Abstract
The stray fields produced by ferromagnetic layers in Superconductor/Insulator/Ferromagnet (S/I/F) heterostructures may strongly influence their superconducting properties. Suitable magnetic configurations can be exploited to manipulate the main parameters of the hybrids. Here, the nucleation of the superconducting phase in an external magnetic field that periodically oscillates along the film width is studied on the base of the numerical solution of the linearized system of Usadel equations. In addition, the effect of the magnetic configuration of the F-layer on the temperature dependence of the critical current density, Jc(T), is investigated in the framework of the Ginzburg–Landau phenomenological theory on the base of the oscillating model of a stray field. By following this approach, the Jc(T) dependence of a Nb/SiO2/PdNi trilayer is reproduced for different magnetic configurations of the PdNi layer.
1. Introduction
The literature devoted to the investigation of the interplay between superconductivity and ferromagnetism in artificial heterostructures is very rich, due to both the fundamental and applicative interest to Superconductor (S)/Ferromagnet (F) hybrids [,,,]. One of the most interesting problems concerns the role of the stray fields produced by the F-layers on the superconducting properties of S/F samples [,,,]. In fact, due to the influence of an inhomogeneous external magnetic field on the superconducting order parameter, a new class of phenomena in the physics of superconductors has been observed. On the other hand, the spatial inhomogeneity of the stray fields, generated by a ferromagnet located in intimate contact with a superconductor, represents a challenging problem in describing the superconducting properties of such S/F systems.
In this regard, the first experiments [,,,,,,] focused on the study of the Abrikosov vortex-lattice and its pinning properties in a superconducting film subjected to the non-uniform stray field produced by either a system of magnetic inclusions (particles, dots, nanorods, etc.) or an F-layer [,,,,,,,,,,,]. More recently, the properties of proximity-coupled S/F hybrids have been studied in a great detail and superconducting spintronic devices have been proposed [,,,,,,,,,,]. One of the main ingredients to control the superconducting state in these systems is the change of the direction and/or amplitude of the magnetization of the F-layer. In this tuning process, demagnetized and remanence (both in- and out-of-plane) states may cause unaccounted effects [,].
Moreover, the presence of an inhomogeneous magnetic field, as the one due to stray fields, makes it difficult to solve the problem of the nucleation of the superconductivity in a thin film. This task was studied in S/I/F systems (here “I” indicates an insulating layer). In most of the works, the theoretical investigation was performed in the framework of the Ginzburg–Landau (GL) theory [,,,,,,,,,,,] (except in the case of reference [], where the possibility of triplet superconductivity induced by the domain walls was considered). One of the most interesting results was the prediction of maxima in the Tc as a function of the external homogeneous magnetic field H0. These maxima can be asymmetric for different orientations of the applied field with respect to the plane of the sample. Apart from this, the location (relative to the domain wall) and the shape of the superconducting nuclei was studied []. In the case of stripe domains, when the field close to the ferromagnet can be approximated by a step function, the nucleation in the S-film is similar to the case of S/N structures (N is a normal metal) [,,].
Another problem, which received great attention, was the study of the critical current density, Jc, of a superconductor in the presence of magnetic interactions. In particular, the increase of Jc due to the magnetic pinning of vortices was analyzed. Peaks in the Jc(H0) dependence due to the matching effect, predicted in reference [], were observed in numerous experiments [,,,,]. These data, along with the numerical analysis performed in [], proved the ability to influence the critical current in a controlled manner. Moreover, measurements of the critical currents in layered S/I/F [] and S/F [] hybrids demonstrated a nontrivial dependence of Jc on the magnetic state of the ferromagnet, especially at temperatures significantly smaller than Tc.
From the theoretical point of view, it is worth emphasizing that the presence of an inhomogeneous magnetic field, H(r), makes it extremely difficult to both formulate and solve the problems related to the properties of the vortex matter, the nucleation of the superconducting phase at a critical field Hc(r), and the vortex-free state at weak magnetic fields.
In this paper, we consider two problems related to the critical parameters of a superconductor in a non-uniform magnetic field in a S/I/F hybrid. The first one is related to the nucleation of the superconductivity and the second concerns the study of the temperature dependence of the critical current density, Jc(T), in a vortex-free superconducting film. The problem of the nucleation of the superconductivity in the presence of an inhomogeneous stray field is formally considered as the problem of the upper critical amplitude of an “elementary” external inhomogeneous field. The strength of the field is assumed to have a sinusoidal shape. This kind of approach was already proposed and investigated experimentally in reference [] in the framework of the GL theory for two limiting cases, i.e., for great and small amplitudes of the magnetic field. In reference [] the GL equations were solved numerically in the case of a uniform and periodical field, modelled by a step-like periodic function. A two dimensional problem was solved within the framework of the phenomenological GL theory in reference [] assuming a periodic repetition of a solution for the stray field of a domain wall []. In this work, we solve the problem for an elementary periodic model of an inhomogeneous magnetic field in the framework of the microscopic theory of superconductivity applying the formalism of the Usadel equations. In our case, the results are valid for the entire temperature range, from Tc down to 0 K. The second task is related to the determination of the Jc(T) dependence in the case of an S/I/F hybrid where F is a weak ferromagnet and I is a sufficiently thick layer. Therefore, the magnitude of the stray field is weak enough to induce vortex nucleation in the superconductor. The configuration of the stray field was experimentally varied by applying an appropriate magnetizing/demagnetizing procedure which creates in- or out-of-plane remanence states (IPR- and OPR-states, respectively), as well as fully demagnetized state (D-state). We demonstrate that in all the magnetic states the spatial profile of the stray fields can be described by a smooth function that can be well approximated by several terms of a Fourier series. This justifies the use of the proposed elementary model for qualitative estimations. Under these assumptions, we were able to qualitatively explain the difference in the measured Jc(T) dependencies for different magnetic states in the framework of the GL formalism.
2. Experimental
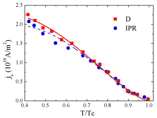
In the S/I/F system under study the superconducting and ferromagnetic layers of equal thickness dS = dF = 30 nm are separated by a 20-nm-thick SiO2 film. Here, PdNi is a dilute ferromagnetic alloy with composition Pd84Ni16, and Nb was used as a superconductor. The heterostructure is deposited on a Si(100) substrate by sputtering technique in three different steps. First, a layer of Nb was sputtered on a silicon substrate by dc magnetron. Then the SiO2 barrier was realized by RF sputtering (MRC 8602), breaking the vacuum. Afterwards, the final PdNi layer was deposited by dc sputtering [,]. A sketch of the resulting substrate/Nb/SiO2/PdNi trilayer is shown in the inset of Figure 1. Finally, the sample was patterned by lift-off into a strip of width w = 20 μm and length l = 300 μm. All the transport measurements were performed in a 4He cryostat by following the same procedure described in reference []. The Jc values were determined applying the 3 mV/m electric field criterion. The critical temperature of the trilayer is Tc ≈ 4.5 K, smaller when compared to the corresponding proximized Nb/PdNi hybrid investigated in reference [] (TcNb/PdNi ≈ 6 K). This result can be attributed to the vacuum breaking during the deposition and the lift-off procedure. The estimated low-temperature resistivity of the Nb film is ρ ≈ 20 μΩ·cm, while the superconducting coherence length is ~ 9–10 nm [], which results in a Ginzburg–Landau (GL) coherence length at T = 0 ~ 14–16 nm. This means that the ratio varies in the range 1–1.6 over the entire temperature range of measurements, so that the Nb layer can be considered as a thin film. Jc was measured as a function of the temperature for three different magnetic configurations of the PdNi layer. The demagnetized state (D) is reached by cooling the as-grown sample from room temperature without any applied magnetic field. The IPR (OPR) state is obtained by first warming the sample above the PdNi Curie temperature, TCurie ≈ 190 K [], then cooling it down to T = 4.2 K, and later applying a parallel (perpendicular) magnetic field well above the saturation field in order to magnetize the PdNi layer. Finally, the field is switched off. Jc(T) is always measured in the absence of the magnetic field. In Figure 1 we show the dependence of Jc as a function of T measured for the three magnetic states. It follows that the Jc(T) dependencies coincide for all states from Tc down to T ≈ 4 K. In addition, only a slight difference can be observed between the critical current densities in the D and IPR states for lower temperatures, while the OPR state is characterized by more reduced values of Jc. This result is radically different from the one reported in reference [], where a pronounced dependence of the Jc(T) values for the three different configurations was observed. In particular, the relation JcOPR < JcIPR < JcD was fulfilled in the entire measured temperature range.

Figure 1.
Critical current density as a function of the temperature for the three different magnetic configurations described in the text. Inset: schematic representation of the sample under study.
3. Stray Fields of PdNi
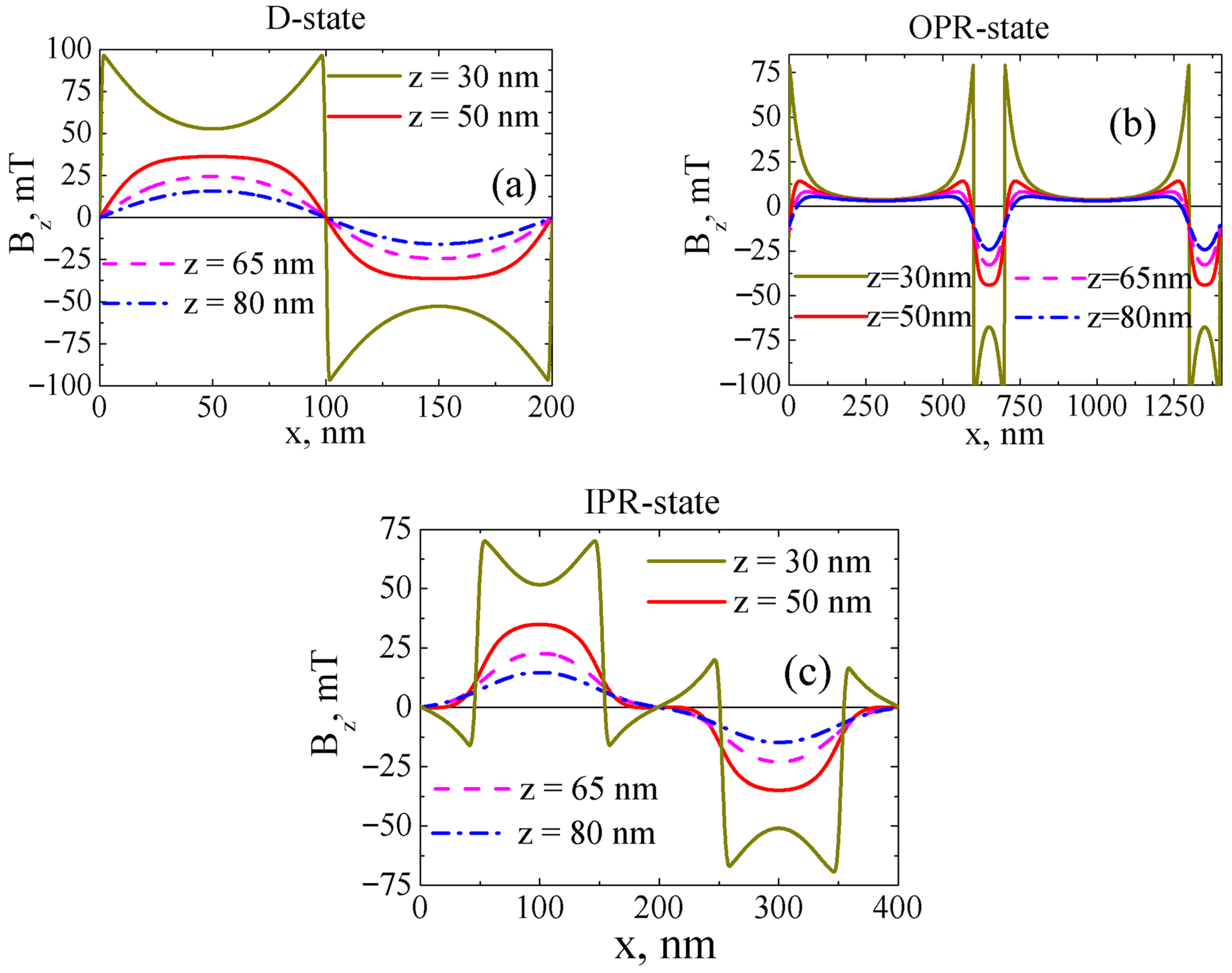
Before analyzing the problem of the nucleation of the superconductivity in the presence of an inhomogeneous magnetic field, we focus on the magnetic properties of the PdNi layer and the produced stray fields. From the magnetization measurements presented in reference [] it is μ0M||sat ~ 0.15 T and μ0M⊥sat ~ 0.2 T, where M||(⊥),sat is the in-plane (out-of-plane) saturation magnetization. Moreover, according to the data given in references [] and [] concerning the magnetocrystalline anisotropy of Pd81Ni19 and Pd88Ni12 films, respectively, we can assume that in the IPR (OPR) state of PdNi layer of the heterostructure under study it is μ0M||,rem ≈ 30% μ0M||sat (μ0M⊥,rem ≈ 70% μ0M⊥,sat). As far as the domain structure of the PdNi film is concerned, it is widely assumed that in the D state the PdNi layer is arranged in randomly oriented domains of average diameter of about dd ≈ 100 nm, with a domain wall size not larger than dw ≈ 10 nm []. Moreover, the perpendicular magnetic anisotropy (PMA) of thin PdNi films [,] implies the out-of-plane magnetization of domains in the D state. Perpendicular magnetization of domains is typical for thin films of ferromagnets with PMA [,,,,]. This information is needed to estimate the distribution of the (orthogonal) z-component of the induction field, Bz, of the F-layer in the D, OPR, and IPR states. Therefore, for simplicity we assume a periodic domain lattice [,] in agreement with what reported for another weak ferromagnetic alloy with out-of-plane magnetization, such as Cu47Ni53 []. The calculated distribution of Bz(x) is shown in Figure 2 for the profile y = 0 for some representative values of z. In particular, the dark yellow lines show the field on the surface of the ferromagnet (z = 30 nm), namely the stray field present at the S/F interface in proximity coupled systems. It is evident that in this case the stray fields are rather intense (~100 mT) with a large gradient at the domain edges. The other simulations refer to other characteristic values of z, namely at the SiO2/Nb interface (z = 50 nm), and in the middle (top surface) of the Nb layer [z = 65 nm (z = 80 nm)] (see inset of Figure 1).

Figure 2.
Distribution of the orthogonal component of the stray magnetic field Bz versus x for y = 0 in the D (a), OPR (b) and IPR (c) states of the PdNi film and for different values of z.
In the D state, the amplitude of the stray field decreases with distance from the ferromagnetic layer from 36.5 mT at z = 50 nm (at the SiO2/Nb interface) to 25.0 mT at z = 65 nm (namely in the middle of the Nb layer) and 16.5 mT at z = 80 nm. The field strength in the OPR state is on average about 4 mT over positive domains and varies in amplitude from 24 mT to 44 mT over negative domains. In the IPR state, regions with sufficiently large field values alternate with regions of the same size with a zero z-component of the field. In this configuration the amplitude of the stray fields is 35 mT at z = 50 nm, 23 mT at z = 65 nm, and 15 mT at z = 80 nm. Some important observations can be mentioned. The D and IPR states are both characterized by dd ≈ 100 nm and symmetric field distributions, i.e., for a regular domain structure, each region with a positive field corresponds to exactly the same region with a negative field. On the contrary, in the OPR state the dimensions of the domains depend on the field polarity, with larger positive domains of about dd ≈ 600 nm. Here, the stray field is very weak over positive domains and sharply increases in magnitude in the region of negative domains. Moreover, from the calculations it emerges that the presented characteristic values of the stray fields weakly depend on the distribution of domains in the XOY plane (this is explained by the fact that the structure is effectively infinite in the OX and OY directions). Finally, from the simulations it emerges that the periodicity of the magnetic profiles changes in the different states, the period, d, being 200, 400, and 700 nm in the D, IPR, and OPR states, respectively.
In the following, we consider the values of the stray fields experienced by the superconductor. It is worth noticing that our case differs from those considered in the literature since here the insulating layer which separates the S and F ones is rather thick (dI = 20 nm), and of the order of dF. As a result, the stray fields are significantly weakened in the S-layer. We empirically determine the characteristic values of B for each magnetic configuration as the maximum value assumed by the stray field in the middle of the S layer. For instance, Bz,OPR+ ~ 8 mT (Bz,OPR− ~ 30 mT) is the maximum value of the field induction in the middle of the S layer over “positive” (“negative”) domains in the OPR state, while Bz,D ~ Bz,IPR ~ 20 mT is the stray field strength in the D and the IPR states. The first question here is, how strongly does such a field depress Tc? By following reference [], the shift in Tc due to the “orbital effect”, namely the difference between the critical temperature at zero field and the one in the presence of the stray field, can be expressed as ΔTcorb = Tco – Tc = Tco(ξGL(0)/L)2, where a characteristic length L = (Φ0/2πB0)1/2 is introduced. For the above-mentioned configurations, it is LOPR+ ~ 200 nm, LOPR− ~ 105 nm, and LD ~ LIPR ~ 130 nm. Therefore, by considering an average stray field value of about 30 mT and Bc2(T) ~ 3 T, the largest critical temperatures suppression is ΔTc ~ Tc⋅0.01 < 0.05 K for our system. Summarizing, since the stray fields are significantly smaller than the upper critical field, it results that the “orbital effect” is negligible here, as it can be inferred from Figure 1, where the Jc(T) dependence for the three configurations goes to zero at the same temperature.
4. Superconductivity in Presence of Inhomogeneous Magnetic Fields
This section is devoted to the influence of the magnetic fields previously derived on the superconducting state. It is known that the distribution of the stray field for a ferromagnetic slab is determined by the relation between its thickness dF and the distance between the domain walls [,,]. When dw << dF << dd, the resulting distribution produces only a local suppression of the superconductivity in a region of the order of dd above the domain wall []. These conditions can be considered fulfilled in the case of the Nb/SiO2/PdNi tri-layer under study. Indeed, we have just seen that the stray field in the superconductor region is quite weak and has small effect on the critical temperature. In the next section, we will investigate the problem of the critical magnetic field in presence of an oscillating stray field. We can name this new concept “critical inhomogeneous field”.
4.1. Stray Field Induced Distribution of the Superconducting Condensate
As already mentioned in the introduction, the problem of the nucleation of the superconductivity in a periodic magnetic field was first formulated in reference [] and further considered in [,] on the base of the approximate solution of GL equations. Here, the same problem is formulated and solved in the framework of the Usadel equation formalism, which is valid over the entire temperature range from 0 to Tc.
In the elementary model, the induction field is orthogonal to the surface of the film and changes along one of the planar axes (OX) with periodicity d according to the oscillating law Bz = B(x, z) ≈ B0 cos(πx/d). This field is associated to the vector-potential A(r) = (0, Ay(x), 0), where Ay(x) = (B0d/π)sin(πx/d). This model is not only formal. Indeed, such a periodic field can be created by a stripe periodic domain structure with perpendicular magnetic anisotropy and alternating signs of the magnetic moments of stripes of width d [,,,]. However, it is obvious that this model is not suitable to describe the magnetic stray fields generated in the OPR state. Indeed, in this case, due to the relatively strong remanence, the magnetic profile of a domain strip is quite complex, namely, the periodic function B(x) cannot be well approximated even considering several terms of the Fourier series (see Figure 2). The critical state of the superconductivity of the film is derived in the diffusive limit within the formalism of a linearized system of Usadel equations for the anomalous Green’s functions Fω(r) (ħω = πkBT(2n + 1), ħ is the reduced Planck constant, kB is the Boltzmann constant, n = 0, 1, 2...) []. Given the expression of A(r) (see above), this system is reduced to the equation for a single function Ψ(x/ξ) by the substitution Fω(r) = c ω eiky/Ψ(x/ξ):
where the scaled coordinate τ ≡ x/ξ and the scaled field B2 ≡ Φ0/2πξ2 are introduced. Furthermore, k is the superfluid velocity parameter [], ν = πξ/d is the wave number, and cω are the coefficients that satisfy a homogeneous system of linear algebraic equations. The condition of the existence of a nontrivial solution of this system leads to the characteristic equation for :
where is the digamma-function [] and TS is the critical temperature of the isolated film. The solution of Equation (2) is expressed by the De Gennes universal function (T) = Un(T/TS)/(2π) [], which monotonically decreases with T. Therefore, the problem of the largest (i.e., critical) temperature, for which a bounded solution of the Equation (1) exists, is equivalent to the problem of the minimum of . Note that Equation (1) belongs to the class of Hill equations that have been studied in detail (see, e.g., reference []), so only the main results of the calculations and their physical interpretation are given here.
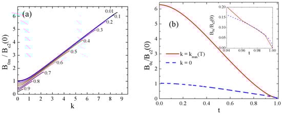
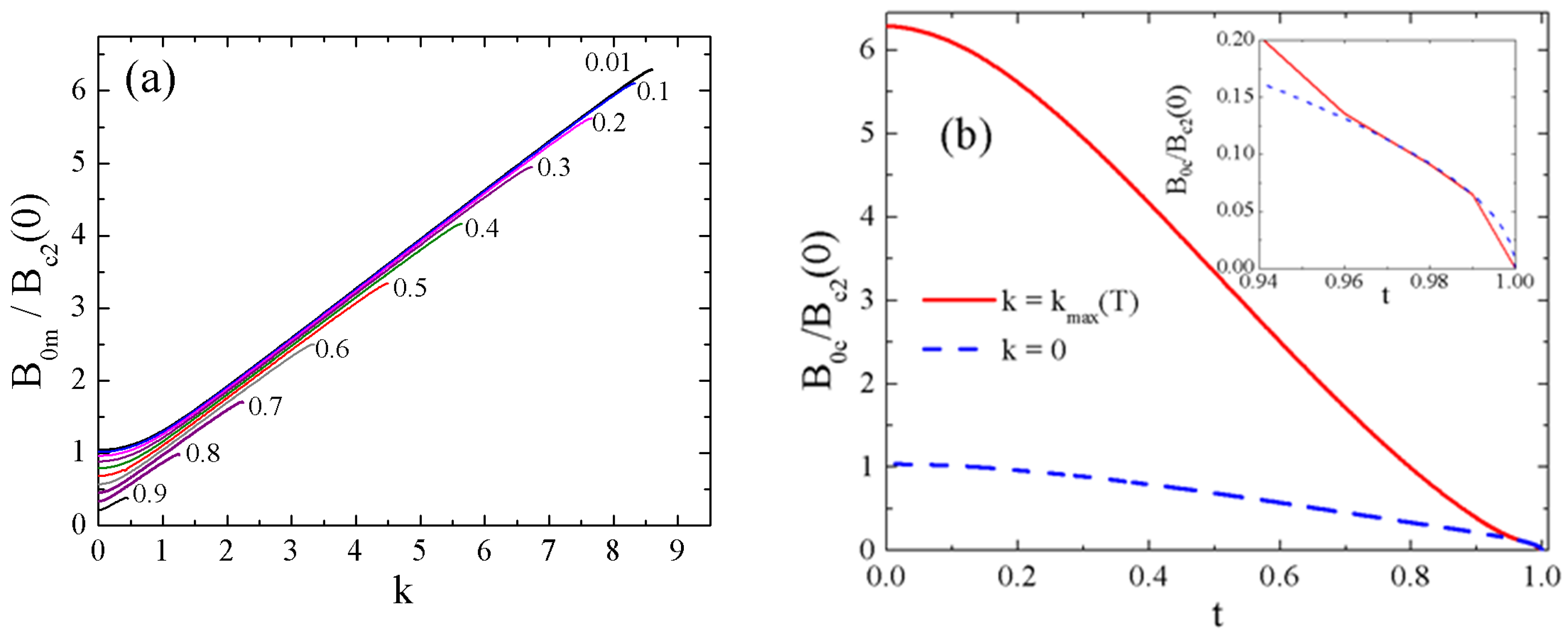
First of all, we reformulate the problem of the minimum of μ as the problem of the maximum of the amplitude B0, which depends on three parameters, namely ν, T and k. Then, the following algorithm was used. For a given wave number ν, we look for the maximum value of the parameter B0, which we denote as B0m(T; k), since it depends on both k and T. Afterwards, for a fixed temperature we determine the k value, which corresponds to the maximum of B0m(T; k). This will be the critical amplitude B0c(T). Thus, for each ν we have a family of B0m(T; k) curves from which we extract the characteristic B0c(T). An example of such a calculation is shown in Figure 3 for ν = 0.2, a value comparable with the one calculated for our S/I/F system. In particular, Figure 3a shows the family of characteristics B0m(T; k) for fixed values of the reduced temperature t = T/TS in the interval 0.01–0.9. Figure 3b shows the extracted critical characteristics B0c(T) compared to the dependence obtained for k = 0 (the physical meaning of this value will be explained below), denoted as B0m(T; k = 0).

Figure 3.
Dependence of the scaled critical amplitude of the magnetic field for ν = 0.2 on (a) the superfluid velocity parameter k at various reduced temperatures t = T/TS reported as a label, (b) on the reduced temperature t for k = 0 and kmax(T). Inset shows the enlarged region close to TS.
The characteristic obtained in the particular case ν = 0.2, reflects the form of the dependence of B0c(T) obtained also for other values of the wave number ν. At the same time, by considering the left side of Equation (1), we can formulate the following statements about two limiting behaviors:
- (i)
- for ν → ∞ (d → 0) the influence of the magnetic field disappears;
- (ii)
- in the limit d → ∞ (ν → 0), for arbitrary τ << ν−1 the periodic function in Equation (1) becomes linear. This means that the dependence B0m(T; k = 0) merges with the characteristic Bc2(T) (the upper critical field of an isolated film). This limit is reached for d ≳ 2πξ (ν ≲ 0.5).
Moreover, important considerations can be derived by analyzing Figure 3b. First, the critical field B0c(T) is significantly larger than the upper critical field Bc2(T) over almost the entire temperature range. This result demonstrates that the definition of the critical parameters in a nonhomogeneous magnetic field is not trivial. Next, from Figure 3b we see that the critical state corresponds to kmax(T) ≠ 0 in the same T range. Finally, only in the immediate vicinity of TS, the value k = 0 gives the maximum to the function B0m(T; k), and this maximum almost coincides with Bc2(T). This result is presented in the inset of Figure 3b. In this temperature range our results almost coincide with the ones of reference []. It is clear in view of the fact that in the latter case (i.e., in the region of the applicability of the GL theory) and for small values of ν, Equation (1) reduces to the equation for the upper critical magnetic field.
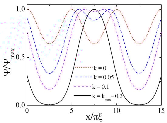
The process of nucleation becomes clear as soon as we consider the “evolution” of the condensate wave function Ψ(x) while moving along the B0m(T; k) curve at a fixed temperature.
In Figure 4 we show the functions Ψ(x) calculated at the same ν = 0.2 and for the reduced temperature t = 0.92 for different values of k from zero up to kmax.

Figure 4.
Superconducting wave function of a film in the presence of a magnetic field, B0(k)cos(x/5ξ), for different values of the superfluid velocity parameter k.
As follows from Figure 4, as soon as the superfluid velocity parameter k becomes non-zero, the topology of the wave function changes. Namely, from being d-periodic it becomes 2d-periodic with two adjacent maxima. Further, as the parameter k increases, the neighboring maxima of the wave function converge in pairs, with the minimum between them being smoothed out while the minimum between the pairs deepens. At last, at the critical point, kmax, two neighboring maxima merge, and the minima between the pairs touch the abscissa axis. Therefore, we can say that a 2d periodic lattice of superconducting phase nuclei is formed at the critical point. From a physical point of view, it means that, when the magnetic field amplitude increases above the value of Bc2(T), the condensate acquires a phase multiplier eiky/ξ, with a corresponding redistribution of the superconducting current, to minimize the effect of the magnetic field on the superconducting nuclei; this is a general property of inhomogeneous superconductivity.
4.2. Superconducting Critical Current of a Thin Film in a Periodic Magnetic Field
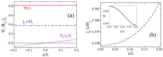
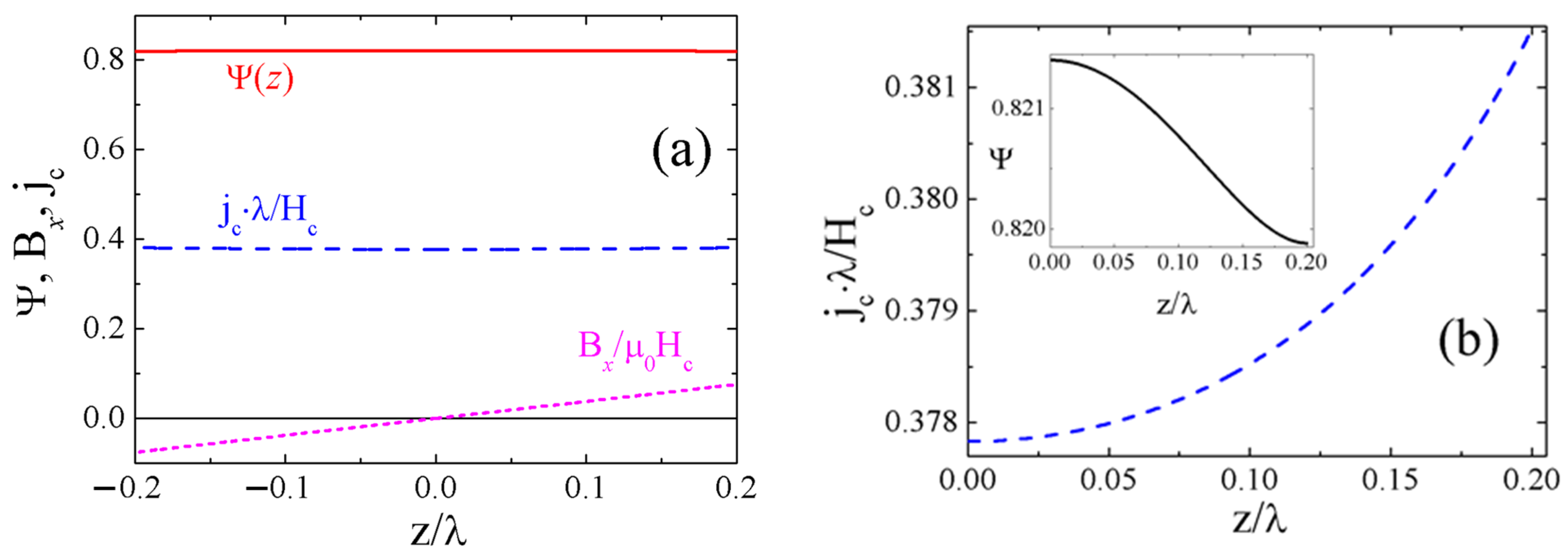
Now we can qualitatively examine the experimental dependences Jc(T) of Figure 1. Analyzing the experimental S/I/F structure, we assume an approximation of the uniform distribution of the condensate over the thickness of the unperturbed S-film. To validate this assumption, we calculate the scaled critical current density of the isolated S film, jc (directed along the OY axis), the distribution of the magnetic field due to the current, Bx, and the condensate wave function. As an example, Figure 5 demonstrates the result obtained by solving numerically one-dimensional GL equations (see, for example, reference []) with κ = (λ/ξGL) = 10 (λ is the magnetic field penetration depth) and dS = 4ξGL.

Figure 5.
(a) The condensate wave function, Ψ, the critical current density, Jc, and the magnetic field induction Bx in the S-film. (b) The current distribution in the S film. Inset: the wave function Ψ in the region z > 0 on an enlarged scale. Hc is the thermodynamic critical field.
It follows from the Figure 5 that the total change in the condensate wave function does not exceed 0.5%; therefore, the critical current density is determined by the classical formula of the GL theory. This confirms the validity of the approximation of a uniform condensate distribution for the considered dS thicknesses. It is worth noting that as soon as we take into account the finite size of the film in the OX direction (perpendicular to the current), a complex question about the vortex phase immediately arises. In the following, we assume that the film is infinite in the OX direction and, consequently, edge effects are not taken into account [].
Therefore, by following the oscillating model of the stray field, we can write the expression for the dimensionless current density j of the GL model in the following form:
Here, the normalized current density is defined as j ≡ J/Jsc, where Jsc = Bc2/(μ0ξGL). Further, contrary to Equation (1), the quantities τ, νGL, are rescaled with respect to ξGL(T) and natural scale Bc2(T) = Φ0/2πξGL2(T) is used for the critical magnetic field. (Now the wave number is expressed as νGL(T) = πξGL(T)/d.) Note that for B0 = 0, as it is obvious, the classical law for the temperature dependence of the critical current density Jc(T) ~ (1 − T/Tc)3/2 [,,] follows directly from Equation (3) by simply taking into account the temperature dependence of the used scales.
Now let us pay attention to the value of the ratio b0 ≡ B0/Bc2(T) in Equation (3). By using the values of the stray fields evaluated in Section 3, we obtain that b0 is of the order of 0.01 at T = 0 K. Furthermore, taking into account the previously given values d ~ 100 (200) nm for the D (IPR) state and ξGL(0) ~ 15 nm, we get νGL,D(0) ~ 0.5 for the D state and νGL,IPR(0) ~ 0.25 for the IPR state (see the profiles distribution of the stray field in Figure 2). In addition, it should be emphasized that, according to reference [], the low critical magnetic field is determined by the domain size which in our case is of the order of 100 nm, namely smaller than λ []. In other words, the average value of the stray field on the half-period is smaller than the low critical magnetic field. Therefore, the possibility of the vortex–antivortex pairs nucleation can be ignored. As a result, it reasonable to assume that almost in the entire temperature range, the stray fields weakly perturb both the order parameter modulation and the uniformly distributed current. For this reason the temperature dependence of the average measured critical current density, ⟨j⟩, can be evaluated by the variation principle for the GL functional [] using a trial function (the term proportional to cos(νGLτ) vanishes). Substituting the derived constants ψ0, ψ1 in the expression for j, followed by the routine procedure of averaging and, further, maximizing ⟨j⟩ in the parameter k, with an accuracy of the third order in the parameter (b0/νGL), we finally get the expression in the usual measurement units.
Here the constant J0 is the critical current density of an isolated S film at T = 0. The positive quantity φ(νGL(T)) is determined by the expression , where an and c0 are numbers of order of unity. Since φ(νGL(T)) only moderately changes in the interval T ∈ [0,Tc] and the parameter νGL2(0) is small, it is reasonable to assume φ(νGL(T)) ≈ φ0 = const.
In accordance with Equation (4), for the relative difference ΔJc(T) = Jc,D(T) − Jc,IPR(T) of critical currents Jc,D(T) and Jc,IPR(T) describing D and IPR states, respectively, we estimate ΔJc(T)/Jc,D(T) ≈ 3φ0⋅(b0/νGL,D)2(1 − T/Tc) (here νGL,D = 2νGL,IPR). The result of the fitting procedure to the Equation (4) for Jc(T) for two states, D and IPR, is shown in Figure 5. It results that the proposed model reproduces the overlap of the Jc,D(T) and Jc,IPR(T) curves close to Tc and their small difference at low temperatures, with the critical current density for the D state laying above the one for the IPR state, as expected. It is worth underlining that the quantitative agreement of the theoretical dependences of the critical current density with the corresponding experimental characteristics can be achieved by the implementation of a theoretical model based on the formalism of the Usadel equations. The meaning of the estimations of the Jc(T) is that the observed equality of Jc close to Tc and difference when the temperature decreases can be easily explained by the interplay between the νGL,D(0) and νGL,IPR(0) on one side and the term (1 − T/Tc) in Equation (4) on the other side. When T tends to Tc, the difference between νGL,D(0) and νGL,IPR(0) can be neglected in Equation (4), whereas this is not true at low T. Thus the morphology of the stray field enters the temperature dependence of the critical current density in S/I/F hybrids. It is necessary to underline that the observed effect could be important in the vortex-free state. In this regard, we pay attention on the Jc,OPR(T) dependence in Figure 1, which was not fitted in Figure 6. In this case, it is difficult to talk about the vortex-free state, since we have a fairly large size of the “positive” domains and the stray field over the negative domains is quite large. As a result, the elementary model is not applicable, i.e., the consideration of this case does not fit the format of this work. This issue, together with the full theoretical explanation of the Jc,OPR(T) curve, will be the subject of a future work.

Figure 6.
Critical current density as a function of T/Tc measured for the Nb/SiO2/PdNi trilayer in the magnetic configurations labeled as D (squares) and IPR (circles). Lines are the results of the modeling for the corresponding states, indicated by thick solid red and thin dashed blue lines, respectively.
5. Conclusions
The nucleation of superconductivity in strongly nonuniform magnetic field is a challenging problem. Here we made a progress on the idealized case of weak sinusoidal magnetic field created by a thin ferromagnet layer in S/I/F hybrid. The I-layer thickness is such that the magnetic field created by a dilute F in the D- and IPR-states does not exceed the first critical magnetic field of superconductor. Thus we exclude the process of vortex-antivortex pair formation, which inevitably distorts the topology of the pair wave function. As a result, two problems were solved.
First, within the formalism of the Usadel equations we made accurate predictions for important properties of the critical amplitude of the non-uniform magnetic field and its temperature dependence. Only close to the critical temperature B0c ≈ Bc2 in thin S-film, whereas at t << 1 it is B0c >> Bc2. This effect can be understood as a result of redistribution of the superconducting current in a strongly non-uniform magnetic field to minimize its effect on the superconducting nuclei.
Second, considering the same periodic modulation for the amplitude of the magnetic field, the qualitative explanations for the Jc(T) dependencies for the D- and IPR-states have been provided in the framework of the GL theory. The equality of the critical currents near the Tc and lower Jc values for the IPR-state with respect to that for D-state at T << Tc are explained through the difference in the period of the stray field modulation in these two states, and demonstrate that smaller period has a greater impact on Jc.
On the base of these results, the perspectives of this work can be delineated. In particular, in the case of S/I/F systems with variable thickness of the different layers, the control of the magnetic state of the F layer may give important indications for the realization of samples with tunable Jc(T). The suitable choice of both the thickness and the materials may help in the design of S/I/F switching devices. The approach we used is quite general and can be employed to understand other similar systems, such as S/F hybrids with a triplet component of the wave function, and provide a solid foundation on which even more complicated behaviors of the critical current and superconducting nuclei can be explained.
Author Contributions
V.N.K., S.L.P., C.C., and C.A. conceived the experiment. M.T. deposited the sample. M.T., S.L.P., and C.C. performed the transport measurements. V.N.K. elaborated the theoretical model and performed the calculations. V.N.K., S.L.P., C.C., and C.A. wrote the manuscript. All authors have read and agreed to the published version of the manuscript.
Funding
This research received no external funding.
Institutional Review Board Statement
Not applicable.
Informed Consent Statement
Not applicable.
Data Availability Statement
Not applicable.
Acknowledgments
The authors gratefully acknowledge G. Carapella for depositing the SiO2 layer. S.L. Prischepa acknowledges the partial financial support of the “Improving of the Competitiveness” Program of the National Research Nuclear University MEPhI–Moscow Engineering Physics Institute.
Conflicts of Interest
The authors declare no conflict of interest.
References
- Lyuksyutov, I.F.; Pokrovsky, V.L. Ferromagnet-superconductor hybrids. Adv. Phys. 2005, 54, 67–136. [Google Scholar] [CrossRef]
- Aladyshkin, A.Y.; Silhanek, A.V.; Gillijns, W.; Moshchalkov, V.V. Nucleation of superconductivity and vortex matter in superconductor–ferromagnet hybrids. Supercond. Sci. Technol. 2009, 22, 053001. [Google Scholar] [CrossRef]
- Buzdin, A.I. Proximity effects in superconductor-ferromagnet heterostructures. Rev. Mod. Phys. 2005, 77, 935–976. [Google Scholar] [CrossRef]
- Golovchanskiy, I.A.; Abramov, N.N.; Stolyarov, V.S.; Dzhumaev, P.S.; Emelyanova, O.V.; Golubov, A.A.; Ryazanov, V.V.; Ustinov, A.V. Ferromagnet/superconductor hybrid magnonic metamaterials. Adv. Sci. 2019, 6, 1900435. [Google Scholar] [CrossRef]
- Paschoa, A.; Gonzalez, J.L.; Nascimento, V.P.; Passamani, E.C. The role of the stray field on superconducting properties of hybrid ferromagnetic/superconducting heterostructures. J. Appl. Phys. 2020, 128, 043902. [Google Scholar] [CrossRef]
- Geoffroy, O.; Givord, D.; Otani, Y.; Pannetier, B.; Ossart, F. Magnetic and transport properties of ferromagnetic particulate arrays fabricated on superconducting thin films. J. Magn. Magn. Mater. 1993, 121, 223–226. [Google Scholar] [CrossRef]
- Otani, Y.; Pannetier, B.; Nozières, J.P.; Givord, D. Magnetostatic interactions between magnetic arrays and superconducting thin films. J. Magn. Magn. Mater. 1993, 126, 622–625. [Google Scholar] [CrossRef]
- Nozaki, Y.; Otani, Y.; Runge, K.; Miyajima, H. Magnetic flux penetration process in two-dimensional superconductor covered with ferromagnetic particle array. J. Appl. Phys. 1996, 79, 8571–8577. [Google Scholar] [CrossRef]
- Martín, J.I.; Vélez, M.; Nogués, M.J.; Schuller, I.K. Flux pinning in a superconductor by an array of submicrometer magnetic dots. Phys. Rev. Lett. 1997, 79, 1929–1932. [Google Scholar] [CrossRef]
- Morgan, D.J.; Ketterson, J.B. Asymmetric flux pinning in a regular array of magnetic dipoles. Phys. Rev. Lett. 1998, 80, 3614–3617. [Google Scholar] [CrossRef]
- Bulaevskii, L.N.; Chudnovsky, E.M.; Maley, E.P. Magnetic pinning in superconductor-ferromagnet multilayers. Appl. Phys. Lett. 2000, 76, 2594–2596. [Google Scholar] [CrossRef]
- Bulaevskii, L.N.; Chudnovsky, E.M. Ferromagnetic film on a superconducting substrate. Phys. Rev. B 2000, 63, 012502. [Google Scholar] [CrossRef]
- Bespyatykh, Y.I.; Wasilevski, W.; Gajdek, M.; Nikitin, I.P.; Nikitov, S.A. Pinning of vortices by the domain structure in a two-layered type II superconductor-ferromagnet system. Phys. Solid State 2001, 43, 1827–1833. [Google Scholar] [CrossRef]
- Milošević, M.V.; Yampolskii, S.V.; Peeters, F.M. Magnetic pinning of vortices in a superconducting film: The (anti)vortex-magnetic dipole interaction energy in the London approximation. Phys. Rev. B 2002, 66, 174519. [Google Scholar] [CrossRef]
- Vélez, M.; Martín, J.I.; Villegas, J.E.; Hoffmann, A.; González, E.M.; Vicent, J.L.; Schuller, I.K. Superconducting vortex pinning with artificial magnetic nanostructures. J. Magn. Magn. Mater. 2008, 320, 2547–2562. [Google Scholar] [CrossRef]
- Milošević, M.V.; Peeters, F.M. Vortex-antivortex lattices in superconducting films with magnetic pinning arrays. Phys. Rev. Lett. 2004, 93, 267006. [Google Scholar] [CrossRef]
- Helseth, L.E. Interaction between superconducting films and magnetic nanostructures. Phys. Rev. B 2002, 66, 104508. [Google Scholar] [CrossRef]
- Zhu, L.Y.; Cieplak, M.Z.; Chien, C.L. Tunable phase diagram and vortex pinning in a superconductor-ferromagnet bilayer. Phys. Rev. B 2010, 82, 060503. [Google Scholar] [CrossRef]
- Cieplak, M.Z.; Adamus, Z.; Kończykowski, M.; Zhu, L.Y.; Cheng, X.M.; Chien, C.L. Tuning vortex confinement by magnetic domains in a superconductor/ferromagnet bilayer. Phys. Rev. B 2013, 87, 014519. [Google Scholar] [CrossRef]
- Bang, W.; Teizer, W.; Rathnayaka, K.K.D.; Lyuksyutov, I.F.; Naugle, D.G. Controlling superconductivity in thin film with and external array of magnetic nanostructures. Int. J. Mod. Phys. B 2015, 29, 1542035. [Google Scholar] [CrossRef]
- Bang, W.; Teizer, W.; Rathnayaka, K.K.D.; Lyuksyutov, I.F.; Naugle, D.G. Using electrochemical fabrication to grow external arrays of magnetic nanostripes to manipulate superconductivity in the thin film. Int. J. Mod. Phys. B 2015, 29, 1542036. [Google Scholar] [CrossRef]
- Lyuksyutov, I.F.; Pokrovsky, V.L. Magnetization controlled superconductivity in a film with magnetic dots. Phys. Rev. Lett. 1998, 81, 2344–2347. [Google Scholar] [CrossRef]
- Golovchanskiy, I.A.; Abramov, N.N.; Stolyarov, V.S.; Chichkov, V.I.; Silaev, M.; Shchetinin, I.V.; Golubov, A.A.; Ryazanov, V.V.; Ustinov, A.V.; Kupriyanov, M.Y. Magnetization Dynamics in Proximity-Coupled Superconductor-Ferromagnet-Superconductor Multilayers. Phys. Rev. Appl. 2020, 14, 024086. [Google Scholar] [CrossRef]
- Bergeret, F.S.; Volkov, A.F.; Efetov, K.B. Odd triplet superconductivity and related phenomena in superconductor-ferromagnet structures. Rev. Mod. Phys. 2005, 77, 1321–1373. [Google Scholar] [CrossRef]
- Attanasio, C.; Maritato, L.; Prischepa, S.L.; Salvato, M.; Engel, B.N.; Falco, C.M. Superconducting properties of Nb-CuMn multilayers. J. Appl. Phys. 1995, 77, 2081–2086. [Google Scholar] [CrossRef]
- Kushnir, V.N.; Prischepa, S.L.; Cirillo, C.; Vecchione, A.; Attanasio, C.; Kupriyanov, M.Y.; Aarts, J. Multiple order parameter configurations in superconductor/ferromagnet multilayers. Phys. Rev. B 2011, 84, 214512. [Google Scholar] [CrossRef]
- Kushnir, V.N.; Sidorenko, A.; Tagirov, L.R.; Kupriyanov, M.Y. Basic superconducting spin valves. In Functional Nanostructures and Metamaterials for Superconducting Spintronics (From Superconducting Qubits to Self-Organized Nanostructures), Springer Series Nano Science and Technology; Sidorenko, A., Ed.; Springer International Publishing: Cham, Switzerland, 2018; Volume 1, pp. 1–29. Available online: https://doi.org/10.1007/978-3-319-90481-8_1 (accessed on 23 April 2021).
- Tagirov, L.R.; Kupriyanov, M.Y.; Kushnir, V.N.; Sidorenko, A. Basic superconducting spin valves. In Functional Nanostructures and Metamaterials for Superconducting Spintronics (From Superconducting Qubits to Self-Organized Nanostructures), Springer Series Nano Science and Technology; Sidorenko, A., Ed.; Springer International Publishing: Cham, Switzerland, 2018; Volume 1, pp. 31–47. Available online: https://doi.org/10.1007/978-3-319-90481-8_2 (accessed on 23 April 2021).
- Bakurskiy, S.; Kupriyanov, M.; Klenov, N.V.; Soloviev, I.; Schegolev, A.; Morari, R.; Khaydukov, Y.; Sidorenko, A.S. Controlling the proximity effect in a Co/Nb multilayer; the properties of electronic transport. Beilstein J. Nanotechnol. 2020, 11, 1336–1345. [Google Scholar] [CrossRef] [PubMed]
- Tagirov, L.R. Low-field superconducting spin switch based on a superconductor/ferromagnet multilayer. Phys. Rev. Lett. 1999, 83, 2058–2061. [Google Scholar] [CrossRef]
- Bergeret, F.S.; Volkov, A.F.; Efetov, K.B. Long-range proximity effects in superconductor-ferromagnet structures. Phys. Rev. Lett. 2001, 86, 4096–4099. [Google Scholar] [CrossRef]
- Pannetier, B.; Rodts, S.; Genicon, J.L.; Otani, Y.; Nozières, J.P. Macroscopic Quantum Phenomena and Coherence in Superconducting Networks Chapter (Nucleation of Superconductivity in a Thin Film in a Spatially Modulated Magnetic Field); World Scientific: Singapore, 1995; pp. 17–24. [Google Scholar]
- Sonin, E.B. Superconductivity suppression (weak link) by domain wall in bilayer superconductor-ferromagnet film. Sov. Tech. Phys. Lett. 1988, 14, 1640–1644. [Google Scholar]
- Aladyshkin, A.Y.; Buzdin, A.I.; Fraerman, A.A.; Mel’nikov, A.S.; Ryzhov, D.A.; Sokolov, A.V. Domain-wall superconductivity in hybrid superconductor-ferromagnetic structures. Phys. Rev. B 2003, 68, 184508. [Google Scholar] [CrossRef]
- Aladyshkin, A.Y.; Moshchalkov, V.V. Thin-film superconductor-ferromagnet hybrids: Competition between nucleation of superconductivity at domain walls and domain’s centers. Phys. Rev. B 2006, 74, 064503. [Google Scholar] [CrossRef]
- Houzet, M.; Buzdin, A.I. Theory of domain-wall superconductivity in superconductor/ferromagnetic bilayers. Phys. Rev. B 2006, 74, 214507. [Google Scholar] [CrossRef]
- Gillings, W.; Aladyshkin, A.Y.; Silhanek, A.V.; Moshchalkov, V.V. Magnetic confinement of the superconducting condensate in superconductor-ferromagnet composites. Phys. Rev. B 2007, 76, 060503. [Google Scholar] [CrossRef]
- Aladyshkin, A.Y.; Mel’nikov, A.S.; Nefedov, I.M.; Savinov, D.A.; Silaev, M.A.; Shereshevskii, I.A. Hybridization and interference effects for localized superconducting states in strong magnetic field. Phys. Rev. B 2012, 85, 184528. [Google Scholar] [CrossRef]
- Aladyshkin, A.Y.; Fritzsche, J.; Werner, R.; Kramer, R.B.G.; Guénon, S.; Kleiner, R.; Koelle, D.; Moshchalkov, V.V. Crossover between different regimes of inhomogeneous superconductivity in planar superconductor-ferromagnet hybrids. Phys. Rev. B 2011, 84, 094523. [Google Scholar] [CrossRef]
- Werner, R.; Aladyshkin, A.Y.; Guénon, S.; Fritzsche, J.; Nefedov, I.M.; Moshchalkov, V.V.; Kleiner, R.; Koelle, D. Domain-wall and reverse-domain superconducting states of a Pb thin-film bridge on a ferromagnetic BaFe12O19 single crystal. Phys. Rev. B 2011, 84, 020505. [Google Scholar] [CrossRef]
- Trezza, M.; Cirillo, C.; Vorobjeva, A.I.; Outkina, E.A.; Prischepa, S.L.; Attanasio, C. Vortex matching effects in Nb thin films due to Ni nanopillars embedded in anodic aluminum oxide substrates. Supercond. Sci. Technol. 2013, 26, 035001. [Google Scholar] [CrossRef]
- Stellhorn, A.; Sarkar, A.; Kentzinger, E.; Barthel, J.; Di Bernardo, A.; Nandi, S.; Zakalek, P.; Schubert, J.; Brückel, T. Tailoring superconducting states in superconductor-ferromagnet hybrids. New J. Phys. 2020, 22, 093001. [Google Scholar] [CrossRef]
- Prischepa, S.L.; Cirillo, C.; Kushnir, V.N.; Ilyina, E.A.; Salvato, M.; Attanasio, C. Effect of geometrical symmetry on the angular dependence of the critical magnetic field in superconductor/normal metal multilayers. Phys. Rev. B 2005, 72, 024535. [Google Scholar] [CrossRef]
- Kushnir, V.N.; Prischepa, S.L.; Cirillo, C.; Della Rocca, S.L.; Angrisani Armenio, A.; Maritato, L.; Salvato, M.; Attanasio, C. Nucleation of superconductivity in finite metallic multilayers: Effect of the symmetry. Eur. Phys. J. B 2004, 41, 439–444. [Google Scholar] [CrossRef]
- Kushnir, V.N.; Prischepa, S.L.; Della Rocca, M.L.; Salvato, M.; Attanasio, C. Effect of symmetry on the resistive characteristics of proximity coupled metallic multilayers. Phys. Rev. B 2003, 68, 212505. [Google Scholar] [CrossRef]
- Autler, S.H. Fluxoid pinning in superconductors by a periodic array of magnetic particles. J. Low Temp. Phys. 1972, 9, 241–253. [Google Scholar] [CrossRef]
- Milošević, M.V.; Peeters, F.M. Field-enhanced critical parameters in magnetically nanostructured superconductors. Europhys. Lett. 2005, 70, 670–676. [Google Scholar] [CrossRef][Green Version]
- Gheorghe, D.G.; Wijngaarden, R.J.; Gillijns, W.; Silhanek, A.V.; Moshchalkov, V.V. Magnetic flux patterns in superconductors deposited on a lattice of magnetic dots: A magneto-optical imaging study. Phys. Rev. B 2008, 77, 054502. [Google Scholar] [CrossRef]
- Prischepa, S.L.; Kupriyanov, M.Y.; Cirillo, C.; Attanasio, C. Magnetic memory effect in type-II superconductor/ferromagnet bilayers. Supercond. Sci. Technol. 2014, 27, 055024. [Google Scholar] [CrossRef]
- Trezza, M.; Cirillo, C.; Dolgiy, A.L.; Redko, S.V.; Bondarenko, V.P.; Andreyenka, A.V.; Danilyuk, A.L.; Prischepa, S.L.; Attanasio, C. Change of the topology of a superconducting thin film electromagnetically coupled with an array of ferromagnetic nanowires. Supercond. Sci. Technol. 2016, 29, 015011. [Google Scholar] [CrossRef]
- Kushnir, V.N.; Ilyina, E.A.; Prischepa, S.L.; Cirillo, C.; Attanasio, C. Role of the external surfaces on the superconducting properties on superconductor/normal metal trilayers. Superlattices Microstruct. 2008, 43, 86–92. [Google Scholar] [CrossRef]
- Cirillo, C.; Ilyina, E.A.; Attanasio, C. Static and dynamic properties of the vortex lattice in superconductor/weak ferromagnet bilayers. Supercond. Sci. Technol. 2011, 24, 024017. [Google Scholar] [CrossRef]
- Khaire, T.S.; Pratt, W.P., Jr.; Birge, N.O. Critical current behavior in Josephson junctions with the weak ferromagnet PdNi. Phys. Rev. B 2009, 79, 094523. [Google Scholar] [CrossRef]
- Samson, Y.; Marty, A.; Hoffman, R.; Gehanno, V.; Gilles, B. Magnetic domains in thin fils with perpendicular anisotropy: An extensive study. J. Appl. Phys. 1999, 85, 4604–4606. [Google Scholar] [CrossRef]
- Yang, Y.; Chen, J.S.; Chow, G.M. Highly chemical ordered L11 CoPt (111) films with perpendicular anisotropy grown on glass substrates. J. Appl. Phys. 2011, 109, 7. [Google Scholar] [CrossRef]
- Kawada, Y.; Onose, M.; Tojo, R.; Komine, T.; Sugita, R. Magnetic domain structure in thin CoPt perpendicular magnetic anisotropy films. EPJ Web Conf. 2013, 40, 07002. [Google Scholar] [CrossRef]
- Zhang, D.; Shaw, J.M.; Smith, D.J.; McCartney, M.R. Domain structure and perpendicular magnetic anisotropy in CoFe/Pd multilayers using off-axis electron holography. J. Magn. Magn. Mater. 2015, 388, 16–21. [Google Scholar] [CrossRef]
- Skaugen, A.; Murray, P.; Laurson, L. Analytical computation of the demagnetizing energy of thin film domain walls. Phys. Rev. B 2019, 100, 094440. [Google Scholar] [CrossRef]
- Landau, L.D.; Lifshitz, E.M. Electrodynamics of Continuous Media: Volume 8 (Course of Theoretical Physics S), 2nd ed.; Institute of Physical Problems of the USSR Academy of Sciences: Moscow, Russia, 1984; 460p. [Google Scholar]
- Malozemoff, A.P.; Slonczewski, J.C. Magnetic Domain Walls in Bubble Materials; Academic Press: Cambridge, MA, USA, 1979. [Google Scholar]
- Veshchunov, I.S.; Oboznov, V.A.; Rossolenko, A.N.; Prokofiev, A.S.; Vinnikov, I.Y.; Rusanov, A.Y.; Matveev, D.V. Observation of the magnetic domain structure in Cu0.47Ni0.53 thin films at low temperatures. JETP Lett. 2008, 88, 758–761. [Google Scholar] [CrossRef]
- Sonin, E.B.; Felner, I. Spontaneous vortex phase in a superconducting weak ferromagnet. Phys. Rev. B 1998, 57, R14000–R14003. [Google Scholar] [CrossRef]
- Bespyatykh, Y.I.; Wasilevski, W. The spontaneous formation of a vortex structure in a type II superconductor-ferromagnet bilayer. Phys. Solid State 2001, 43, 224–230. [Google Scholar] [CrossRef]
- Usadel, K.D. Generalized diffusion equation for superconducting alloys. Phys. Rev. Lett. 1970, 25, 507–509. [Google Scholar] [CrossRef]
- Maki, K. The behavior of superconducting thin films in the presence of magnetic fields and currents. Prog. Theor. Phys. 1964, 31, 731–741. [Google Scholar] [CrossRef]
- Abramovitz, M.; Stegun, I.A. (Eds.) Handbook of Mathematical Functions with Formulas, Graphs, and Mathematical Tables; Applied Mathematics Series 55; National Bureau of Standards: Gaithersburg, MD, USA, 1964; 1046p.
- de Gennes, P.G. Superconductivity of Metals and Alloys; W.A. Benjamin, Inc.: San Francisco, CA, USA, 1966; p. 274. [Google Scholar]
- Yakubovich, V.A.; Starzhinskii, V.M. Linear Differential Equations with Periodic Coefficients; John Wiley & Sons: Hoboken, NJ, USA, 1975; Volume 1, p. 386. [Google Scholar]
- Abrikosov, A.A. Fundamentals of the Theory of Metals; North-Holland: Amsterdam, The Netherlands, 1988; 630p. [Google Scholar]
- Campbell, A.M.; Evetts, J.E. Critical Currents in Superconductors; Taylor and Francis: London, UK, 1972; 243p. [Google Scholar]
- Bogoliubov, N.N.; Mitropolsky, Y.A. Asymptotic Methods in the Theory of Nonlinear Oscillations; Gordon and Breach: London, UK, 1961; 548p. [Google Scholar]
Publisher’s Note: MDPI stays neutral with regard to jurisdictional claims in published maps and institutional affiliations. |
© 2021 by the authors. Licensee MDPI, Basel, Switzerland. This article is an open access article distributed under the terms and conditions of the Creative Commons Attribution (CC BY) license (https://creativecommons.org/licenses/by/4.0/).