Evaluation of the Wear Resistance and Corrosion Behavior of Laser Cladding Al/SiC Metal Matrix Composite Coatings on ZE41 Magnesium Alloy
Abstract
1. Introduction
2. Materials and Methods
3. Results and Discussion
3.1. Coatings Microstructure
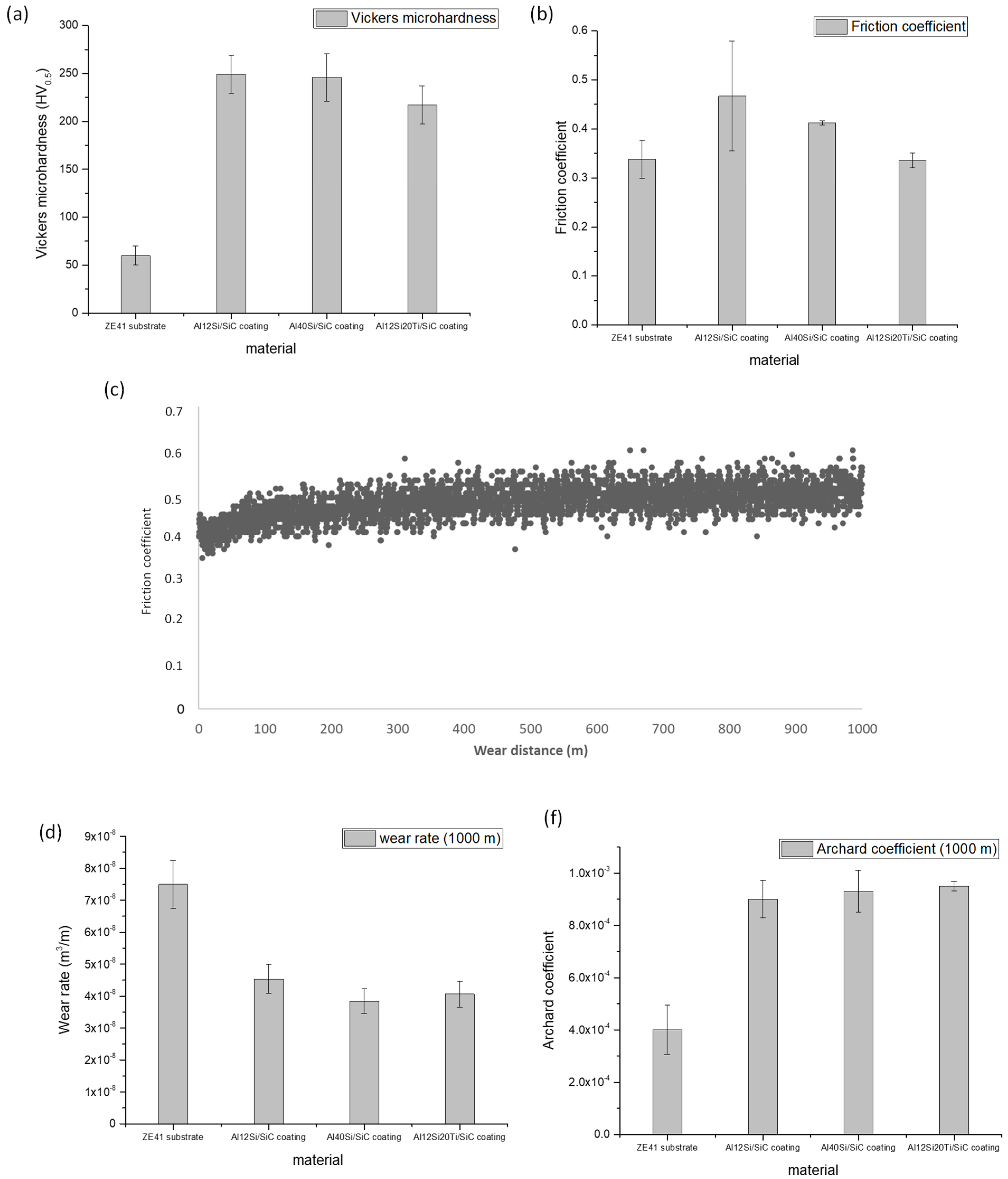
3.2. Wear Testing
3.3. Wear Mechanisms
3.4. Corrosion Products and the Corrosion Mechanism
3.5. Corrosion Products and the Corrosion Mechanism
4. Conclusions
Author Contributions
Funding
Institutional Review Board Statement
Informed Consent Statement
Data Availability Statement
Conflicts of Interest
References
- Dubourg, L.; Ursescu, D.; Hlawka, F.; Cornet, A. Laser cladding of MMC coatings on aluminium substrate: Influence of composition and microstructure on mechanical properties. Wear 2005, 258, 1745–1754. [Google Scholar] [CrossRef]
- Bodunrin, M.O.; Alaneme, K.K.; Chown, L.H. Aluminium matrix hybrid composites: A review of reinforcement philosophies; mechanical, corrosion and tribological characteristics. J. Mater. Res. Technol. 2015, 4, 434–445. [Google Scholar] [CrossRef]
- Gupta, M.; Gupta, N. The Promise of Magnesium Based Materials in Aerospace Sector History and Current Trends of Magnesium in Aerospace Sector. Int. J. Aeronaut. Aerosp. Res. Int. J. Aeronaut. Sci. Aerosp. Res. 2017, 4, 141–149. [Google Scholar]
- Dieringa, H.; Hort, N.; Letzig, D.; Bohlen, J.; Höche, D.; Blawert, C.; Zheludkevich, M.; Kainer, K.U. Mg alloys: Challenges and achievements in controlling performance, and future application perspectives. In The Minerals Metals and Materials Series; Springer: Cham, Switzerland, 2018. [Google Scholar]
- Zhang, L.; Xu, H.; Wang, Z.; Li, Q.; Wu, J. Mechanical properties and corrosion behavior of Al/SiC composites. J. Alloys Compd. 2016, 678, 23–30. [Google Scholar] [CrossRef]
- Sulaiman, S.; Marjom, Z.; Ismail, M.I.S.; Ariffin, M.K.A.; Ashrafi, N. Effect of Modifier on Mechanical Properties of Aluminium Silicon Carbide (Al-SiC) Composites. Procedia Eng. 2017, 184, 773–777. [Google Scholar] [CrossRef]
- Flanagan, S.; Main, J.; Lynch, P.; Vanderwiel, C.; Roth, J.T. A mechanical evaluation of an overaged aluminum metal-matrix-composite (2009 Al/SiC/15p MMC). Procedia Manuf. 2019, 34, 58–64. [Google Scholar] [CrossRef]
- Riquelme, A.; Rodrigo, P.; Escalera-Rodríguez, M.D.; Rams, J. Analysis and optimization of process parameters in Al-SiCp laser cladding. Opt. Lasers Eng. 2016, 78, 165–173. [Google Scholar] [CrossRef]
- Riquelme, A.; Escalera-Rodriguez, M.D.; Rodrigo, P.; Rams, J. Role of Laser Cladding Parameters in Composite Coating (Al-SiC) on Aluminum Alloy. J. Therm. Spray Technol. 2016, 25, 1177–1191. [Google Scholar] [CrossRef]
- Bieniaś, J.; Walczak, M.; Surowska, B.; Sobczak, J. Microstructure and corrosion behaviour of aluminum fly ash composites. J. Optoelectron. Adv. Mater. 2003, 5, 493–502. [Google Scholar]
- Yao, J.; Zhang, J.; Wu, G.; Wang, L.; Zhang, Q.; Liu, R. Microstructure and wear resistance of laser cladded composite coatings prepared from pre-alloyed WC-NiCrMo powder with different laser spots. Opt. Laser Technol. 2018, 101, 520–530. [Google Scholar] [CrossRef]
- Jiao, X.; Wang, C.; Gong, Z.; Wang, G.; Sun, H.; Yang, H. Effect of Ti on T15M composite coating fabricated by laser cladding technology. Surf. Coatings Technol. 2017, 325, 643–649. [Google Scholar] [CrossRef]
- Gao, T.; Wang, D.; Du, X.; Li, D.; Liu, X. Phase transformation mechanism of Al4C3 by the diffusion of Si and a novel method for in situ synthesis of SiC particles in Al melt. J. Alloys Compd. 2016, 685, 91–96. [Google Scholar] [CrossRef]
- Rams, J.; Ureña, A.; Campo, M. Dual layer silica coatings of SiC particle reinforcements in aluminium matrix composites. Surf. Coat. Technol. 2006, 200, 4017–4026. [Google Scholar] [CrossRef]
- Ureña, A.; Escalera, M.; Gil, L. Influence of interface reactions on fracture mechanisms in TIG arc-welded aluminium matrix composites. Compos. Sci. Technol. 2000, 60, 613–622. [Google Scholar] [CrossRef]
- Vreeling, J.A.; Ocelík, V.; Pei, Y.T.; Van Agterveld, D.T.L.; De Hosson, J.T.M. Laser melt injection in aluminum alloys: On the role of the oxide skin. Acta Mater. 2000, 48, 4225–4233. [Google Scholar] [CrossRef]
- Anandkumar, R.; Almeida, A.; Colaco, R.; Vilar, R.; Ocelik, V.; De Hosson, J.T.M. Microstructure and wear studies of laser clad Al-Si/SiC(p) composite coatings. Surf. Coatings Technol. 2007, 201, 9497–9505. [Google Scholar] [CrossRef]
- Han, N.; Pollard, G.; Stevens, R. Interfacial structure and fracture of aluminium alloy A356-SiC particle metal matrix composite. Mater. Sci. Technol. 1992, 8, 184–188. [Google Scholar] [CrossRef]
- Riquelme, A.; Rodrigo, P.; Escalera-rodríguez, M.D.; Rams, J. Characterisation and mechanical properties of Al/SiC metal matrix composite coatings formed on ZE41 magnesium alloys by laser cladding. Results Phys. 2019, 13, 102160. [Google Scholar] [CrossRef]
- Viala, J.C.; Bosselet, F.; Laurent, V.; Lepetitcorps, Y. Mechanism and kinetics of the chemical interaction between liquid aluminium and silicon-carbide single crystals. J. Mater. Sci. 1993, 28, 5301–5312. [Google Scholar] [CrossRef]
- Lloyd, D.J. Particle reinforced aluminium and magnesium matrix composites. Int. Mater. Rev. 1994, 39, 1–23. [Google Scholar] [CrossRef]
- Lee, J.-C.; Park, S.-B.; Seok, H.-K.; Oh, C.-S.; Lee, H.-I. Prediction of Si contents to suppress the interfacial reaction in the SiCp/2014 Al composite. Acta Mater. 1998, 46, 2635–2643. [Google Scholar] [CrossRef]
- Wu, H.; Cui, X.P.; Geng, L.; Fan, G.H.; Pang, J.C.; Wei, L.S. Fabrication and characterization of in-situ TiAl matrix composite with controlled microlaminated architecture based on SiC/Al and Ti system. Intermetallics 2013, 43, 8–15. [Google Scholar] [CrossRef]
- Lu, X.-H.; Yang, Y.Q.; Liu, C.X.; Yan, C.H.; AI, Y.L. Kinetics and mechanism of interfacial reaction in SCS-6 Sic continuous fiber-reinforced Ti-A1 intermetallic matrix composites. Trans. Nonferrous Met. Soc. China 2006, 16, 77–83. [Google Scholar] [CrossRef]
- Schuster, J.C.; Palm, M. Reassessment of the binary Aluminum-Titanium phase diagram. J. Phase Equilibria Diffus. 2006, 27, 255–277. [Google Scholar] [CrossRef]
- Lim, C.Y.H.; Lim, S.C.; Gupta, M. Wear behaviour of SiCp-reinforced magnesium matrix composites. Wear 2003, 255, 629–637. [Google Scholar] [CrossRef]
- Reddy, L.; Preston, S.P.; Shipway, P.H.; Davis, C.; Hussain, T. Process parameter optimisation of laser clad iron based alloy: Predictive models of deposition efficiency, porosity and dilution. Surf. Coat. Technol. 2018. [Google Scholar] [CrossRef]
- Torres, B.; Taltavull, C.; López, A.J.; Campo, M.; Rams, J. Al/SiCp and Al11Si/SiCp coatings on AZ91 magnesium alloy by HVOF. Surf. Coat. Technol. 2015. [Google Scholar] [CrossRef]
- Torres, B.; Rodrigo, P.; Campo, M.; Ureña, A.; Rams, J. Oxy-acetylene flame thermal spray of Al/SiC p composites with high fraction of reinforcements. J. Therm. Spray Technol. 2009, 18, 642–651. [Google Scholar] [CrossRef]
- Rodrigo, P.; Campo, M.; Torres, B.; Escalera, M.D.; Otero, E.; Rams, J. Microstructure and wear resistance of Al-SiC composites coatings on ZE41 magnesium alloy. Appl. Surf. Sci. 2009, 255, 9174–9181. [Google Scholar] [CrossRef]













| Product | Supplier | D50 (µm) | ρ (g·cm−3) |
|---|---|---|---|
| Al 12 wt.% Si | Metco 52C-NS | 71 | 2.7 |
| SiC | Navarro S.A F−360 | 26 | 2–2.3 |
| Si | Alfa Aesar | 44 | 2.3 |
| Ti | Alsa Aesar | 100 | 4.5 |
| Percentage | Abbreviated Name |
|---|---|
| Al1 2 wt.%Si-0 wt.% SiC | Al12Si/SiC |
| Al 40 wt.%Si-30 wt.% SiC | Al40Si/SiC |
| Al12Si wt.%−20 wt.% Ti-30 wt.%SiC | Al12Si20Ti/SiC |
| Laser Power (W) | Scan Speed (mm/s) | Distance between Consecutive Laser Lines (mm) | Powder Feed Rate (g/min) | Focal Position of the Laser Beam (mm) |
|---|---|---|---|---|
| 650 | 17 | 0.7 | 3 | 0 |
Publisher’s Note: MDPI stays neutral with regard to jurisdictional claims in published maps and institutional affiliations. |
© 2021 by the authors. Licensee MDPI, Basel, Switzerland. This article is an open access article distributed under the terms and conditions of the Creative Commons Attribution (CC BY) license (https://creativecommons.org/licenses/by/4.0/).
Share and Cite
Riquelme, A.; Rodrigo, P.; Escalera-Rodriguez, M.D.; Rams, J. Evaluation of the Wear Resistance and Corrosion Behavior of Laser Cladding Al/SiC Metal Matrix Composite Coatings on ZE41 Magnesium Alloy. Coatings 2021, 11, 639. https://doi.org/10.3390/coatings11060639
Riquelme A, Rodrigo P, Escalera-Rodriguez MD, Rams J. Evaluation of the Wear Resistance and Corrosion Behavior of Laser Cladding Al/SiC Metal Matrix Composite Coatings on ZE41 Magnesium Alloy. Coatings. 2021; 11(6):639. https://doi.org/10.3390/coatings11060639
Chicago/Turabian StyleRiquelme, Ainhoa, Pilar Rodrigo, María Dolores Escalera-Rodriguez, and Joaquín Rams. 2021. "Evaluation of the Wear Resistance and Corrosion Behavior of Laser Cladding Al/SiC Metal Matrix Composite Coatings on ZE41 Magnesium Alloy" Coatings 11, no. 6: 639. https://doi.org/10.3390/coatings11060639
APA StyleRiquelme, A., Rodrigo, P., Escalera-Rodriguez, M. D., & Rams, J. (2021). Evaluation of the Wear Resistance and Corrosion Behavior of Laser Cladding Al/SiC Metal Matrix Composite Coatings on ZE41 Magnesium Alloy. Coatings, 11(6), 639. https://doi.org/10.3390/coatings11060639

