The Application of Aloe vera Gel as Coating Agent to Maintain the Quality of Tomatoes during Storage
Abstract
1. Introduction
2. Materials and Methods
2.1. Preparation of A. vera Coating Gel and Coating Process
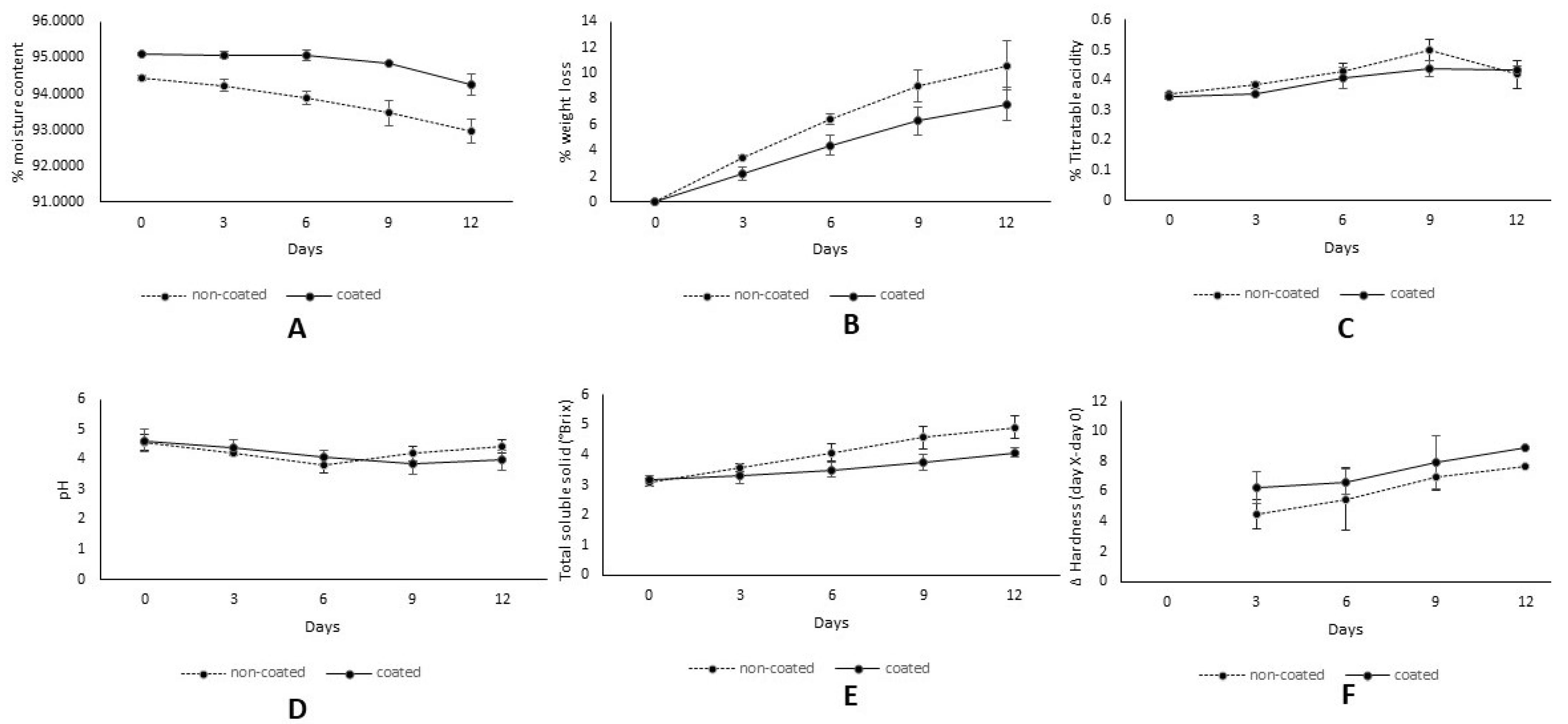
2.2. Moisture Content
2.3. Weight Loss
2.4. Titratable Acidity
2.5. The pH
2.6. Total Soluble Solid
2.7. Color
2.8. Hardness
2.9. Organoleptic Test
2.10. Extraction of Tomatoes
2.11. Qualitative Analysis
- a.
- Alkaloids
- b.
- Saponin and Tannin
- c.
- Cardiac glycoside and reducing sugar
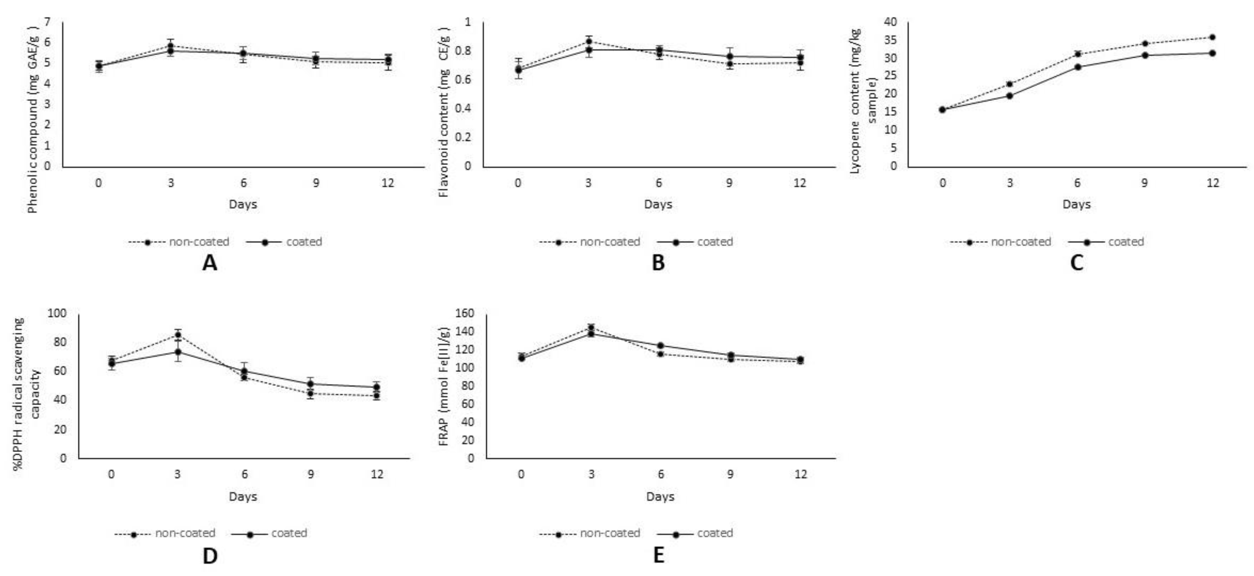
2.12. Total Phenolic Content
2.13. Total Flavonoid Content
2.14. Lycopene Content
2.15. Antioxidant Activity
- a.
- DPPH Method
- b.
- Ferric Reducing Antioxidant Power FRAP
2.16. Statistical Analysis
3. Results and Discussion
4. Conclusions
Author Contributions
Funding
Data Availability Statement
Conflicts of Interest
References
- Sánchez, M.; González-Burgos, E.; Iglesias, I.; Gómez-Serranillos, M.P. Pharmacological Update Properties of Aloe Vera and its Major Active Constituents. Molecules 2020, 25, 1324. [Google Scholar] [CrossRef] [PubMed]
- Kumar, R.; Singh, A.K.; Gupta, A.; Bishayee, A.; Pandey, A.K. Therapeutic potential of Aloe vera—A miracle gift of nature. Phytomedicine 2019, 60, 152996. [Google Scholar] [CrossRef] [PubMed]
- Shakib, Z.; Shahraki, N.; Razavi, B.M.; Hosseinzadeh, H. Aloe vera as an herbal medicine in the treatment of metabolic syndrome: A review. Phytother. Res. 2019, 33, 2649–2660. [Google Scholar] [CrossRef] [PubMed]
- Govindarajan, S.; Babu, S.N.; Vijayalakshmi, M.A.; Manohar, P.; Noor, A. Aloe vera carbohydrates regulate glucose metabolism through improved glycogen synthesis and downregulation of hepatic gluconeogenesis in diabetic rats. J. Ethnopharmacol. 2021, 281, 114556. [Google Scholar] [CrossRef]
- Gupta, V.K.; Yarla, N.S.; de Lourdes Pereira, M.; Siddiqui, N.J.; Sharma, B. Recent Advances in Ethnopharmacological and Toxicological Properties of Bioactive Compounds from Aloe barbadensis (Miller), Aloe vera. CBC 2021, 17, e010621184955. [Google Scholar] [CrossRef]
- Sarker, A.; Grift, T.E. Bioactive properties and potential applications of Aloe vera gel edible coating on fresh and minimally processed fruits and vegetables: A review. Food Measure 2021, 15, 2119–2134. [Google Scholar] [CrossRef]
- Salehi, F. Edible Coating of Fruits and Vegetables Using Natural Gums: A Review. Int. J. Fruit Sci. 2020, 20, S570–S589. [Google Scholar] [CrossRef]
- Ganiari, S.; Choulitoudi, E.; Oreopoulou, V. Edible and active films and coatings as carriers of natural antioxidants for lipid food. Trends Food Sci. Technol. 2017, 68, 70–82. [Google Scholar] [CrossRef]
- Chen, W.; Ma, S.; Wang, Q.; McClements, D.J.; Liu, X.; Ngai, T.; Liu, F. Fortification of edible films with bioactive agents: A review of their formation, properties, and application in food preservation. Crit. Rev. Food Sci. Nutr. 2022, 62, 5029–5055. [Google Scholar] [CrossRef]
- Kumar, L.; Ramakanth, D.; Akhila, K.; Gaikwad, K.K. Edible films and coatings for food packaging applications: A review. Environ. Chem. Lett. 2022, 20, 875–900. [Google Scholar] [CrossRef]
- Porat, R.; Lichter, A.; Terry, L.A.; Harker, R.; Buzby, J. Postharvest losses of fruit and vegetables during retail and in consumers’ homes: Quantifications, causes, and means of prevention. Postharvest Biol. Technol. 2018, 139, 135–149. [Google Scholar] [CrossRef]
- Nair, M.S.; Tomar, M.; Punia, S.; Kukula-Koch, W.; Kumar, M. Enhancing the functionality of chitosan- and alginate-based active edible coatings/films for the preservation of fruits and vegetables: A review. Int. J. Biol. Macromol. 2020, 164, 304–320. [Google Scholar] [CrossRef] [PubMed]
- Maringgal, B.; Hashim, N.; Mohamed Amin Tawakkal, I.S.; Muda Mohamed, M.T. Recent advance in edible coating and its effect on fresh/fresh-cut fruits quality. Trends Food Sci. Technol. 2020, 96, 253–267. [Google Scholar] [CrossRef]
- Valencia, G.A.; Luciano, C.G.; Monteiro Fritz, A.R. Smart and Active Edible Coatings Based on Biopolymers. In Polymers for Agri-Food Applications; Gutiérrez, T.J., Ed.; Springer International Publishing: Cham, Switzerland, 2019; pp. 391–416. ISBN 978-3-030-19415-4. [Google Scholar]
- Al-Dairi, M.; Pathare, P.B.; Al-Yahyai, R. Effect of Postharvest Transport and Storage on Color and Firmness Quality of Tomato. Horticulturae 2021, 7, 163. [Google Scholar] [CrossRef]
- Abera, G.; Ibrahim, A.M.; Forsido, S.F.; Kuyu, C.G. Assessment on post-harvest losses of tomato (Lycopersicon esculentem Mill.) in selected districts of East Shewa Zone of Ethiopia using a commodity system analysis methodology. Heliyon 2020, 6, e03749. [Google Scholar] [CrossRef]
- Jung, J.-M.; Shim, J.-Y.; Chung, S.-O.; Hwang, Y.-S.; Lee, W.-H.; Lee, H. Changes in quality parameters of tomatoes during storage: A review. Koraen J. Agric. Sci. 2019, 46, 239–256. [Google Scholar] [CrossRef]
- Yadav, A.; Kumar, N.; Upadhyay, A.; Sethi, S.; Singh, A. Edible coating as postharvest management strategy for shelf-life extension of fresh tomato (Solanum lycopersicum L.): An overview. J. Food Sci. 2022, 87, 2256–2290. [Google Scholar] [CrossRef]
- Chrysargyris, A.; Nikou, A.; Tzortzakis, N. Effectiveness of Aloe vera gel coating for maintaining tomato fruit quality. N. Z. J. Crop Horticultural Sci. 2016, 44, 203–217. [Google Scholar] [CrossRef]
- Athmaselvi, K.A.; Sumitha, P.; Revathy, B. Development of Aloe vera based edible coating for tomato. Int. Agrophys. 2013, 27, 369–375. [Google Scholar] [CrossRef]
- Tyl, C.; Sadler, G.D. pH and Titratable Acidity. In Food Analysis; Nielsen, S.S., Ed.; Food Science Text Series; Springer International Publishing: Cham, Switzerland, 2017; pp. 389–406. ISBN 978-3-319-45774-1. [Google Scholar]
- Lázaro, A.; Ruiz-Aceituno, L. Instrumental Texture Profile of Traditional Varieties of Tomato (Solanum lycopersicum L.) and its Relationship to Consumer Textural Preferences. Plant Foods Hum. Nutr. 2021, 76, 248–253. [Google Scholar] [CrossRef]
- Sorescu, A.-A.; Nuta, A.; Ion, R.-M.; Iancu, L. Qualitative Analysis of Phytochemicals from Sea Buckthorn and Gooseberry. In Phytochemicals—Source of Antioxidants and Role in Disease Prevention; Asao, T., Asaduzzaman, M., Eds.; IntechOpen: London, UK, 2018; ISBN 978-1-78984-377-4. [Google Scholar]
- Hernández-López, A.; Sánchez Félix, D.A.; Zuñiga Sierra, Z.; García Bravo, I.; Dinkova, T.D.; Avila-Alejandre, A.X. Quantification of Reducing Sugars Based on the Qualitative Technique of Benedict. ACS Omega 2020, 5, 32403–32410. [Google Scholar] [CrossRef] [PubMed]
- Jati, I.R.A.P.; Nohr, D.; Konrad Biesalski, H. Nutrients and antioxidant properties of Indonesian underutilized colored rice. Nutr. Food Sci. 2014, 44, 193–203. [Google Scholar] [CrossRef]
- Huang, R.; Wu, W.; Shen, S.; Fan, J.; Chang, Y.; Chen, S.; Ye, X. Evaluation of colorimetric methods for quantification of citrus flavonoids to avoid misuse. Anal. Methods 2018, 10, 2575–2587. [Google Scholar] [CrossRef]
- Anthon, G.; Barrett, D.M. Standardization of A Rapid Spectrophotometric Method for Lycopene Analysis. Acta Hortic. 2007, 758, 111–128. [Google Scholar] [CrossRef]
- Astadi, I.R.; Astuti, M.; Santoso, U.; Nugraheni, P.S. In vitro antioxidant activity of anthocyanins of black soybean seed coat in human low density lipoprotein (LDL). Food Chem. 2009, 112, 659–663. [Google Scholar] [CrossRef]
- Zhong, T.-Y.; Yao, G.-F.; Wang, S.-S.; Li, T.-T.; Sun, K.-K.; Tang, J.; Huang, Z.-Q.; Yang, F.; Li, Y.-H.; Chen, X.-Y.; et al. Hydrogen Sulfide Maintains Good Nutrition and Delays Postharvest Senescence in Postharvest Tomato Fruits by Regulating Antioxidative Metabolism. J. Plant Growth Regul. 2021, 40, 2548–2559. [Google Scholar] [CrossRef]
- Díaz-Pérez, J.C. Transpiration. In Postharvest Physiology and Biochemistry of Fruits and Vegetables; Elsevier: Amsterdam, The Netherlands, 2019; pp. 157–173. ISBN 978-0-12-813278-4. [Google Scholar]
- Salama, H.E.; Abdel Aziz, M.S. Development of active edible coating of alginate and aloe vera enriched with frankincense oil for retarding the senescence of green capsicums. LWT 2021, 145, 111341. [Google Scholar] [CrossRef]
- Miteluț, A.C.; Popa, E.E.; Drăghici, M.C.; Popescu, P.A.; Popa, V.I.; Bujor, O.-C.; Ion, V.A.; Popa, M.E. Latest Developments in Edible Coatings on Minimally Processed Fruits and Vegetables: A Review. Foods 2021, 10, 2821. [Google Scholar] [CrossRef]
- Allegra, A.; Farina, V.; Inglese, P.; Gallotta, A.; Sortino, G. Qualitative traits and shelf life of fig fruit (‘Melanzana’) treated with Aloe vera gel coating. Acta Hortic. 2021, 1310, 87–92. [Google Scholar] [CrossRef]
- Mendy, T.K.; Misran, A.; Mahmud, T.M.M.; Ismail, S.I. Application of Aloe vera coating delays ripening and extend the shelf life of papaya fruit. Sci. Horticult. 2019, 246, 769–776. [Google Scholar] [CrossRef]
- Kaewklin, P.; Siripatrawan, U.; Suwanagul, A.; Lee, Y.S. Active packaging from chitosan-titanium dioxide nanocomposite film for prolonging storage life of tomato fruit. Int. J. Biol. Macromol. 2018, 112, 523–529. [Google Scholar] [CrossRef] [PubMed]
- Shah, S.; Hashmi, M.S. Chitosan–aloe vera gel coating delays postharvest decay of mango fruit. Hortic. Environ. Biotechnol. 2020, 61, 279–289. [Google Scholar] [CrossRef]
- Yan, J.; Luo, Z.; Ban, Z.; Lu, H.; Li, D.; Yang, D.; Aghdam, M.S.; Li, L. The effect of the layer-by-layer (LBL) edible coating on strawberry quality and metabolites during storage. Postharvest Biol. Technol. 2019, 147, 29–38. [Google Scholar] [CrossRef]
- Maan, A.A.; Reiad Ahmed, Z.F.; Iqbal Khan, M.K.; Riaz, A.; Nazir, A. Aloe vera gel, an excellent base material for edible films and coatings. Trends Food Sci. Technol. 2021, 116, 329–341. [Google Scholar] [CrossRef]
- Mohammadi, L.; Ramezanian, A.; Tanaka, F.; Tanaka, F. Impact of Aloe vera gel coating enriched with basil (Ocimum basilicum L.) essential oil on postharvest quality of strawberry fruit. Food Measure 2021, 15, 353–362. [Google Scholar] [CrossRef]
- Adiletta, G.; Zampella, L.; Coletta, C.; Petriccione, M. Chitosan Coating to Preserve the Qualitative Traits and Improve Antioxidant System in Fresh Figs (Ficus carica L.). Agriculture 2019, 9, 84. [Google Scholar] [CrossRef]
- Maringgal, B.; Hashim, N.; Mohamed Amin Tawakkal, I.S.; Mohamed, M.T.M.; Hamzah, M.H.; Mohd Ali, M. Effect of Kelulut Honey Nanoparticles Coating on the Changes of Respiration Rate, Ascorbic Acid, and Total Phenolic Content of Papaya (Carica papaya L.) during Cold Storage. Foods 2021, 10, 432. [Google Scholar] [CrossRef]
- John, A.; Yang, J.; Liu, J.; Jiang, Y.; Yang, B. The structure changes of water-soluble polysaccharides in papaya during ripening. Int. J. Biol. Macromol. 2018, 115, 152–156. [Google Scholar] [CrossRef]
- Nourozi, F.; Sayyari, M. Enrichment of Aloe vera gel with basil seed mucilage preserve bioactive compounds and postharvest quality of apricot fruits. Sci. Horticult. 2020, 262, 109041. [Google Scholar] [CrossRef]
- Pan, Y.-W.; Cheng, J.-H.; Sun, D.-W. Inhibition of fruit softening by cold plasma treatments: Affecting factors and applications. Crit. Rev. Food Sci. Nutr. 2021, 61, 1935–1946. [Google Scholar] [CrossRef]
- Huang, X.; Pan, S.; Sun, Z.; Ye, W.; Aheto, J.H. Evaluating quality of tomato during storage using fusion information of computer vision and electronic nose. J. Food Process Eng. 2018, 41, e12832. [Google Scholar] [CrossRef]
- Shakir, M.S.; Ejaz, S.; Hussain, S.; Ali, S.; Sardar, H.; Azam, M.; Ullah, S.; Khaliq, G.; Saleem, M.S.; Nawaz, A.; et al. Synergistic effect of gum Arabic and carboxymethyl cellulose as biocomposite coating delays senescence in stored tomatoes by regulating antioxidants and cell wall degradation. Int. J. Biol. Macromol. 2022, 201, 641–652. [Google Scholar] [CrossRef] [PubMed]
- Esmaeili, Y.; Zamindar, N.; Paidari, S.; Ibrahim, S.A.; Mohammadi Nafchi, A. The synergistic effects of aloe vera gel and modified atmosphere packaging on the quality of strawberry fruit. J. Food Process. Preserv. 2021, 45, e16003. [Google Scholar] [CrossRef]
- Rastegar, S.; Hassanzadeh Khankahdani, H.; Rahimzadeh, M. Effectiveness of alginate coating on antioxidant enzymes and biochemical changes during storage of mango fruit. J. Food Biochem. 2019, 43. [Google Scholar] [CrossRef] [PubMed]
- Li, Y.; Liu, C.; Shi, Q.; Yang, F.; Wei, M. Mixed red and blue light promotes ripening and improves quality of tomato fruit by influencing melatonin content. Environ. Exp. Bot. 2021, 185, 104407. [Google Scholar] [CrossRef]
- Hajebi Seyed, R.; Rastegar, S.; Faramarzi, S. Impact of edible coating derived from a combination of Aloe vera gel, chitosan and calcium chloride on maintain the quality of mango fruit at ambient temperature. Food Measure 2021, 15, 2932–2942. [Google Scholar] [CrossRef]
- Aghdam, M.S.; Flores, F.B.; Sedaghati, B. Exogenous phytosulfokine α (PSKα) application delays senescence and relieves decay in strawberry fruit during cold storage by triggering extracellular ATP signaling and improving ROS scavenging system activity. Sci. Horticult. 2021, 279, 109906. [Google Scholar] [CrossRef]
- Saxena, A.; Sharma, L.; Maity, T. Enrichment of edible coatings and films with plant extracts or essential oils for the preservation of fruits and vegetables. In Biopolymer-Based Formulations; Elsevier: Amsterdam, The Netherlands, 2020; pp. 859–880. ISBN 978-0-12-816897-4. [Google Scholar]
- Yu, M.; Gouvinhas, I.; Rocha, J.; Barros, A.I.R.N.A. Phytochemical and antioxidant analysis of medicinal and food plants towards bioactive food and pharmaceutical resources. Sci. Rep. 2021, 11, 10041. [Google Scholar] [CrossRef]
- Rouphael, Y.; Corrado, G.; Colla, G.; De Pascale, S.; Dell’Aversana, E.; D’Amelia, L.I.; Fusco, G.M.; Carillo, P. Biostimulation as a Means for Optimizing Fruit Phytochemical Content and Functional Quality of Tomato Landraces of the San Marzano Area. Foods 2021, 10, 926. [Google Scholar] [CrossRef]
- Williams, R.S.; Benkeblia, N. Biochemical and physiological changes of star apple fruit (Chrysophyllum cainito) during different “on plant” maturation and ripening stages. Sci. Horticult. 2018, 236, 36–42. [Google Scholar] [CrossRef]
- Guofang, X.; Xiaoyan, X.; Xiaoli, Z.; Yongling, L.; Zhibing, Z. Changes in phenolic profiles and antioxidant activity in rabbiteye blueberries during ripening. Int. J. Food Prop. 2019, 22, 320–329. [Google Scholar] [CrossRef]
- Allegro, G.; Pastore, C.; Valentini, G.; Filippetti, I. The Evolution of Phenolic Compounds in Vitis vinifera L. Red Berries during Ripening: Analysis and Role on Wine Sensory—A Review. Agronomy 2021, 11, 999. [Google Scholar] [CrossRef]
- Riaz, A.; Aadil, R.M.; Amoussa, A.M.O.; Bashari, M.; Abid, M.; Hashim, M.M. Application of chitosan-based apple peel polyphenols edible coating on the preservation of strawberry ( Fragaria ananassa cv Hongyan) fruit. J Food Process. Preserv. 2021, 45, e15018. [Google Scholar] [CrossRef]
- Zhou, X.; Iqbal, A.; Li, J.; Liu, C.; Murtaza, A.; Xu, X.; Pan, S.; Hu, W. Changes in Browning Degree and Reducibility of Polyphenols during Autoxidation and Enzymatic Oxidation. Antioxidants 2021, 10, 1809. [Google Scholar] [CrossRef]
- Liu, C.; Zheng, H.; Sheng, K.; Liu, W.; Zheng, L. Effects of postharvest UV-C irradiation on phenolic acids, flavonoids, and key phenylpropanoid pathway genes in tomato fruit. Sci. Horticult. 2018, 241, 107–114. [Google Scholar] [CrossRef]
- Panahirad, S.; Naghshiband-Hassani, R.; Bergin, S.; Katam, R.; Mahna, N. Improvement of Postharvest Quality of Plum (Prunus domestica L.) Using Polysaccharide-Based Edible Coatings. Plants 2020, 9, 1148. [Google Scholar] [CrossRef] [PubMed]
- Kapoor, L.; Simkin, A.J.; George Priya Doss, C.; Siva, R. Fruit ripening: Dynamics and integrated analysis of carotenoids and anthocyanins. BMC Plant Biol. 2022, 22, 27. [Google Scholar] [CrossRef]
- Georgiadou, E.C.; Antoniou, C.; Majak, I.; Goulas, V.; Filippou, P.; Smolińska, B.; Leszczyńska, J.; Fotopoulos, V. Tissue-specific elucidation of lycopene metabolism in commercial tomato fruit cultivars during ripening. Sci. Horticult. 2021, 284, 110144. [Google Scholar] [CrossRef]
- Nguyen, H.T.; Boonyaritthongchai, P.; Buanong, M.; Supapvanich, S.; Wongs-Aree, C. Chitosan- and κ-carrageenan-based composite coating on dragon fruit (Hylocereus undatus) pretreated with plant growth regulators maintains bract chlorophyll and fruit edibility. Sci. Horticult. 2021, 281, 109916. [Google Scholar] [CrossRef]
- Zeb, A. Concept, mechanism, and applications of phenolic antioxidants in foods. J. Food Biochem. 2020, 44, e13394. [Google Scholar] [CrossRef]
- Zacarías-García, J.; Rey, F.; Gil, J.-V.; Rodrigo, M.J.; Zacarías, L. Antioxidant capacity in fruit of Citrus cultivars with marked differences in pulp coloration: Contribution of carotenoids and vitamin C. Food Sci. Technol. Int. 2021, 27, 210–222. [Google Scholar] [CrossRef] [PubMed]


| Parameters | Treatment | Δ Color (Day X-Day 0) | |||
|---|---|---|---|---|---|
| 3 | 6 | 9 | 12 | ||
| Lightness | Coated | 1.24 ± 0.29 | 1.57 ± 0.48 | 3.72 ± 1.11 | 6.13 ± 1.11 |
| Non-Coated | 2.24 ± 0.73 | 5.38 ± 0.48 | 14.82 ± 1.10 | 16.5 ± 1.10 | |
| Redness | Coated | 1.23 ± 0.61 | 2.57 ± 0.67 | 3.69 ± 0.79 | 4.23 ± 0.46 |
| Non-Coated | 3.11 ± 0.73 | 5.17 ± 1.02 | 6.35 ± 1.20 | 6.71 ± 0.53 | |
| Yellowness | Coated | 2.46 ± 0.91 | 4.42 ± 1.23 | 5.31 ± 0.80 | 6.68 ± 0.76 |
| Non-Coated | 6.57 ± 0.872 | 9.80 ± 1.25 | 14.08 ± 1.82 | 15.95 ± 1.32 | |
| °Hue | Coated | 2.07 ± 0.40 | 4.23 ± 0.37 | 5.83 ± 0.69 | 7.43 ± 0.80 |
| Non-Coated | 4.94 ± 1.01 | 8.47 ± 1.40 | 11.70 ± 1.91 | 13.18 ± 0.63 | |
| Chroma | Coated | 2.02 ± 1.03 | 3.46 ± 1.33 | 3.92 ± 0.96 | 4.85 ± 1.02 |
| Non-Coated | 5.80 ± 0.71 | 8.46 ± 1.14 | 12.04 ± 1.61 | 13.79 ± 1.36 | |
| Parameters | Treatment | Score |
|---|---|---|
| Color | Coated | 3.64 ± 0.24 |
| Non-Coated | 4.44 ± 0.31 | |
| Skin appearance | Coated | 2.71 ± 0.18 |
| Non-Coated | 1.54 ± 0.11 | |
| Glossy | Coated | 2.88 ± 0.27 |
| Non-Coated | 2.19 ± 0.14 | |
| Texture | Coated | 3.05 ± 0.33 |
| Non-Coated | 1.98 ± 0.17 |
| Compounds | Day 0 | Day 3 | Day 6 | Day 9 | Day 12 | |||||
|---|---|---|---|---|---|---|---|---|---|---|
| C | NC | C | NC | C | NC | C | NC | C | NC | |
| Alkaloids | 1 | 1 | 2 | 2 | 2 | 2 | 2 | 2 | 2 | 2 |
| Phenolic | 1 | 1 | 2 | 3 | 2 | 2 | 2 | 2 | 2 | 2 |
| Flavonoid | 1 | 1 | 2 | 2 | 2 | 2 | 2 | 2 | 2 | 2 |
| Triterpenoids | - | - | - | - | - | - | - | - | - | - |
| Sterol | - | - | - | - | - | - | - | - | - | - |
| Saponin | 1 | 1 | 2 | 3 | 3 | 4 | 4 | 5 | 5 | 6 |
| Tannin | - | - | - | - | - | - | - | - | - | - |
| Reducing Sugar | 1 | 1 | 2 | 3 | 3 | 4 | 4 | 5 | 5 | 6 |
Publisher’s Note: MDPI stays neutral with regard to jurisdictional claims in published maps and institutional affiliations. |
© 2022 by the authors. Licensee MDPI, Basel, Switzerland. This article is an open access article distributed under the terms and conditions of the Creative Commons Attribution (CC BY) license (https://creativecommons.org/licenses/by/4.0/).
Share and Cite
Jati, I.R.A.P.; Setijawaty, E.; Utomo, A.R.; Darmoatmodjo, L.M.Y.D. The Application of Aloe vera Gel as Coating Agent to Maintain the Quality of Tomatoes during Storage. Coatings 2022, 12, 1480. https://doi.org/10.3390/coatings12101480
Jati IRAP, Setijawaty E, Utomo AR, Darmoatmodjo LMYD. The Application of Aloe vera Gel as Coating Agent to Maintain the Quality of Tomatoes during Storage. Coatings. 2022; 12(10):1480. https://doi.org/10.3390/coatings12101480
Chicago/Turabian StyleJati, Ignasius Radix A. P., Erni Setijawaty, Adrianus Rulianto Utomo, and Laurensia Maria Y. D. Darmoatmodjo. 2022. "The Application of Aloe vera Gel as Coating Agent to Maintain the Quality of Tomatoes during Storage" Coatings 12, no. 10: 1480. https://doi.org/10.3390/coatings12101480
APA StyleJati, I. R. A. P., Setijawaty, E., Utomo, A. R., & Darmoatmodjo, L. M. Y. D. (2022). The Application of Aloe vera Gel as Coating Agent to Maintain the Quality of Tomatoes during Storage. Coatings, 12(10), 1480. https://doi.org/10.3390/coatings12101480

