Numerical Study on the Regression Method to Eliminate the Influence of Surface Morphology on Indentation Hardness of Thin Films
Abstract
1. Introduction
2. Method and Modeling
3. Simulation and Validation
3.1. Finite Element Simulation
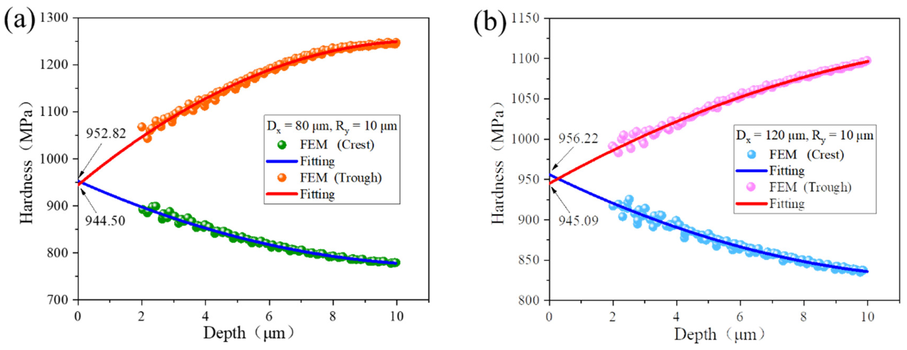
3.2. Effect of Surface Morphology on Hardness
3.3. Regression and Validation
4. Summary
Author Contributions
Funding
Institutional Review Board Statement
Informed Consent Statement
Data Availability Statement
Acknowledgments
Conflicts of Interest
References
- Oliver, W.C.; Pharr, G.M. An improved technique for determining hardness and elastic modulus using load and displacement sensing indentation experiments. J. Mater. Res. 1992, 7, 1564–1583. [Google Scholar] [CrossRef]
- Oliver, W.C.; Pharr, G.M. Measurement of hardness and elastic modulus by instrumented indentation: Advances in understanding and refinements to methodology. J. Mater. Res. 2004, 19, 3–20. [Google Scholar] [CrossRef]
- Bhushan, B.; Li, X. Nanomechanical characterisation of solid surfaces and thin films. Int. Mater. Rev. 2003, 48, 125–164. [Google Scholar] [CrossRef]
- Chen, X.; Vlassak, J.J. Numerical study on the measurement of thin film mechanical properties by means of nanoindentation. J. Mater. Res. 2001, 16, 2974–2982. [Google Scholar] [CrossRef]
- Zhao, M.; Chen, X.; Xiang, Y.; Vlassak, J.J.; Lee, D.; Ogasawara, N.; Chiba, N.; Gan, Y.X. Measuring elastoplastic properties of thin films on an elastic substrate using sharp indentation. Acta Mater. 2007, 55, 6260–6274. [Google Scholar] [CrossRef]
- Wen, W.; Becker, A.A.; Sun, W. Determination of material properties of thin films and coatings using indentation tests: A review. J. Mater. Sci. 2017, 52, 12553–12573. [Google Scholar] [CrossRef]
- Zhang, Z.; Yao, P.; Wang, J.; Huang, C.; Zhu, H.; Liu, H.; Zou, B. Nanomechanical characterization of RB-SiC ceramics based on nanoindentation and modelling of the ground surface roughness. Ceram. Int. 2020, 46, 6243–6253. [Google Scholar] [CrossRef]
- Kim, J.-Y.; Lee, J.-J.; Lee, Y.-H.; Jang, J.-I.; Kwon, D. Surface roughness effect in instrumented indentation: A simple contact depth model and its verification. J. Mater. Res. 2006, 21, 2975–2978. [Google Scholar] [CrossRef]
- Marteau, J.; Bigerelle, M. Toward an understanding of the effect of surface roughness on instrumented indentation results. J. Mater. Sci. 2017, 52, 7239–7255. [Google Scholar] [CrossRef]
- Donnelly, E.; Baker, S.P.; Boskey, A.L.; van der Meulen, M.C. Effects of surface roughness and maximum load on the mechanical properties of cancellous bone measured by nanoindentation. J. Biomed. Mater. Res. Part A 2006, 77, 426–435. [Google Scholar] [CrossRef]
- Chung, S.; Yap, A. Effects of surface finish on indentation modulus and hardness of dental composite restoratives. Dent. Mater. 2005, 21, 1008–1016. [Google Scholar] [CrossRef] [PubMed]
- Jiang, W.-G.; Su, J.-J.; Feng, X.-Q. Effect of surface roughness on nanoindentation test of thin films. Eng. Fract. Mech. 2008, 75, 4965–4972. [Google Scholar] [CrossRef]
- Walter, C.; Antretter, T.; Daniel, R.; Mitterer, C. Finite element simulation of the effect of surface roughness on nanoindentation of thin films with spherical indenters. Surf. Coat. Technol. 2007, 202, 1103–1107. [Google Scholar] [CrossRef]
- Miller, M.; Bobko, C.; Vandamme, M.; Ulm, F.-J. Surface roughness criteria for cement paste nanoindentation. Cem. Concr. Res. 2008, 38, 467–476. [Google Scholar] [CrossRef]
- Cech, V.; Lasota, T.; Palesch, E.; Lukes, J. The critical influence of surface topography on nanoindentation measurements of a-SiC: H films. Surf. Coat. Technol. 2015, 261, 114–121. [Google Scholar] [CrossRef]
- Nazemian, M.; Chamani, M.; Baghani, M. A combined experimental and numerical study of the effect of surface roughness on nanoindentation. Int. J. Appl. Mech. 2019, 11, 1950070. [Google Scholar] [CrossRef]
- Kok, W.M.; Chuah, H.G.; How, H.G.; Teoh, Y.H.; Yee, H.M.; Tan, W.H. Quantifying geometrically necessary dislocation with surface roughness effect in copper (111) under indentation. Mater. Sci. Technol. 2022, 1–11. [Google Scholar] [CrossRef]
- Guo, Y.; Staedler, T.; Fu, H.; Heuser, S.; Jiang, X. A novel way to quantitatively determine the mechanical properties of thin films from the initial-grown surface by nanoindentation. Appl. Surf. Sci. 2019, 479, 253–259. [Google Scholar] [CrossRef]
- Campbell, A.C.; Buršíková, V.; Martinek, J.; Klapetek, P. Modeling the influence of roughness on nanoindentation data using finite element analysis. Int. J. Mech. Sci. 2019, 161, 105015. [Google Scholar] [CrossRef]
- Lv, B.; Xie, H.; Xu, R.; Fan, X.; Zhang, W.; Wang, T. Effects of sintering and mixed oxide growth on the interface cracking of air-plasma-sprayed thermal barrier coating system at high temperature. Appl. Surf. Sci. 2016, 360, 461–469. [Google Scholar] [CrossRef]
- Barber, J.R.; Ciavarella, M. Contact mechanics. Int. J. Solids Struct. 2000, 37, 29–43. [Google Scholar] [CrossRef]
- Chen, L.; Ahadi, A.; Zhou, J.; Ståhl, J.-E. Modeling effect of surface roughness on nanoindentation tests. Procedia CIRP 2013, 8, 334–339. [Google Scholar] [CrossRef]
- Xia, Y.; Bigerelle, M.; Marteau, J.; Mazeran, P.E.; Bouvier, S.; Iost, A. Effect of surface roughness in the determination of the mechanical properties of material using nanoindentation test. Scanning 2014, 36, 134–149. [Google Scholar] [CrossRef] [PubMed]
- Laurent-Brocq, M.; Béjanin, E.; Champion, Y. Influence of roughness and tilt on nanoindentation measurements: A quantitative model. Scanning 2015, 37, 350–360. [Google Scholar] [CrossRef] [PubMed]
- Bobji, M.; Biswas, S. Deconvolution of hardness from data obtained from nanoindentation of rough surfaces. J. Mater. Res. 1999, 14, 2259–2268. [Google Scholar] [CrossRef]
- Yang, W.H.; Srolovitz, D.J. Surface morphology evolution in stressed solids: Surface diffusion controlled crack initiation. J. Mech. Phys. Solids 1994, 42, 1551–1574. [Google Scholar] [CrossRef]
- Liu, J.L.; Feng, X.Q.; Yu, S.W. Morphology of liquid drops and thin films on a solid surface with sinusoidal microstructures. Acta Mech. Sin. 2006, 22, 315–322. [Google Scholar] [CrossRef]
- Chen, Z.; Diebels, S. Modelling and parameter re-identification of nanoindentation of soft polymers taking into account effects of surface roughness. Comput. Math. Appl. 2012, 64, 2775–2786. [Google Scholar] [CrossRef]














| Thin Film | Young’s Modulus | Poisson’s Ratio | Yield Strength |
|---|---|---|---|
| Parameters | 2.06 × 105 MPa | 0.28 | 280 MPa |
| Relative Errors (%) | Crest | Trough |
|---|---|---|
| Dx = 80 μm | 0.11 | 0.77 |
| Dx = 100 μm | 0.60 | 0.91 |
| Dx = 120 μm | 0.46 | 0.70 |
Publisher’s Note: MDPI stays neutral with regard to jurisdictional claims in published maps and institutional affiliations. |
© 2022 by the authors. Licensee MDPI, Basel, Switzerland. This article is an open access article distributed under the terms and conditions of the Creative Commons Attribution (CC BY) license (https://creativecommons.org/licenses/by/4.0/).
Share and Cite
Li, X.; Zhang, W.; Li, D.; Zhang, J.; Long, B. Numerical Study on the Regression Method to Eliminate the Influence of Surface Morphology on Indentation Hardness of Thin Films. Coatings 2022, 12, 1447. https://doi.org/10.3390/coatings12101447
Li X, Zhang W, Li D, Zhang J, Long B. Numerical Study on the Regression Method to Eliminate the Influence of Surface Morphology on Indentation Hardness of Thin Films. Coatings. 2022; 12(10):1447. https://doi.org/10.3390/coatings12101447
Chicago/Turabian StyleLi, Xiaozhen, Weixu Zhang, Dingjun Li, Jianpu Zhang, and Bin Long. 2022. "Numerical Study on the Regression Method to Eliminate the Influence of Surface Morphology on Indentation Hardness of Thin Films" Coatings 12, no. 10: 1447. https://doi.org/10.3390/coatings12101447
APA StyleLi, X., Zhang, W., Li, D., Zhang, J., & Long, B. (2022). Numerical Study on the Regression Method to Eliminate the Influence of Surface Morphology on Indentation Hardness of Thin Films. Coatings, 12(10), 1447. https://doi.org/10.3390/coatings12101447

