Numerical Approximation of Microorganisms Hybrid Nanofluid Flow Induced by a Wavy Fluctuating Spinning Disc
Abstract
:1. Introduction
2. Mathematical Formulation
3. Thermophysical Properties of Nanofluid
4. Karman’s Approach
5. Numerical Solution
6. Results and Discussion
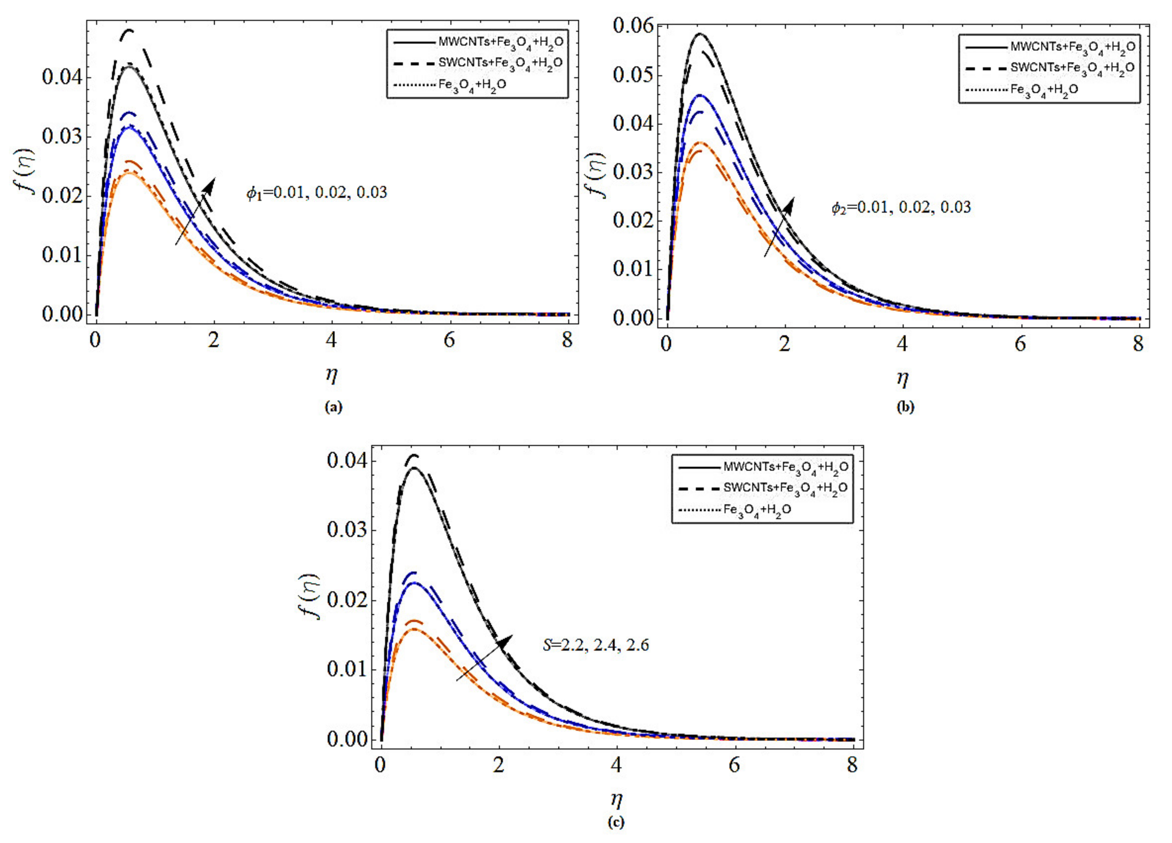
6.1. Axial Velocity Profile
6.2. Radial Velocity Profile
6.3. Temperature Profile
6.4. Motile Microorganism and Concentration Profile
7. Conclusions
- The inclusion of single- (SWCNTs) and multi-wall CNTs (MWCNTs) and magnetic nanoparticles enhances the fluid velocity.
- The upward/downward fluctuation of the spinning disk encourages the fluid particles to move rapidly, which elevates the axial velocity of the fluid.
- The suction and injection effect over the surface of the spinning disk produces resistance to the flow field, which results in the reduction of the radial velocity profile.
- The increment in disk rotation rate also excited the fluid particles during rotating, which resulted in rises in the radial velocity of fluid over a wavy surface.
- The thermal energy transmission rate declines with the impact of both thermal energy ratio parameter and Prandtl number Pr.
- The dispersion of nanomaterials in base fluid reduces the effectiveness of its heat absorption, which results in the enhancement of fluid temperature.
- The distributions of microorganism’s ration significantly enhances the motile microorganism, while the increment in Peclet number Pe decreases the motile microorganism profile .
- When compared to a homogeneous substrate, a wavy rotating surface elevates energy diffusion by as much as 15%.
Author Contributions
Funding
Institutional Review Board Statement
Informed Consent Statement
Data Availability Statement
Acknowledgments
Conflicts of Interest
References
- Ahmadian, A.; Bilal, M.; Khan, M.A.; Asjad, M.I. The non-Newtonian maxwell nanofluid flow between two parallel rotating disks under the effects of magnetic field. Sci. Rep. 2020, 10, 1–14. [Google Scholar] [CrossRef]
- Lv, Y.-P.; Algehyne, E.A.; Alshehri, M.G.; Alzahrani, E.; Bilal, M.; Khan, M.A.; Shuaib, M. Numerical approach towards gyrotactic microorganisms hybrid nanoliquid flow with the hall current and magnetic field over a spinning disk. Sci. Rep. 2021, 11, 1–13. [Google Scholar]
- Li, Y.-X.; Muhammad, T.; Bilal, M.; Khan, M.A.; Ahmadian, A.; Pansera, B.A. Fractional simulation for Darcy-Forchheimer hybrid nanoliquid flow with partial slip over a spinning disk. Alex. Eng. J. 2021, 60, 4787–4796. [Google Scholar] [CrossRef]
- Shuaib, M.; Shah, R.A.; Durrani, I.; Bilal, M. Electrokinetic viscous rotating disk flow of Poisson-Nernst-Planck equation for ion transport. J. Mol. Liq. 2020, 313, 113412. [Google Scholar] [CrossRef]
- Shuaib, M.; Shah, R.A.; Bilal, M. Von-Karman rotating flow in variable magnetic field with variable physical properties. Adv. Mech. Eng. 2021. [Google Scholar] [CrossRef]
- Shuaib, M.; Shah, R.A.; Bilal, M. Variable thickness flow over a rotating disk under the influence of variable magnetic field: An application to parametric continuation method. Adv. Mech. Eng. 2020. [Google Scholar] [CrossRef]
- Hafeez, A.; Khan, M.; Ahmed, J. Thermal aspects of chemically reactive Oldroyd-B fluid flow over a rotating disk with Cattaneo–Christov heat flux theory. J. Therm. Anal. Calorim. 2021, 144, 793–803. [Google Scholar] [CrossRef]
- Liang, M.; Fu, C.; Xiao, B.; Luo, L.; Wang, Z. A fractal study for the effective electrolyte diffusion through charged porous media. Int. J. Heat Mass Transf. 2019, 137, 365–371. [Google Scholar] [CrossRef]
- Liang, M.; Liu, Y.; Xiao, B.; Yang, S.; Wang, Z.; Han, H. An analytical model for the transverse permeability of gas diffusion layer with electrical double layer effects in proton exchange membrane fuel cells. Int. J. Hydrog. Energy 2018, 43, 17880–17888. [Google Scholar] [CrossRef]
- Jamil, F.; Ali, H.M. Applications of hybrid nanofluids in different fields. In Hybrid Nanofluids for Convection Heat Transfer; Elsevier: Amsterdam, The Netherlands, 2020; pp. 215–254. [Google Scholar]
- Rao, Y. Nanofluids: Stability, phase diagram, rheology and applications. Particuology 2010, 8, 549–555. [Google Scholar] [CrossRef]
- Fisher, C.; E Rider, A.; Jun Han, Z.; Kumar, S.; Levchenko, I.; Ostrikov, K.K. Applications and nanotoxicity of carbon nanotubes and graphene in biomedicine. J. Nanomater. 2012, 2012, 315185. [Google Scholar] [CrossRef] [Green Version]
- Alawi, O.A.; Mallah, A.; Kazi, S.; Sidik, N.A.C.; Najafi, G. Thermophysical properties and stability of carbon nanostructures and metallic oxides nanofluids. J. Therm. Anal. Calorim. 2019, 135, 1545–1562. [Google Scholar] [CrossRef]
- Gul, T.; Rahman, J.u.; Bilal, M.; Saeed, A.; Alghamdi, W.; Mukhtar, S.; Alrabaiah, H.; Bonyah, E. Viscous dissipated hybrid nanoliquid flow with Darcy–Forchheimer and forced convection over a moving thin needle. AIP Adv. 2020, 10, 105308. [Google Scholar] [CrossRef]
- Tassaddiq, A.; Khan, S.; Bilal, M.; Gul, T.; Mukhtar, S.; Shah, Z.; Bonyah, E. Heat and mass transfer together with hybrid nanofluid flow over a rotating disk. AIP Adv. 2020, 10, 055317. [Google Scholar] [CrossRef]
- Lim, A.E.; Lim, C.Y.; Lam, Y.C.; Taboryski, R. Electroosmotic flow in microchannel with black silicon nanostructures. Micromachines 2018, 9, 229. [Google Scholar] [CrossRef] [PubMed] [Green Version]
- Lim, A.E.; Lam, Y.C. Numerical Investigation of Nanostructure Orientation on Electroosmotic Flow. Micromachines 2020, 11, 971. [Google Scholar] [CrossRef] [PubMed]
- Bilal, M.; Khan, I.; Gul, T.; Tassaddiq, A.; Alghamdi, W.; Mukhtar, S.; Kumam, P. Darcy-forchheimer hybrid nano fluid flow with mixed convection past an inclined cylinder. CMC—Comput. Mater. Contin. 2021, 66, 2025–2039. [Google Scholar] [CrossRef]
- Gul, T.; Bilal, M.; Shuaib, M.; Mukhtar, S.; Thounthong, P. Thin film flow of the water-based carbon nanotubes hybrid nanofluid under the magnetic effects. Heat Transf. 2020, 49, 3211–3227. [Google Scholar] [CrossRef]
- Ghalandari, M.; Maleki, A.; Haghighi, A.; Shadloo, M.S.; Nazari, M.A.; Tlili, I. Applications of nanofluids containing carbon nanotubes in solar energy systems: A review. J. Mol. Liq. 2020, 313, 113476. [Google Scholar] [CrossRef]
- Waqas, H.; Imran, M.; Bhatti, M. Influence of bioconvection on Maxwell nanofluid flow with the swimming of motile microorganisms over a vertical rotating cylinder. Chin. J. Phys. 2020, 68, 558–577. [Google Scholar] [CrossRef]
- Khan, M.I.; Khan, S.U.; Jameel, M.; Chu, Y.-M.; Tlili, I.; Kadry, S. Significance of temperature-dependent viscosity and thermal conductivity of Walter’s B nanoliquid when sinusodal wall and motile microorganisms density are significant. Surf. Interfaces 2021, 22, 100849. [Google Scholar] [CrossRef]
- Kotha, G.; Kolipaula, V.R.; Rao, M.V.S.; Penki, S.; Chamkha, A.J. Internal heat generation on bioconvection of an MHD nanofluid flow due to gyrotactic microorganisms. Eur. Phys. J. Plus 2020, 135, 600. [Google Scholar] [CrossRef]
- Ahmadian, A.; Bilal, M.; Khan, M.A.; Asjad, M.I. Numerical analysis of thermal conductive hybrid nanofluid flow over the surface of a wavy spinning disk. Sci. Rep. 2020, 10, 18776. [Google Scholar] [CrossRef] [PubMed]
- Hussain, T.; Xu, H.; Raees, A.; Zhao, Q.-K. Unsteady three-dimensional MHD flow and heat transfer in porous medium suspended with both microorganisms and nanoparticles due to rotating disks. J. Therm. Anal. Calorim. 2021. [Google Scholar] [CrossRef]
- Ma, Y.; Mohebbi, R.; Rashidi, M.; Yang, Z. MHD convective heat transfer of Ag-MgO/water hybrid nanofluid in a channel with active heaters and coolers. Int. J. Heat Mass Transf. 2019, 137, 714–726. [Google Scholar] [CrossRef]
- Bilal, M.; Gul, T.; Alsubie, A.; Ali, I. Axisymmetric hybrid nanofluid flow with heat and mass transfer amongst the two gyrating plates. ZAMM J. Appl. Math. Mech. Z. Angew. Math. Mech. 2021. [Google Scholar] [CrossRef]
- Turkyilmazoglu, M. Fluid flow and heat transfer over a rotating and vertically moving disk. Phys. Fluids 2018, 30, 063605. [Google Scholar] [CrossRef]





| Base Fluid/Nanoparticles | |||
|---|---|---|---|
| Water | 997.1 | 4179 | 0.613 |
| 5200 | 670 | 6 | |
| SWCNTs | 2600 | 425 | 6600 |
| MWCNTs | 1600 | 796 | 300 |
| bvp4c | PCM | |||||
|---|---|---|---|---|---|---|
| 0.0 | 0.0000 | 0.0000 | 1.0000 | 0.0000 | 0.0000 | 1.0000 |
| 0.4 | 0.0012 | 0.0030 | 0.1517 | 0.0011 | 0.0024 | 0.1421 |
| 0.8 | 0.0070 | 0.0177 | 0.0932 | 0.00062 | 0.01086 | 0.0873 |
| 1.2 | −0.0492 | −0.0871 | 0.0083 | −0.0453 | −0.0832 | 0.0071 |
| 1.6 | −0.1458 | −0.2713 | 0.0039 | −0.1420 | −0.2709 | 0.0027 |
| Title | CNTs | Ferric Oxide | ||
|---|---|---|---|---|
| 0.00 | 1.2724 | 1.4912 | 1.3322 | 1.5562 |
| 0.05 | 1.4133 | 1.5724 | 1.7734 | 1.6821 |
| 0.01 | 1.6641 | 1.7054 | 2.0011 | 1.7922 |
| 0.15 | 2.0300 | 2.0791 | 2.1701 | 1.1901 |
| 0.20 | 2.1530 | 2.2753 | 2.3532 | 2.3102 |
| CNTs | Ferric Oxide | |||||
|---|---|---|---|---|---|---|
| 0.00 | 0.1724 | 1.5954 | 1.7953 | 0.2513 | 1.5581 | 1.6935 |
| 0.04 | 0.1921 | 1.3362 | 1.6361 | 0.1835 | 1.6732 | 1.5316 |
| 0.80 | 0.4139 | 1.1482 | 1.4481 | 0.3012 | 1.6621 | 1.3418 |
| 0.12 | 0.2612 | 1.6014 | 1.2013 | 0.2410 | 2.2683 | 1.1031 |
Publisher’s Note: MDPI stays neutral with regard to jurisdictional claims in published maps and institutional affiliations. |
© 2021 by the authors. Licensee MDPI, Basel, Switzerland. This article is an open access article distributed under the terms and conditions of the Creative Commons Attribution (CC BY) license (https://creativecommons.org/licenses/by/4.0/).
Share and Cite
Bilal, M.; Saeed, A.; Gul, T.; Ali, I.; Kumam, W.; Kumam, P. Numerical Approximation of Microorganisms Hybrid Nanofluid Flow Induced by a Wavy Fluctuating Spinning Disc. Coatings 2021, 11, 1032. https://doi.org/10.3390/coatings11091032
Bilal M, Saeed A, Gul T, Ali I, Kumam W, Kumam P. Numerical Approximation of Microorganisms Hybrid Nanofluid Flow Induced by a Wavy Fluctuating Spinning Disc. Coatings. 2021; 11(9):1032. https://doi.org/10.3390/coatings11091032
Chicago/Turabian StyleBilal, Muhammad, Anwar Saeed, Taza Gul, Ishtiaq Ali, Wiyada Kumam, and Poom Kumam. 2021. "Numerical Approximation of Microorganisms Hybrid Nanofluid Flow Induced by a Wavy Fluctuating Spinning Disc" Coatings 11, no. 9: 1032. https://doi.org/10.3390/coatings11091032
APA StyleBilal, M., Saeed, A., Gul, T., Ali, I., Kumam, W., & Kumam, P. (2021). Numerical Approximation of Microorganisms Hybrid Nanofluid Flow Induced by a Wavy Fluctuating Spinning Disc. Coatings, 11(9), 1032. https://doi.org/10.3390/coatings11091032

