Study on the Optimum Steel Slag Content of SMA-13 Asphalt Mixes Based on Road Performance
Abstract
:1. Introduction
2. Materials and Methods
2.1. Materials
2.2. Experimental Methods
2.2.1. Wheel Tracking Test
2.2.2. Hamburg Wheel Tracking (HWT) Test
2.2.3. Freeze–Thaw Splitting Test
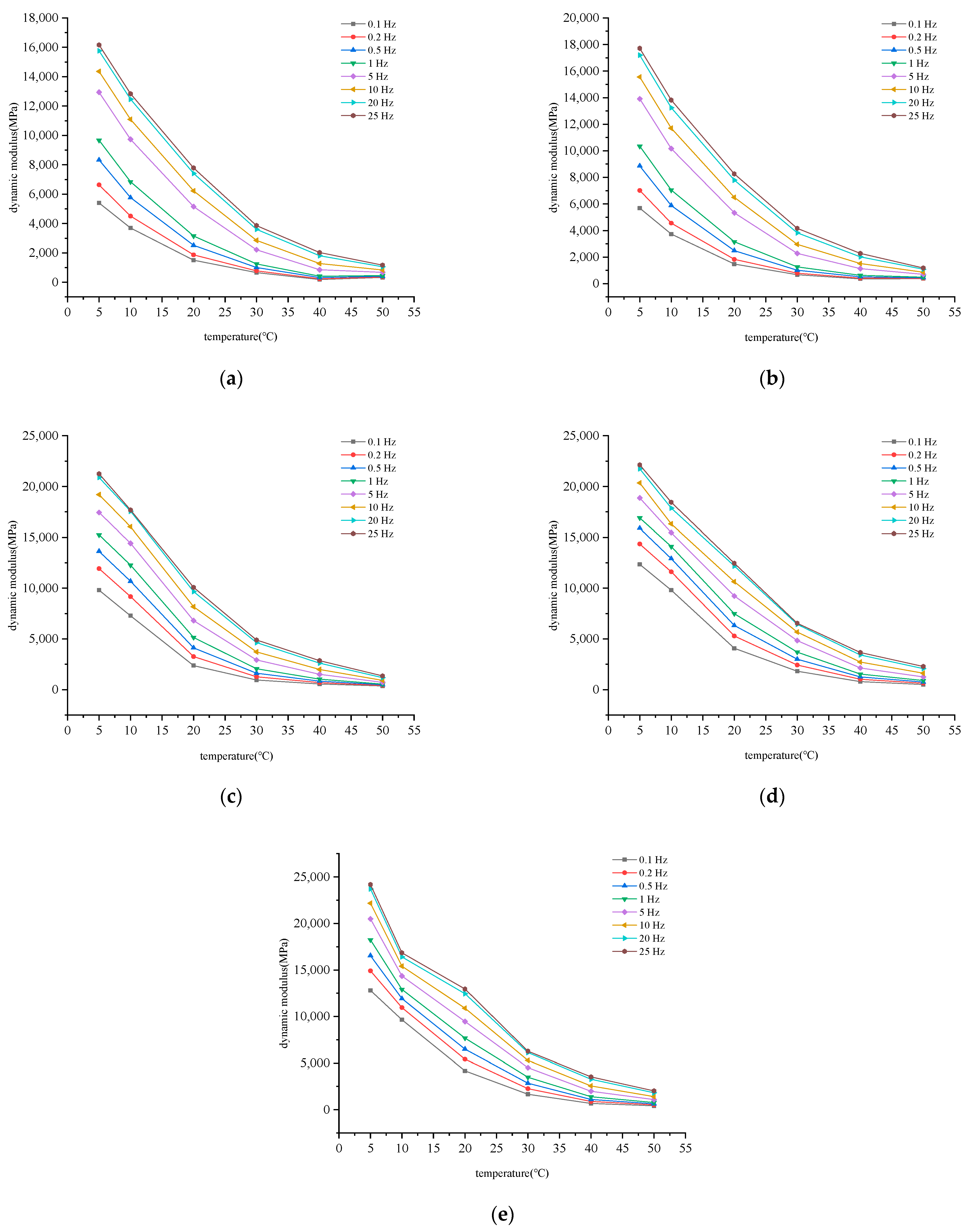
2.2.4. Dynamic Modulus Test
2.2.5. Three-Point Bending Test
2.2.6. Uniaxial Penetration Test
2.2.7. Asphalt Mix Expansion Test
3. Results
3.1. Study on High-Temperature Stability
3.2. Study on Low-Temperature Crack Resistance
3.3. Study on Water Stability
3.4. Study on Dynamic Modulus
3.5. Study on Shear Performance
3.6. Study on Volume Stability
4. Conclusions
Author Contributions
Funding
Institutional Review Board Statement
Informed Consent Statement
Data Availability Statement
Acknowledgments
Conflicts of Interest
References
- Ahmedzade, P.; Sengoz, B. Evaluation of steel slag coarse aggregate in hot mix asphalt concrete. J. Hazard. Mater. 2009, 165, 300–305. [Google Scholar] [CrossRef]
- Yi, H.; Xu, G.P.; Cheng, H.G.; Wang, J.S.; Wan, Y.F.; Chen, H. An overview of utilization of steel slag. In Proceedings of the 7th International Conference on Waste Management and Technology (ICWMT), Beijing, China, 5–7 September 2012; pp. 791–801. [Google Scholar]
- Guo, J.L.; Bao, Y.P.; Wang, M. Steel slag in China: Treatment, recycling, and management. Waste Manag. 2018, 78, 318–330. [Google Scholar] [CrossRef]
- Nejad, F.M.; Azarhoosh, A.R.; Hamedi, G.H. The effects of using recycled concrete on fatigue behavior of hot mix asphalt. J. Civ. Eng. Manag. 2013, 19, S61–S68. [Google Scholar] [CrossRef]
- Kavussi, A.; Qazizadeh, M.J. Fatigue characterization of asphalt mixes containing electric arc furnace (EAF) steel slag subjected to long term aging. Constr. Build. Mater. 2014, 72, 158–166. [Google Scholar] [CrossRef]
- Woodward, W.; Phillips, E.; Sinhal, W.; Woodward, D. The effect of aggregate type and size on the performance of thin surfacing materials. Saferroads Org 2008, 32, 65–71. [Google Scholar]
- Wu, S.; Xue, Y.; Ye, Q.; Chen, Y. Utilization of steel slag as aggregates for stone mastic asphalt (SMA) mixtures. Build. Environ. 2007, 42, 2580–2585. [Google Scholar] [CrossRef]
- Mladenovič, A.; Turk, J.; Kovač, J.; Mauko, A.; Cotič, Z. Environmental evaluation of two scenarios for the selection ofmaterials for asphalt wearing courses. J. Clean. Prod. 2015, 87, 683–691. [Google Scholar] [CrossRef]
- Liapis, I.; Likoydis, S. Use of Electric Arc Furnace Slag in Thin Skid–Resistant Surfacing. Procedia- Soc. Behav. Sci. 2012, 48, 907–918. [Google Scholar] [CrossRef] [Green Version]
- Mladenovic, A.; Sofilic, T.; Sofilic, U. Defining of EAF steel slag application possibilities in asphalt mixture production/Elk plieno slako panaudojimo gaminant asfalto misini galimybes. J. Environ. Eng. Landsc. Manag. 2011, 19, 148–157. [Google Scholar]
- Kehagia, F. Skid resistance performance of asphalt wearing courses with electric arc furnace slag aggregates. Waste Manag. Res. J. Int. Solid Wastes Public Clean. Assoc. Iswa 2009, 27, 288–294. [Google Scholar] [CrossRef] [PubMed]
- Zhu, J.; Wu, S.; Zhong, J.; Wang, D. Investigation of asphalt mixture containing demolition waste obtained from earthquake-damaged buildings. Constr. Build. Mater. 2012, 29, 466–475. [Google Scholar] [CrossRef]
- Setién, J.; Hernández, D.; González, J.J. Characterization of ladle furnace basic slag for use as a construction material. Constr. Build. Mater. 2009, 23, 1788–1794. [Google Scholar] [CrossRef]
- Xie, J.; Wu, S.; Lin, J.; Cai, J.; Chen, Z.; Wei, W. Recycling of basic oxygen furnace slag in asphalt mixture: Material characterization & moisture damage investigation. Constr. Build. Mater. 2012, 36, 467–474. [Google Scholar]
- Wen, H.; Wu, S.; Bhusal, S. Performance Evaluation of Asphalt Mixes Containing Steel Slag Aggregate as a Measure to Resist Studded Tire Wear. J. Mater. Civ. Eng. 2016, 28, 04015191. [Google Scholar] [CrossRef]
- Arabani, M.; Azarhoosh, A.R. The effect of recycled concrete aggregate and steel slag on the dynamic properties of asphalt mixtures. Constr. Build. Mater. 2012, 35, 1–7. [Google Scholar] [CrossRef]
- Ameri, M.; Hesami, S.; Goli, H. Laboratory evaluation of warm mix asphalt mixtures containing electric arc furnace (EAF) steel slag. Constr. Build. Mater. 2013, 49, 611–617. [Google Scholar] [CrossRef]
- Kavussi, A.; Jalili, Q.M.; Hassani, A. Fatigue behavior analysis of asphalt mixes containing electric arc furnace (EAF) steel slag. J. Rehabil. Civ. Eng. 2015, 3, 74–86. [Google Scholar]
- Chen, Z.; Jiao, Y.; Wu, S.; Tu, F. Moisture-induced damage resistance of asphalt mixture entirely composed of gneiss and steel slag. Constr. Build. Mater. 2018, 177, 332–341. [Google Scholar] [CrossRef]
- Masoudi, S.; Abtahi, S.M.; Goli, A. Evaluation of electric arc furnace steel slag coarse aggregate in warm mix asphalt subjected to long-term aging. Constr. Build. Mater. 2017, 135, 260–266. [Google Scholar] [CrossRef]
- Behnood, A.; Ameri, M. Experimental investigation of stone matrix asphalt mixtures containing steel slag. Sci. Iran. 2012, 19, 1214–1219. [Google Scholar] [CrossRef] [Green Version]
- Phan, T.M.; Park, D.W.; Le, T.H.M. Crack healing performance of hot mix asphalt containing steel slag by microwaves heating. Constr. Build. Mater. 2018, 180, 503–511. [Google Scholar] [CrossRef]
- Pasetto, M.; Baldo, N. Performance comparative analysis of stone mastic asphalts with electric arc furnace steel slag: A laboratory evaluation. Mater. Struct. 2012, 45, 411–424. [Google Scholar] [CrossRef]
- Chen, Z.; Wu, S.; Wen, J.; Zhao, M.; Yi, M.; Wan, J. Utilization of gneiss coarse aggregate and steel slag fine aggregate in asphalt mixture. Constr. Build. Mater. 2015, 93, 911–918. [Google Scholar] [CrossRef]
- Alnadish, A.; Aman, Y. A study on the economic using of steel slag aggregate in asphalt mixtures reinforced by aramid fiber. ARPN J. Eng. Appl. Sci. 2018, 13, 276–292. [Google Scholar]
- Javilla, B.; Fang, H.; Mo, L.; Shu, B.; Wu, S. Test evaluation of rutting performance indicators of asphalt mixtures. Constr. Build. Mater. 2017, 155, 1215–1223. [Google Scholar] [CrossRef]
- Polaczyk, P.; Ma, Y.; Xiao, R.; Hu, W.; Jiang, X.; Huang, B. Characterization of aggregate interlocking in hot mix asphalt by mechanistic performance tests. Road Mater. Pavement Des. 2021, 22, S498–S513. [Google Scholar] [CrossRef]
- JTG E20-2011. Standard Test Methods of Bitumen and Bituminous Mixtures for Highway Engineering; Ministry of Transport, PR China: Beijing, China, 2011. [Google Scholar]
- JTG F40-2004. Technical Specifications for Construction of Highway Asphalt Pavenments; Ministry of Transport, PR China: Beijing, China, 2004. [Google Scholar]
- JTG E42-2005. Standard Test Methods of Aggregate for Highway Engineering; Ministry of Transport, PR China: Beijing, China, 2005. [Google Scholar]
- Xue, Y.; Wu, S.; Hou, H.; Jin, Z. Experimental investigation of basic oxygen furnace slag used as aggregate in asphalt mixture. J. Hazard. Mater. 2006, 138, 261–268. [Google Scholar] [CrossRef]
- Asi, I.M.; Qasrawi, H.Y.; Shalabi, F.I. Use of steel slag aggregate in asphalt concrete mixes. Can. J. Civ. Eng. 2007, 34, 902–911. [Google Scholar] [CrossRef]
- Gao, J.; Sha, A.; Wang, Z.; Tong, Z.; Liu, Z. Utilization of steel slag as aggregate in asphalt mixtures for microwave deicing. J. Clean. Prod. 2017, 152, 429–442. [Google Scholar] [CrossRef]
- Tataranni, P.; Sangiorgi, C. Synthetic Aggregates for the Production of Innovative Low Impact Porous Layers for Urban Pavements. Infrastructures 2019, 4, 48. [Google Scholar] [CrossRef] [Green Version]
- Pasetto, M.; Baldo, N. Mix design and performance analysis of asphalt concretes with electric arc furnace slag. Constr. Build. Mater. 2011, 25, 3458–3468. [Google Scholar] [CrossRef]
- Chaturabong, P.; Bahia, H.U. Mechanisms of asphalt mixture rutting in the dry Hamburg Wheel Tracking test and the potential to be alternative test in measuring rutting resistance. Constr. Build. Mater. 2017, 146, 175–182. [Google Scholar] [CrossRef]
- The Hamburg rutting test—Effects of HMA sample sitting time and test temperature variation. Constr. Build. Mater. 2016, 108, 22–28. [CrossRef]
- Wang, W.; Cheng, Y.; Ma, G.; Tan, G.; Sun, X. Further Investigation on Damage Model of Eco-Friendly Basalt Fiber Modified Asphalt Mixture under Freeze-Thaw Cycles. Appl. Sci. 2018, 9, 60. [Google Scholar] [CrossRef] [Green Version]
- JTG D50-2017. Specifications for Design of Highway Asphalt Pavenment; Ministry of Transport, PR China: Beijing, China, 2017. [Google Scholar]







| Items | Test Values | Specification [29] |
|---|---|---|
| Penetration (25 °C, 0.1 mm) | 70.1 | 60–80 |
| Softening point (°C) | 64.5 | ≥55 |
| Flash point (°C) | 272 | ≥230 |
| Ductility (5 °C, cm) | 46.3 | ≥30 |
| Items | Unit | Steel Slag Test Results | Limestone Test Results | Specification [29] |
|---|---|---|---|---|
| Apparent relative density | g/cm3 | 3.543 | 2.726 | 2.6 |
| Water absorption | % | 1.930 | 0.556 | 2.0 |
| Crush value | % | 9.60 | 19.8 | 26 |
| Abrasion value | % | 11.1 | 22.3 | 28 |
| Soundness | % | 2.7 | 6.0 | 12 |
| Items | Unit | Test Values | Specification [29] |
|---|---|---|---|
| Apparent relative density | g/cm3 | 2.725 | 2.5 |
| Sand equivalent | % | 73 | 60 |
| Soundness | % | 15 | 12 |
| Angularity | s | 46 | 30 |
| Items | Unit | Test Values | Specification [29] |
|---|---|---|---|
| Apparent relative density | t/m3 | 2.700 | 2.50 |
| Water content | % | 0.1 | 1 |
| Appearance | - | No agglomerates | No agglomerates |
| Hydrophilic coefficient | - | 0.49 | 1 |
| Plasticity index | % | 2.2 | 1 |
| Steel Slag Content 0% | Steel Slag Content 25% | Steel Slag Content 50% | Steel Slag Content 75% | Steel Slag Content 100% | |
|---|---|---|---|---|---|
| Steel slag 10–15 mm/% | 0 | 11 | 22 | 32 | 40 |
| Limestone 10–15 mm/% | 38 | 28 | 18 | 8 | 0 |
| Steel slag 5–10 mm/% | 0 | 11 | 22 | 31 | 40 |
| Limestone 5–10 mm/% | 39 | 28 | 17 | 9 | 0 |
| Limestone 0–3 mm/% | 13 | 12 | 12 | 11 | 11 |
| mineral powder/% | 10 | 10 | 9 | 9 | 9 |
| optimum asphalt content/% | 5.14% | 5.25% | 5.34% | 5.50% | 5.61% |
| Steel Slag Content (%) | Flexural Tensile Strength (MPa) | Maximum Bending Strength | Bending Stiffness Modulus (MPa) |
|---|---|---|---|
| 0 | 16.72 | 3091.74 | 4402.20 |
| 25 | 15.04 | 2979.04 | 4563.85 |
| 50 | 14.29 | 2925.42 | 4883.31 |
| 75 | 13.27 | 2906.60 | 5048.87 |
| 100 | 12.55 | 2852.06 | 5408.72 |
| Volume before Immersion (cm3) | Volume after Immersion (cm3) | Volume Expansion Ratio (%) | Surface State of Specimen after Immersion | |
|---|---|---|---|---|
| Steel slag content 0% | 511.069 | 512.352 | 0.251 | No cracks on the surface, no obvious drumming |
| Steel slag content 25% | 512.123 | 513.931 | 0.353 | |
| Steel slag content 50% | 508.177 | 510.347 | 0.427 | |
| Steel slag content 75% | 508.052 | 511.593 | 0.697 | |
| Steel slag content 100% | 523.717 | 528.200 | 0.856 |
Publisher’s Note: MDPI stays neutral with regard to jurisdictional claims in published maps and institutional affiliations. |
© 2021 by the authors. Licensee MDPI, Basel, Switzerland. This article is an open access article distributed under the terms and conditions of the Creative Commons Attribution (CC BY) license (https://creativecommons.org/licenses/by/4.0/).
Share and Cite
Chen, W.; Wei, J.; Xu, X.; Zhang, X.; Han, W.; Yan, X.; Hu, G.; Lu, Z. Study on the Optimum Steel Slag Content of SMA-13 Asphalt Mixes Based on Road Performance. Coatings 2021, 11, 1436. https://doi.org/10.3390/coatings11121436
Chen W, Wei J, Xu X, Zhang X, Han W, Yan X, Hu G, Lu Z. Study on the Optimum Steel Slag Content of SMA-13 Asphalt Mixes Based on Road Performance. Coatings. 2021; 11(12):1436. https://doi.org/10.3390/coatings11121436
Chicago/Turabian StyleChen, Wei, Jincheng Wei, Xizhong Xu, Xiaomeng Zhang, Wenyang Han, Xiangpeng Yan, Guiling Hu, and Zizhao Lu. 2021. "Study on the Optimum Steel Slag Content of SMA-13 Asphalt Mixes Based on Road Performance" Coatings 11, no. 12: 1436. https://doi.org/10.3390/coatings11121436
APA StyleChen, W., Wei, J., Xu, X., Zhang, X., Han, W., Yan, X., Hu, G., & Lu, Z. (2021). Study on the Optimum Steel Slag Content of SMA-13 Asphalt Mixes Based on Road Performance. Coatings, 11(12), 1436. https://doi.org/10.3390/coatings11121436

