Geometric Influence of Hard Phase on Corrosion Performance between WC-Reinforced Coatings Prepared by High-Velocity Oxygen-Fuel Spray and Electric Contact Strengthening
Abstract
1. Introduction
2. Materials and Methods
2.1. Sample Preparations
2.2. Characterization Methods
2.3. Electrochemical Measurements
3. Results and Discussion
3.1. Coating Microstructure
3.1.1. Surface Morphology
3.1.2. Cross-Sectional Microstructure
3.1.3. XRD Results
3.2. Corrosion Performance
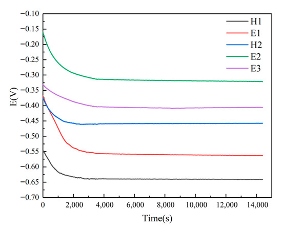
3.2.1. Open Circuit Potential Test
3.2.2. Potentiodynamic Polarization Test
3.2.3. Morphology after Corrosion
3.2.4. XRD and XPS Results after Corrosion
3.2.5. EIS Results
4. Conclusions
- (1)
- Coatings prepared using the ECS method were able to achieve lower porosity and higher density than the HVOF-sprayed homogeneous coatings. In addition, the pores of E1-E3 coatings were concentrated at the coating skin.
- (2)
- The ECS-prepared coatings using commercial WC-12Co powder was able to retain the original geometry of this spherical powder. WC and Co have better degree of solid solution, showing an obvious Co3W3C phase.
- (3)
- The ECS-prepared coatings had better corrosion resistance than the HVOF-sprayed homogeneous coatings in 3.5% NaCl solution.
- (4)
- The spherical WC-12Co powder in the ECS-prepared coatings retained its original geometry, which made it difficult for the dimensional WC skeleton to detach during the corrosion process. In addition, this led to a bounded diffusion model.
Author Contributions
Funding
Institutional Review Board Statement
Informed Consent Statement
Data Availability Statement
Acknowledgments
Conflicts of Interest
References
- Masuku, Z.H.; Olubambi, P.A.; Potgieter, J.H.; Obadele, B.A. Tribological and Corrosion Behavior of HVOF-Sprayed WC-Co-Based Composite Coatings in Simulated Mine Water Environments. Tribol. Trans. 2015, 58, 337–348. [Google Scholar] [CrossRef]
- Farokhian, G.; Salehnasab, B.; Zat Ajam, H.; Nahidi, H. Influence of WC–20Co–1Ni coating by HVOF on lifespan of the downhole drilling motors. Surf. Eng. 2018, 34, 771–782. [Google Scholar] [CrossRef]
- Katiyar, P.K. A comprehensive review on synergy effect between corrosion and wear of cemented tungsten carbide tool bits: A mechanistic approach. Int. J. Refract. Met. Hard Mater. 2020, 92, 105315. [Google Scholar] [CrossRef]
- Katiyar, P.K.; Singh, P.K.; Singh, R.; Kumar, A.L. Modes of failure of cemented tungsten carbide tool bits (WC/Co): A study of wear parts. Int. J. Refract. Met. Hard Mater. 2016, 54, 27–38. [Google Scholar] [CrossRef]
- Fu, W.; Chen, Q.-Y.; Yang, C.; Yi, D.-L.; Yao, H.-L.; Wang, H.-T.; Ji, G.-C.; Wang, F. Microstructure and properties of high velocity oxygen fuel sprayed (WC-Co)-Ni coatings. Ceram. Int. 2020, 46, 14940–14948. [Google Scholar] [CrossRef]
- Erfanmanesh, M.; Shoja-Razavi, R.; Abdollah-Pour, H.; Mohammadian-Semnani, H.; Barekat, M.; Hashemi, S.H. Friction and wear behavior of laser cladded WC-Co and Ni/WC-Co deposits at high temperature. Int. J. Refract. Met. Hard Mater. 2019, 81, 137–148. [Google Scholar] [CrossRef]
- Erfanmanesh, M.; Abdollah-Pour, H.; Mohammadian-Semnani, H.; Shoja-Razavi, R. Kinetics and oxidation behavior of laser clad WC-Co and Ni/WC-Co coatings. Ceram. Int. 2018, 44, 12805–12814. [Google Scholar] [CrossRef]
- Souza, V.A.D.; Neville, A. Linking electrochemical corrosion behaviour and corrosion mechanisms of thermal spray cermet coatings (WC–CrNi and WC/CrC–CoCr). Mater. Sci. Eng. A 2003, 352, 202–211. [Google Scholar] [CrossRef]
- Bolelli, G.; Giovanardi, R.; Lusvarghi, L.; Manfredini, T. Corrosion resistance of HVOF-sprayed coatings for hard chrome replacement. Corros. Sci. 2006, 48, 3375–3397. [Google Scholar] [CrossRef]
- Azizpour, M.J.; Tolouei-Rad, M. The effect of spraying temperature on the corrosion and wear behavior of HVOF thermal sprayed WC-Co coatings. Ceram. Int. 2019, 45, 13934–13941. [Google Scholar] [CrossRef]
- Picas, J.A.; Punset, M.; Rupérez, E.; Menargues, S.; Martin, E.; Baile, M.T. Corrosion mechanism of HVOF thermal sprayed WC-CoCr coatings in acidic chloride media. Surf. Coat. Technol. 2019, 371, 378–388. [Google Scholar] [CrossRef]
- Wang, Q.; Zhang, S.; Cheng, Y.; Xiang, J.; Zhao, X.; Yang, G. Wear and corrosion performance of WC-10Co4Cr coatings deposited by different HVOF and HVAF spraying processes. Surf. Coat. Technol. 2013, 218, 127–136. [Google Scholar] [CrossRef]
- Hong, S.; Wu, Y.; Zheng, Y.; Wang, B.; Gao, W.; Li, G.; Ying, G.; Lin, J. Effect of Spray Parameters on the Corrosion Behavior of HVOF Sprayed WC-Co-Cr Coatings. J. Mater. Eng. Perform. 2014, 23, 1434–1439. [Google Scholar] [CrossRef]
- Pishva, P.; Salehi, M.; Golozar, M.A. Effect of grinding on surface characteristics of HVOF-sprayed WC–10Co–4Cr coatings. Surf. Eng. 2020, 36, 1180–1189. [Google Scholar] [CrossRef]
- Wei, L.; Liu, Y.; Li, Q.; Cheng, Y.F. Effect of roughness on general corrosion and pitting of (FeCoCrNi)0.89(WC)0.11 high-entropy alloy composite in 3.5 wt.% NaCl solution. Corros. Sci. 2019, 146, 44–57. [Google Scholar] [CrossRef]
- Zhang, S.H.; Yoon, J.H.; Li, M.X.; Cho, T.Y.; Joo, Y.K.; Cho, J.Y. Influence of CO2 laser heat treatment on surface properties, electrochemical and tribological performance of HVOF sprayed WC–24%Cr3C2–6%Ni coating. Mater. Chem. Phys. 2010, 119, 458–464. [Google Scholar] [CrossRef]
- Gao, Y.; Wang, C.; Yao, M.; Liu, H. The resistance to wear and corrosion of laser-cladding Al2O3 ceramic coating on Mg alloy. Appl. Surf. Sci. 2007, 253, 5306–5311. [Google Scholar] [CrossRef]
- Rolink, G.; Weisheit, A.; Biermann, T.; Bobzin, K.; Öte, M.; Linke, T.F.; Schulz, C.; Kelbassa, I. Investigations of laser clad, thermal sprayed and laser remelted AlSi20-coatings on magnesium alloy AZ31B under constant and cycling thermal load. Surf. Coat. Technol. 2014, 259, 751–758. [Google Scholar] [CrossRef]
- Liu, J.; Bai, X.; Chen, T.; Yuan, C. Effects of Cobalt Content on the Microstructure, Mechanical Properties and Cavitation Erosion Resistance of HVOF Sprayed Coatings. Coatings 2019, 9, 534. [Google Scholar] [CrossRef]
- Zafar, S.; Sharma, A.K. Development and characterisations of WC–12Co microwave clad. Mater. Charact. 2014, 96, 241–248. [Google Scholar] [CrossRef]
- Zhang, J.; Lei, J.; Gu, Z.; Tantai, F.; Tian, H.; Han, J.; Fang, Y. Effect of WC-12Co content on wear and electrochemical corrosion properties of Ni-Cu/WC-12Co composite coatings deposited by laser cladding. Surf. Coat. Technol. 2020, 393, 125807. [Google Scholar] [CrossRef]
- Sun, Z.; Zhu, S.; Dong, W.; Ding, H.; Bai, Y.; Luo, Y.; Di, P. Densification during the formation of WC-based coating prepared by electric contact strengthening. Ceram. Int. 2021, 47, 16441–16449. [Google Scholar] [CrossRef]
- Yin, S.; Ekoi, E.J.; Lupton, T.L.; Dowling, D.P.; Lupoi, R. Cold spraying of WC-Co-Ni coatings using porous WC-17Co powders: Formation mechanism, microstructure characterization and tribological performance. Mater. Des. 2017, 126, 305–313. [Google Scholar] [CrossRef]
- Zhang, X.; Zhou, J.; Liu, C.; Li, K.; Shen, W.; Lin, Z.; Li, Z.; He, Y.; Lin, N. Effects of Ni addition on mechanical properties and corrosion behaviors of coarse-grained WC-10(Co, Ni) cemented carbides. Int. J. Refract. Met. Hard Mater. 2019, 80, 123–129. [Google Scholar] [CrossRef]
- Sherif, E.-S.M.; El Rayes, M.M.; Abdo, H.S. WC-Co and WC-Co-Cr Coatings for the Protection of API Pipeline Steel from Corrosion in 4% NaCl Solution. Coatings 2020, 10, 275. [Google Scholar] [CrossRef]
- Liu, Y.; Liu, Z.; Xu, A.; Liu, X. Understanding pitting corrosion behavior of AZ91 alloy and its MAO coating in 3.5% NaCl solution by cyclic potentiodynamic polarization. J. Magnes. Alloy. 2021, in press. [Google Scholar] [CrossRef]
- Monticelli, C.; Frignani, A.; Zucchi, F. Investigation on the corrosion process of carbon steel coated by HVOF WC/Co cermets in neutral solution. Corros. Sci. 2004, 46, 1225–1237. [Google Scholar] [CrossRef]
- Khorsand, S.; Raeissi, K.; Ashrafizadeh, F. Corrosion resistance and long-term durability of super-hydrophobic nickel film prepared by electrodeposition process. Appl. Surf. Sci. 2014, 305, 498–505. [Google Scholar] [CrossRef]
- Farahmand, P.; Kovacevic, R. Corrosion and wear behavior of laser cladded Ni–WC coatings. Surf. Coat. Technol. 2015, 276, 121–135. [Google Scholar] [CrossRef]
- Wang, H.; Lu, H.; Song, X.; Yan, X.; Liu, X.; Nie, Z. Corrosion resistance enhancement of WC cermet coating by carbides alloying. Corros. Sci. 2019, 147, 372–383. [Google Scholar] [CrossRef]
- Souza, V.A.D.; Neville, A. Corrosion and synergy in a WCCoCr HVOF thermal spray coating—understanding their role in erosion–corrosion degradation. Wear 2005, 259, 171–180. [Google Scholar] [CrossRef]
- Zhang, L.; Macdonald, D.D. Segregation of alloying elements in passive systems—I. XPS studies on the Ni–W system. Electrochim. Acta 1998, 43, 2661–2671. [Google Scholar] [CrossRef]
- Souza, V.A.D.; Neville, A. Mechanisms and kinetics of WC-Co−Cr high velocity oxy-fuel thermal spray coating degradation in corrosive environments. J. Therm. Spray Technol. 2006, 15, 106–117. [Google Scholar] [CrossRef]
- Song, J.; Bazant, M.Z. Effects of nanoparticle geometry and size distribution on diffusion impedance of battery electrodes. J. Electrochem. Soc. 2012, 160, A15. [Google Scholar] [CrossRef]
- Sutthiruangwong, S.; Mori, G.; Kösters, R. Passivity and pseudopassivity of cemented carbides. Int. J. Refract. Met. Hard Mater. 2005, 23, 129–136. [Google Scholar] [CrossRef]
- Ismail, A. Corrosion Behavior of WC-Co in High Sulphate Content. Adv. Mater. Res. 2014, 911, 82–86. [Google Scholar] [CrossRef]
- Hong, S.; Wu, Y.; Gao, W.; Zhang, J.; Zheng, Y.; Zheng, Y. Slurry erosion-corrosion resistance and microbial corrosion electrochemical characteristics of HVOF sprayed WC-10Co-4Cr coating for offshore hydraulic machinery. Int. J. Refract. Met. Hard Mater. 2018, 74, 7–13. [Google Scholar] [CrossRef]
- Hong, S.; Wu, Y.; Zhang, J.; Zheng, Y.; Qin, Y.; Lin, J. Ultrasonic cavitation erosion of high-velocity oxygen-fuel (HVOF) sprayed near-nanostructured WC–10Co–4Cr coating in NaCl solution. Ultrason. Sonochem. 2015, 26, 87–92. [Google Scholar] [CrossRef]
- Yang, X.; Li, X.; Yang, Q.; Wei, H.; Fu, X.; Li, W. Effects of WC on microstructure and corrosion resistance of directional structure Ni60 coatings. Surf. Coat. Technol. 2020, 385, 125359. [Google Scholar] [CrossRef]
- Du, J.; Zhang, J.; Xu, J.; Zhang, C. Cavitation-corrosion behaviors of HVOF sprayed WC-25WB-10Co-5NiCr and MoB-25NiCr coatings. Ceram. Int. 2020, 46, 21707–21718. [Google Scholar] [CrossRef]
- Liu, Z.; Cabrero, J.; Niang, S.; Al-Taha, Z.Y. Improving corrosion and wear performance of HVOF-sprayed Inconel 625 and WC-Inconel 625 coatings by high power diode laser treatments. Surf. Coat. Technol. 2007, 201, 7149–7158. [Google Scholar] [CrossRef]















| Labeled | Preparation Method | Coating Composition (wt.%) |
|---|---|---|
| H1 | HVOF | 100% (WC-12Co) (commercial powder) |
| H2 | HVOF | 75% (WC-12Co) (commercial powder) + 25% Ni (milled powder) |
| E1 | ECS | 100% (WC-12Co) (commercial powder) |
| E2 | ECS | 75%(WC-12Co) (commercial powder) + 25% Ni (milled powder) |
| E3 | ECS | 66% WC (milled powder) + 9% Co (milled powder) + 25% Ni (milled powder) |
| Spraying Parameters | Value | Unit |
|---|---|---|
| O2 flow rate | 53 | m3/h |
| Kerosene flow rate | 23 | L/h |
| Powder feed rate | 75 | g/min |
| Carrier gas flow rate (N2) | 0.6 | m3/h |
| Spraying distance | 350 | mm |
| Preparation Parameters | Value | Unit |
|---|---|---|
| Voltage (U) | 8 | V |
| Current (I) | 35 | kA |
| Contact pressure (Pc) | 0.05 | MPa |
| Rotational speed (Vr) | 0.5 | rpm |
| Translational speed (Vt) | 1 | mm/min |
| Labeled | Thickness (μm) | Surface Roughness (Ra/μm) | Porosity (%) |
|---|---|---|---|
| H1 | 415 (±6.5) | 6.21 (±0.32) | 9.24 (±0.16) |
| H2 | 409 (±4.9) | 5.63 (±0.18) | 7.87 (±0.27) |
| E1 | 412 (±7.9) | 4.28 (±0.26) | 3.69 (±0.22) |
| E2 | 413 (±3.8) | 3.55 (±0.20) | 3.35 (±0.21) |
| E3 | 410 (±4.2) | 3.48 (±0.22) | 2.97 (±0.18) |
| Sample | EOCP (VSCE, V) | Forward Scan | Reverse Scan | ||
|---|---|---|---|---|---|
| Ecorr (VSCE, V) | icorr (μA・cm−2) | Ecorr (VSCE, V) | icorr (μA・cm−2) | ||
| H1 | −0.639 | −0.805 | 3.145 × 10−5 | −0.534 | 3.25 × 10−4 |
| E1 | −0.561 | −0.734 | 2.836 × 10−5 | −0.466 | 1.01 × 10−4 |
| H2 | −0.458 | −0.591 | 1.731 × 10−6 | −0.358 | 6.28 × 10−5 |
| E2 | −0.321 | −0.485 | 1.804 × 10−6 | −0.292 | 8.26 × 10−5 |
| E3 | −0.406 | −0.560 | 4.523 × 10−6 | −0.387 | 2.39 × 10−4 |
| Sample | (Atom%/Mass%) | Detected Elements | ||||||
|---|---|---|---|---|---|---|---|---|
| W | C | O | Co | Ni | Fe | Cr | ||
| H1 | at.% | 18.72 | 45.61 | 23.63 | 6.69 | - | 2.76 | 2.59 |
| wt.% | 68.14 | 10.85 | 7.49 | 7.81 | - | 3.05 | 2.67 | |
| E1 | at.% | 16.33 | 36.91 | 34.55 | 7.7 | - | 2.36 | 2.15 |
| wt.% | 63.93 | 9.44 | 11.77 | 9.66 | - | 2.81 | 2.38 | |
| H2 | at.% | 11.24 | 38.22 | 33.93 | 3.02 | 6.07 | 3.82 | 3.7 |
| wt.% | 51.55 | 11.45 | 13.55 | 4.44 | 8.89 | 5.32 | 4.80 | |
| E2 | at.% | 10.88 | 33.02 | 40.82 | 2.84 | 6.2 | 3.19 | 3.05 |
| wt.% | 53.65 | 9.38 | 15.93 | 4.08 | 8.75 | 4.34 | 3.87 | |
| E3 | at.% | 11.5 | 36.07 | 37.21 | 2.81 | 6.05 | 3.25 | 3.11 |
| wt.% | 52.76 | 10.81 | 14.86 | 4.13 | 8.86 | 4.53 | 4.04 | |
| Sample | Rs (Ω cm2) | Qf | Rf (Ω cm2) | Qdl | Rct (Ω cm2) | Zw | ||
|---|---|---|---|---|---|---|---|---|
| Y0 (μF/cm2) | n | Y0 (μF/cm2) | n | |||||
| H1 | 5.792 (0.84%) | 0.0009349 (1.82%) | 0.8692 (0.64%) | 4.585 (4.95%) | 0.001107 (2.07%) | 0.844 (8.03%) | 1082 (2.44%) | - |
| E1 | 5.757 (0.72%) | 0.0007054 (1.06%) | 0.8747 (1.58%) | 3.697 (8.81%) | 0.0009053 (9.94%) | 0.8484 (9.91%) | 1349 (2.21%) | 0.157 (7.59%) |
| H2 | 10.72 (0.90%) | 0.001678 (2.82%) | 0.657 (5.46%) | 32.53 (3.08%) | 0.001773 (2.75%) | 0.7426 (6.18%) | 2182 (5.34%) | - |
| E2 | 11.63 (0.49%) | 0.002229 (7.13%) | 0.7411 (1.17%) | 7.209 (5.69%) | 0.003117 (5.17%) | 0.7355 (6.93%) | 4169 (7.93%) | 3.079 (3.60%) |
| E3 | 11.19 (0.97%) | 0.001277 (5.59%) | 0.6736 (9.58%) | 10.24 (2.81%) | 0.00292 (2.49%) | 0.7168 (4.53%) | 3049 (6.51%) | - |
Publisher’s Note: MDPI stays neutral with regard to jurisdictional claims in published maps and institutional affiliations. |
© 2021 by the authors. Licensee MDPI, Basel, Switzerland. This article is an open access article distributed under the terms and conditions of the Creative Commons Attribution (CC BY) license (https://creativecommons.org/licenses/by/4.0/).
Share and Cite
Sun, Z.; Zhu, S.; Dong, W.; Ding, H.; Bai, Y.; Luo, Y.; Di, P. Geometric Influence of Hard Phase on Corrosion Performance between WC-Reinforced Coatings Prepared by High-Velocity Oxygen-Fuel Spray and Electric Contact Strengthening. Coatings 2021, 11, 694. https://doi.org/10.3390/coatings11060694
Sun Z, Zhu S, Dong W, Ding H, Bai Y, Luo Y, Di P. Geometric Influence of Hard Phase on Corrosion Performance between WC-Reinforced Coatings Prepared by High-Velocity Oxygen-Fuel Spray and Electric Contact Strengthening. Coatings. 2021; 11(6):694. https://doi.org/10.3390/coatings11060694
Chicago/Turabian StyleSun, Ze, Shigen Zhu, Weiwei Dong, Hao Ding, Yunfeng Bai, Yilan Luo, and Ping Di. 2021. "Geometric Influence of Hard Phase on Corrosion Performance between WC-Reinforced Coatings Prepared by High-Velocity Oxygen-Fuel Spray and Electric Contact Strengthening" Coatings 11, no. 6: 694. https://doi.org/10.3390/coatings11060694
APA StyleSun, Z., Zhu, S., Dong, W., Ding, H., Bai, Y., Luo, Y., & Di, P. (2021). Geometric Influence of Hard Phase on Corrosion Performance between WC-Reinforced Coatings Prepared by High-Velocity Oxygen-Fuel Spray and Electric Contact Strengthening. Coatings, 11(6), 694. https://doi.org/10.3390/coatings11060694
