A Tool Life Prediction Model Based on Taylor’s Equation for High-Speed Ultrasonic Vibration Cutting Ti and Ni Alloys
Abstract
:1. Introduction
2. Tool Life Prediction Model
2.1. Basic Structure of HUVC-Taylor’s Equation
2.2. Modeling of Cooling Effects
2.3. Modeling of Impact Effects
3. Method and Experiments
4. Results and Discussions
4.1. Calibration of Model Constants
4.2. Validation of the Model Accuracy
4.2.1. Effects of Cutting Speed/Cooling Pressure
- (1)
- Conventional region: In this region, the cutting speed is within the scope of conventional cutting method.
- (2)
- Useful high-speed stable region: In this region, although the tool life has decreased compared to the values in conventional region, the cutting speed is still usable when using HUVC method.
- (3)
- Failure region: In this region, the tool life decreases sharply and the cutting process cannot be kept in a stable process.
4.2.2. Effects of Cooling Conditions
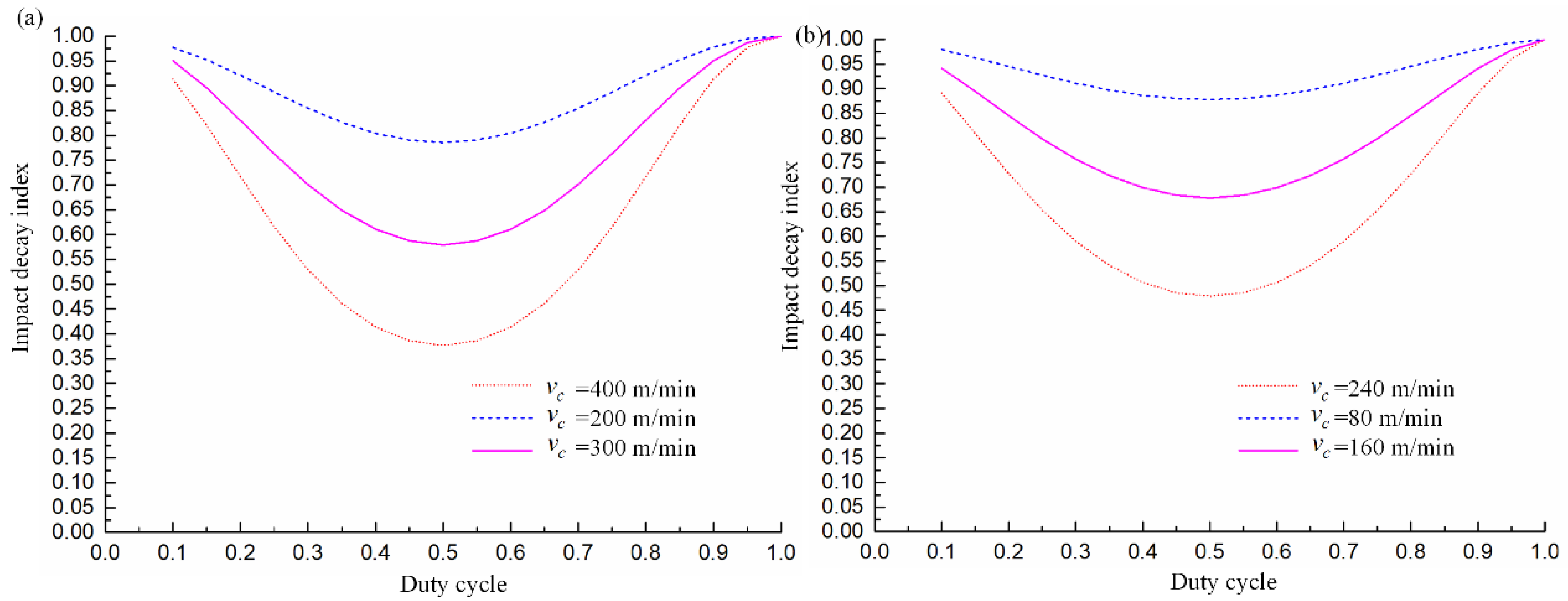
4.2.3. Effects of Impact
4.2.4. Effects of Variable Cutting Parameters
4.3. Application Ranges
5. Conclusions
- (1)
- The separation condition and effective cooling were the two key factors that influenced the tool life. The improvement of tool life was mainly attributed to the cooling condition during the separation process which could effectively reduce the cutting temperature.
- (2)
- Owing to the limitations of the cooling pressure and duty cycle, the useful high-speed stable regions for Ti and Ni alloys were 200–450 m/min and 80–300 m/min, respectively. In these two ranges, compared to conventional effective cutting region, the cutting efficiency was significantly improved.
- (3)
- The impact effect due to the tool-workpiece separation was a factor that needs to be suppressed. This was the core reason for the failure region in ultra-high-speed regions. In this regard, developing the impact-resistant tool could be seen as the next meaningful work for further cutting speed enhancement.
Author Contributions
Funding
Institutional Review Board Statement
Informed Consent Statement
Data Availability Statement
Conflicts of Interest
Nomenclature
| A | Vibration amplitude |
| F | Vibration frequency |
| T | Vibration period, T = 1/F |
| Dc | Duty cycle |
| φ | Phase shift |
| vc | Cutting speed |
| f | Feed per revolution |
| ap | Depth of cut |
| h | Cutting thickness |
| w | Cutting width |
| θ | Angular coordinate |
| t | Time |
| pc | Cooling pressure |
| v | Cooling speed |
| I | Impulse |
| S | Cooling area |
| U | Tool life |
| Q | Heat |
| Cd | Constant of dry machining |
| Cl | Constant of machining with fluid |
| C1 | Primary constant of machining with fluid |
| p | Constant of cutting speed |
| q | Constant of feed per revolution |
| r | Constant of depth of cut |
| H | Convection coefficient |
| s | Constant of cooling pressure |
| ε | Constant of vibration amplitude |
| α1 | Exponent constant of cooling pressure |
| α2 | Exponent constant of vibration amplitude |
| α3 | Primary constant of impulse |
| x | Constant of Dc for cutting duration |
| y | Constant of Dc for non-cutting duration |
| K | Cutting force coefficient |
| β | Exponent constant of impulse |
| γ | Constant of impulse |
| Θ | Temperature |
References
- Zhang, X.; Chen, Y.; Hu, J. Recent advances in the development of aerospace materials. Prog. Aerosp. Sci. 2018, 97, 22–34. [Google Scholar] [CrossRef]
- Ezugwu, E.; Wang, Z.; Machado, A. The machinability of nickel-based alloys: A review. J. Mater. Process. Technol. 1999, 86, 1–16. [Google Scholar] [CrossRef]
- Soo, S.; Hood, R.; Aspinwall, D.K.; Voice, W.E.; Sage, C. Machinability and surface integrity of RR1000 nickel based superalloy. CIRP Ann.-Manuf. Technol. 2011, 60, 89–92. [Google Scholar] [CrossRef]
- Wang, X.; Xu, S.; Zhou, S.; Xu, W.; Leary, M.; Choong, P.; Qian, M.; Brandt, M.; Xie, Y.M. Topological design and additive manufacturing of porous metals for bone scaffolds and orthopaedic implants: A review. Biomaterials 2016, 83, 127–141. [Google Scholar] [CrossRef] [PubMed]
- Zhang, L.; Attar, H. Selective laser melting of titanium alloys and titanium matrix composites for biomedical applications: A review. Adv. Eng. Mater. 2016, 18, 463–475. [Google Scholar] [CrossRef]
- Liang, X.; Liu, Z.; Wang, B. State-of-the-art of surface integrity induced by tool wear effects in machining process of titanium and nickel alloys: A review. Measurement 2019, 132, 150–181. [Google Scholar] [CrossRef]
- Fang, Z.; Obikawa, T. Influence of cutting fluid flow on tool wear in high-pressure coolant turning using a novel internally cooled insert. J. Manuf. Process. 2020, 56, 1114–1125. [Google Scholar] [CrossRef]
- Liang, X.; Liu, Z.; Wang, B. Multi-pattern failure modes and wear mechanisms of WC-Co tools in dry turning Ti–6Al–4V. Ceram. Int. 2020, 46, 24512–24525. [Google Scholar] [CrossRef]
- Orra, K.; Choudhury, S.K. Mechanistic modelling for predicting cutting forces in machining considering effect of tool nose radius on chip formation and tool wear land. Int. J. Mech. Sci. 2018, 142–143, 255–268. [Google Scholar] [CrossRef]
- Sharma, S.; Meena, A. Microstructure attributes and tool wear mechanisms during high-speed machining of Ti-6Al-4V. J. Manuf. Process. 2020, 50, 345–365. [Google Scholar] [CrossRef]
- Su, G.; Guo, Y.; Song, X.; Tao, H. Effects of high-pressure cutting fluid with different jetting paths on tool wear in cutting compacted graphite iron. Tribol. Int. 2016, 103, 289–297. [Google Scholar] [CrossRef]
- Ezugwu, E.O.; da Silva, R.B.; Bonney, J.; Machado, Á.R. Evaluation of the performance of CBN tools when turning Ti–6Al–4V alloy with high pressure coolant supplies. Int. J. Mach. Tools Manuf. 2005, 45, 1009–1014. [Google Scholar] [CrossRef]
- Mia, M.; Dhar, N.R. Effects of duplex jets high-pressure coolant on machining temperature and machinability of Ti-6Al-4V superalloy. J. Mater. Process. Technol. 2018, 252, 688–696. [Google Scholar] [CrossRef]
- Sen, B.; Gupta, M.K.; Mia, M.; Mandal, U.K.; Mondal, S.P. Wear behaviour of TiAlN coated solid carbide end-mill under alumina enriched minimum quantity palm oil-based lubricating condition. Tribol. Int. 2020, 148, 106310. [Google Scholar] [CrossRef]
- Vineet, D.; Sharma, K.A.; Vats, P.; Pimenov, D.Y.; Giasin, K.; Chuchała, D. Study of a multicriterion decision-making approach to the MQL turning of AISI 304 steel using hybrid nanocutting fluid. Materials 2021, 14, 7207. [Google Scholar]
- Jamil, M.; Khan, A.M.; Gupta, M.K.; Mia, M.; He, N.; Li, L.; Sivalingam, V.K. Influence of CO2-snow and subzero MQL on thermal aspects in the machining of Ti-6Al-4V. App. Therm. Eng. 2020, 177, 115480. [Google Scholar] [CrossRef]
- Musfirah, A.H.; Ghani, J.A.; Haron, C.H.C. Tool wear and surface integrity of Inconel 718 in dry and cryogenic coolant at high cutting speed. Wear 2017, 376–377, 125–133. [Google Scholar] [CrossRef]
- Gupta, M.K.; Song, Q.; Liu, Z.; Sarikaya, M.; Jamil, M.; Mia, M.; Khanna, N.; Krolczyk, G.M. Experimental characterisation of the performance of hybrid cryo-lubrication assisted turning of Ti–6Al–4V alloy. Tribol. Int. 2021, 153, 106582. [Google Scholar] [CrossRef]
- Mishra, S.K.; Ghosh, S.; Aravindan, S. 3D finite element investigations on textured tools with different geometrical shapes for dry machining of titanium alloys. Int. J. Mech. Sci. 2018, 141, 424–449. [Google Scholar] [CrossRef]
- Singh, R.; Dureja, J.S.; Dogra, M.; Gupta, M.K.; Mia, M.; Song, Q. Wear behavior of textured tools under graphene-assisted minimum quantity lubrication system in machining Ti-6Al-4V alloy. Tribol. Int. 2020, 145, 106183. [Google Scholar] [CrossRef]
- Hao, H.; Liu, Z. Thermal contact resistance enhancement with aluminum oxide layer generated on TiAlN-coated tool and its effect on cutting performance for H13 hardened steel. Surf. Coat. Technol. 2020, 385, 125436. [Google Scholar] [CrossRef]
- Zhao, J.; Liu, Z. Influences of coating thickness on cutting temperature for dry hard turning Inconel 718 with PVD TiAlN coated carbide tools in initial tool wear stage. J. Manuf. Process. 2020, 56, 1155–1165. [Google Scholar] [CrossRef]
- Pawade, R.S.; Joshi, S.S.; Brahmankar, P.K.; Rahman, M. An investigation of cutting forces and surface damage in high-speed turning of Inconel 718. J. Mater. Process. Technol. 2007, 192–193, 139–146. [Google Scholar] [CrossRef]
- Denkena, B.; Michaelis, A.; Herrmann, M.; Pötschke, J.; Krödel, A.; Vornberger, A.; Picker, T. Influence of tool material properties on the wear behavior of cemented carbide tools with rounded cutting edges. Wear 2020, 456–457, 203395. [Google Scholar] [CrossRef]
- Nath, C.; Rahman, M. Effect of machining parameters in ultrasonic vibration cutting. Int. J. Machine. Tool. Manuf. 2008, 48, 965–974. [Google Scholar] [CrossRef]
- Ni, C.; Zhu, L.; Liu, C.; Yang, Z. Analytical modeling of tool-workpiece contact rate and experimental study in ultrasonic vibration-assisted milling of Ti-6Al-4V. Int. J. Mech. Sci. 2018, 142, 97–111. [Google Scholar] [CrossRef]
- Ni, C.; Zhu, L. Investigation on machining characteristics of TC4 alloy by simultaneous application of ultrasonic vibration assisted milling (UVAM) and economical-environmental MQL technology. J. Mater. Process. Technol. 2020, 278, 116518. [Google Scholar] [CrossRef]
- Ni, C.; Zhu, L.; Yang, Z. Comparative investigation of tool wear mechanism and corresponding machined surface characterization in feed-direction ultrasonic vibration assisted milling of Ti–6Al–4V from dynamic view. Wear 2019, 436–437, 203006. [Google Scholar] [CrossRef]
- Yang, Z.; Zhu, L.; Zhang, G.; Ni, C.; Lin, B. Review of ultrasonic vibration-assisted machining in advanced materials. Int. J. Machine. Tool. Manuf. 2020, 156, 103594. [Google Scholar] [CrossRef]
- Sui, H.; Zhang, X.; Zhang, D.; Jiang, X.; Wu, R. Feasibility study of high-speed ultrasonic vibration cutting titanium alloy. J. Mater. Process. Technol. 2017, 247, 111–120. [Google Scholar] [CrossRef]
- Lu, Z.; Zhang, D.; Zhang, X.; Peng, Z. Effects of high-pressure coolant on cutting performance of high-speed ultrasonic vibration cutting titanium alloy. J. Mater. Process. Technol. 2020, 279, 116584. [Google Scholar] [CrossRef]
- Peng, Z.; Zhang, X.; Zhang, D. Performance evaluation of high-speed ultrasonic vibration cutting for improving machinability of Inconel 718 with coated carbide tools. Tribol. Int. 2021, 155, 106766. [Google Scholar] [CrossRef]
- Mills, B.; Redford, A. Manufacturing of Engineering Materials; Applied Science: London, UK, 1983; p. 20. [Google Scholar]
- Schey, J. Introduction to the Manufacturing Processes, 2nd ed.; McGraw-Hill: New York, NY, USA, 1987; p. 464. [Google Scholar]
- Niebel, B.; Draper, A.; Wysk, R. Modern Manufacturing Process Engineering; McGraw-Hill: New York, NY, USA, 1989; p. 487. [Google Scholar]
- Hoffman, E. Fundaments of Tool Design, 2nd ed.; SME: Dearborn, MI, USA, 1984; p. 83. [Google Scholar]
- Quinto, D.T. Mechanical property and structure relationships in hard coated carbide tools. Metal. Technol. 1988, 9, 60–75. [Google Scholar]
- Oxley, P. The Mechanics of Machining-An Analytical Approach to Assessing Machinability; Ellis Horwood: Chichester, UK, 1985; p. 185. [Google Scholar]
- Lau, W.; Venuvinod, P.; Rubenstein, C. The relation between tool geometry and the Taylor tool-life constant. Int. J. Mach. Tool. Des. Res. 1989, 20, 29–44. [Google Scholar] [CrossRef]
- Venkatesh, V. Computerized machinability data. In Proceedings of the Automach, Sydney, Australia, 27–29 May 1986; SME: Dearborn, MI, USA, 1986; p. 159. [Google Scholar]
- Wang, H.; Wysk, R. An expert system for machining data selection. Comp. Ind. Eng. 1986, 10, 99. [Google Scholar] [CrossRef]
- Marksberry, P.W.; Jawahir, I.S. A comprehensive tool-wear/tool-life performance model in the evaluation of NDM (near dry machining) for sustainable manufacturing. Int. J. Mach. Tool. Manuf. 2008, 48, 878–886. [Google Scholar] [CrossRef]
- Yang, Y.; Guo, Y.; Huang, Z.; Chen, N.; Li, L.; Jiang, Y.; He, N. Research on the milling tool wear and life prediction by establishing an integrated predictive model. Measurement 2019, 145, 178–189. [Google Scholar] [CrossRef]
- Li, W.; Liu, T. Time varying and condition adaptive hidden Markov model for tool wear state estimation and remaining useful life prediction in micro-milling. Mech. Syst. Signal. Process. 2019, 131, 689–702. [Google Scholar] [CrossRef]
- Zhang, X.; Sui, H.; Zhang, D.; Jiang, X. Study on the separation effect of high-speed ultrasonic vibration cutting. Ultrasonics 2018, 87, 166–181. [Google Scholar] [CrossRef]
- Zhang, X.; Sui, H.; Zhang, D.; Jiang, X. Measurement of ultrasonic-frequency repetitive impulse cutting force signal. Measurement 2018, 129, 653–663. [Google Scholar] [CrossRef]
- Jiang, X.; Zhang, X.; Zhu, X.; Sui, H.; Zhang, D. Study of phase shift control in high-speed ultrasonic vibration cutting. IEEE Trans. Ind. Electron. 2018, 65, 2467–2474. [Google Scholar] [CrossRef]
- Zhang, X.; Lu, Z.; Peng, Z.; Sui, H.; Zhang, D. Development of a tool-workpiece thermocouple system for comparative study of the cutting temperature when high-speed ultrasonic vibration cutting Ti-6Al-4V alloys with and without cutting fluids. Int. J. Adv. Manuf. Technol. 2018, 96, 237–246. [Google Scholar] [CrossRef]
- Zhang, X.; Peng, Z.; Liu, L. A transient cutting temperature prediction model for high-speed ultrasonic vibration turning. J. Manuf. Process. 2022, 83, 257–269. [Google Scholar] [CrossRef]
















| vc m/min | F mm/r | ap mm | vc m/min | F mm/r | ap mm | vc m/min | F mm/r | ap mm | |||
|---|---|---|---|---|---|---|---|---|---|---|---|
| 1 | 200 | 0.005 | 0.05 | 4 | 300 | 0.005 | 0.1 | 7 | 400 | 0.005 | 0.15 |
| 2 | 200 | 0.01 | 0.1 | 5 | 300 | 0.01 | 0.15 | 8 | 400 | 0.01 | 0.05 |
| 3 | 200 | 0.015 | 0.15 | 6 | 300 | 0.015 | 0.05 | 9 | 400 | 0.015 | 0.1 |
| vc m/min | F mm/r | ap mm | vc m/min | F mm/r | ap mm | vc m/min | F mm/r | ap mm | |||
|---|---|---|---|---|---|---|---|---|---|---|---|
| 1 | 80 | 0.005 | 0.15 | 4 | 160 | 0.005 | 0.2 | 7 | 240 | 0.005 | 0.25 |
| 2 | 80 | 0.01 | 0.2 | 5 | 160 | 0.01 | 0.25 | 8 | 240 | 0.01 | 0.15 |
| 3 | 80 | 0.015 | 0.25 | 6 | 160 | 0.015 | 0.15 | 9 | 240 | 0.015 | 0.2 |
| No. | 1 | 2 | 3 | 4 | 5 | 6 | 7 | 8 | 9 |
|---|---|---|---|---|---|---|---|---|---|
| , m/min | 200 | 200 | 200 | 200 | 200 | 200 | 300 | 300 | 300 |
| pc, MPa | 0.5 | 0.5 | 10 | 10 | 20 | 20 | 0.5 | 0.5 | 10 |
| Dc | 0.5 | 0.7 | 0.5 | 0.7 | 0.5 | 0.7 | 0.5 | 0.7 | 0.5 |
| No. | 10 | 11 | 12 | 13 | 14 | 15 | 16 | 17 | 18 |
| , m/min | 300 | 300 | 300 | 400 | 400 | 400 | 400 | 400 | 400 |
| pc, MPa | 10 | 20 | 20 | 0.5 | 0.5 | 10 | 10 | 20 | 20 |
| Dc | 0.7 | 0.5 | 0.7 | 0.5 | 0.7 | 0.5 | 0.7 | 0.5 | 0.7 |
| No. | 1 | 2 | 3 | 4 | 5 | 6 | 7 | 8 | 9 |
|---|---|---|---|---|---|---|---|---|---|
| , m/min | 80 | 80 | 80 | 80 | 80 | 80 | 160 | 160 | 160 |
| pc, MPa | 0.5 | 0.5 | 10 | 10 | 20 | 20 | 0.5 | 0.5 | 10 |
| Dc | 0.5 | 0.7 | 0.5 | 0.7 | 0.5 | 0.7 | 0.5 | 0.7 | 0.5 |
| No. | 10 | 11 | 12 | 13 | 14 | 15 | 16 | 17 | 18 |
| , m/min | 160 | 160 | 160 | 240 | 240 | 240 | 240 | 240 | 240 |
| pc, MPa | 10 | 20 | 20 | 0.5 | 0.5 | 10 | 10 | 20 | 20 |
| Dc | 0.7 | 0.5 | 0.7 | 0.5 | 0.7 | 0.5 | 0.7 | 0.5 | 0.7 |
| Phase Shift (Rad) | F (mm/r) | ||||||
|---|---|---|---|---|---|---|---|
| 0.001 | 0.005 | 0.008 | 0.010 | 0.012 | 0.015 | 0.020 | |
| 0 | 1 | 1 | 1 | 1 | 1 | 1 | 1 |
| π/45 | 1 | 1 | 1 | 1 | 1 | 1 | 1 |
| π/9 | 0.3628 | 1 | 1 | 1 | 1 | 1 | 1 |
| π/3 | 0.2659 | 0.5517 | 0.7517 | 1 | 1 | 1 | 1 |
| 5π/9 | 0.2811 | 0.4988 | 0.5994 | 0.7264 | 0.7865 | 0.9347 | 1 |
| 2π/3 | 0.361 | 0.4779 | 0.5972 | 0.6959 | 0.7436 | 0.8334 | 1 |
| 8π/9 | 0.2775 | 0.5817 | 0.6331 | 0.6659 | 0.7085 | 0.7755 | 1 |
| π | 0.516 | 0.5804 | 0.631 | 0.6666 | 0.7058 | 0.77 | 1 |
| 10π/9 | 0.2775 | 0.5817 | 0.6331 | 0.6659 | 0.7085 | 0.7755 | 1 |
| 4π/3 | 0.361 | 0.4779 | 0.5972 | 0.6959 | 0.7436 | 0.8334 | 1 |
| 13π/9 | 0.2812 | 0.4988 | 0.5994 | 0.7264 | 0.7865 | 0.9347 | 1 |
| 5π/3 | 0.2659 | 0.5517 | 0.7517 | 1 | 1 | 1 | 1 |
| 17π/9 | 0.3628 | 1 | 1 | 1 | 1 | 1 | 1 |
| 89π/45 | 1 | 1 | 1 | 1 | 1 | 1 | 1 |
| 2π | 1 | 1 | 1 | 1 | 1 | 1 | 1 |
| No. | 1 | 2 | 3 | 4 | 5 | 6 | 7 | 8 | 9 |
|---|---|---|---|---|---|---|---|---|---|
| Ti-6Al-4V | 3.60 | 3.03 | 2.51 | 1.25 | 1.01 | 1.36 | 0.36 | 0.32 | 0.30 |
| Inconel 718 | 2.03 | 1.79 | 1.59 | 1.32 | 1.17 | 1.54 | 0.82 | 1.01 | 0.88 |
| No. | 1 | 2 | 3 | 4 | 5 | 6 | 7 | 8 | 9 |
| Ti-6Al-4V | 33 | 25 | 116 | 98 | 162 | 129 | 28 | 20 | 92 |
| Inconel 718 | 6.98 | 5.97 | 10.33 | 9.15 | 13.40 | 11.28 | 5.02 | 4.07 | 7.81 |
| No. | 10 | 11 | 12 | 13 | 14 | 15 | 16 | 17 | 18 |
| Ti-6Al-4V | 83 | 137 | 130 | 18 | 15 | 36 | 33 | 88 | 79 |
| Inconel 718 | 6.72 | 10.85 | 10.09 | 4.96 | 4.98 | 5.12 | 5.23 | 5.47 | 5.56 |
Publisher’s Note: MDPI stays neutral with regard to jurisdictional claims in published maps and institutional affiliations. |
© 2022 by the authors. Licensee MDPI, Basel, Switzerland. This article is an open access article distributed under the terms and conditions of the Creative Commons Attribution (CC BY) license (https://creativecommons.org/licenses/by/4.0/).
Share and Cite
Zhang, X.; Peng, Z.; Liu, L.; Zhang, X. A Tool Life Prediction Model Based on Taylor’s Equation for High-Speed Ultrasonic Vibration Cutting Ti and Ni Alloys. Coatings 2022, 12, 1553. https://doi.org/10.3390/coatings12101553
Zhang X, Peng Z, Liu L, Zhang X. A Tool Life Prediction Model Based on Taylor’s Equation for High-Speed Ultrasonic Vibration Cutting Ti and Ni Alloys. Coatings. 2022; 12(10):1553. https://doi.org/10.3390/coatings12101553
Chicago/Turabian StyleZhang, Xiangyu, Zhenlong Peng, Liangbao Liu, and Xi Zhang. 2022. "A Tool Life Prediction Model Based on Taylor’s Equation for High-Speed Ultrasonic Vibration Cutting Ti and Ni Alloys" Coatings 12, no. 10: 1553. https://doi.org/10.3390/coatings12101553
APA StyleZhang, X., Peng, Z., Liu, L., & Zhang, X. (2022). A Tool Life Prediction Model Based on Taylor’s Equation for High-Speed Ultrasonic Vibration Cutting Ti and Ni Alloys. Coatings, 12(10), 1553. https://doi.org/10.3390/coatings12101553

