatures. J. Biomater. Sci. Polym. Ed. 1995, 7, 577–586. [Google Scholar] [CrossRef]
- Liu, W.; Speranza, G. Tuning the Oxygen Content of Reduced Graphene Oxide and Effects on Its Properties. ACS Omega 2021, 6, 6195–6205. [Google Scholar] [CrossRef]
- Vacacela Gomez, C.; Robalino, E.; Haro, D.; Tene, T.; Escudero, P.; Haro, A.; Orbe, J. Structural and electronic properties of graphene oxide for different degree of oxidation. Mater. Today: Proc. 2016, 3, 796–802. [Google Scholar]
- Adler, D. Amorphous-Semiconductor Devices. Sci. Am. 1977, 236, 36–49. [Google Scholar] [CrossRef]
- Davis, E.; Mott, N.F. Conduction in non-crystalline systems V. Conductivity, optical absorption and photoconductivity in amorphous semiconductors. Philos. Mag. A J. Theor. Exp. App. Phys. 1970, 22, 0903. [Google Scholar] [CrossRef]
- Lee, P.A.; Ramakrishnan, T.V. Disordered electronic systems. Rev. Mod. Phys. 1985, 57, 287. [Google Scholar] [CrossRef]
- Simmons, J.G. Poole-Frenkel Effect and Schottky Effect in Metal-Insulator-Metal Systems. Phys. Rev. 1967, 155, 657. [Google Scholar] [CrossRef]
- Ielmini, D. Analytical model for subthreshold conduction and threshold switching in chalcogenide-based memory devices. J. Appl. Phys. 2007, 102, 054517. [Google Scholar] [CrossRef]
- Schroeder, H. Poole-Frenkel-effect as dominating current mechanism in thin oxide films—An illusion?! J. Appl. Phys. 2015, 117, 215103. [Google Scholar] [CrossRef]
- Bao, M.-H. Handbook of Sensors and Actuators; Elsevier: Amsterdam, The Netherlands, 2000. [Google Scholar]











| TYPE | C (wt.%) | H (wt.%) | N (wt.%) | O (wt.%) | O/C |
|---|---|---|---|---|---|
| CB | 98.9 | 0.48 | 0.04 | 0.59 | 0.0045 |
| GL | 57.3 | 0.86 | 0.54 | 41.3 | 0.54 |
| GO-GRA | 47.0 | 1.78 | - | 51.2 | 0.82 |
| GO-SA | 92.4 | 0.053 | 0.68 | 6.86 | 0.056 |
| GRM TYPE | L (mm) | G 1 (nS) | Imax 1 (nA) | d (nm) | βPF (eV m1/2 V−1/2) | εr |
|---|---|---|---|---|---|---|
| GL-Glass | 2.3 | 2.8 | 1.34 | 900 | (3.40 ± 0.06) × 10−5 | 4.9 ± 0.2 |
| GL-Silicon | 3.3 | 4.9 | 2.02 | 900 | (5.44 ± 0.05) × 10−5 | 1.93 ± 0.03 |
| GO-GRA 2 | 2.2 | 85 × 10−3 | 47·10−3 | 700 | (4.01 ± 0.05) × 10−5 | 3.55 ± 0.08 |
| GO-SA 2 | 0.52 | 105 × 103 | 53·103 | 3500 | (5.63 ± 0.1) × 10−5 | 1.80 ± 0.06 |
Publisher’s Note: MDPI stays neutral with regard to jurisdictional claims in published maps and institutional affiliations. |
© 2022 by the authors. Licensee MDPI, Basel, Switzerland. This article is an open access article distributed under the terms and conditions of the Creative Commons Attribution (CC BY) license (https://creativecommons.org/licenses/by/4.0/).
Share and Cite
Ferraiuolo, R.; Alfe, M.; Gargiulo, V.; Pepe, G.P.; Tafuri, F.; Pezzella, A.; Ausanio, G.; Montemurro, D. Insights into the Electrical Characterization of Graphene-like Materials from Carbon Black. Coatings 2022, 12, 1788. https://doi.org/10.3390/coatings12111788
Ferraiuolo R, Alfe M, Gargiulo V, Pepe GP, Tafuri F, Pezzella A, Ausanio G, Montemurro D. Insights into the Electrical Characterization of Graphene-like Materials from Carbon Black. Coatings. 2022; 12(11):1788. https://doi.org/10.3390/coatings12111788
Chicago/Turabian StyleFerraiuolo, Raffaella, Michela Alfe, Valentina Gargiulo, Giovanni Piero Pepe, Francesco Tafuri, Alessandro Pezzella, Giovanni Ausanio, and Domenico Montemurro. 2022. "Insights into the Electrical Characterization of Graphene-like Materials from Carbon Black" Coatings 12, no. 11: 1788. https://doi.org/10.3390/coatings12111788
APA StyleFerraiuolo, R., Alfe, M., Gargiulo, V., Pepe, G. P., Tafuri, F., Pezzella, A., Ausanio, G., & Montemurro, D. (2022). Insights into the Electrical Characterization of Graphene-like Materials from Carbon Black. Coatings, 12(11), 1788. https://doi.org/10.3390/coatings12111788

