Synthesis of Gd2Zr2O7 Coatings Using the Novel Reactive PS-PVD Process
Abstract
:1. Introduction
2. Materials and Methods
3. Results
3.1. Microstructure and Chemical Composition
3.2. Phase Composition
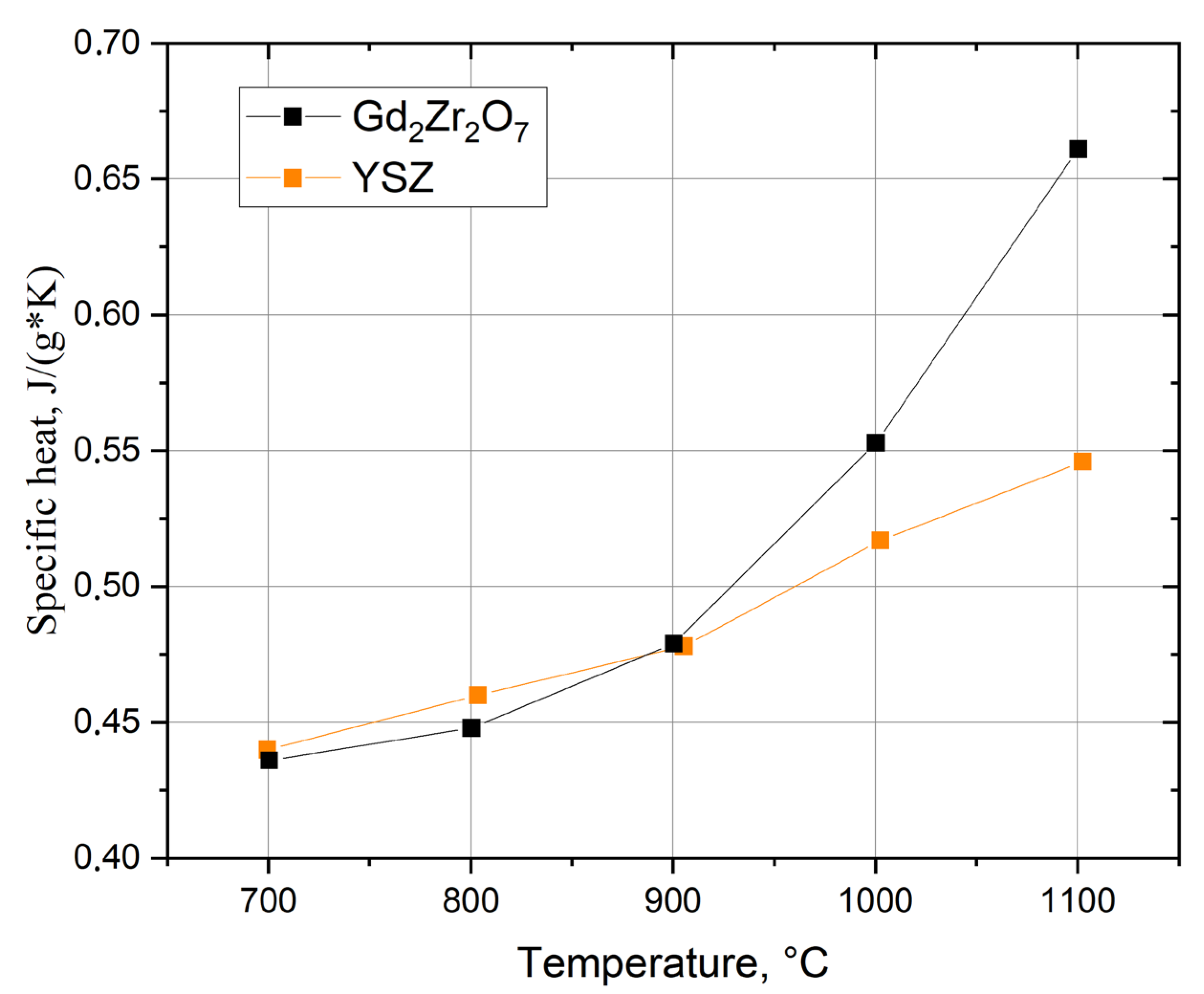
3.3. Thermal Properties
4. Discussion
Author Contributions
Funding
Institutional Review Board Statement
Informed Consent Statement
Data Availability Statement
Conflicts of Interest
References
- Chellaganesh, D.; Khan, M.A.; Jappes, J.T.W. Thermal barrier coatings for high temperature applications—A short review. Mater. Today Proc. 2021, 45, 1529–1534. [Google Scholar] [CrossRef]
- Goral, M.; Ochal, K.; Kubaszek, T.; Drajewicz, M. The influence of deposition technique of aluminide coatings on oxidation resistance of different nickel superalloys. Mater. Today Proc. 2020, 33, 1746–1751. [Google Scholar]
- Thakare, J.G.; Pandey, C.; Mahapatra, M.M.; Mulik, R.S. Thermal barrier coatings—A state of the art review. Met. Mater. Int. 2021, 27, 1947–1968. [Google Scholar] [CrossRef]
- Maniam, K.K.; Paul, S. Progress in novel electrodeposited bond coats for thermal barrier coating systems. Materials 2021, 14, 4214. [Google Scholar] [CrossRef] [PubMed]
- Moskal, G.; Swadźba, L.; Mendala, B.; Góral, M.; Hetmańczyk, M. Degradation of the TBC system during the static oxidation test. J. Microsc. 2010, 237, 450–455. [Google Scholar] [CrossRef] [PubMed]
- Bose, S. High Temperature Coatings; Butterworth-Heinemann: Oxford, UK, 2017. [Google Scholar]
- Smialek, J.L.; Miller, R.A. Revisiting the birth of 7YSZ thermal barrier coatings: Stephan stecura. Coatings 2018, 8, 255. [Google Scholar] [CrossRef] [Green Version]
- Schultz, U. Phase transformation in EB-PVD yttria partially stabilized zirconia thermal barrier coatings during annealing. J. Am. Ceram. Soc. 2000, 83, 904–910. [Google Scholar] [CrossRef]
- Cao, X.Q.; Vassen, R.; Stoever, D. Ceramic materials for thermal barrier coatings. J. Eur. Ceram. Soc. 2004, 24, 1–10. [Google Scholar] [CrossRef]
- Clarke, D.R.; Oechsner, M.; Padture, N.P. Thermal-barrier coatings for more efficient gas-turbine engines. Mrs Bull. 2012, 37, 891–898. [Google Scholar] [CrossRef] [Green Version]
- Mishra, S.K.; Shravan Kumar, K.; Bysakh, S.; Sreemany, M.; Pathak, L.C. Investigation of interface, microstructure, and mechanical properties of layered thermal barrier coatings of lanthanum zirconate and YSZ deposited by EB-PVD process. Surf. Interface Anal. 2014, 46, 449–456. [Google Scholar] [CrossRef]
- Clarke, D.; Phillpot, S. Thermal barrier coating materials. Mater. Today 2005, 8, 22–29. [Google Scholar] [CrossRef]
- Vassen, R.; Stuke, A.; Stover, D. Recent developments in the field of thermal barrier coatings. J. Therm. Spray Technol. 2009, 18, 181–186. [Google Scholar] [CrossRef]
- Moskal, G.; Swadźba, L.; Hetmańczyk, M.; Mendala, J.; Sosnowy, P. Characterization of microstructure and thermal properties of Gd2Zr2O7-type thermal barrier coating. J. Eur. Ceram. Soc. 2012, 32, 2025–2034. [Google Scholar] [CrossRef]
- Mauer, G.; Jarligo, M.O.; Rezanka, S.; Hospach, A.; Vaßen, R. Novel opportunities for thermal spray by PS-PVD. Surf. Coat. Technol. 2015, 268, 52–57. [Google Scholar] [CrossRef]
- Goral, M.; Kotowski, S.; Nowotnik, A.; Pytel, M.; Drajewicz, M.; Sieniawski, J. PS-PVD deposition of thermal barrier coatings. Surf. Coat. Technol. 2013, 237, 51–55. [Google Scholar] [CrossRef]
- Schmitt, M.P.; Harder, B.J.; Wolfe, D.E. Process-structure-property relations for the erosion durability of plasma spray-physical vapor deposition (PS-PVD) thermal barrier coatings. Surf. Coat. Technol. 2016, 297, 11–18. [Google Scholar] [CrossRef] [Green Version]
- Gao, L.; Guo, H.; Wei, L.; Li, C.; Xu, H. Microstructure, thermal conductivity and thermal cycling behavior of thermal barrier coatings prepared by plasma spray physical vapor deposition. Surf. Coat. Technol. 2015, 276, 424–430. [Google Scholar] [CrossRef]
- Kumar, N.; Gupta, M.; Mack, D.E.; Mauer, G.; Vaßen, R. Columnar thermal barrier coatings produced by different thermal spray processes. J. Spray Technol. 2021, 30, 1437–1452. [Google Scholar] [CrossRef]
- Gindrat, M.; Höhle, H.-M.; Von Niessen, K.; Guittienne, P.; Grange, D.; Hollenstein, C. Plasma spray-CVD: A new thermal spray process to produce thin films from liquid or gaseous precursors. J. Spray Technol. 2011, 20, 882–887. [Google Scholar] [CrossRef]
- Qiao, J.-H.; Chen, K.; Li, S.-J.; Liu, S.-J.; Cao, H.-W.; Wei, G.; Kong, L.-P.; Zhang, X.; Liu, H.-T. Plasma spray–chemical vapor deposition of nanotextured film with α/β Bi2O3 heterostructure and photocatalytic degradation performance. Vacuum 2021, 188, 110206. [Google Scholar] [CrossRef]
- Zhang, X.; Liu, M.; Li, H.; Deng, C.; Deng, C.; Deng, Z.; Niu, S.; Zhou, K. Structural evolution of Al-modified PS-PVD 7YSZ TBCs in thermal cycling. Ceram. Int. 2019, 45, 7560–7567. [Google Scholar] [CrossRef]
- Zhao, C.; He, W.; He, J.; Wei, L.; Guo, H. Correlation of feedstock powder characteristics with microstructure, composition, and mechanical properties of La2Ce2O7 coatings produced by plasma spray-physical vapor deposition. Coatings 2020, 10, 93. [Google Scholar] [CrossRef] [Green Version]
- Zhao, C.; He, W.; Wei, L.; Guo, H. Microstructures of La2Ce2O7 coatings produced by plasma spray-physical vapor deposition. J. Eur. Ceram. Soc. 2020, 40, 1462–1470. [Google Scholar] [CrossRef]
- Zhao, C.; He, W.; Shi, J.; Li, J.; Guo, H. Deposition mechanisms of columnar structured La2Ce2O7 coatings via plasma spray-PVD. Ceram. Int. 2020, 46, 13424–13432. [Google Scholar] [CrossRef]
- Zhang, X.; Wang, C.; Ye, R.; Deng, C.; Liang, X.; Deng, Z.; Niu, S.; Song, J.; Liu, G.; Lu, M.; et al. Mechanism of vertical crack formation in Yb2SiO5 coatings deposited via plasma spray-physical vapor deposition. J. Mater. 2020, 6, 102–108. [Google Scholar] [CrossRef]
- Wang, C.; Liu, M.; Feng, J.; Zhang, X.; Deng, C.; Zhou, K.; Zeng, D.; Guo, S.; Zhao, R.; Li, S. Water vapor corrosion behavior of Yb2SiO5 environmental barrier coatings prepared by plasma spray-physical vapor deposition. Coatings 2020, 10, 392. [Google Scholar] [CrossRef]
- Li, S.; He, W.; Shi, J.; Wei, L.; He, J.; Guo, H. PS-PVD gadolinium zirconate thermal barrier coatings with columnar microstructure sprayed from sintered powder feedstocks. Surf. Coat. Technol. 2020, 383, 125243. [Google Scholar] [CrossRef]
- Zhu, R.-B.; Zou, J.-P.; Mao, J.; Deng, C.-M.; Liu, M. A comparison between novel Gd2Zr2O7 and Gd2Zr2O7/YSZ thermal barrier coatings fabricated by plasma spray-physical vapor deposition. Rare Met. 2021, 40, 2244–2253. [Google Scholar] [CrossRef]
- Goral, M.; Kotowski, S.; Sieniawski, J. The technology of plasma spray physical vapour deposition. High. Temp. Mater. Process. 2013, 32, 33–39. [Google Scholar] [CrossRef]
- Goral, M.; Pytel, M.; Drajewicz, M. The formation of TBCs using LPPS, CVD and PS-PVD methods on CMSX-4 single-crystal nickel superalloy. Solid State Phenom. 2015, 227, 317–320. [Google Scholar] [CrossRef]
- Góral, M.; Pytel, M.; Kubaszek, T.; Drajewicz, M.; Simka, W.; Nieuzyła, L. The new concept of thermal barrier coatings with Pt + Pd/Zr/Hf-modified aluminide bond coat and ceramic layer formed by PS-PVD method. High. Temp. Mater. Process. 2021, 40, 281–286. [Google Scholar] [CrossRef]
- Góral, M.; Swadźba, R.; Kubaszek, T. TEM investigations of TGO formation during cyclic oxidation in two- and three-layered thermal barrier coatings produced using LPPS, CVD and PS-PVD methods. Surf. Coat. Technol. 2020, 394, 125875. [Google Scholar] [CrossRef]
- Nowotnik, A.; Goral, M.; Pytel, M.; Dychton, K. Influence of coatings deposition parameters on microstructure of aluminide coatings deposited by CVD method on Ni-superalloys. Solid State Phenom. 2013, 197, 95–100. [Google Scholar] [CrossRef]
- Pędrak, P.; Nowotnik, A.; Góral, M.; Kubiak, K.; Drajewicz, M.; Sieniawski, J. The technology of TBC deposition by EB-PVD method. Solid State Phenom. 2015, 227, 377–380. [Google Scholar] [CrossRef]
- Zhang, X.; Zhou, K.; Liu, M.; Deng, C.; Deng, C. Deposition mechanism of 7YSZ thermal barrier coatings prepared by plasma spray-physical vapor deposition. Sci. Sin. Technol. 2019, 49, 1319–1330. [Google Scholar]
- 37. Pędrak, P.; Góral, M.; Dychtoń, K.; Kubaszek, T.; Nowotnik, A.; Kubiak, K. The influence of Ar/N2 plasma gases on microstructure of ceramic coatings produced by PS-PVD method. Mater. Sci. Forum 2016, 844, 187–192. [Google Scholar] [CrossRef]
- Moskal, G. Criteria of assessment of powders provided to spray by the APS method for new and conventional layers type TBC. Arch. Mater. Sci. Eng. 2009, 37, 29–36. [Google Scholar]
- Moskal, G.; Dercz, G. Effect of heat treatment on structure and phase transformation of rare earth (Gd) zirconate. Solid State Phenom. 2010, 163, 157–160. [Google Scholar] [CrossRef]
- Qiu, S.-Y.; Shi, J.; Li, S.; Ma, Y.; Guo, H.-B. Model on thermal conductivity prediction of quasi-columnar structured coating by plasma spray physical vapor deposition. Ceram. Int. 2021, 47, 27420–27429. [Google Scholar] [CrossRef]
- Zhong, J.; Yang, D.; Guo, S.; Zhang, X.; Liang, X.; Wu, X. Rear earth oxide multilayer deposited by plasma spray-physical vapor deposition for envisaged application as thermal/environmental barrier coating. Coatings 2021, 11, 889. [Google Scholar] [CrossRef]






| Process Name | Power Current (A) | Argon Flow (NLPM) | Helium Flow (NLPM) | Powder Feed Rate (g/min) |
|---|---|---|---|---|
| YSZ-2200A | 2200 | 35 | 60 | 2 |
| GZO-1800A | 1800 | 35 | 60 | 2 |
| GZO-2000A | 2000 | 35 | 60 | 2 |
| GZO-2200A | 2200 | 35 | 60 | 2 |
Publisher’s Note: MDPI stays neutral with regard to jurisdictional claims in published maps and institutional affiliations. |
© 2021 by the authors. Licensee MDPI, Basel, Switzerland. This article is an open access article distributed under the terms and conditions of the Creative Commons Attribution (CC BY) license (https://creativecommons.org/licenses/by/4.0/).
Share and Cite
Pędrak, P.; Dychtoń, K.; Drajewicz, M.; Góral, M. Synthesis of Gd2Zr2O7 Coatings Using the Novel Reactive PS-PVD Process. Coatings 2021, 11, 1208. https://doi.org/10.3390/coatings11101208
Pędrak P, Dychtoń K, Drajewicz M, Góral M. Synthesis of Gd2Zr2O7 Coatings Using the Novel Reactive PS-PVD Process. Coatings. 2021; 11(10):1208. https://doi.org/10.3390/coatings11101208
Chicago/Turabian StylePędrak, Pawel, Kamil Dychtoń, Marcin Drajewicz, and Marek Góral. 2021. "Synthesis of Gd2Zr2O7 Coatings Using the Novel Reactive PS-PVD Process" Coatings 11, no. 10: 1208. https://doi.org/10.3390/coatings11101208
APA StylePędrak, P., Dychtoń, K., Drajewicz, M., & Góral, M. (2021). Synthesis of Gd2Zr2O7 Coatings Using the Novel Reactive PS-PVD Process. Coatings, 11(10), 1208. https://doi.org/10.3390/coatings11101208

